Abstract
The fundamentals of Pd-catalyzed Csp2−Csp2 Miyaura borylation, Suzuki cross-coupling, and Stille cross-coupling reactions for a variety of borylated precursors based on phenothiazine (PTZ), phenoxazine (POZ), carbazole (Cz), and quinoxaline (QX) units have been explored. Three palladium-based catalysts were chosen for this study: Pd(PPh3)4, Pd(PPh3)2Cl2, and Pd(dppf)Cl2, applying different reaction conditions. Around 16 desired chromophores were successfully designed and synthesized using C-C cross-coupling reactions in moderate to excellent yields, including PTZ, POZ, and Cz units coupled with QX, indolinium iodide, thienyl, phenyl, or triphenylamine moieties. Additionally, PTZ, POZ, and Cz have been employed in synthesizing various pinacol boronate ester derivatives in good to moderate yields. Interestingly, Pd(dppf)Cl2 was found to be the best catalyst for borylation, and C-C cross-coupling reactions occurred in as little as 30 min, with an excellent yield exceeding 98%. Pd(PPh3)4 and Pd(PPh3)2Cl2 catalyzed the reaction to obtain the desired products in moderate to good yields after a long time (20–24 h). On the other hand, the Suzuki-Miyaura cross-coupling between N-(2-methyl)hexyl carbazole pinacol boronate ester derivative 10c and three halogenated quinoxaline derivatives—4-(3-(5-bromothiophen-2-yl)quinoxalin-2-yl)benzaldehyde (27), 4-(5-(3-(5-bromothiophen-2-yl)quinoxalin-2-yl)thiophen-2-yl)benzaldehyde (30), and 4-(3-chloroquinoxalin-2-yl)benzaldehyde (25) catalyzed by Pd(PPh3)4—afforded three carbazole-quinoxaline chromophores (28, 30, and 31, respectively) in 2–3 h, with good to excellent yields reaching 86%. The electron-deficient QX couplers proved to be coupled efficiently using the Stille coupling reaction, which involves the coupling between electron-rich orgaostannane and electron-deficient halide. The synthesized precursors and desired chromophores were characterized by FTIR, 1H-NMR, 13C-NMR, and HRMS.
1. Introduction
In the late 20th century, transition metal-catalyzed reactions became the first choice, while chemistry scientists paid special interest to new strategies for the development of producing promising organic materials. Transition metals can activate several chemical bonds to break easily and catalytically form new bonds. In this regard, palladium was the first transition metal used for the catalysis of C-C bond formation [1]. In 2010, the prestigious circle of Nobel Laureate chemists hosted Akira Suzuki, Ei-ichi Negishi, and Richard Heck for their brilliant efforts in the field of carbon–carbon bond construction [2]. The organic synthesis methods and strategies were irreversibly changed since their early contributions to the field of palladium-catalyzed cross-coupling reactions in the 1970s [3]. Their efforts revolutionized chemists’ way of constructing and conceptualizing molecules.
In the last few decades, the Suzuki–Miyaura cross-coupling reaction (which is simply known as the Suzuki coupling reaction) became the most famous, useful, and applicable palladium-catalyzed C-C bond forming reaction, which involves the coupling between vinyl or aryl boronic acid (or pinacol ester) and vinyl or aryl halides, pseudohalides, alkenes, alkynes, amines organometallic, etc. [4,5,6,7]. Due to its milder conditions, commercially available organoboron reagent, less toxicity, sustainability, easier-handling by-products and comparative environmental safety, the Suzuki cross-coupling reaction has gained impressive developments. It has been widely employed for organic synthesis more than other C-C coupling reactions, such as the Heck and Stille coupling reactions [8,9,10]. Suzuki cross-coupling reactions involve the aryl halide substrate, which is preferred to be bromide or iodide (chloride compounds are less active towards Suzuki cross-coupling [11]) substituted with an electron-withdrawing group, a Pd(0) or Pd(II) catalyst, a degassed aprotic solvent (toluene, THF, dioxane, etc.), and a moderate reaction temperature 60–90 °C. Sodium and potassium carbonate are the most common bases used for Suzuki cross-coupling reactions besides Cs2CO3, TlOH, KF, and NaOH, which could also be used. Tetrakis(triphenylphosphine)-palladium(0) (Pd(PPh3)4) represents the most frequently used heterogeneous catalyst; aryl halide and organoboron molecules adsorb on its surface through the metal–carbon bond. Then, the two carbons couple together to form a new C–C single bond [9]. Pd(PPh3)4 has been frequently employed as a catalyst in Suzuki coupling reactions in mild conditions and produces moderate to good yields [11,11,12]. Additionally, [1,1′-Bis(diphenylphosphino)ferrocene]dichloropalladium(II) (Pd(dppf)Cl2) has been used for Suzuki cross-coupling reactions, producing excellent yields due to its donority character [13]. The mechanism of the Suzuki coupling reaction includes the formation of organopalladium halide (R-Pd-X) via the oxidative addition of the aryl halide to the Pd(0)-catalyst (the rate-determining step). Then, the boron-palladium transmetallation of the main group in an organoboron molecule (R′-B-Y2) forms the diorganopalladium complex (R-Pd-R′). Finally, the (R-R′) molecule is produced by a reductive elimination accompanied by Pd(0)-catalyst regeneration [14].
Arylboronic acids and esters are crucial building blocks for different organic transformations, particularly for Suzuki–Miyaura cross-coupling reactions [14,15,16]. Although boronic acids and esters are versatile and commercially available, most chemists synthesize aryl pinacol ester derivatives (boronates) in their laboratories using the Miyaura borylation reaction for some points of view. The main reason is that the borylation reaction helps chemists to design molecules with a specific functionality and configuration that serve the aim of this particular work. In addition, boronates have more stability towards isolation and purification by column chromatography. This stability comes from the donating ability of the sigma bond of carbon and the conjugation of the lone pair of oxygen to the electron-deficient boron atom. This reduces the Lewis-acidity of boron and subsequently reduces its reactivity with respect to boronic acids. Moreover, boronates are more soluble in organic solvents and do not tend to oligomerize [17].
Hence, the synthesis of aryl boronates has gained a great deal of attention [18,19,20]. Miyaura borylation reaction involves the reaction of vinyl or aryl halide with bis(pinacolato)diboron in the presence of Pd-catalysts to form boronates (containing the C–B bond). The reaction is performed in mild conditions of 80–100 °C and in the presence of carboxylate salt, usually KOAc. Pd(dppf)Cl2 [21,22,23] and Pd(PPh3)2Cl2 [24,25,26] are commonly used as precatalysts for Miyaura borylation reactions.
The second common Pd-catalyzed C-C coupling reaction is the Stille coupling reaction, which involves the reaction between organic or pseudo-halides (electrophiles) with organotin (organostannanes) nucleophiles in the presence of Pd-catalysts [27]. This reaction has two main advantages, represented in its mild conditions and high yields [28]. Pd(PPh3)4, Pd(PPh3)2Cl2, Pd(CH3CN)2Cl2, and Pd2(dba)3 are considered good catalysts for Stille coupling reactions [29,30,31,32]. Like organoboron derivatives, organstannanes can tolerate highly sensitive functional groups, which helps eliminate the tedious steps of sensitive group protection and deprotection processes. On the other hand, organostannanes are more toxic than organoboron counterparts.
So far, palladium-catalyzed cross-coupling reactions—particularly Suzuki, Miyaura, and Stille coupling reactions—have found numerous applications in academic, pharmaceutical, and industrial fields for synthesizing promising multifunctional compounds, biologically active molecules, and natural products [33,34,35,36,37].
Phenothiazines are tri-heterocyclic donors containing nitrogen and sulfur atoms in their structures. They are easy to be functionalized, have multiple modifiable positions, and are commercially available at cheap prices. The presence of N and S atoms makes them promising electron-donors [38]. Phenoxazines have chemical and electrochemical properties similar to those of phenothiazines due to their similar chemical structures and them replacing the S atom of the phenothiazine core with an oxygen atom. The aromaticity of phenoxazines is somewhat less than that of phenothiazines due to the restrictions of aromaticity caused by the oxygen atom [39]. Additionally, carbazoles are tri-heterocyclic compounds bearing a pyrrole central ring fused to two benzene rings. Carbazole compounds have rigid planar configurations and can be eConverselysily functionalized at C2, C3, C6, C7, and the N atom [40]. Conversely, quinoxalines are di-heterocyclic compounds containing a pyrazine ring fused at C5 and C6 to the benzene ring. These compounds are electron-deficient in nature; they bear two pyridine-like nitrogen atoms [41].
Phenothiazine and phenoxazine [42,43], the two electron-rich compounds with closer electronic structures and rigid butterfly configurations; carbazole [44], the comparatively less electron-rich, more planar, and more p-conjugated compound (with respect to PTZ and POZ); triphenylamine [45], with a high electron density and propeller shape; quinoxaline [46], the electron-deficient building block; imidazole [47], the bipolar unit with two distinctive nitrogen atoms that are potential heteroaromatic units; and indolinium iodide salt [48] have been exploited in Pd-catalyzed cross-coupling reactions for versatile applications. In continuation of our interest in using the above-mentioned heteroaromatic nuclei in designing and synthesizing a variety of donor and donor-acceptor systems applicable for different fields [5,49,50,51,52,53], we started by using Pd(PPh3)2Cl2 or Pd(dppf)Cl2 to furnish 17 pinacol boronate esters based on PTZ, POZ, and Cz for the sake of engaging these valuable precursors in different coupling reactions. Quinoxaline was successfully employed for the Stille coupling reaction for more functionalization. Afterward, the synthesized pinacol boronates were coupled with the synthesized halogenated quinoxaline acceptors under Suzuki cross-coupling conditions.
2. Results and Discussion
Synthesis
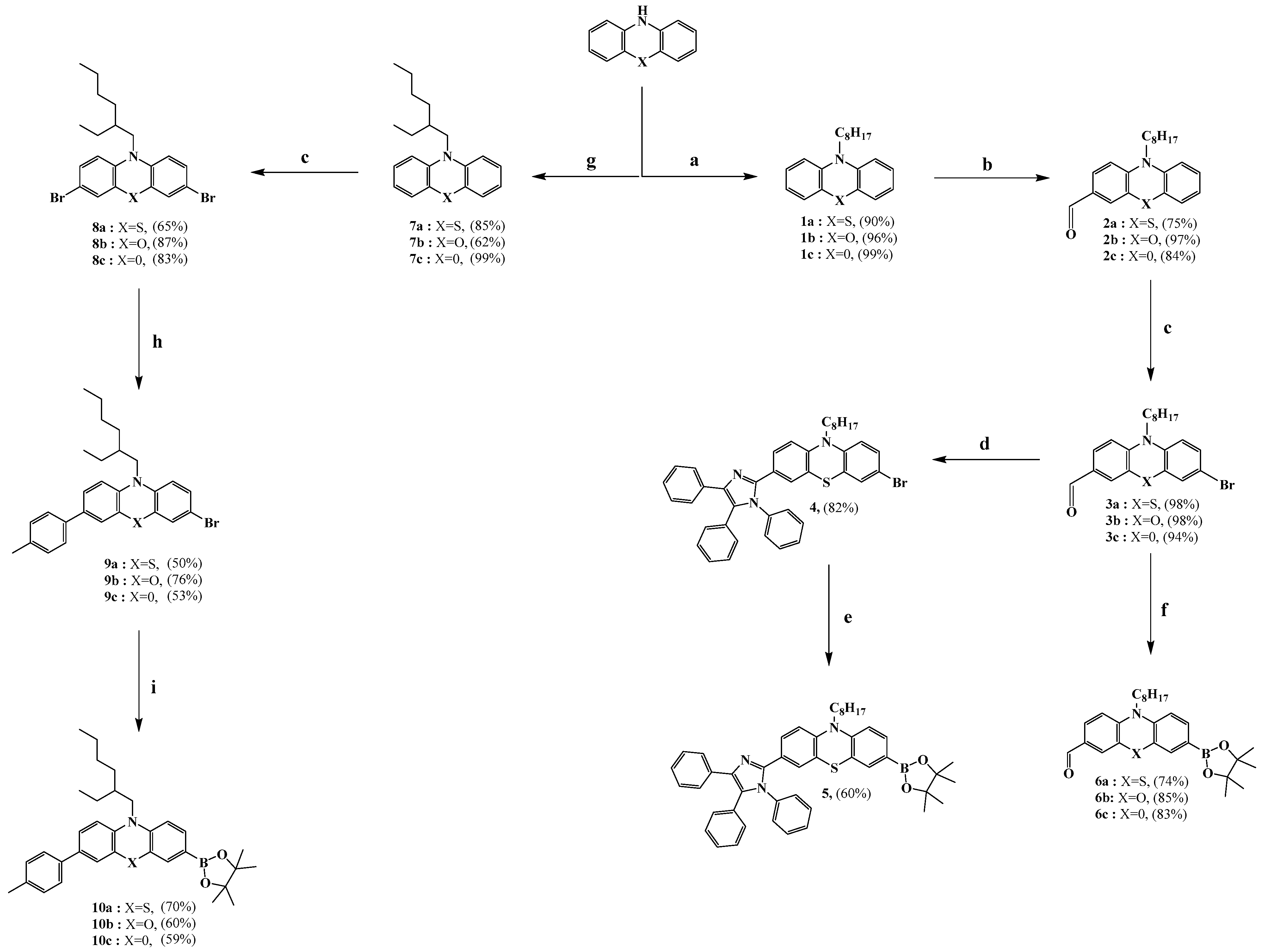
We commenced our work with borylation reaction for heterocyclic donors to end up with a variety of heteroaromatic pinacol boronate precursors ready for C-C coupling reactions (Scheme 1). Our group of researchers recently published the synthesis of 1b,c-4b,c [51] and 5a-c to 8a-c [52] in excellent yields utilizing Pd(PPh3)2Cl2 and Pd(dppf)Cl2. Accordingly, borylated N-octyl phenothiazine derivative 6a was synthesized through the N-alkylation of phenothiazine followed by Vilsmeier formylation reaction to afford 1a and 1b, respectively. Compound 3a was subjected to a bromination reaction followed by a Miyaura borylation reaction through cross-coupling with B2Pin2 catalyzed by Pd(dppf)Cl2 in the presence of KOAc salt to obtain the 6a precursor in a good yield (74%). The bulky borylated imidazole-phenothiazine precursor 5 was obtained by the cost-effective Debus–Radziszewski synthesis of imidazole moiety (4), which underwent Miyaura borylation reaction using Pd(PPh3)2Cl2.
Scheme 1.
Synthesis of borylated N-alkyl PTZ, POZ, Cz derivatives using Pd(dppf)Cl2 or Pd(PPh3)2Cl2. a) DMF, NaOH, rt, b) DMF, POCl3, reflux, c) NBS, THF, rt, d) Benzil, PhNH2, AcONH4 AcOH, 110 °C, e) B2Pin2, KOAc, Pd(PPh3)2Cl2, toluene, 110 °C, f) B2Pin2, Pd(dppf)Cl2, KOAc, dioxane, 90 °C, g) 3-(Bromomethyl)heptane, NaOH 50%, TBAI, 70 °C, h) 4-Methylphenylboronic acid, toluene, Pd(PPh3)4, K2CO3, 90 °C, Ar, i) B2Pin2, toluene, Pd(PPh3)2Cl2, KOAc, 90 °C, Ar.
