Abstract
In the last two decades, boron-based catalysis has been gaining increasing traction in the field of organic synthesis. The use of halogenated triarylboranes as main group Lewis acid catalysts is an attractive strategy. It has been applied in a growing number of transformations over the years, where they may perform comparably or even better than the gold standard catalysts. This review discusses methods of borane synthesis and cutting-edge boron-based Lewis acid catalysis, focusing especially on tris(pentafluorophenyl)-borane [B(C6F5)3], and other halogenated triarylboranes, highlighting how boron Lewis acids employed as catalysts can unlock a plethora of unprecedented chemical transformations or improve the efficiency of existing reactions.
1. Introduction
Boron reagents are often employed as Lewis acids because of their strong electrophilic nature by virtue of a vacant p-orbital which can readily accept electrons from donor molecules. Many boranes have been synthesised and employed over the years, including trialkyl-, triaryl- and trihalo-boranes. As the field of boron chemistry was growing, the variety of boron reagents grew along. In fact, over the years, a series of boron-based catalysts of tunable acidity and increasing structural complexity arose (Figure 1a) [1]. One of the most interesting examples are boron trihalides BX3 (X = F, Cl). Although they are exceptionally efficient as catalysts, they are extremely moisture-sensitive and, additionally, its volatile nature makes them difficult to handle. In the 1950s, investigations were carried out on perfluoroalkyl boranes, whose highly electronegative fluorinated ligands confer strong Lewis acidity to the boron centre and the B–C bonds were expected to be less hydrolytically sensitive. However, perfluoroalkylboranes exhibit thermal instability [2]. Therefore, the focus was shifted on halogenated triarylboranes, such as tris(penta-fluorophenyl)-borane [B(C6F5)3], commonly known as BCF, which was first synthesised in the 1960s by Massey (Figure 1b) [3,4]. Although the scientific community was aware of its interesting Lewis acid properties, the field remained dormant until it was used as initiator in the polymerisation of olefins with metallocenes [5,6,7,8,9,10]. Few years later it gained further attention since Piers discovered its capability to catalyse hydrosilylation reaction of carbonyl compounds [11]. In 2006, BCF received a new momentum thanks to Stephan’s finding that boranes bearing halogenated aryl groups can form with phosphines an adduct named “frustrated Lewis pairs” (FLPs), able to activate small molecules, such as H2 and CO2, for example [12,13]. This review highlights recent reports of emergent boron chemistry, beginning by examining new methodologies for the synthesis of novel Lewis acidic boranes, to highlight how this field has grown in the last few years. Finally, examples on the use of boron-based catalysts will also be discussed. The focus of the review is on the most recent examples, although some historical examples are included to provide the reader with a better overview.
Figure 1.
(a) Visual representation of the scale of increasing acidity of different boron-based Lewis acids; (b) Tris(pentafluorophenyl)-borane (BCF).
2. Synthesis
Synthesis of Homoleptic and Heteroleptic Halogenated Triarylboranes
Homoleptic halogenated triarylboranes can be synthesised in two ways: either via the Grignard method or the lithiation method. In 1963 Massey and coworkers first described the synthesis of BCF using a Grignard reagent with BCl3 [3] later, whereas the lithiation procedure was reported in the patent literature in 1994 [14]. General procedures are both shown in Scheme 1. To obtain the desired product in higher yields, modifications and different purification strategies have been adopted. B(2-FC6H4)3, B(4-FC6H4)3, B(2,6-F2C6H3)3, B(2,4,6-F3C6H2)3, B(3,4,5-F3C6H2)3, and B(3,5-(CF3)2C6H3)3 have been synthesised employing the Grignard method with subsequent purification (sublimation) [15,16,17,18,19]. Boranes with trifluoromethyl groups on the aryl ring, B(2,4-(CF3)2C6H3)3, B(2,5-(CF3)2C6H3)3, B(3,5-(CF3)2C6H3)3 and B(2-(CF3)C6H4)3 have been prepared by the lithiation method [20,21,22]. Bulkier analogues of BCF, e.g., [B(C10F7)3] and tris(perfluorobiphenyl) borane [B(2-(C6F5)C6F4)3], have also been synthesised by the lithiation method [23,24].
Scheme 1.
Different routes to synthesise homoleptic halogenated triarylboranes.
The synthesis of the tris(perfluorotolyl)borane [B(4-(CF3)C6F4)3] 8 was shown by Mitzel and coworkers using a Grignard reagent to prepare an arylcopper intermediate 7 as shown in Scheme 2 [25]. The copper intermediate underwent a transmetallation reaction with BBr3 to generate the desired borane 8.
Scheme 2.
Synthesis of the tris(perfluorotolyl)borane [B(4-(CF3)C6F4)3] 8.
The synthesis of BCF 11 was carried out for the first time by Massey et al. by preparing it in pentane, since boron compounds normally complex readily with ethers and make isolation of the desired product much more difficult (Scheme 3) [3].
Scheme 3.
Synthesis of BCF 11.
