Application of a TEMPO-Polypyrrole Polymer for NOx-Mediated Oxygen Electroreduction
Abstract
1. Introduction
| Nr. | Half-Reaction | E°, V | Ref. |
|---|---|---|---|
| 1 | O2 + 4 H+ + 4 ē ⇄ 2 H2O | 1.229 | [26] |
| 2 | O2 + 2 H+ + 2 ē ⇄ H2O2 | 0.695 | [26] |
| 3 | HNO2 + H+ + ē ⇄ NO•(g) + H2O | 0.984 | [26] |
| 4 | NO2•(g) + H+ + ē ⇄ HNO2 | 1.108 | [26] |
| 5 | NO2•(g) + 2 H+ + 2 ē ⇄ NO•(g) + H2O | 1.028 1 | [26] |
| 6 | TEMPO• + H+ + ē ⇄ TEMPOH | 0.65 | [27] |
| 7 | TEMPO+ + ē ⇄ TEMPO• | 0.745 | [27] |
| 8 | TEMPO+ + H+ + 2 ē ⇄ TEMPOH | 0.70 2 | [27] |
2. Results and Discussion
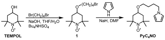
2.1. Synthesis of the TEMPO-Containing Polymer
2.2. Electrochemical Properties of the Poly-PyC4NO-Modified Electrode
2.3. Bulk ORR Performance of the Catalytic System
3. Materials and Methods
4. Conclusions
Author Contributions
Funding
Data Availability Statement
Acknowledgments
Conflicts of Interest
References
- Shao, M.; Chang, Q.; Dodelet, J.P.; Chenitz, R. Recent Advances in Electrocatalysts for Oxygen Reduction Reaction. Chem. Rev. 2016, 116, 3594–3657. [Google Scholar] [CrossRef] [PubMed]
- Suermann, M.; Schmidt, T.J.; Büchi, F.N. Comparing the kinetic activation energy of the oxygen evolution and reduction reactions. Electrochim. Acta 2018, 281, 466–471. [Google Scholar] [CrossRef]
- Kulkarni, A.; Siahrostami, S.; Patel, A.; Norskov, J.K. Understanding Catalytic Activity Trends in the Oxygen Reduction Reaction. Chem. Rev. 2018, 118, 2302–2312. [Google Scholar] [CrossRef] [PubMed]
- Mase, K.; Ohkubo, K.; Fukuzumi, S. Efficient two-electron reduction of dioxygen to hydrogen peroxide with one-electron reductants with a small overpotential catalyzed by a cobalt chlorin complex. J. Am. Chem. Soc. 2013, 135, 2800–2808. [Google Scholar] [CrossRef] [PubMed]
- Baran, J.D.; Gronbeck, H.; Hellman, A. Analysis of porphyrines as catalysts for electrochemical reduction of O2 and oxidation of H2O. J. Am. Chem. Soc. 2014, 136, 1320–1326. [Google Scholar] [CrossRef]
- Inaba, M.; Yamada, H.; Tokunaga, J.; Matsuzawa, K.; Hatanaka, A.; Tasaka, A. Hydrogen Peroxide Formation as a Degradation Factor of Polymer Electrolyte Fuel Cells. ECS Trans. 2006, 1, 315–322. [Google Scholar] [CrossRef]
- Huang, L.; Zaman, S.; Tian, X.; Wang, Z.; Fang, W.; Xia, B.Y. Advanced Platinum-Based Oxygen Reduction Electrocatalysts for Fuel Cells. Acc. Chem. Res. 2021, 54, 311–322. [Google Scholar] [CrossRef]
- Sui, S.; Wang, X.; Zhou, X.; Su, Y.; Riffat, S.; Liu, C.-J. A comprehensive review of Pt electrocatalysts for the oxygen reduction reaction: Nanostructure, activity, mechanism and carbon support in PEM fuel cells. J. Mater. Chem. A 2017, 5, 1808–1825. [Google Scholar] [CrossRef]
- Winter, M.; Brodd, R.J. What Are Batteries, Fuel Cells, and Supercapacitors? Chem. Rev. 2004, 104, 4245–4270. [Google Scholar] [CrossRef]