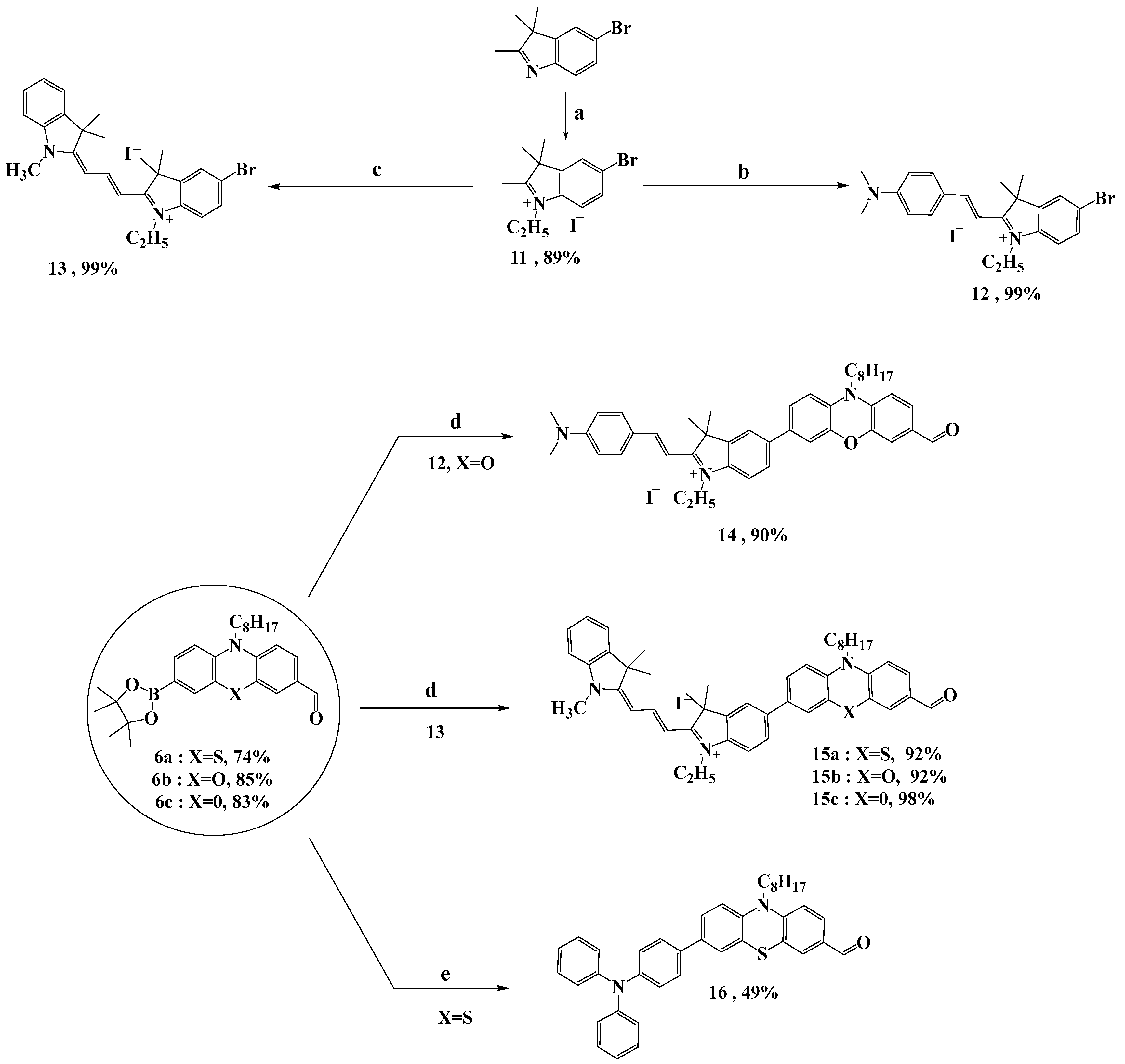
Afterward, the borylated precursors 6a-c were successfully exploited to introduce indolinium and triphenylamine moieties to phenothiazine, phenoxazine, and carbazole central cores (Scheme 2). BPin (4,4,5,5-pentamethyl-1,3,2-dioxaborolanyl) moiety was incorporated in C-C coupling reactions between borylated phenoxazine precursor 6b and bromoindolinium coupler 12 to afford chromophore 14 using Pd(dppf)Cl2. Likewise, chromophores 15a-c were obtained in excellent yields by a C-C coupling reaction between the borylated phenothiazine, phenoxazine, and carbazole with bromoindolinium coupler 13. As demonstrated in Scheme 2, indolinium iodide derivatives 12 and 13 were synthesized in an excellent yield (99%) via the Knoevenagel condensation reaction of the brominated indolinium iodide salt 11 with 4-(dimethylamino)benzaldehyde and 2-(1,3,3-trimethylindolin-2-ylidene)acetaldehyde, respectively. Historically, triphenylamine has been widely used in organic synthesis owing to its propeller configuration and electron richness [54]. The C-C coupling reaction of borylated phenothiazine precursor 6a with the electron-rich 4-bromotriphenylamine afforded chromophore 16 in a comparatively lower yield (49%) by using Pd(PPh3)4. It has been reported that the Suzuki cross-coupling reaction rate is slightly dependent on electronic factors [55]. This may indicate that the Suzuki cross-coupling reaction preferred an electron-poor coupler, which appears clearly from the high yield of 14 and 15a-c.
Scheme 2.
C-C coupling reactions of N-alkyl PTZ, POZ, Cz boronic acid pinacol ester derivatives with indole or TPA precursors using Pd(dppf)Cl2 or Pd(PPh3)4. a) CH3CH2I, CH3CN, reflux, b) 4-(Dimethylamino)benzaldehyde, EtOH, piperidine, 60 °C, overnight, c) 2-(1,3,3-Trimethylindolin-2-ylidene)acetaldehyde, Ac2O, 90 °C, d) Pd(dppf)Cl2, K2CO3, toluene/MeOH, Ar, 85 °C, e) 4-Bromotriphenylamine, Pd(PPh3)4, 2M K2CO3, CH3CN, Ar, 90 °C.
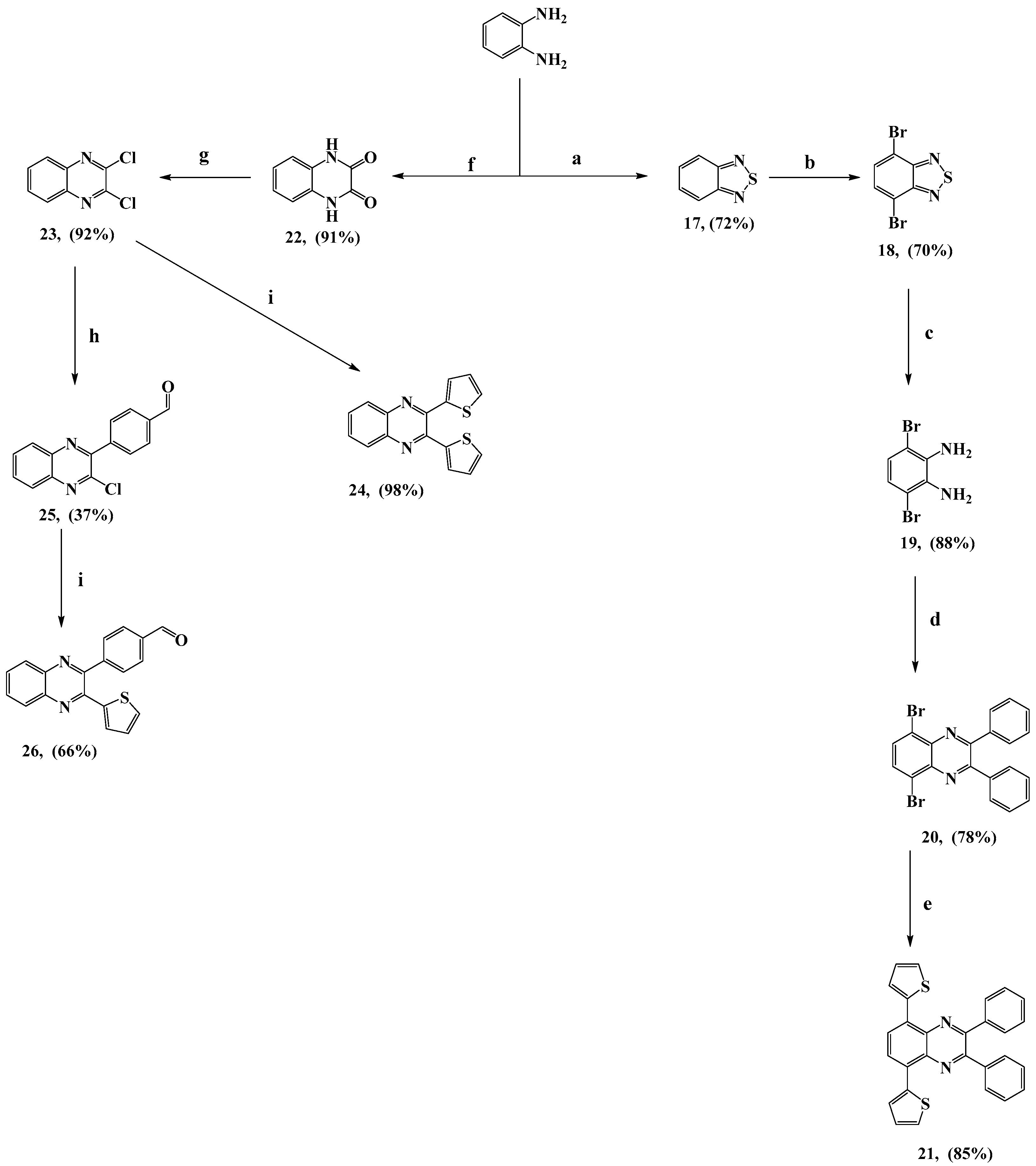
Quinoxaline is considered an electron-deficient moiety thanks to the two electron-withdrawing imine (C=N) groups in the pyrazine ring. Subsequently, it was selected to be a good coupler in C-C coupling reactions. Wisely, three quinoxaline derivatives (21, 24, 26) have been synthesized utilizing the Suzuki cross-coupling reaction and Stille coupling reaction (Scheme 3) using Pd(PPh3)4 and Pd(PPh3)2Cl2, respectively. The substituted dibromoquinoxaline coupler 20 was successfully synthesized in four steps, starting from the benzothiadiazole compound 17 obtained from the reaction of o-phenylenediamine with thionyl chloride in the presence of pyridine. Then, a di-bromination reaction with N-bromosuccimide followed by a sulfur extrusion reaction using the good reducing reagent sodium borohydride afforded 18 and 19, respectively. Forming 2,3-diphenylquinoxaline moiety was accomplished through the condensation of compound 19 with benzil in an acidic medium. The Stille coupling reaction was performed on coupler 20 for the decoration of chromophore 21 with two thiophene rings. This coupling reaction utilized 2-(tributylstannyl)thiophene in the presence of Pd(PPh3)2Cl2, which gives an excellent yield of 85%, owing to the electron deficiency of the quinoxaline central core. On the other hand, the reaction between o-phenylenediamine and oxalic acid afforded quinoxalinedione 22, which underwent a double chlorination reaction using POCl3 in DMF to obtain 2,3-dichloroquinoxaline 23. Then, again, the Stille coupling reaction was performed between coupler 23 and 2-(tributylstannyl)thiophene to obtain 2.3-dithienylquinoxaline 24. The two Cl in compound 23 were exploited for the synthesis of chromophore 26 in two steps: first, Suzuki cross-coupling with 4-formylphenylboronic acid using Pd(PPh3)4 to obtain compound 25, which then coupled with 2-(tributylstannyl)thiophene through a Stille coupling reaction to afford 26 in a moderate yield (66%).
Scheme 3.
Synthesis of quinoxaline derivatives by C-C coupling reactions using Pd(PPh3)2Cl2 and Pd(PPh3)4. a) SOCl2, pyridine, toluene, reflux, b) Br2, HBr 47%, reflux, c) NaBH4, THF/EtOH, d) Benzil, toluene/AcOH, reflux, e) 2-(Tributylstannyl)thiophene, Pd(PPh3)2Cl2, toluene, 110 °C, N2, f) Oxalic acid, 4N HCl, reflux, g) POCl3, DMF, reflux, h) 4-Formylphenylboronic acid, toluene:MeOH (5:1), Pd(PPh3)4, K2CO3, 80 °C, Ar, i) 2-(Tributylstannyl)thiophene, Pd(PPh3)2Cl2, DMF, 110 °C.
Additionally, the synthesized quinoxaline chromophores 24 and 26 and the carbazole-BPin derivative 10c were used in the synthesis of the three carbazole-quinoxaline chromophores 28, 31, and 32, as shown in Scheme 4. Initially, the thiophene ring in both 24 and 26 were brominated at position 5 using the formal bromination conditions of NBS in DMF to afford two couplers, 27 and 29. Coupler 30 was obtained from the Suzuki cross-coupling reaction between coupler 29 and 4-formylphenylboronic acid. Finally, couplers 27, 30, and 25 were coupled with the carbazole-BPin derivative 10c for the synthesis of 28, 31, and 32 in good yields.
Scheme 4.
C-C coupling reactions of N-alkyl carbazole boronic acid pinacol ester derivative with the synthesized quinoxaline precursors using Pd(PPh3)4. a) NBS, DMF, rt, b) 4-Formylphenylboronic acid, toluene, Pd(PPh3)4, K2CO3, 90 °C, Ar, c) Toluene:EtOH:H2O (2:1:1), Pd(PPh3)4, K2CO3, 80 °C, Ar.
The structures of all of these compounds were confirmed by the spectral data of IR, 1H-NMR, 13C-NMR, DEPT-135, and HRMS (see supplementary data; Figures S1–S83).
To discuss the different conditions of the Miyaura borylation, Suzuki cross-coupling reaction, and Stille coupling reactions, summaries of our work in the field were illustrated in Table 1, Table 2, Table 3 and Table 4. The Miyaura borylation reaction has been accomplished for the synthesis of PTZ, POZ, and Cz heteroarylboronates (4, 6a-c, and 10a-c) under the following conditions: Pd(PPh3)2Cl2 or Pd(dppf)Cl2 as catalysts and sources for palladium, potassium acetate as a weak base, toluene or dioxane as reaction media, and refluxing from 90 to 110 °C for 12–24 h under N2 or Ar (Table 1). Obviously, the use of Pd(PPh3)2Cl2 in the borylation of PTZ-, POZ-, and Cz-based boronates linked to imidazolyl (5) or p-tolyl (10a-c) moieties afforded the corresponding boronates in moderate yields of Pd-catalyzed borylation reaction (60–70%), even by using two different linking groups of bulky triphenyl imidazole and simple p-tolyl units and two different molar ratios (substrate:catalyst:base of 50:1:125 for imidazolyl derivative 5 and 20:1:60 for p-tolyl derivatives 10a-c). Fortunately, the use of Pd(dppf)Cl2 in the borylation reaction catalysis of brominated PTZ, POZ, and Cz compounds was successfully accomplished in the synthesis of PTZ, POZ, and Cz heteroarylboronates bearing an aldehyde group 6a-c in excellent yields (94–98%), applying a molar ratio of 20:1:60 but with the same long time of 24 h. It is noteworthy that the yield obtained was much higher for the boronate esters 6a-c compared with 5 and 10a-c. This result is mainly attributed to the electronic structure of the substrate. As can be seen, the formyl substrates are much more deactivated due to the formyl group compared with the imidazolyl moiety. This attribution is manifested using the p-tolyl analogues 10a-c, as these compounds are electronically activated; thus, the yield was lower than that of 6a-c.
Table 1.
Summary of the Miyaur borylation reaction of brominated N-alkyl PTZ, POZ, and Cz couplers.
Table 2.
Summary of Suzuki cross-coupling reactions of halogenated N-alkyl PTZ, POZ Cz, and QX couplers with commercial arylboronic acid precursors.
Table 3.
Summary of Stille coupling reactions of halogenated QX couplers with commercial arylboronic acid precursors.
Table 4.
Summary of Suzuki cross-coupling reactions of borylated N-alkyl PTZ, POZ, and Cz precursors with halogenated indolinium, TPA, and QX couplers.
By applying Suzuki cross-coupling conditions in reacting brominated electron-donors PTZ, POZ, and Cz with 4-tolylboronic acid in the presence of Pd(PPh3)4 and potassium carbonate in toluene, compounds 9a-c were obtained in moderate yields (76–50%) during a reaction period of 24 h. Lower yields (37–20%) were obtained for compounds 25 and 30 from Suzuki coupling between the electron-deficient halogenated QX couplers 23 and 29 and 4-formylphenyl boronic acid using the same conditions of Pd(PPh3)4 and K2CO3 and a reaction time of 20–24 h. The low yields may be attributed to the acidity of compounds 23 and 29, which makes this compound susceptible to hydrolysis, together with the orthodicholoro steric factor. Furthermore, boronic acids easily undergo side reactions such as oxidation, protodeboronation, or palladium-catalyzed homocoupling during Suzuki coupling reactions [56]. Moreover, in anhydrous conditions, boronic acids tend to be in equilibrium with a trimeric anhydride (boroxine), and this process is not straightforward. Thus, an excess of boronic acids is required in the Suzuki cross-coupling reaction [17].
Interestingly, the electron-deficient QX couplers proved to be coupled efficiently using the Stille coupling reaction, which involves the coupling between electron-rich orgaostannane and electron-deficient halide, without the use of the base. This result confirms that the basic medium is unsuitable for such electron-deficient molecules, owing to their acidity. Thus, di-brominated and di- and mono-chlorinated QX couplers were subjected to Stille coupling conditions in the presence of tributyl stannyl thiophene catalyzed by Pd(PPh3)2Cl2. Among the three halogenated couplers demonstrated in Table 3, the most electron-deficient QX derivative, 2,3-dichloroquioxaline 23, afforded chromophore 24 in an excellent yield (98%) in only one hour. The di-brominated QX coupler 20, which is less electron-deficient due to the conjugation with two phenyl groups, gave a good yield (85%) of product 21 in 2 h. Coupler 25, which has a QX unit linked to the 4-formylphenyl moiety, afforded a moderate yield (66%) of product 26, which may be attributed to a steric factor. The overall results of QX-based couplers confirm the suitability of the Stille coupling condition compared with the Suzuki one.
The conditions of the Suzuki cross-coupling reactions between the synthesized PTZ, POZ, and Cz boronates and the halogenated indolinium, triphenylamine, and quinoxaline couplers are summarized in Table 4. In terms of catalysis, Pd(dppf)Cl2 efficiently catalyzed the reaction to afford the desired chromophores 14 and 15a-c in excellent yields ranging from 90% to 98%. The phenoxazine-based indolinium chromophores 14 and 15b took a longer reaction time (24 h) in contrast to the phenothiazine and carbazole counterparts, which were obtained in half an hour. This is in contrast to the synthesis of the carbazole-quinoxaline chromophores 28, 31, and 32, which were catalyzed by Pd(PPh3)4 and gave good yields of 69–86% in a comparatively short time (2–3 h). In the case of phenothiazine-triphenylamine chromophore 16, the low yield of 49% was attributed to the triphenylamine coupler, in which the Br–C bond is very much activated with the electron-donor character of the amine moiety that would hamper the oxidative coupling when compared with the other cationic coupler. It is worth noting that QX-based couplers could afford a higher yield when boronate ester is used (Table 4) instead of boronic acid (Table 2). This result reflects the usefulness of Miyaura boronate ester over boronic acid for the C–C cross-coupling reaction, because boronic acid acts as a proton donor during the coupling condition, which could lower the yield of the reaction.
3. Experimental
3.1. Materials and Instrumentation
Solvents produced from Sigma, Aldrich, and Fisher were used without purification. All of the used chemicals were of the analytical grade and were used in the synthesis without more purification. The separations of compounds were performed by column chromatography on silica gel (0.063–0.2 mm). The purity of the products was checked by thin layer chromatography (TLC) using an aluminum silica gel F254, and the spot was detected by iodine and/or UV light absorption. NMR spectra were recorded in DMSO–d6 or CDCl3 on Bruker Avance 600 MHz or 850 MHz spectrometers for 1H-NMR and on a 213 MHz spectrometer for 13C-NMR, using the deuterated solvent signal as the internal standard. Chemical shifts (δ) are given in ppm, and coupling constants are given in Hz. The Fourier transform infrared (FTIR) spectra were carried out on a Thermo Scientific Nicolet iS10 FTIR spectrometer. The Thermo Scientific Orbitrap ID-X Tribrid mass spectrometer was used to obtain high-resolution mass spectra (HRMS).
3.2. Synthetic Procedures
3.2.1. Synthesis of 10-octyl-10H-phenothiazine (1a)
Sodium hydroxide (2.0 g, 35.7 mmol) was added to a solution of 10H-phenothiazine (2.4 g, 11.9 mmol), 1-bromooctane (3.5 g, 17.9 mmol), and potassium iodide (catalytic) in 50 mL dimethyl formamide (DMF). The reaction mixture was stirred for 5 h at room temperature, and then 200 mL of water was added. The crude product was extracted with chloroform (3 × 50 mL), and the organic layer was washed with saturated ammonium chloride aqueous solution and then water. The organic layer was dried over anhydrous sodium sulfate. After removing the solvent, the residue was purified by column chromatography on silica gel by using n-Hexane as an eluent to obtain 3.4 g (90%) of compound 1a as a colorless oil. 1H-NMR (850 MHz, CDCl3) δ: 7.12–7.14 (m, 4H, ArH), 6.89 (td, 2H, J = 7.65, 0.85 Hz, ArH), 6.85 (d, 2H, J = 7.65 Hz, ArH), 3.83 (t, 2H, J = 7.65 Hz, N-CH2), 1.79 (qn, 2H, J = 7.65 Hz, CH2), 1.42 (qn, 2H, J = 7.65 Hz, CH2), 1.22–1.32 (m, 8H, 4CH2), 0.86 (t, 3H, J = 7.65 Hz, CH3). 13C-NMR (213 MHz, CDCl3) δ: 145.3, 127.4, 127.1, 124.9, 122.3, 115.4, 47.4, 31.7, 29.2, 29.2, 27.0, 26.9, 22.6, 14.1. IR (cm−1): C-H Olefinic 3066, aliphatic 2923, 2852, C=C stretch 1594, 1571. MS (ESI): m/z calcd for C20H26NS 312.2 [M+1]+, found 312.1.
3.2.2. Synthesis of 10-octyl-10H-phenothiazine-3-carbaldehyde (2a)
To an ice-cooled flask containing N,N-dimethylformamide (0.5 g, 0.5 mL, 7 mmol), phosphoryl chloride (0.3 g, 0.2 mL, 2.1 mmol) was added dropwise with stirring. After the addition, the solution was stirred at room temperature for 90 min. Then, the flask was cooled again in an ice bath, and compound 1a (0.3 g, 1 mmol) was added. The reaction mixture was warmed gradually to run at 75 °C for 12 h. Then, it was cooled to room temperature, poured into ice water, basified with a saturated aqueous solution of potassium carbonate, extracted with chloroform (4 × 30 mL, washed, dried with magnesium sulfate, evaporated, and purified by column chromatography using petroleum ether:ethyl acetate (98:2) as an eluent to obtain 0.25 g (75%) of compound 2a as a yellow oil. 1H-NMR (850 MHz, CDCl3) δ: 9.79 (s, 1H, CHO), 7.64 (dd, 1H, J = 8.5, 1.7 Hz, ArH), 7.58 (d, 1H, J = 1.7 Hz, ArH), 7.15–7.17 (m, 1H, ArH), 7.11 (dd, 1H, J = 7.65, 0.85 Hz, ArH), 6.96 (td, 1H, J = 7.65, 0.85 Hz, ArH), 6.87–6.90 (m, 2H, ArH), 3.88 (t, 2H J = 7.65 Hz, N-CH2), 1.81 (qn, 2H, J = 7.65 Hz, CH2), 1.43 (qn, 2H, J = 7.65 Hz, CH2), 1.21–1.33 (m, 8H, 4CH2), 0.86 (t, 3H, J = 7.65 Hz, CH3). 13C-NMR (213 MHz, CDCl3) δ: 190.1, 150.8, 143.5, 131.0, 130.1, 128.4, 127.6, 127.5, 125.0, 123.8, 123.6, 115.9, 114.8, 48.0, 31.7, 29.7, 29.2, 29.1, 26.8, 26.7, 22.6, 14.1. IR (cm−1): C-H aliphatic 2924, 2853, C-H aldehyde 2723, C=O aldehyde 1683, C=C stretch 1597, 1573. MS (ESI): m/z calcd for C21H26NOS 340.2 [M+1]+, found 340.2.
3.2.3. Synthesis of 7-bromo-10-octyl-10H-phenothiazine-3-carbaldehyde (3a)
In an ice bath, compound 2a (5.8 g, 17 mmol) was dissolved thoroughly in dry THF (85 mL), followed by the addition of N-bromosuccinimide (NBS) (3.2 g, 18. Mmol). The reaction system stirred for 1 h at 0 °C and then left at room temperature to stir until completion. The workup and purification process was handled as described above. The product was extracted with chloroform, dehydrated with Na2SO4, and purified by re-crystallization with EtOH to give a yellow-orange oil (7.0 g, 98%). 1H-NMR (850 MHz, CDCl3): δ in ppm 0.86 (t, 3H, J = 7.2 Hz, CH3), 1.23–1.31 (m, 8H, 4CH2), 1.42 (quint, 2H, J = 7.6 Hz, CH2), 1.78 (quint, 2H, J = 7.4 Hz, CH2), 3.85 (t, 2H, J = 7.2 Hz, CH2), 6.71 (d, 1H, J = 8.7 Hz, ArH), 6.9 (d, 1H, J = 8.5 Hz, ArH), 7.22 (d, 1H, J = 2.3 Hz, ArH), 7.25 (dd, 1H, J = 8.6, 2.3 Hz, ArH), 7.57 (d, 1H, J = 1.9 Hz, ArH), 7.65 (dd, 1H, J = 8.5, 1.9 Hz, ArH), 9.8 (s, 1H, CHO). 13C-NMR (214 MHz, CDCl3): δ in ppm 14.07 (CH3), 22.57 (CH2), 26.57 (CH2), 26.7 (CH2), 29.07 (CH2), 29.13 (CH2), 31.66 (CH2), 48.02 (NCH2), 114.97 (CH), 115.78 (C), 117.06 (CH), 124.34 (C), 126.09 (C), 128.43 (CH), 129.75 (CH), 130.2 (CH), 130.24 (CH), 131.21 (C), 142.58 (C), 150.3 (C), 189.03 (CHO). IR (cm−1): C-H olefinic 3051, C-H aliphatic 2943, 2852, C-H aldehyde 2725, C=O 1684, C=C 1593, 1563. MS (ESI): m/z calcd for C21H25BrNOS 418.1 [M+1]+ and 420.1 [M+3]+, found 418.0 and 420.0, respectively.
3.2.4. Synthesis of 3-bromo-10-octyl-7-(1,4,5-triphenyl-1H-imidazol-2-yl)-10H-phenothiazine (4)
To a solution of compound 3a (0.4 g, 1 mmol) and phenylamine (0.1 g, 1.5 mmol) in glacial acetic acid, benzil (0.2 g, 1 mmol), and ammonium acetate (0.4 g, 5 mmol) was added. The mixture was stirred at 110 °C for 12 h. After cooling, the solution was poured into a copious amount of water and then neutralized with sodium bicarbonate solution. The dark precipitate was filtered and washed with water. The product was then purified by column chromatography on silica gel by using petroleum ether:ethyl acetate (97:3) as an eluent, affording compound 4 as an off-white powder (0.5 g (82%), m.p. 145 °C). 1H-NMR (850 MHz, DMSO-d6) δ: 7.47–7.48 (m, 2H, ArH), 7.32–7.37 (m, 5H, ArH), 7.28–7.30 (m, 5H, ArH), 7.23–7.26 (m, 4H, ArH), 7.18 (t, 1H, J = 7.65 Hz, ArH), 7.14 (dd, 1H, J = 8.5, 1.7 Hz, ArH), 7.12 (d, 1H, J = 1.7 Hz, ArH), 6.91–6.94 (m, 2H, ArH), 3.80 (t, 2H, J = 6.8 Hz, N-CH2), 1.61 (qn, 2H, J = 7.65 Hz, CH2), 1.33 (qn, 2H, J = 7.65 Hz, CH2), 1.18–1.23 (m, 8H, 4CH2), 0.83 (t, 3H, J = 7.65 Hz, CH3). 13C-NMR (213 MHz, DMSO-d6) δ: 145.4, 144.8, 143.8, 136.1, 131.7, 131.6, 130.7, 130.1, 130.0, 129.7, 129.5, 129.4, 129.2, 128.9, 128.6, 128.1, 126.9, 126.8, 125.9, 122.8, 118.1, 115.9, 114.4, 47.0, 31.5, 29.0, 28.9, 26.4, 22.5, 14.4. IR (cm−1): C-H olefinic 3061, C-H aliphatic 2922, 2854, C=C stretch 1600. MS (ESI): m/z calcd for C41H39BrN3S 684.2 [M+1]+ and 686.2 [M+3]+, found 684.2 and 686.2, respectively.
3.2.5. Synthesis of 10-octyl-3-(4,4,5,5-tetramethyl-1,3,2-dioxaborolan-2-yl)-7-(1,4,5-triphenyl-1H-imidazol-2-yl)-10H-phenothiazine (5)
A solution of 4 (0.7 g, 1 mmol), bis(pinacolato)diboron (0.3 g, 1.1 mmol), potassium acetate (0.3 g, 2.5 mmol), and Bis(triphenylphosphine)palladium(II) dichloride (0.02 g, 0.02 mmol) in dry toluene (40 mL) was refluxed at 110 °C under an N2 atmosphere for 18 h. After being cooled to room temperature, the mixture was poured into water (40 mL), and the organic layer was separated. The aqueous layer was extracted with dichloromethane (3 × 40 mL), and the combined organic layers were dried over anhydrous sodium sulphate. The organic solvent was evaporated to dryness, and the crude product was purified by silica gel column chromatography, eluting with petroleum ether:ethyl acetate (94:6) to obtain 0.4 g (60%) of a yellow solid (m.p.: 140 °C). 1H-NMR (850 MHz, CDCl3) δ: 7.61 (d, 2H, J = 7.65 Hz, ArH), 7.58 (dd, 1H, J = 8.5, 1.7 Hz, ArH), 7.51 (d, 1H, J = 1.7 Hz, ArH), 7.21–7.34 (m, 10H, ArH), 7.13–7.14 (m, 3H, ArH), 7.07 (m, 2H, ArH), 6.80 (d, 1H, J = 8.5 Hz, ArH), 6.67 (d, 1H, J = 8.5 Hz, ArH), 3.80 (t, 2H, J = 7.65 Hz, NCH2), 1.76 (qn, 2H, J = 7.65 Hz, CH2), 1.39 (qn, 2H, J = 7.65 Hz, ArH), 1.34 (s, 12H, 4CH3), 1.25–1.30 (m, 8H, 4CH2), 0.89 (t, 3H, J = 7.65 Hz, CH3). 13C-NMR (213 MHz, CDCl3) δ: 147.24, 146.09, 144.66, 136.95, 134.11, 133.76, 131.12, 130.67, 130.51, 129.20, 128.43, 128.35, 128.20, 127.97, 127.76, 127.64, 127.47, 126.67, 124.57, 123.50, 114.69, 114.62, 83.73, 47.49, 31.76, 29.21, 29.18, 26.81, 26.64, 24.85, 22.65, 14.15. IR (cm−1): C-H aliphatic 2924, 2854, C=C stretch 1580. MS (ESI): m/z calcd for C47H51BN3O2S 732.4 [M+1]+, found 732.6.