- Gewirth, A.A.; Varnell, J.A.; DiAscro, A.M. Nonprecious Metal Catalysts for Oxygen Reduction in Heterogeneous Aqueous Systems. Chem. Rev. 2018, 118, 2313–2339. [Google Scholar] [CrossRef]
- Cui, J.; Chen, Q.; Li, X.; Zhang, S. Recent advances in non-precious metal electrocatalysts for oxygen reduction in acidic media and PEMFCs: An activity, stability and mechanism study. Green Chem. 2021, 23, 6898–6925. [Google Scholar] [CrossRef]
- Shahbaz, A.; Afaf, A.; Tahir, N.; Abid, U.; Saim, S. Non Precious Metal Catalysts: A Fuel Cell and ORR Study of Thermally Synthesized Nickel and Platinum Mixed Nickel Nanotubes for PEMFC. Key Eng. Mater. 2021, 875, 193–199. [Google Scholar] [CrossRef]
- Zhang, J.; Sasaki, K.; Sutter, E.; Adzic, R.R. Stabilization of platinum oxygen-reduction electrocatalysts using gold clusters. Science 2007, 315, 220–222. [Google Scholar] [CrossRef] [PubMed]
- Iijima, Y.; Kondo, T.; Takahashi, Y.; Bando, Y.; Todoroki, N.; Wadayama, T. Oxygen Reduction Reaction Activities for Pt/Au(hkl) Bimetallic Surfaces Prepared by Molecular Beam Epitaxy. J. Electrochem. Soc. 2013, 160, F898–F904. [Google Scholar] [CrossRef]
- Chen, G.; Zhao, Y.; Fu, G.; Duchesne, P.N.; Gu, L.; Zheng, Y.; Weng, X.; Chen, M.; Zhang, P.; Pao, C.-W.; et al. Interfacial Effects in Iron-Nickel Hydroxide–Platinum Nanoparticles Enhance Catalytic Oxidation. Science 2014, 344, 495–499. [Google Scholar] [CrossRef] [PubMed]
- Wang, C.; Markovic, N.M.; Stamenkovic, V.R. Advanced Platinum Alloy Electrocatalysts for the Oxygen Reduction Reaction. ACS Catal. 2012, 2, 891–898. [Google Scholar] [CrossRef]
- Qu, L.; Liu, Y.; Baek, J.-B.; Dai, L. Nitrogen-Doped Graphene as Efficient Metal-Free Electrocatalyst for Oxygen Reduction in Fuel Cells. ACS Nano 2010, 4, 1321–1326. [Google Scholar] [CrossRef]
- Cai, P.W.; Ci, S.Q.; Zhang, E.H.; Shao, P.; Cao, C.S.; Wen, Z.H. FeCo Alloy Nanoparticles Confined in Carbon Layers as High-activity and Robust Cathode Catalyst for Zn-Air Battery. Electrochim. Acta 2016, 220, 354–362. [Google Scholar] [CrossRef]
- Chai, G.-L.; Boero, M.; Hou, Z.; Terakura, K.; Cheng, W. Indirect Four-Electron Oxygen Reduction Reaction on Carbon Materials Catalysts in Acidic Solutions. ACS Catal. 2017, 7, 7908–7916. [Google Scholar] [CrossRef]
- Gong, X.; Liu, S.; Ouyang, C.; Strasser, P.; Yang, R. Nitrogen- and Phosphorus-Doped Biocarbon with Enhanced Electrocatalytic Activity for Oxygen Reduction. ACS Catal. 2015, 5, 920–927. [Google Scholar] [CrossRef]
- Shao, Y.; Jiang, Z.; Zhang, Q.; Guan, J. Progress in Nonmetal-Doped Graphene Electrocatalysts for the Oxygen Reduction Reaction. ChemSusChem 2019, 12, 2133–2146. [Google Scholar] [CrossRef]
- An, F.; Bao, X.-Q.; Deng, X.-Y.; Ma, Z.-Z.; Wang, X.-G. Carbon-based metal-free oxygen reduction reaction electrocatalysts: Past, present and future. New Carbon Mater. 2022, 37, 338–354. [Google Scholar] [CrossRef]