3.2.6. Synthesis of 10-octyl-7-(4,4,5,5-tetramethyl-1,3,2-dioxaborolan-2-yl)-10H-phenothiazine-3-carbaldehyde (6a)
Potassium acetate (4.2 g, 0.03 mol) and Pd(dppf)Cl2 (0.4 g, 5 × 10−4 mol) were added to the mixture of the brominated derivatives 3a (4.2 g, 0.01 mol) and bis(pinacolato)diboron (3.1 g, 0.012 mol) in dry 1,4-dioxane (100 mL). The reactions took place under a nitrogen atmosphere with reflux at 90 °C for 34 h. The mixtures were left to cool down to room temperature before performing extraction with CHCl3 (20 mL × 5–6 times). After extraction, the organic layers were dried with anhydrous Na2SO4 and worked up as usual. Purification with column chromatography, using the system PE/EA (9.5:0.5) as an eluent, afforded the desired pure compound as a yellow oil (3.5 g, 74%). 1H-NMR (850 MHz, CDCl3): δ in ppm 9.78 (s, 1H, CHO), 7.61 (dd, 1H, J = 8.4, 1.7 Hz, ArH), 7.58 (dd, 1H, J = 8.1, 1.1 Hz, ArH), 7.55 (d, 1H, J = 1.7 Hz, ArH), 7.52 (d, 1H, J = 1.1 Hz, ArH), 6.88 (d, 1H, J = 8.4 Hz, ArH), 6.84 (d, 1H, J = 8.2 Hz, ArH), 3.87 (t, 2H, J = 7.3 Hz, CH2), 1.79 (quint, 2H, J = 7.4 Hz, CH2), 1.41 (quint, 2H, J = 7.4 Hz, CH2), 1.32 (s, 12H, 4CH3), 1.21–1.3 (m, 8H, 4CH2), 0.85 (t, 3H, J = 7.3 Hz, CH3). 13C-NMR (214 MHz, CDCl3): δ in ppm 190.12 (CHO), 150.25 (C), 145.92 (C), 134.39 (CH), 133.9 (CH), 131.18 (C), 129.96 (CH), 128.42 (CH), 125.14 (C), 122.96 (C), 115.26 (CH), 114.92 (CH), 83.88 (2C), 48.01 (NCH2), 31.72 (CH2), 29.18 (CH2), 29.13 (CH2), 26.75 (CH2), 26.64 (CH2), 24.85 (4CH3), 22.63 (CH2), 14.13 (CH3). IR cm−1: C-H olefinic 3043, C-H aliphatic 2954, 2853, C-H aldehyde 2724, C=O 1686, C=C 1602, 1578.
3.2.7. Synthesis of 5-bromo-1-ethyl-2,3,3-trimethyl-3H-indolium iodide (11)
N-alkylation of the indolenine derivative was carried out through the dissolution of a mixture of 5-bromo-2,3,3-trimethylindolenine (14.3 g, 60 mmol) and iodoethane (28.0 g, 180 mmol) in 150 mL acetonitrile at room temperature, which was then refluxed at 85 °C for 48 h. Then, the CH3CN was evaporated using a rotary evaporator. Pure brown crystals 11 (21.2 g, 89.6%) with an m.p. of 220.5 °C were obtained by concentrating the residue in acetone and re-precipitating with diethyl ether (five times). 1H-NMR (600 MHz, DMSO-d6): δ in ppm 8.18 (d, 1H, J = 1.7 Hz, ArH), 7.94 (d, 1H, J = 8.5 Hz, ArH), 7.85 (dd, 1H, J = 8.6, 1.8 Hz, ArH), 4.47 (q, 2H, J = 7.3 Hz, CH2), 2.81 (s, 3H, CH3), 1.54 (s, 6H, 2CH3), 1.42 (t, 3H, J = 7.4 Hz, CH3). 13C-NMR (214 MHz, DMSO-d6): δ in ppm 197.08, 144.68, 140.48, 132.37, 127.34, 123.25, 117.71, 54.86, 43.8, 22.11, 14.37, 13.01.IR, cm−1: C-H olefinic 3049,C-H aliphatic 2985, 2969, C=N 1605, C=C 1451.
3.2.8. Synthesis of (E)-5-bromo-2-(4-(dimethylamino)styryl)-1-ethyl-3,3-dimethyl-3H-indolium iodide (12)
5-bromo-1-ethyl-2,3,3-trimethyl-3H-indolium iodide (10 mmol, 3.9 g) and 4-dimethylaminobenzaldehyde (12 mmol, 1.6 g) were added to 50 mL ethanol. A catalytic amount of piperidine (1 mmol, 0.1 g, 0.1 mL) was added and refluxed at 60 °C overnight. It was then cooled to room temperature, evaporated, and finally purified by reprecipitation with diethyl ether (3–5 times) to yield 5.2 g (99%) of dark green crystals (m.p.: 219 °C). 1H-NMR (850 MHz, DMSO-d6): δ (ppm) 8.35 (d, 1H, J = 15.5 Hz, =CH), 8.12–8.11 (m, 3H, 3ArH), 7.74 (dd, 1H, J = 8.5, 1.9 Hz, ArH), 7.67 (d, 1H, J = 8.5 Hz, ArH), 7.22 (d, 1H, J = 15.5 Hz, =CH), 6.89 (d, 2H, J = 9.1 Hz, 2ArH), 4.5 (q, 2H, J = 7.3 Hz, CH2), 3.18 (s, 6H, 3CH2), 1.75 (s, 6H, 3CH2), 1.35 (t, 3H, J = 7.3 Hz, CH3). 13C-NMR (213.77 MHz, DMSO-d6): δ (ppm) 178.55 (C=N), 155.17 (CH), 154.81 (C), 145.01 (C), 140.18 (C), 131.64 (2CH), 126.21 (CH), 122.44 (C), 120.15 (C), 115.19 (2CH), 112.35 (CH), 104.11 (2CH), 51.01 (C), 40.57 (CH2), 40.01 (2CH3), 26.29 (2CH3), 13.09 (CH3). IR (cm−1): C-H olefinic 3073, 3016, C-H aliphatic 2972, 2911, C=N 1612, 1591, C=C 1566, 1523. HRMS (ESI): m/z calc. mass for C22H26BrN2 is 397.12739 [M]+ and 399.12534 [M+2]+, found 397.12741 and 399.12519.
3.2.9. Synthesis of 5-bromo-1-ethyl-3,3-dimethyl-2-((E)-3-((E)-1,3,3-trimethylindolin-2-ylidene)prop-1-en-1-yl)-3H-indol-1-ium iodide (13)
5-Bromo-1-ethyl-2,3,3-trimethyl-3H-indolium iodide (11.8 g, 30 mmol) and (E)-2-(1,3,3-trimethylindolin-2-ylidene)acetaldehyde (7.2 g, 36 mmol) were dissolved in a dry flask containing 100 mL of acetic anhydride and left under reflux with stirring at 90 °C for 24 h. After cooling to room temperature, the mixture was dried by vacuum. Purification of the product was carried out by reprecipitation with diethyl ether (three times). The product was obtained in a quantitative yield (17.3 g, 99%) as a dark blue powder (293 °C). 1H-NMR (850 MHz, DMSO-d6): δ (ppm) 8.33 (dd, 1H, J = 13.5 Hz, =CH), 7.93 (d, 1H, J = 2 Hz, ArH), 7.66 (d, 1H, J = 7.3 Hz, ArH), 7.63 (dd, 1H, J = 8.3, 2 Hz, ArH), 7.51 (d, 1H, J = 7.9 Hz, ArH), 7.47 (ddd, 1H, J = 8, 8, 1.1 Hz, ArH), 7.41 (d, 1H, J = 8.4 Hz, ArH), 7.33 (ddd, 1H, J = 7.3, 7.3, 0.9 Hz, ArH), 6.53 (d, 1H, J = 13.6 Hz, =CH), 6.47 (d, 1H, J = 13.3 Hz, =CH), 4.13 (q, 2H, J = 7.2 Hz, CH2), 3.68 (s, 3H, CH3), 1.70 (s, 6H, 2CH3), 1.69 (s, 6H, 2CH3), 1.30 (t, 3H, J = 7.3 Hz, CH3). 13C-NMR (213.77 MHz, DMSO-d6): δ (ppm) 175.05 (C=N), 172.35 (C=N), 149.71 (CH), 142.87 (C), 142.55 (C), 140.93 (C), 140.72 (C), 131.35 (CH), 128.59 (CH), 125.78 (2CH), 125.54 (CH), 122.43 (CH), 117.13 (C), 112.88 (CH), 111.81 (CH), 103.74 (CH), 101.99 (CH), 49.05 (C), 48.82 (C), 38.92 (CH2), 31.64 (CH3), 27.24 (2CH3), 27.16 (2CH3), 21.05 (C), 12.06 (CH3). IR (cm−1): C-H olefinic 3015, C-H aliphatic 2991, 2968, 2941, C=N 1607, C=C 1549, 1403. HRMS (ESI): m/z calc. mass for C26H30BrN2 is 449.15869 [M]+ and 451.15664 [M+2]+, found 449.15840 and 451.15628, respectively.
3.2.10. General Procedure of the Suzuki Coupling Reaction for the Synthesis of (14, 15a–c), (15a), (15b), (15c)
Before adding any of the reactants or reagents, a mixture of toluene/methanol solvents (1:1) was brought to an inert condition by degassing and purging Ar gas for several minutes. The boronic ester, brominated compound, catalyst (Pd(dppf)Cl2), and base (K2CO3) were added to the inert mixture of solvents in the following proportions (1.5:1:0.1:5). The mixture was purged again with Ar and then left to reflux at 80 °C until completion.
(E)-2-(4-(dimethylamino)styryl)-1-ethyl-5-(7-formyl-10-octyl-10H-phenoxazin-3-yl)-3,3-dimethyl-3H-indol-1-ium iodide (14)
A mixture of 12 (1.3 g, 2.5 mmol), 6b (1.8 g, 3.8 mmol), Pd(dppf)Cl2 (0.2 g, 0.3 mmol), and K2CO3 (1.7 g, 12.5 mmol) was added to the inert solvent mix (Toluene/MeOH, 10:10 mL). The reaction vessel was left to reflux under argon for 24 h. The reaction mixture was then evaporated and filtered by DCM, and the filtrate was finally purified by column chromatography, with a gradual increase in polarity from CHCl3 to CHCl3:MeOH (7:3). The compound was obtained in a low yield (0.5 g, 26%) as a dark blue solid (m.p.: 248 °C). 1H-NMR (850 MHz, DMSO-d6): δ (ppm) 9.69 (s, 1H, CHO), 8.35 (d, 1H, J = 15.5 Hz, =CH), 8.12 (d, 1H, J = 1.6 Hz, ArH), 8.11 (broad d, 2H, J = 6.7 Hz, 2ArH), 7.82 (dd, 1H, J = 8.5, 1.7 Hz, ArH), 7.74 (d, 1H, J = 8.5 Hz, ArH), 7.47 (dd, 1H, J = 8.3, 1.8 Hz, ArH), 7.36 (dd, 1H, J = 8.4, 2.1 Hz, ArH), 7.27 (d, 1H, J = 15.5 Hz, =CH), 7.24 (d, 1H, J = 2.1 Hz, ArH), 7.04 (d, 1H, J = 1.8 Hz, ArH), 6.92 (dd, 2H, J = 8.5, 5.4 Hz, 2ArH), 6.90 (d, 2H, J = 9.1 Hz, 2ArH), 4.56 (q, 2H, J = 7.2 Hz, CH2), 7.71 (t, 2H, J = 8.0 Hz, CH2), 3.18 (s, 6H, 2CH3), 1.81 (s, 6H, 2CH3), 1.16 (quint, 3H, J = 7.4 Hz, CH3), 1.44 (quint, 2H, J = 7.5 Hz, CH2), 1.40 (t, 3H, J = 7.3 Hz, CH3), 1.36 (quint, 2H, J = 7.9 Hz, CH2), 1.31–1.26 (m, 4H, 2CH2), 0.87 (t, 3H, J = 7.0 Hz, CH3). 13C-NMR (213.77 MHz, DMSO-d6): δ (ppm) 189.95 (CHO), 178.43 (C=N)), 154.30 (C), 154.50 (C), 144.22 (C), 144.04 (C), 143.72 (C), 139.86 (C), 138.22 (C), 138.03 (C), 133.09 (C), 130.83 (C), 129.65 (C), 129.63 (C), 129.20 (CH), 126.18 (CH), 122.62 (CH), 122.42 (C), 120.33 (2CH), 113.69 (CH), 113.45 (CH), 113.34 (CH), 113.02 (CH), 112.21 (CH), 111.86 (CH), 104.53 (CH), 50.98 (C), 43.18 (CH2), 40.56 (CH2), 39.91 (2CH3), 31.22 (CH2), 28.80 (CH2), 28.71 (CH2), 26.42 (2CH3), 25.97 (CH2), 24.60 (CH2), 22.07 (CH2), 13.97 (CH3), 13.26 (CH3). IR (cm−1): C-H olefinic 3052, C-H aliphatic 2922, 2851, C=O 1671, C=N 1608, C=C 1567, 1502. HRMS (ESI): m/z calc. mass for C44H50O2N3 is 640.38975 [M]+, found 640.38899.
1-ethyl-5-(7-formyl-10-octyl-10H-phenothiazin-3-yl)-3,3-dimethyl-2-((E)-3-((E)-1,3,3-trimethylindolin-2-ylidene)prop-1-en-1-yl)-3H-indol-1-ium iodide (15a)
The mixture of 13 (1.6 g, 2.7 mmol), 6a (1.9 g, 4.1 mmol), Pd(dppf)Cl2 (0.2 g, 0.3 mmol), and K2CO3 (1.9 g, 13.5 mmol) was refluxed in inert toluene/MeOH (10:10 mL) for half an hour. After completion, the mixture was evaporated, extracted with CHCl3, and then reprecipitated from DCM by PE. A pure dark violet solid of compound 15a was obtained with a yield of 2.1 g (93%) and an m.p. of 172 °C. 1H-NMR (850 MHz, DMSO-d6): δ (ppm) 9.81 (s, 1H, CHO), 8.35 (t, 1H, J = 13.4 Hz, =CH), 7.98 (d, 1H, J = 1.6 Hz, ArH), 7.74 (dt, 2H, J = 8.4, 1.7 Hz, 2ArH), 7.64 (d, 1H, J = 7.3 Hz, ArH), 7.63 (d, 1H, J = 1.9 Hz, ArH), 7.61 (dd, 1H, J = 8.5, 2.1 Hz, ArH), 7.59 (d, 1H, J = 2.2 Hz, ArH), 7.51 (d, 1H, J = 8.4 Hz, ArH), 7.48–7.45 (m, 2H, 2ArH), 7.31 (dt, 1H, J = 7.4, 1.8 Hz, ArH), 7.21 (d, 1H, J = 8.5 Hz, ArH), 7.17 (d, 1H, J = 8.6, ArH), 6.5 (d, 1H, J = 13.4 Hz, =CH), 6.50 (d, 1H, J = 13.5 Hz, =CH), 4.19 (q, 2H, J = 7.1 Hz, CH2), 4.00 (t, 3H, J = 7 Hz, CH2), 3.66 (s, 3H, CH3), 1.75 (s, 6H, 2CH3), 1.71 (s, 6H, 2CH3), 1.41 (quint, 2H, CH2), 1.34 (t, 3H, J = 7.3 Hz, CH3), 1.28 (quint, 2H, J = 7.8, CH2), 1.24–1.19 (m, 8H, 4CH2), 0.82 (t, 3H, J = 6.9 Hz, CH3). 13C-NMR (213.77 MHz, DMSO-d6): δ (ppm) 190.65, 174.45, 173.11, 149.79, 149.49, 142.70, 142.30, 141.63, 140.88, 140.64, 135.87, 134.84, 130.96, 130.42, 128.65, 127.79, 126.55, 126.20, 125.32, 125.11, 123.32, 123.22, 122.46, 120.55, 116.92, 115.69, 111.63, 111.58, 103.11, 102.47, 49.03, 48.93, 47.03, 39.07, 31.12, 28.63, 28.48, 27.42, 27.34, 26.06, 25.94, 22.6, 13.99, 12.32. IR (cm−1): C-H olefinic 3030, C-H aliphatic 2926, 2854, C=N 1682, C=O 1557, C=C 1446, 1413. HRMS (ESI): m/z calc. mass for C47H54N3OS+ is 708.3982 [M]+, found 708.3790.
1-ethyl-5-(7-formyl-10-octyl-10H-phenoxazin-3-yl)-3,3-dimethyl-2-((E)-3-((E)-1,3,3-trimethylindolin-2-ylidene)prop-1-en-1-yl)-3H-indol-1-ium iodide (15b)
The starting materials 13 (1.4 g, 2.5 mmol) and 6b (1.8 g, 3.8 mmol) were mixed with the Pd(dppf)Cl2 catalyst (0.2 g, 0.3 mmol) and K2CO3 base (1.7 g, 12.5 mmol) in toluene/MeOH (10:10 mL) and refluxed at 80 °C under Ar for 24 h. The reaction mixture was then evaporated, extracted with chloroform, and reprecipitated from DCM by PE:EA (1:1). Purified 15b was obtained with a yield of 1.9 g (93%) as a dark violet-blue powder (m.p: 223 °C). 1H-NMR (850 MHz, CDCl3): δ (ppm) 9.67 (s, 1H, CHO), 8.41 (t, 1H, J = 13.3 Hz, =CH), 7.52 (dd, 1H, J = 8.2, 1.7 Hz, ArH), 7.46 (d, 1H, J = 1.6 Hz, ArH), 7.39 (td, 1H, J = 7.9, 1.0 Hz, ArH), 7.36 (d, 1H, J = 7.4 Hz, ArH), 7.33 (dd, 1H, J = 8.2, 1.8 Hz, ArH), 7.25–7.22 (m, 3H, ArH & 2 = CH), 7.16 (d, 1H, J = 8.2 Hz, ArH), 7.13 (d, 1H, J = 7.9 Hz, ArH), 7.10 (d, 1H, J = 1.8 Hz, ArH), 7.07 (dd, 1H, J = 8.2, 2.1 Hz, ArH), 6.90 (d, 1H, J = 2.1 Hz, ArH), 6.61 (d, 1H, J = 8.3 Hz, ArH), 6.55 (d, 1H, J = 8.3 Hz, ArH), 4.32 (q, 2H, J = 7.2 Hz, CH2), 3.79 (s, 3H, CH3), 3.56 (t, 2H, J = 8.1 Hz, CH2), 1.74 (s, 6H, 2CH3), 1.72 (s, 6H, 2CH3), 1.50 (t, 3H, J = 7.2 Hz, CH3), 1.45 (quint, 2H, J = 7.5 Hz, CH2), 1.39 (quint, 2H, J = 7.3 Hz, CH2), 1.34–1.28 (m, 8H, 4CH2), 0.89 (t, 3H, J = 7.0 Hz, CH3). 13C-NMR (213.77 MHz, CDCl3): δ (ppm) 189.75 (CHO), 174.16 (C=N), 173.00 (C), 150.49 (C), 145.15 (C), 145.01 (C), 142.84 (C), 141.65 (C), 141.06 (C), 140.59 (C), 138.92 (C), 137.33 (C), 134.49 (C), 131.13 (C), 130.14 (C), 129.00 (2CH), 127.01 (CH), 125.42 (CH), 122.37 (CH), 122.13 (CH), 120.05 (CH), 114.20 (CH), 114.05 (CH), 112.64 (CH), 111.21 (CH), 110.94 (CH), 110.81 (CH), 105.16 (CH), 104.88 (CH), 49.10 (C), 48.95 (C), 44.51 (CH2), 40.43 (CH2), 32.79 (CH3), 31.88 (CH2), 29.45 (CH2), 29.36 (CH2), 28.31 (2CH3), 28.27 (2CH3), 26.97 (CH2), 25.20 (CH2), 22.74 (CH2), 14.22 (CH3), 13.11 (CH3). IR (cm−1): C-H olefinic 3033, C-H aliphatic 2923, 2852, C=N 1672, C=O 1553, C=C 1504, 1416. HRMS (ESI): m/z calc. mass for C47H54O2N3 is 694.42105 [M]+, found 694.42011.
1-ethyl-5-(6-formyl-9-octyl-9H-carbazol-3-yl)-3,3-dimethyl-2-((E)-3-((E)-1,3,3-trimethylindolin-2-ylidene)prop-1-en-1-yl)-3H-indol-1-ium iodide (15c)
The following amounts of the reactant, catalyst, and base were used: 13 (1.6 g, 2.8 mmol), 6c (1.8 g, 4.2 mmol), Pd(dppf)Cl2 (0.2 g, 0.3 mmol), and K2CO3 (1.9 g, 14.0 mmol) were mixed with toluene/MeOH (10:10 mL) in an inert environment and refluxed at 80 °C for half an hour. The purification process was conducted after evaporation and extraction with CHCl3 through reprecipitation from DCM by PE. Compound 15c was obtained as a dark violet solid with a yield of 2.25 g (100%) and an m.p. of 181 °C. 1H-NMR (850 MHz, DMSO-d6): δ (ppm) 10.10 (s, 1H, CHO), 8.89 (d, 1H, J = 1.3 Hz, ArH), 8.75 (d, 1H, J = 1.6 Hz, ArH), 8.38 (t, 1H, J = 13.4 Hz, =CH), 8.14 (d, 1H, J = 1.6 Hz, ArH), 8.04 (dd, 1H, J = 8.5, 1.4 Hz, ArH), 7.95 (dd, 1H, J = 8.5, 1.7 Hz, ArH), 7.91 (dd, 1H, J = 8.2, 1.7 Hz, ArH), 7.83 (d, 1H, J = 8.5 Hz, ArH), 7.81 (d, 1H, J = 8.5 Hz, ArH), 7.65 (d, 1H, J = 7.3 Hz, ArH), 7.59 (d, 1H, J = 8.3 Hz, ArH), 7.48–7.45 (m, 2H, 2ArH), 7.31 (dt, 1, J = 6.8, 1.9 Hz, ArH), 6.55 (d, 1H, J = 13.4 Hz, =CH), 6.50 (d, 1H, J = 13.4 Hz, =CH), 4.52 (t, 2H, J = 7.1 Hz, CH2), 4.24 (quint, 2H, J = 7.2 Hz, CH2), 3.67 (s, 3H, CH3), 1.81 (s, 6H, 2CH3), 1.72 (s, 6H, 2CH3), 1.38 (t, 3H, J = 7.3 Hz, CH3), 1.31–1.26 (m, 4H, 2CH2), 1.23–1.16 (m, 8H, 4CH2), 0.81 (t, 3H, J = 7.2 Hz, CH3). 13C-NMR (213.77 MHz, DMSO-d6): δ (ppm) 191.92, 174.27, 173.18, 149.41, 144.13, 142.72, 141.69, 140.58, 140.48, 138.17, 131.88, 128.63, 128.42, 127.37, 127.15, 125.86, 125.23, 123.88, 123.06, 122.52, 122.45, 121.09, 119.09, 111.72, 111.50, 110.64, 110.10, 102.93, 102.53, 49.12, 48.86, 42.77, 31.17, 28.73, 28.61, 28.54, 27.48, 27.37, 26.41, 22.03, 13.95, 12.38. IR (cm−1): C-H olefinic 3014, C-H aliphatic 2927, 2854, C=N 1682, C=O 1594, C=C 1557, 1447. HRMS (ESI): m/z calc. mass for C47H54N3O+ is 676.4261 [M]+, found 676.4304.
3.2.11. Synthesis of 7-(4-(diphenylamino)phenyl)-10-octyl-10H-phenothiazine-3-carbaldehyde (16)
4-Bromo-N,N-diphenylaniline (0.8 g, 2.5 mmol), 6a (1.2 g, 2.5 mmol), Pd(PPh3)4 (0.1 g, 0.1 mmol), and 2M of K2CO3 (2.5 mL) were mixed with degassed and inert toluene (10 mL). The mixture was refluxed at 90 °C under an Ar atmosphere for 20 h. The mixture underwent evaporation, extraction with DCM, dehydration with Na2SO4, and, finally, purification with column chromatography, using PE:EA (9.5:0.5) as an eluent to obtain a yellow semisolid compound (0.7 g, 49%). 1H-NMR (850 MHz, CDCl3): δ (ppm) 9.79 (s, 1H, CHO), 7.64 (dd, 1H, J = 8.4, 1.9 Hz, ArH), 7.59 (d, 1H, J = 1.9 Hz, ArH), 7.39 (d, 2H, J = 8.6 Hz, 2ArH), 7.35 (d, 1H, J = 7.7 Hz, ArH), 7.31 (d, 1H, J = 2.1 Hz, ArH), 7.27 (dd overlapped with solvent, 4H, J = 8.3, 7.4 Hz, 4ArH), 7.12 (d, 4H, J = 7.6 Hz, 4ArH), 7.11 (d, 2H, J = 8.6 Hz, 2ArH), 7.04 (t, 2H, J = 7.4 Hz, 2ArH), 6.90 (dd, 2H, J = 8.4, 5.5 Hz, 2ArH), 3.90 (t, 2H, J = 7.0 Hz, CH2), 1.84 (quint, 2H, J = 7.5 Hz, CH2), 1.46 (quint, 2H, J = 7.5 Hz, CH2), 1.34 (quint, 2H, J = 7.5 Hz, CH2), 1.30–1.25 (m, 6H, 3CH2), 0.87 (t, 3H, J = 7.1 Hz, CH3). 13C-NMR (213.77 MHz, CDCl3): δ (ppm) 190.13, 150.62, 147.73, 147.31, 142.19, 136.36, 133.55, 131.11, 130.28, 129.42, 128.55, 127.27, 125.76, 125.53, 124.67, 124.57, 124.16, 123.98, 123.12, 116.20, 114.80, 48.21, 31.85, 29.32, 29.28, 26.96, 26.85, 22.74, 14.23. IR (cm−1): C-H olefinic 3033, C-H aliphatic 2952, 2925, C=O 1686, C=C 1581.
3.2.12. Benzo[c][1,2,5]thiadiazole (17)
To a suspension of the compound o-phenylenediamine (5 g, 46.7 mmol, 1.0 eq) in dry toluene (100 mL), thionyl chloride (SOCl2) (24.6 g, 15 mL, 206.9 mmol, 4.4 eq) was added. It was then refluxed for 3 h, followed by the addition of SOCl2 (5 mL, 1.5 eq) and dry pyridine (1 mL), dropwise. The reaction continued for an additional 19 h while monitoring the reaction by TLC. Toluene and an excess amount of SOCl2 were removed under vacuum, and the residue was collected, poured into water, extracted using EA (50 mL × 4–5 times), washed with brine, and dried over Na2SO4. The solvent was removed under reduced pressure to afford the crude product. Therefore, the purification of the crude product by silica gel column chromatography, using PE/EA (50:1) as an eluent, gave 17 as white needles (4.6 g, 72%) (m.p.: 43 °C). 1H-NMR (600 MHz, CDCl3) δ ppm: 7.99 (dd, 2H, J = 6.6, 3.0 Hz, ArH), 7.57 (dd, 2H, J = 6.6, 3.0 Hz, ArH). 13C-NMR (150 MHz, CDCl3) δ ppm: 121.66, 129.40, 154.90. IR (cm−1): C-H olefinic 3061, C=C 1519, 1478.
3.2.13. 4,7-Dibromobenzo[c][1,2,5]thiadiazole (18)
Compound 17 (5 g, 36.7 mmol, 1.0 eq) was suspended in hydrobromic acid (HBr, 47%) (100 mL). It was then refluxed with stirring, and bromine (Br2) (5.7 mL, 110.3 mmol, ~3.0 eq) was added in a dropwise manner for about 3 h. Then, it was refluxed for another 2 h while monitoring the reaction by TLC. The precipitate was filtered off and recrystallized from a mixture of acetic acid (AcOH) and EtOH to yield 18 as white needles (7.5 g, 70%) (m.p.: 189 °C). 1H-NMR (850 MHz, CDCl3) δ ppm: 7.73 (s, 2H, ArH). 13C-NMR (213 MHz, CDCl3) δ ppm: 114.04, 132.52, 153.09. IR (cm−1): C-H olefinic 3079, 3046, C=C 1587, 1498, 1475.
3.2.14. 3,6-Dibromobenzene-1,2-diamine (19)
Compound 18 (2 g, 6.8 mmol, 1.0 eq) was dissolved in THF (108 mL) and EtOH (40 mL). It was then cooled to 0 °C, and sodium borohydride (NaBH4) (4.4 g, 116 mmol, 17.0 eq) was added in a portion wise manner. Then, the mixture was stirred at RT for 20 h while monitoring the reaction by TLC. The solvent under vacuum was removed after the reaction was complete; the mixture was extracted with diethyl ether (Et2O) (40 mL × 4–5 times), washed with brine, and dried over anhydrous Na2SO4. The solvent was removed under reduced pressure to afford the crude product. Then, purification by silica gel column chromatography, using PE/EA (5:1) as an eluent, gave 19 as a pale-yellow solid (1.6 g, 88%) (m.p. 89 °C). 1H-NMR (600 MHz, CDCl3) δ ppm: 6.84 (s, 2H, ArH), 3.79 (br, s, 4H, 2NH2). 13C-NMR (213 MHz, CDCl3) δ ppm: 109.83, 123.40, 133.86. IR (cm−1): NH2 3396, 3366, N-H bend 1647, C=C 1444.