- Zheng, Q.; Cheng, X.; Jao, T.-C.; Weng, F.-B.; Su, A.; Chiang, Y.-C. Degradation analyses of Ru85Se15 catalyst layer in proton exchange membrane fuel cells. J. Power Sources 2012, 218, 79–87. [Google Scholar] [CrossRef]
- Wu, J.; Yuan, X.Z.; Martin, J.J.; Wang, H.; Zhang, J.; Shen, J.; Wu, S.; Merida, W. A review of PEM fuel cell durability: Degradation mechanisms and mitigation strategies. J. Power Sources 2008, 184, 104–119. [Google Scholar] [CrossRef]
- Elmas, S.; Beelders, W.; Pan, X.; Nann, T. Conducting copper(I/II)-metallopolymer for the electrocatalytic oxygen reduction reaction (ORR) with high kinetic current density. Polymers 2018, 10, 1002. [Google Scholar] [CrossRef]
- Bratsch, S.G. Standard Electrode Potentials and Temperature Coefficients in Water at 298.15 K. J. Phys. Chem. Ref. Data 1989, 18, 1–21. [Google Scholar] [CrossRef]
- Gerken, J.B.; Pang, Y.Q.; Lauber, M.B.; Stahl, S.S. Structural Effects on the pH-Dependent Redox Properties of Organic Nitroxyls: Pourbaix Diagrams for TEMPO, ABNO, and Three TEMPO Analogs. J. Org. Chem. 2018, 83, 7323–7330. [Google Scholar] [CrossRef] [PubMed]
- Kimura, M.; Sato, M.; Murase, T.; Tsukahara, K. Kinetic Studies of the Reaction of Nitrous Acid with Iodide Ion in the Presence of Molecular Oxygen in an Acid Solution. Bull. Chem. Soc. Jpn. 1993, 66, 2900–2906. [Google Scholar] [CrossRef]
- Anson, C.W.; Stahl, S.S. Mediated Fuel Cells: Soluble Redox Mediators and Their Applications to Electrochemical Reduction of O2 and Oxidation of H2, Alcohols, Biomass, and Complex Fuels. Chem. Rev. 2020, 120, 3749–3786. [Google Scholar] [CrossRef]
- Nutting, J.E.; Mao, K.; Stahl, S.S. Iron(III) Nitrate/TEMPO-Catalyzed Aerobic Alcohol Oxidation: Distinguishing between Serial versus Integrated Redox Cooperativity. J. Am. Chem. Soc. 2021, 143, 10565–10570. [Google Scholar] [CrossRef]
- Ryland, B.L.; Stahl, S.S. Practical aerobic oxidations of alcohols and amines with homogeneous copper/TEMPO and related catalyst systems. Angew. Chem. Int. Ed. Engl. 2014, 53, 8824–8838. [Google Scholar] [CrossRef] [PubMed]
- Ford, P.C.; Wink, D.A.; Stanbury, D.M. Autoxidation kinetics of aqueous nitric oxide. FEBS Lett. 1993, 326, 1–3. [Google Scholar] [CrossRef]
- Kummer, J.T.; Oei, D.G. A chemically regenerative redox fuel cell. II. J. Appl. Electrochem. 1985, 15, 619–629. [Google Scholar] [CrossRef]
- Bergens, S.H.; Gorman, C.B.; Palmore, G.T.; Whitesides, G.M. A Redox Fuel Cell That Operates with Methane as Fuel at 120 °C. Science 1994, 265, 1418–1420. [Google Scholar] [CrossRef] [PubMed]
- Gerken, J.B.; Stahl, S.S. High-Potential Electrocatalytic O2 Reduction with Nitroxyl/NOx Mediators: Implications for Fuel Cells and Aerobic Oxidation Catalysis. ACS Cent. Sci. 2015, 1, 234–243. [Google Scholar] [CrossRef]