3.2.15. 5,8-Dibromo-2,3-diphenylquinoxaline (20)
Compound 19 (13.1 g, 49.4 mmol, 1.0 eq) and benzil (10.4 g, 49.7 mmol, 1.0 eq) were mixed in toluene (180 mL) and glacial AcOH (120 mL). It was then refluxed with stirring for 3 h while monitoring the reaction by TLC. It was then cooled to room temperature, followed by solvent removal under vacuum. The residue obtained was extracted from an aqueous solution using CHCl3 (100 mL × 4–5 times), followed by the usual work-up above to afford the crude product. Recrystallization from a mixture of CHCl3/ MeOH (1:4) afforded 20 as white needles (16.9 g, 78%) (m.p. 216 °C). 1H-NMR (850 MHz, CDCl3) δ ppm: 7.92 (s, 2H, ArH), 7.66 (d, 4H, J = 7.65 Hz, ArH), 7.41 (t, 2H, J = 7.65 Hz, ArH), 7.36 (t, 4H, J = 7.65 Hz, ArH). 13C-NMR (213 MHz, CDCl3) δ ppm: 123.85, 128.52, 129.72, 130.38, 133.24, 138.04, 139.48, 154.28. IR (cm−1): C-H olefinic 3064, 3061, C=C 1584, 1454.
3.2.16. 2,3-Diphenyl-5,8-di(thiophen-2-yl)quinoxaline (21)
To a mixture of compound 20 (0.7 g, 1.5 mmol, 1.0 eq) and tributyl(thiophen-2-yl)stannane (1.7 g, 4.5 mmol, 3.0 eq) in dry toluene (20 mL), Pd(PPh3)2Cl2 (0.1 g, 0.1 mmol, 0.05 eq) was added under a nitrogen atmosphere. It was then refluxed for 2 h at 110 °C while monitoring the reaction by TLC. After reaction was complete, the mixture was cooled to room temperature, followed by solvent removal under vacuum. The residue obtained was extracted from an aqueous solution using CHCl3 (20 mL × 4–5 times), followed by the usual work-up to afford the crude product. Therefore, the crude product was purified by silica gel column chromatography, using PE/DCM (3:1) as an eluent, to obtain 21 as an orange solid (0.6 g, 85%) (m.p. 208 °C). Rf = 0.395 (eluent: PE/DCM, 3:1). 1H-NMR (850 MHz, CDCl3) δ ppm: 8.14 (s, 2H, ArH), 7.88 (dd, 2H, J = 3.4, 0.85 Hz, ArH), 7.75 (dd, 4H, J = 7.65, 0.85 Hz, ArH), 7.52 (dd, 2H, J = 5.1, 0.85 Hz, ArH), 7.38–7.41 (m, 6H, ArH), 7.19 (dd, 2H, J = 5.1, 3.4 Hz, ArH). 13C-NMR (213 MHz, CDCl3) δ ppm: 126.58, 126.77, 127.22, 128.37, 129.03, 129.15, 130.62, 131.44, 137.37, 138.82, 138.89, 151.87. IR (cm−1): C-H olefinic 3064, C=C 1633, 1467, 1421.
3.2.17. Quinoxaline-2,3(1H,4H)-dione (22)
The compound o-phenylenediamine (10. 5 g, 96.6 mmol, 1.0 eq) and oxalic acid dihydrate (13.6 g, 107.6 mmol, 1.1 eq) were refluxed in aqueous HCl (4 N, 100 mL) for 2 h at 100 °C while monitoring the reaction by TLC. It was then cooled to room temperature; then, the precipitate was filtered, washed several times with water, and dried to obtain 22 as a gray microcrystalline solid (14.2 g, 91%) (m.p. > 400 °C). 1H-NMR (600 MHz, DMSO-d6) δ ppm: 11.90 (s, 2H, 2NH), 7.12 (dd, 2H, J = 6.0, 3.6 Hz, ArH), 7.07 (dd, 2H, J = 6.0, 3.6 Hz, ArH). 13C-NMR (213 MHz, DMSO-d6) δ ppm: 115.15, 123.02, 125.62, 155.20. IR (cm−1): C-H olefinic 3034, C=O 1671, C=C 1500, 1473.
3.2.18. 2,3-Dichloroquinoxaline (23)
To a solution of compound 22 (11.8 g, 72.5 mmol, 1.0 eq) in POCl3 (77.9 g, 508.1 mmol, 47.5 mL, ~7.0 eq), DMF (1.2 g, 16.1 mmol, 1.3 mL, 0.22 eq) was added. It was then refluxed for 3 h at 110 °C while monitoring the reaction by TLC. Then, it was cooled to room temperature and slowly poured into ice water. Then, the precipitate was filtered, washed with water, and dried to obtain pure 23 as a gray solid (13.3 g, 92%) (m.p. 154 °C). 1H-NMR (600 MHz, CDCl3) δ ppm: 8.03 (dd, 2H, J = 6.6, 3.6 Hz, ArH), 7.81 (dd, 2H, J = 6.6, 3.6 Hz, ArH). 13C-NMR (213 MHz, CDCl3) δ ppm: 128.36, 131.38, 140.71, 145.50. IR (cm−1): C-H olefinic 3043, C=C 1557, 1530, 1485.
3.2.19. 2,3-Di(thiophen-2-yl)quinoxaline (24)
To a mixture of 23 (5.9 g, 30 mmol, 1.0 eq) and tributyl(thiophen-2-yl)stannane (33.6 g, 90 mmol, 3.0 eq) in dry DMF (250 mL), Pd(PPh3)2Cl2 (1.0 g, 1.5 mmol, 0.05 eq) was added under nitrogen atmosphere. It was then refluxed for 1 h at 110 °C while monitoring the reaction by TLC. After the reaction was complete, the temperature was lowered to get the mixture to room temperature, followed by the addition of water to stop the reaction. Following CHCl3 extraction of the product (50 mL × 4–5 times), it was washed with brine and dried over anhydrous Na2SO4. Then, the solvent was removed under reduced pressure to obtain the crude product, and it was purified by column chromatography on silica gel, using PE/DCM (5:2) as an eluent, to obtain compound 24 as a yellow solid (8.7 g, 98%) (m.p. 145 °C). 1H-NMR (600 MHz, CDCl3) δ ppm: 8.08 (dd, 2H, J = 6.6, 3.6 Hz, ArH), 7.72 (dd, 2H, J = 6.6, 3.6 Hz, ArH), 7.50 (dd, 2H, J = 4.8, 1.2 Hz, ArH), 7.25 (dd, 2H, J = 3.6, 1.2 Hz, ArH), 7.04 (dd, 2H, J = 4.8, 3.6 Hz, ArH). 13C-NMR (213 MHz, CDCl3) δ ppm: 127.72, 128.98, 129.04, 129.49, 130.29, 140.75, 141.56, 146.79. IR (cm−1): C-H olefinic 3094, C=C 1550, 1521, 1474.
3.2.20. 4-(3-Chloroquinoxalin-2-yl)benzaldehyde (25)
Compound 23 (0.5 g, 2.5 mmol, 1.0 eq), 4-formylphenylboronic acid (0.6 g, 3.8 mmol, 1.5 eq), K2CO3 (0.3 g, 2.5 mmol, 1.0 eq), and Pd(PPh3)4 (0.1 g, 0.1 mmol, 0.03 eq) were mixed in mixture solvent of dry toluene/MeOH 5:1 (60 mL) under an argon atmosphere and a drying system of CaCl2 with stirring at ambient temperature. Then, the reaction mixture was heated for 20 h at 80 °C and monitored by TLC. After the reaction was complete, the solvent was removed under vacuum and extracted by distilled water and EA (30 mL × 4–5 times). The combined organic extract was washed with brine and dried over anhydrous Na2SO4. Then, the solvent was removed at reduced pressure to afford the crude product and was purified by silica gel column chromatography, using PE/EA (9:1) as an eluent, to remove the residue of the start. This was followed by increasing the polarity of the eluent gradually until 8:2 to obtain the desired compound 25 as a white powder (0.3 g, 37%) (m.p. 167 °C). 1H-NMR (850 MHz, CDCl3) δ ppm: 10.14 (s, 1H, CHO), 8.17 (dd, 1H, J = 7.65, 0.85 Hz, ArH), 8.09 (dd, 1H, J = 7.65, 1.7 Hz, ArH), 8.04–8.07 (m, 4H, ArH), 7.83–7.86 (m, 2H, ArH). 13C-NMR (213 MHz, CDCl3) δ ppm: 128.38, 129.48, 129.67, 130.60, 130.97, 131.67, 136.97, 141.04, 141.46, 142.49, 145.77, 151.73, 191.92. IR (cm−1): C-H olefinic 3042, C-H aldehyde 2819, 2733, C=O 1698, C=C 1604, 1558, 1479. HRMS (ESI): m/z cacld for C15H10ClN2O 269.0482 [M+1]+ and 271.0638 [M+3]+, found 269.0485 and 271.0458, respectively.
3.2.21. 4-(3-(Thiophen-2-yl)quinoxalin-2-yl)benzaldehyde (26)
To a mixture of compound 25 (0.2 g, 0.7 mmol, 1.0 eq) and tributyl(thiophen-2-yl)stannane (0.6 g, 1.5 mmol, 2.0 eq) in dry DMF (30 mL), Pd(PPh3)2Cl2 (0.03 g, 0.04 mmol, 0.05 eq) was added under an argon atmosphere. It was then refluxed for 2 h at 110 °C while monitoring the reaction by TLC. After the reaction was complete, the temperature was lowered to get the mixture to room temperature, followed by the addition of water to stop the reaction. Following CHCl3 extraction of the product (30 mL × 4–5 times), it was washed with brine and dried over anhydrous Na2SO4. Then, the solvent was removed under reduced pressure to obtain the crude product and was purified by column chromatography on silica gel, using PE/EA (9:1) as an eluent, to obtain 26 as a yellow powder (0.2 g, 66%) (m.p. 157 °C). 1H-NMR (850 MHz, CDCl3) δ ppm: 10.13 (s, 1H, CHO), 8.15 (dd, 1H, J = 8.5, 0.85 Hz, ArH), 8.12 (dd, 1H, J = 8.5, 0.85 Hz, ArH), 8.01 (d, 2H, J = 8.5 Hz, ArH), 7.82 (d, 2H, J = 8.5 Hz, ArH), 7.79–7.80 (m, 1H, ArH), 7.75–7.77 (m, 1H, ArH), 7.44 (dd, 1H, J = 4.25, 0.85 Hz, ArH), 6.90 (dd, 1H, J = 5.1, 4.25 Hz, ArH), 6.79 (dd, 1H, J = 3.4, 0.85 Hz, ArH). 13C-NMR (213 MHz, CDCl3) δ ppm: 128.04, 129.00, 129.12, 129.95, 130.13, 130.28, 130.30, 130.40, 131.06, 136.77, 140.31, 141.38, 141.95, 145.09, 146.67, 151.13, 191.97. IR (cm−1): C-H olefinic 3082, C-H aldehyde 2851, 2754, C=O 1694, C=C 1603, 1530. HRMS (ESI): m/z cacld for C19H13N2OS 317.0749 [M+1]+, found 317.0740.
3.2.22. 4-(3-(5-Bromothiophen-2-yl)quinoxalin-2-yl)benzaldehyde (27)
To a solution of compound 26 (0.3 g, 0.9 mmol, 1.0 eq) in DMF (12 mL), a solution of NBS (0.2 g, 1.3 mmol, 1.5 eq) in DMF (3 mL) was added in a dropwise manner. It was then stirred for 24 h in the dark at room temperature while monitoring the reaction by TLC. After completion, the reaction was stopped by adding ice. The precipitate was filtered off and washed several times with distilled water to obtain compound 27 as a yellow powder (0.3 g, 97%) (m.p. 177 °C). 1H-NMR (850 MHz, CDCl3) δ ppm: 10.14 (s, 1H, CHO), 8.10 (t, 2H, J = 7.65 Hz, ArH), 8.03 (d, 2H, J = 7.65 Hz, ArH), 7.82 (d, 2H, J = 7.65 Hz, ArH), 7.80 (t, 1H, J = 7.65 Hz, ArH), 7.76 (t, 1H, J = 7.65 Hz, ArH), 6.83 (d, 1H, J = 4.25 Hz, ArH), 6.45 (d, 1H, J = 4.25 Hz, ArH). 13C-NMR (213 MHz, CDCl3) δ ppm: 117.90, 128.98, 129.25, 130.14, 130.21, 130.26, 130.50, 130.97, 131.13, 136.87, 140.47, 141.33, 144.00, 144.96, 145.54, 150.67, 191.91. IR (cm−1): C-H olefinic 3057, C-H aldehyde 2832, 2738, C=O 1698, C=C 1602, 1530. HRMS (ESI): m/z cacld for C19H12BrN2OS 394.9854 [M+1]+ and 397.0010 [M+3]+ found 394.9854 and 396.9837, respectively.
3.2.23. 4-(3-(5-(9-(2-Ethylhexyl)-6-p-tolyl-9H-carbazol-3-yl)thiophen-2-yl)quinoxalin-2-yl)benzaldehyde (28)
Compound 27 (0.3 g, 0.8 mmol, 1.0 eq), 9-(2-ethylhexyl)-3-(4,4,5,5-tetramethyl-1,3,2-dioxaborolan-2-yl)-6-p-tolyl-9H-carbazole 10c (0.6 g, 1.1 mmol, 1.5 eq), K2CO3 (1.5 g, 10.6 mmol, 14.0 eq), and Pd(PPh3)4 (0.04 g, 0.04 mmol, 0.05 eq) were mixed in a degassed aqueous solvent of toluene/EtOH/H2O 2:1:1 (80 mL) under an argon atmosphere with stirring at ambient temperature. Then, the reaction mixture was heated for 2 h at 80 °C and monitored by TLC. After the reaction was complete, the solvent was removed under vacuum and extracted by distilled water and DCM (30 mL × 4–5 times). The combined organic extract was washed with brine and dried over anhydrous Na2SO4. Then, the solvent was removed at reduced pressure to afford the crude product and was purified by silica gel column chromatography, using PE/EA (9:1) as an eluent, to remove the undesired low polar fractions, followed by increasing the polarity of the eluent gradually until 8:2 to obtain the desired compound 28 as an orange powder (0.4 g, 69%) (m.p. 227 °C). 1H-NMR (850 MHz, CDCl3) δ ppm: 10.16 (s, 1H, CHO), 8.41 (d, 1H, J = 0.85 Hz, ArH), 8.32 (d, 1H, J = 1.7 Hz, ArH), 8.21 (d, 1H, J = 7.65 Hz, ArH), 8.14 (d, 1H, J = 8.5 Hz, ArH), 8.06 (d, 2H, J = 7.65 Hz, ArH), 7.91 (d, 2H, J = 7.65 Hz, ArH), 7.82 (t, 1H, J = 7.65 Hz, ArH), 7.74–7.76 (m, 2H, ArH), 7.72 (dd, 1H, J = 8.5, 1.7 Hz, ArH), 7.63 (d, 2H, J = 7.65 Hz, ArH), 7.44 (d, 1H, J = 8.5 Hz, ArH), 7.39 (d, 1H, J = 8.5 Hz, ArH), 7.31 (d, 2H, J = 7.65 Hz, ArH), 7.14 (d, 1H, J = 4.25 Hz, ArH), 6.75 (d, 1H, J = 4.25 Hz, ArH), 4.16–4.21 (m, 2H, N-CH2), 2.44 (s, 3H, CH3), 2.09 (sept, 1H, J = 6.8 Hz, CH), 1.36–1.46 (m, 4H, 2CH2), 1.26–1.35 (m, 4H, 2CH2), 0.94 (t, 3H, J = 7.65 Hz, CH3), 0.88 (t, 3H, J = 7.65 Hz, CH3). 13C-NMR (213 MHz, CDCl3) δ ppm: 11.05, 14.19, 21.24, 23.20, 24.53, 28.95, 31.14, 39.62, 47.81, 109.63, 109.66, 118.19, 118.83, 122.98, 123.32, 123.59, 124.25, 124.93, 125.72, 127.22, 128.71, 129.06, 129.70, 130.09, 130.26, 130.28, 131.13, 131.93, 132.90, 136.39, 136.85, 139.09, 139.45, 140.00, 140.89, 141.32, 141.55, 145.25, 146.61, 150.73, 151.01, 192.01. IR (cm−1): C-H olefinic 3060, C-H aliphatic 2957, 2857, C-H aldehyde 2724, C=O 1699, C=C 1603, 1537. HRMS (ESI): m/z cacld for C46H42N3OS 684.3049 [M+1]+, found 684.3048.