- Xu, L.H.; Yang, F.; Su, C.; Zhang, C. Research of Properties on Li-Ion Batteries Based on a Polypyrrole Derivative Bearing TEMPO as a Cathode Material. Adv. Mater. Res. 2014, 936, 447–451. [Google Scholar] [CrossRef]
- Xu, L.; Guo, P.; He, H.; Zhou, N.; Ma, J.; Wang, G.; Zhang, C.; Su, C. Preparation of TEMPO-contained pyrrole copolymer by in situ electrochemical polymerization and its electrochemical performances as cathode of lithium ion batteries. Ionics 2017, 23, 1375–1382. [Google Scholar] [CrossRef]
- Xu, L.; Yang, F.; Su, C.; Ji, L.; Zhang, C. Synthesis and properties of novel TEMPO-contained polypyrrole derivatives as the cathode material of organic radical battery. Electrochim. Acta 2014, 130, 148–155. [Google Scholar] [CrossRef]
- Malev, V.V.; Levin, O.V. Criteria of the absence of short-range interactions within electroactive polymer films. Electrochim. Acta 2012, 80, 426–431. [Google Scholar] [CrossRef]
- Laviron, E. Adsorption, Autoinhibition and Autocatalysis in Polarography and in Linear Potential Sweep Voltammetry. J. Electroanal Chem. 1974, 52, 355–393. [Google Scholar] [CrossRef]
- Zheng, Z.; Wang, J.; Chen, H.; Feng, L.; Jing, R.; Lu, M.; Hu, B.; Ji, J. Magnetic Superhydrophobic Polymer Nanosphere Cage as a Framework for Miceller Catalysis in Biphasic Media. ChemCatChem 2014, 6, 1626–1634. [Google Scholar] [CrossRef]
- Bhatt, V.D.; Gohil, K. Ion exchange synthesis and thermal characteristics of some [N+4444] based ionic liquids. Thermochim. Acta 2013, 556, 23–29. [Google Scholar] [CrossRef]






Publisher’s Note: MDPI stays neutral with regard to jurisdictional claims in published maps and institutional affiliations. |
© 2022 by the authors. Licensee MDPI, Basel, Switzerland. This article is an open access article distributed under the terms and conditions of the Creative Commons Attribution (CC BY) license (https://creativecommons.org/licenses/by/4.0/).
Share and Cite
Lukyanov, D.A.; Kalnin, A.Y.; Rubicheva, L.G.; Potapenkov, V.V.; Bakulina, O.Y.; Levin, O.V. Application of a TEMPO-Polypyrrole Polymer for NOx-Mediated Oxygen Electroreduction. Catalysts 2022, 12, 1466. https://doi.org/10.3390/catal12111466
Lukyanov DA, Kalnin AY, Rubicheva LG, Potapenkov VV, Bakulina OY, Levin OV. Application of a TEMPO-Polypyrrole Polymer for NOx-Mediated Oxygen Electroreduction. Catalysts. 2022; 12(11):1466. https://doi.org/10.3390/catal12111466
Chicago/Turabian StyleLukyanov, Daniil A., Arseniy Y. Kalnin, Lyubov G. Rubicheva, Vasiliy V. Potapenkov, Olga Y. Bakulina, and Oleg V. Levin. 2022. "Application of a TEMPO-Polypyrrole Polymer for NOx-Mediated Oxygen Electroreduction" Catalysts 12, no. 11: 1466. https://doi.org/10.3390/catal12111466
APA StyleLukyanov, D. A., Kalnin, A. Y., Rubicheva, L. G., Potapenkov, V. V., Bakulina, O. Y., & Levin, O. V. (2022). Application of a TEMPO-Polypyrrole Polymer for NOx-Mediated Oxygen Electroreduction. Catalysts, 12(11), 1466. https://doi.org/10.3390/catal12111466