3.2.24. 2,3-Bis(5-bromothiophen-2-yl)quinoxaline (29)
To a solution of 24 (0.4 g, 1.5 mmol, 1.0 eq) in DMF (10 mL), a solution of NBS (0.6 g, 3.5 mmol, 2.3 eq) in DMF (4 mL) was added in a dropwise manner. It was then stirred for 36 h in the dark at room temperature while monitoring the reaction by TLC. After completion, the reaction was stopped by adding ice. The precipitate was filtered off and washed several times with distilled water to obtain compound 29 as a yellow solid (0.6 g, 94%) (m.p. 136 °C). 1H-NMR (850 MHz, CDCl3) δ ppm: 8.02 (dd, 2H, J = 6.8, 3.4 Hz, ArH), 7.73 (dd, 2H, J = 6.8, 3.4 Hz, ArH), 7.12 (d, 2H, J = 4.25 Hz, ArH), 7.01 (d, 2H, J = 4.25 Hz, ArH). 13C-NMR (213 MHz, CDCl3) δ ppm: 116.93, 128.95, 129.73, 130.69, 130.71, 140.68, 143.00, 145.11. IR (cm−1): C-H olefinic 3076, C=C 1519, 1475. HRMS (ESI): m/z cacld for C16H9Br2N2S2 450.8574 [M+1]+ and 452.8730 [M+3]+, found 450.8576 and 454.8548, respectively.
3.2.25. 4-(5-(3-(5-Bromothiophen-2-yl)quinoxalin-2-yl)thiophen-2-yl)benzaldehyde (30)
Compound 29 (0.3 g, 0.7 mmol, 1.0 eq), 4-formylphenylboronic acid (0.1 g, 0.7 mmol, 1.1 eq), K2CO3 (0.9 g, 6.6 mmol, 10.0 eq), and Pd(PPh3)4 (0.1 g, 0.1 mmol, 0.1 eq) were mixed in dry toluene (30 mL) under an argon atmosphere and a drying system of CaCl2 with stirring at ambient temperature. Then, the reaction mixture was heated for 24 h at 90 °C and monitored by TLC. After the reaction was complete, the solvent was removed under vacuum and extracted by distilled water and DCM (30 mL × 4–5 times). The combined organic extract was washed with brine and dried over anhydrous Na2SO4. Then, the solvent was removed at reduced pressure to afford the crude product and was purified by silica gel column chromatography, using PE/DCM (2:1) as an eluent, to remove the residue of the start and the impurities, followed by increasing the polarity of the eluent gradually until 1:1 to obtain the desired compound 30 as an orange powder (0.1 g, 20%) (m.p. 111 °C). 1H-NMR (850 MHz, CDCl3) δ ppm: 10.03 (s, 1H, CHO), 8.08 (dd, 1H, J = 6.8, 2.55 Hz, ArH), 8.06 (dd, 1H, J = 6.8, 2.55 Hz, ArH), 7.93 (d, 2H, J = 7.65 Hz, ArH), 7.84 (d, 2H, J = 8.5 Hz, ArH), 7.75–7.76 (m, 2H, ArH), 7.42 (d, 1H, J = 3.4 Hz, ArH), 7.38 (d, 1H, J = 4.25 Hz, ArH), 7.16 (d, 1H, J = 4.25 Hz, ArH), 7.02 (d, 1H, J = 3.4 Hz, ArH). 13C-NMR (213 MHz, CDCl3) δ ppm: 117.03, 125.58, 126.33, 128.18, 128.98, 128.99, 129.85, 130.52, 130.69, 130.73, 130.79, 135.74, 139.53, 140.73, 140.79, 142.51, 143.22, 145.42, 145.56, 146.10, 191.55. IR, (cm−1): C-H olefinic 3057, C-H aldehyde 2848, 2732, C=O 1695, C=C 1599, 1565. HRMS (ESI): m/z cacld for C23H14BrN2OS2 476.9731 [M+1]+ and 478.9887 [M+3]+ found 476.9733 and 478.9718, respectively.
3.2.26. 4-(5-(3-(5-(9-(2-Ethylhexyl)-6-p-tolyl-9H-carbazol-3-yl)thiophen-2-yl)quinoxalin-2-yl)thiophen-2-yl)benzaldehyde (31)
Compound 30 (0.1 g, 0.1 mmol, 1.0 eq), 9-(2-ethylhexyl)-3-(4,4,5,5-tetramethyl-1,3,2-dioxaborolan-2-yl)-6-p-tolyl-9H-carbazole 10c (0.1 g, 0.2 mmol, 1.5 eq), K2CO3 (0.3 g, 2.1 mmol, 14.0 eq), and Pd(PPh3)4 (0.01 g, 0.01 mmol, 0.05 eq) were mixed in a degassed aqueous solvent of toluene/EtOH/H2O 2:1:1 (60 mL) under an argon atmosphere with stirring at ambient temperature. Thereafter, the reaction mixture was heated for 3 h at 80 °C and monitored by TLC. After the reaction was complete, the solvent was removed under vacuum and extracted by distilled water and CHCl3 (20 mL × 4–5 times). The combined organic extract was washed with brine and dried over anhydrous Na2SO4. Then, the solvent was removed under reduced pressure to afford the crude product and was purified by silica gel column chromatography, using PE/EA (9:1) as an eluent, to produce compound 31 as an orange powder (0.1 g, 81%) (m.p. 74 °C). 1H-NMR (850 MHz, CDCl3) δ ppm: 10.02 (s, 1H, CHO), 8.45 (s, 1H, ArH), 8.33 (s, 1H, ArH), 8.13 (d, 1H, J = 8.5 Hz, ArH), 8.10 (d, 1H, J = 8.5 Hz, ArH), 7.92 (d, 2H, J = 7.65 Hz, ArH), 7.85 (d, 2H, J = 7.65 Hz, ArH), 7.80 (d, 1H, J = 8.5 Hz, ArH), 7.72–7.76 (m, 3H, ArH), 7.63 (d, 2H, J = 7.65 Hz, ArH), 7.50 (d, 1H, J = 4.25 Hz, ArH), 7.45 (d, 1H, J = 8.5 Hz, ArH), 7.43 (dd, 1H, J = 3.4, 0.85 Hz, ArH), 7.41–7.42 (m, 2H, ArH), 7.31 (dd, 1H, J = 3.4, 0.85 Hz, ArH), 7.30 (d, 2H, J = 7.65 Hz, ArH), 4.16–4.22 (m, 2H, N-CH2), 2.43 (s, 3H, CH3), 2.10 (sept, 1H, J = 6.8 Hz, CH), 1.35–1.46 (m, 4H, 2CH2), 1.26–1.34 (m, 4H, 2CH2), 0.94 (t, 3H, J = 7.65 Hz, CH3), 0.89 (t, 3H, J = 7.65 Hz, CH3). 13C-NMR (213 MHz, CDCl3) δ ppm: 11.05, 14.20, 21.24, 23.20, 24.53, 28.96, 31.14, 39.63, 47.82, 109.65, 109.69, 118.22, 118.85, 122.82, 123.31, 123.62, 124.35, 124.92, 125.65, 125.74, 126.35, 127.22, 128.35, 128.71, 128.94, 129.69, 130.56, 130.68, 131.03, 131.36, 131.95, 132.58, 132.91, 135.71, 136.40, 137.87, 139.09, 139.56, 140.13, 140.18, 140.90, 141.55, 142.26, 145.92, 146.26, 150.85, 191.55. IR (cm−1): C-H olefinic 3058, C-H aliphatic 2956, 2851, C-H aldehyde 2732, C=O 1696, C=C 1600. HRMS (ESI): m/z cacld for C50H44N3OS2 766.2926 [M+1]+, found 766.2927.
3.2.27. 4-(3-(9-(2-ethylhexyl)-6-(p-tolyl)-9H-carbazol-3-yl)quinoxalin-2-yl)benzaldehyde (32)
Compound 25 (0.1 g, 0.4 mmol, 1.0 eq), 9-(2-ethylhexyl)-3-(4,4,5,5-tetramethyl-1,3,2-dioxaborolan-2-yl)-6-p-tolyl-9H-carbazole 10c (0.3 g, 0.2 mmol, 1.5 eq), K2CO3 (0.7 g, 5.2 mmol, 14.0 eq), and Pd(PPh3)4 (0.01 g, 0.01 mmol, 0.05 eq) were mixed in a degassed aqueous solvent of toluene/EtOH/H2O 2:1:1 (40 mL) under an argon atmosphere with stirring at ambient temperature. Then, the reaction mixture was heated at 80 °C for 3 h and monitored by TLC. After the reaction was complete, the solvent was removed under vacuum and extracted by distilled water and DCM (20 mL × 4–5 times). The combined organic extract was washed with brine and dried over anhydrous Na2SO4. Then, the solvent was removed at reduced pressure to afford the crude product and was purified by silica gel column chromatography, using PE/EA (9:1) as an eluent, to remove the undesired low polar fractions, followed by increasing the polarity of the eluent gradually until 8:2 to obtain the desired compound 32 as a yellow powder (0.2 g, 86%) (m.p. 99 °C). 1H-NMR (850 MHz, CDCl3) δ ppm: 10.01 (s, 1H, CHO), 8.49 (s, 1H, ArH), 8.44 (d, 1H, J = 7.65 Hz, ArH), 8.26 (d, 1H, J = 8.5 Hz, ArH), 8.21 (d, 1H, J = 0.85 Hz, ArH), 7.86–7.88 (m, 1H, ArH), 7.83–7.85 (m, 3H, ArH), 7.77 (d, 2H, J = 8.5 Hz, ArH), 7.71 (dd, 1H, J = 8.5, 1.7 Hz, ArH), 7.57 (d, 2H, J = 8.5 Hz, ArH), 7.50 (dd, 1H, J = 8.5, 1.7 Hz, ArH), 7.45 (d, 1H, J = 8.5 Hz, ArH), 7.30 (d, 1H, J = 8.5 Hz, ArH), 7.28 (d, 2H, J = 7.65 Hz, ArH), 4.16–4.21 (m, 2H, N-CH2), 2.42 (s, 3H, CH3), 2.07 (sept, 1H, J = 6.8 Hz, CH), 1.33–1.42 (m, 4H, 2CH2), 1.22–1.32 (m, 4H, 2CH2), 0.92 (t, 3H, J = 7.65 Hz, CH3), 0.86 (t, 3H, J = 7.65 Hz, CH3). 13C-NMR (213 MHz, CDCl3) δ ppm: 11.04, 14.17, 21.23, 23.18, 24.50, 28.88, 31.11, 39.56, 47.83, 109.21, 109.71, 118.99, 122.94, 123.44, 123.51, 125.88, 127.30, 128.19, 128.36, 128.69, 129.36, 129.67, 129.78, 130.46, 130.74, 131.37, 133.27, 136.30, 136.45, 139.08, 140.26, 140.87, 141.05, 142.23, 145.11, 152.68, 153.42, 191.95. IR (cm−1): C-H olefinic 3057, C-H aliphatic 2956, 2857, C-H aldehyde 2731, C=O 1701, C=C 1602, 1477. HRMS (ESI): m/z cacld for C42H40N3O 602.3171 [M+1]+, found 602.3170.
4. Conclusions
Three palladium-catalyzed coupling reactions—the Suzuki-Miyaura coupling reaction, Suzuki cross-coupling reaction, and Stille cross-coupling reaction—have been investigated utilizing three palladium catalysts—Pd(PPh3)4, Pd(PPh3)2Cl2, and Pd(dppf)Cl2—under mild conditions. PTZ, POZ, and Cz were utilized in the Miyaura borylation reaction to synthesize 17 heteroaromatic pinacol boronate esters decorated with imidazolyl, p-tolyl, or carbaldehyde groups. The best yields of the borylated species were obtained using Pd(dppf)Cl2 as a catalyst. The electron-deficient QX was decorated with the phenyl and/or thienyl ring utilizing the Suzuki cross-coupling reaction and the Stille cross-coupling reaction, achieving moderate to excellent yields. Pd(PPh3)4 and Pd(dppf)Cl2 were employed in the Suzuki cross-coupling reaction for the synthesis of 16 PTZ, POZ, and Cz chromophores using commercial boronic acids or synthesized pinacol boronate esters. Among the three Pd-catalysts, Pd(dppf)Cl2 gives the best yields. A few borylated derivatives have been coupled here with halogenated couplers. The electron-deficient QX couplers could be coupled efficiently using the Stille coupling reaction. Future studies are in progress for synthesizing new PTZ, POZ, and Cz boronate derivatives using novel catalysts, and the outcome of this work will be published elsewhere.
Supplementary Materials
The following supporting information can be downloaded at: https://www.mdpi.com/article/10.3390/catal12101292/s1, Figures S1−S83: contains the NMR, ATR-FTIR, HRMS charts for the synthesized compounds.
Author Contributions
L.M.N. Synthesis, methodology and writing the draft, E.N.B., A.R.A.-M., H.A.A.-G., S.N.A.-G. and F.A.M.A.-Z. synthesis and methodology, K.O.A.-F. resources and supervision, R.M.E.-S. conceptualization, writing the manuscript and supervision. All authors have read and agreed to the published version of the manuscript.
Funding
Deanship of Scientific Research (DSR) at King Abdulaziz University, Jeddah, under grant no. KEP-PhD: 73-130-1443.
Data Availability Statement
The data presented in this study is available in Supplementary Material.
Acknowledgments
The Deanship of Scientific Research (DSR) at King Abdulaziz University (KAU), Jeddah, Saudi Arabia, has funded this project, under grant no. KEP-PhD: 73-130-1443.
Conflicts of Interest
The authors declare that they have no known competing financial interests or personal relationships that could have appeared to influence the work reported in this paper.
References
- Smidt, J.; Hafner, W.; Jira, R.; Sedlmeier, J.; Sieber, R.; Rüttinger, R.; Kojer, H. Katalytische umsetzungen von olefinen an platinmetall-verbindungen das consortium-verfahren zur herstellung von acetaldehyd. Angew. Chem. 1959, 71, 176–182. [Google Scholar] [CrossRef]
- Johansson Seechurn, C.C.C.; Kitching, M.; Colacot, T.; Snieckus, V. Palladium-catalyzed cross-coupling: A historical contextual perspective to the 2010 Nobel Prize. Angew. Chem. 2012, 51, 5062–5085. [Google Scholar] [CrossRef]
- Corriu, R.; Masse, J. Activation of Grignard reagents by transition-metal complexes. A new and simple synthesis of trans-stilbenes and polyphenyls. J. Chem. Soc. Chem. Commun. 1972, 3, 144a. [Google Scholar] [CrossRef]
- Zhang, Z.M.; Xu, B.; Wu, L.; Wu, Y.; Qian, Y.; Zhou, L.; Liu, Y.; Zhang, J. Enantioselective dicarbofunctionalization of unactivated alkenes by palladium-catalyzed tandem heck/suzuki coupling reaction. Angew. Chem. Int. Ed. 2019, 58, 14653–14659. [Google Scholar] [CrossRef] [PubMed]
- Nhari, L.M.; El-Shishtawy, R.M.; Bouzzine, S.M.; Hamidi, M.; Asiri, A.M. Phenothiazine-based dyes containing imidazole with π-linkers of benzene, furan and thiophene: Synthesis, photophysical, electrochemical and computational investigation. J. Mol. Struct. 2022, 1251, 131959. [Google Scholar] [CrossRef]
- Li, J.; Zhang, X.; Yao, Y.; Gao, Y.; Yang, W.; Zhao, W. Palladium-Catalyzed Suzuki–Miyaura Cross-Coupling of Oxygen-Substituted Allylboronates with Aryl/Vinyl (Pseudo)Halides. J. Org. Chem. 2022, 87, 6951–6959. [Google Scholar] [CrossRef] [PubMed]
- Colobert, F.; Castanet, A.S.; Abillard, O. Palladium-Catalyzed Suzuki Coupling with Terminal Alkynes–Application to the Synthesis of 2, 3-Disubstituted Benzo [b] furans. Eur. J. Org. Chem. 2005, 2005, 3334–3341. [Google Scholar] [CrossRef]
- Suzuki, A. Organoboron compounds in new synthetic reactions. Pure Appl. Chem. 1985, 57, 1749–1758. [Google Scholar] [CrossRef]
- Gujral, S.S.; Khatri, S.; Riyal, P.; Gahlot, V. Suzuki cross coupling reaction–A review. Indo Glob. J. Pharm. Sci. 2012, 2, 351–367. [Google Scholar] [CrossRef]
- Miyaura, N.; Yanagi, T.; Suzuki, A. The palladium-catalyzed cross-coupling reaction of phenylboronic acid with haloarenes in the presence of bases. Synth. Commun. 1981, 11, 513–519. [Google Scholar] [CrossRef]
- Elumalai, V.; Sandtorv, A.H.; Bjørsvik, H.-R. A Highly Efficient Pd(PPh3)4-Catalyzed Suzuki Cross-Coupling Method for the Preparation of 2-Nitrobiphenyls from 1-Chloro-2-nitrobenzenes and Phenylboronic Acids. Eur. J. Org. Chem. 2016, 2016, 1344–1354. [Google Scholar] [CrossRef]
- Suzuki, A. Organoborane coupling reactions (Suzuki coupling). Proc. Jpn. Acad. Ser. B 2004, 80, 359–371. [Google Scholar] [CrossRef]
- Morris, G.A.; Nguyen, S.T. A general route to pyridine-modified salicylaldehydes via Suzuki coupling. Tetrahedron Lett. 2001, 42, 2093–2096. [Google Scholar] [CrossRef]
- Kotha, S.; Lahiri, K.; Kashinath, D. Recent applications of the Suzuki–Miyaura cross-coupling reaction in organic synthesis. Tetrahedron 2002, 58, 9633–9695. [Google Scholar] [CrossRef]
- Suzuki, A.; Brown, H. Organic Syntheses Via Boranes, Vol. 3, Suzuki Coupling; Aldrich Chemical Company, Inc.: Milwaukee, WI, USA, 2003. [Google Scholar]
- Yang, K.; Mao, Y.; Xu, J.; Wang, H.; He, Y.; Li, W.; Song, Q. Construction of Axially Chiral Arylborons via Atroposelective Miyaura Borylation. J. Am. Chem. Soc. 2021, 143, 10048–10053. [Google Scholar] [CrossRef] [PubMed]
- Lennox, A.J.J.; Lloyd-Jones, G.C. Selection of boron reagents for Suzuki–Miyaura coupling. Chem. Soc. Rev. 2013, 43, 412–443. [Google Scholar] [CrossRef]
- Ramachandran, P.V.; Pratihar, D.; Biswas, D.; Srivastava, A.A.; Reddy, M.V.R. Novel Functionalized Trisubstituted Allylboronates via Hosomi−Miyaura Borylation of Functionalized Allyl Acetates. Org. Lett. 2004, 6, 481–484. [Google Scholar] [CrossRef] [PubMed]
- Dzhevakov, P.B.; Topchiy, M.A.; Zharkova, D.A.; Morozov, O.S.; Asachenko, A.F.; Nechaev, M.S. Miyaura Borylation and One-Pot Two-Step Homocoupling of Aryl Chlorides and Bromides under Solvent-Free Conditions. Adv. Synth. Catal. 2016, 358, 977–983. [Google Scholar] [CrossRef]
- Gurung, S.R.; Mitchell, C.; Huang, J.; Jonas, M.; Strawser, J.D.; Daia, E.; Andrew Hardy, A.; O’Brien, E.; Hicks, F.; Papageorgiou, C.D. Development and Scale-up of an Efficient Miyaura Borylation Process Using Tetrahydroxydiboron. Org. Process Res. Dev. 2017, 21, 65–74. [Google Scholar] [CrossRef]
- Reddy, M.A.; Kumar, C.P.; Ashok, A.; Sharma, A.; Sharma, G.; Chandrasekharam, M. Hetero aromatic donors as effective terminal groups for DPP based organic solar cells. RSC Adv. 2016, 6, 9023–9036. [Google Scholar] [CrossRef]
- Hutton, C.A.; Skaff, O. A convenient preparation of dityrosine via Miyaura borylation–Suzuki coupling of iodotyrosine derivatives. Tetrahedron Lett. 2003, 44, 4895–4898. [Google Scholar] [CrossRef]
- Liao, J.; Zhao, H.; Xu, Y.; Zhou, W.; Peng, F.; Wang, Y.; Fang, Y. Novel BODIPY dyes with electron donor variety for dye-sensitized solar cells. RSC Adv. 2017, 7, 33975–33985. [Google Scholar] [CrossRef]
- Boontiem, P.; Kiatisevi, S. Facile and economical Miyaura borylation and one-pot Suzuki–Miyaura cross-coupling reaction. Inorganica Chim. Acta 2020, 506, 119538. [Google Scholar] [CrossRef]
- Mao, M.; Zhang, X.; Cao, L.; Tong, Y.; Wu, G. Design of Bodipy based organic dyes for high-efficient dye-sensitized solar cells employing double electron acceptors. Dye. Pigment. 2015, 117, 28–36. [Google Scholar] [CrossRef]
- Hsieh, T.-S.; Wu, J.-Y.; Chang, C.-C. Multiple fluorescent behaviors of phenothiazine-based organic molecules. Dye. Pigment. 2015, 112, 34–41. [Google Scholar] [CrossRef]
- Peng, Y.; Li, W.D.Z. Cine Substitution and the Cu Effect in Stille Cross-Coupling Reactions: Mechanistic Perspectives and Synthetic Utility. Eur. J. Org. Chem. 2010, 2010, 6703–6718. [Google Scholar] [CrossRef]
- Bao, Z.; Chan, W.K.; Yu, L. Exploration of the Stille Coupling Reaction for the Synthesis of Functional Polymers. J. Am. Chem. Soc. 1995, 117, 12426–12435. [Google Scholar] [CrossRef]
- Zhou, W.-J.; Wang, K.-H.; Wang, J.-X. Pd(PPh3)4-PEG 400 Catalyzed Protocol for the Atom-Efficient Stille Cross-Coupling Reaction of Organotin with Aryl Bromides. J. Org. Chem. 2009, 74, 5599–5602. [Google Scholar] [CrossRef] [PubMed]
- Bao, Z.; Chan, W.; Yu, L. Synthesis of conjugated polymer by the Stille Coupling Reaction. Chem. Mater. 1993, 5, 2–3. [Google Scholar] [CrossRef]
- Su, W.; Urgaonkar, S.; Verkade, J.G. Pd2 (dba) 3/P (i-BuNCH2CH2) 3N-catalyzed Stille cross-coupling of aryl chlorides. Org. Lett. 2004, 6, 1421–1424. [Google Scholar] [CrossRef] [PubMed]
- Heravi, M.M.; Hashemi, E.; Azimian, F. Recent developments of the Stille reaction as a revolutionized method in total synthesis. Tetrahedron 2014, 70, 7–21. [Google Scholar] [CrossRef]
- Devendar, P.; Qu, R.-Y.; Kang, W.-M.; He, B.; Yang, G.-F. Palladium-Catalyzed Cross-Coupling Reactions: A Powerful Tool for the Synthesis of Agrochemicals. J. Agric. Food Chem. 2018, 66, 8914–8934. [Google Scholar] [CrossRef] [PubMed]
- Srivastav, N.; Singh, R.; Kaur, V. Carbastannatranes: A powerful coupling mediators in Stille coupling. RSC Adv. 2015, 5, 62202–62213. [Google Scholar] [CrossRef]
- Lu, G.-P.; Cai, C.; Lipshutz, B.H. Stille couplings in water at room temperature. Green Chem. 2013, 15, 105–109. [Google Scholar] [CrossRef]
- Taheri Kal Koshvandi, A.; Heravi, M.M.; Momeni, T. Current applications of Suzuki–Miyaura coupling reaction in the total synthesis of natural products: An update. Appl. Organomet. Chem. 2018, 32, e4210. [Google Scholar] [CrossRef]
- Reyes, S.; Huigens, I.I.I.R.W.; Su, Z.; Simon, M.L.; Melander, C. Synthesis and biological activity of 2-aminoimidazole triazoles accessed by Suzuki–Miyaura cross-coupling. Org. Biomol. Chem. 2011, 9, 3041–3049. [Google Scholar] [CrossRef] [PubMed]
- Revoju, S.; Matuhina, A.; Canil, L.; Salonen, H.; Hiltunen, A.; Abate, A.; Vivo, P. Structure-induced optoelectronic properties of phenothiazine-based materials. J. Mater. Chem. C 2020, 8, 15486–15506. [Google Scholar] [CrossRef]
- Ionescu, M.; Mantsch, H. Phenoxazines. In Advances in Heterocyclic Chemistry; Elsevier: Amsterdam, The Netherlands, 1967; pp. 83–113. [Google Scholar]
- Gudeika, D.; Grazulevicius, J.V.; Volyniuk, D.; Butkute, R.; Juska, G.; Miasojedovas, A.; Gruodis, A.; Jursenas, S. Structure-properties relationship of the derivatives of carbazole and 1,8-naphthalimide: Effects of the substitution and the linking topology. Dye. Pigment. 2015, 114, 239–252. [Google Scholar] [CrossRef]
- Pereira, J.A.; Pessoa, A.M.; Cordeiro, M.N.D.S.; Fernandes, R.; Prudêncio, C.; Noronha, J.P.; Vieira, M. Quinoxaline, its derivatives and applications: A State of the Art review. Eur. J. Med. Chem. 2015, 97, 664–672. [Google Scholar] [CrossRef]
- Onoabedje, E.A.; Okoro, U.C.; Knight, D.W.; Sarkar, A. Fuctionalization of Linear and Angular Phenothiazine and Phenoxazine Ring Systems via Pd (0)/XPhos Mediated Suzuki-Miyaura Cross-coupling Reactions. J. Heterocycl. Chem. 2016, 53, 1787–1794. [Google Scholar] [CrossRef]
- Nhari, L.M.; El-Shishtawy, R.M.; Asiri, A.M. Recent Progress in Organic Hole Transport Materials for Energy Applications. Dye. Pigment. 2021, 193, 109465. [Google Scholar] [CrossRef]
- Qi, T.; Liu, Y.; Qiu, W.; Zhang, H.; Gao, X.; Liu, Y.; Lu, K.; Du, C.; Yu, G.; Zhu, D. Synthesis and properties of fluorene or carbazole-based and dicyanovinyl-capped n-type organic semiconductors. J. Mater. Chem. 2008, 18, 1131–1138. [Google Scholar] [CrossRef]
- Wang, J.; Yang, C.-J.; Peng, H.-N.; Deng, Y.-S.; Gao, X.-C. Synthesis of triphenylamine-modified arylates and ketones via Suzuki coupling reactions. Synth. Commun. 2011, 41, 832–840. [Google Scholar] [CrossRef]
- Zhang, G.; Fu, Y.; Zhang, Q.; Xie, Z. Low bandgap EDOT-quinoxaline and EDOT-thiadiazol-quinoxaline conjugated polymers: Synthesis, redox, and photovoltaic device. Polymer 2010, 51, 2313–2319. [Google Scholar] [CrossRef]
- Sandtorv, A.H.; Törnroos, K.W.; Bjørsvik, H.R. Stille Cross-Coupling for the Functionalization of the Imidazole Backbone: Revisit, Improvement, and Applications of the Method. Eur. J. Org. Chem. 2015, 2015, 3506–3512. [Google Scholar] [CrossRef]
- Dalkilic, O.; Lafzi, F.; Kilic, H.; Saracoglu, N. Novel triphenylamine-connected indolinium fluorescence sensor for detection of the cyanide anion and DFT calculations. Tetrahedron Lett. 2020, 61, 152315. [Google Scholar] [CrossRef]
- Nhari, L.; El-Shishtawy, R.; Lu, Q.; Li, Y.; Asiri, A. Novel Triarylamine-Based Hole Transport Materials: Synthesis, Characterization and Computational Investigation. Materials 2021, 14, 3128. [Google Scholar] [CrossRef] [PubMed]
- Al Sharif, O.F.; Nhari, L.M.; El-Shishtawy, R.M.; Zayed, M.E.; Asiri, A.M. AIE and reversible mechanofluorochromism characteristics of new imidazole-based donor–π–acceptor dyes. RSC Adv. 2022, 12, 19270–19283. [Google Scholar] [CrossRef] [PubMed]
- Bifari, E.N.; El-Shishtawy, R.M. Efficient Synthesis of Formyl Boronate Esters Derived from Carbazole and Phenoxazine as Key Electron Donors. Polycycl. Aromat. Compd. 2021, 1–9. [Google Scholar] [CrossRef]
- Al-Marhabi, A.R.; El-Shishtawy, R.M.; Al-Footy, K.O. Synthesis and optical properties of novel key electron donors-based pinacol boronate ester derived from phenothiazine, phenoxazine and carbazole. J. Organomet. Chem. 2022, 970, 122373. [Google Scholar] [CrossRef]
- Bifari, E.N.; El-Shishtawy, R.M.; Bouzzine, S.M.; Fadili, D.; Hamidi, M. Synthesis, photophysical, electrochemical and computational investigation of dimethine and trimethine cyanine-based dyes. J. Photochem. Photobiol. A Chem. 2022, 433, 114189. [Google Scholar] [CrossRef]
- Wu, J.; Wang, H.; Xu, S.; Xu, W. Comparison of shearing force and hydrostatic pressure on molecular structures of triphenylamine by fluorescence and Raman spectroscopies. J. Phys. Chem. A 2015, 119, 1303–1308. [Google Scholar] [CrossRef] [PubMed]
- Ashenhurst, J.A. Intermolecular oxidative cross-coupling of arenes. Chem. Soc. Rev. 2010, 39, 540–548. [Google Scholar] [CrossRef] [PubMed]
- Lennox, A.J.; Lloyd-Jones, G.C. The Slow-Release Strategy in Suzuki–Miyaura Coupling. Isr. J. Chem. 2010, 50, 664–674. [Google Scholar] [CrossRef]
Publisher’s Note: MDPI stays neutral with regard to jurisdictional claims in published maps and institutional affiliations. |
© 2022 by the authors. Licensee MDPI, Basel, Switzerland. This article is an open access article distributed under the terms and conditions of the Creative Commons Attribution (CC BY) license (https://creativecommons.org/licenses/by/4.0/).

