Whilst the Lewis acidity and catalytic activity of halogenated triarylboranes can be tuned by varying the number of halogen atoms and their position on the aryl rings, further fine-tuning is possible through the synthesis of heteroleptic boranes. Few heteroleptic boranes have been synthesised because of the complexity of the procedures; the synthesis of B(C6F5)2(2-(C6F5)C6F4) is probably the simplest heteroleptic borane: it was prepared replacing one perfluorophenyl moiety with a perfluorobiphenyl motif. The synthetic procedure for preparing the 2-bromononofluoro-biphenyl portion involves the reaction of (C6F5)Li and C6F5Br. Then, the addition of BCl3 to Sn(Me)2(C6F5)2 14 generated the B(C6F5)2Cl 15. Finally, the reaction between the two partners, B(C6F5)2Cl 15 and 2-lithiumnonofluoro-biphenyl 13, afforded B(C6F5)2(2-(C6F5)C6F4) 16 as shown in Scheme 4 [26].
Scheme 4.
Synthesis of one of the simplest heteroleptic borane: B(C6F5)2(2-(C6F5)C6F4) 16.
Soós research group performed the synthesis of other interesting heteroleptic boranes bearing chlorinated and fluorinated aryl rings 21 as shown in Scheme 5. The dihalobenzene derivatives 17 were reacted with n-butyl lithium and trimethyl borate, affording boronic acids 18. They were then converted into the potassium trifluoroborate salt 19, that could be reacted with Grignard reagents bearing different aryl frameworks to form the desired heteroleptic boranes. These boranes have the great advantage of being moisture tolerant thanks to the steric hindrance of the chlorine atoms which prevent water from binding to the boron centre [27].
Scheme 5.
Synthetic route for heteroleptic boranes bearing chlorinated and fluorinated aryl rings.
The first example of halogenated triarylborane bearing three different aryl rings, B(C6F5)(C6Cl5)(3,5-(CF3)2C6H3) 27, was synthetised from borane dimethylsulfide 22 through five synthetic steps. First, a single equivalent of Li(C6F5) was generated at −78 °C and was reacted with borane dimethylsulfide 22 to form [H3B(C6F5)]. The excess hydride was abstracted with TMSCl obtaining H2B(C6F5) 23. The trifluoromethyl bearing aryl ring was installed via a similar strategy by adding Li(3,5-(CF3)2C6H3) and abstraction of the excess hydride by TMSCl. The resulting HB(C6F5)(3,5-(CF3)2C6H3) 24 was reacted with excess methanol and then BBr3 to form BrB(C6F5)(3,5-(CF3)C6H3) 26. Finally, the bromoborane was reacted with half an equivalent of Zn(C6Cl5)2 to install the last aryl ring, by affording the desired heteroleptic borane 26 (Scheme 6) [28].
Scheme 6.
Synthesis of B(C6F5)(C6Cl5)(3,5-(CF3)2C6H3).
3. Catalysis
Main group catalysis found fertile soil in carbon–carbon bond forming reactions, hydrogenation, hydroboration and many other transformations, which are traditionally achieved by metal-based catalysis. Even if this field remained dormant for a long time, mainly because of the aforementioned technical difficulties, once those were overcome, the main group catalysis progressed quickly, leading to the development of a wide range of novel and mild strategies to perform the classical chemical transformations. The key advantages of employing main-group elements in catalysis is their generally lower cost, which makes them more attractive to industry, and their lower toxicity compared with heavy-metals. The current focus of many research groups involves the development of new methodologies to make catalysis ‘‘greener”. Using earth-abundant, less toxic, first-row transition metals, chemists are re-examining well known strategies to make them more environmentally-friendly [29,30,31]. Boron-based compounds are widely employed as main group catalysts: boronic acids prominently for the activation of hydroxy functional groups [32], doubly B-doped (hetero)arenes as activators of p-block molecules [33], and boranes capable of activating a large number of substrates via a variety of transformations (Figure 2). While boronic acids and doubly B-doped (hetero)arenes are extensively employed in organic synthesis, boranes catalysis is a less developed field. Boranes can act as Lewis acid catalysts thanks to their empty p-orbital on the central boron atom. The basis for boranes-mediated Lewis acid catalysis is led by the attack and subsequent release of their empty p-orbital. BCF is probably the catalyst that has received most of the attention, as it will be evident from the following examples. An additional advantage in terms of acidic nature of BCF is given by the three electron-deficient pentafluorophenyl rings directly bonded to the boron centre, placing the Lewis acidity of BCF between the ones of BF3·Et2O and BCl3. Moreover, the catalytic reactivity of BCF is enhanced by the fluorine atoms of the pentafluorophenyl ring, which are able to interact with substrates via hydrogen bonding or other electrostatic interactions. The pentafluorophenyl rings provide extra bulkiness to the BCF, which inhibits the formation of the classical Lewis acid–base adduct. Another strong point for its use as catalyst is its high thermal stability. This property makes it suitable for high-temperature reactions that can easily rival transition metal catalysts [2,34,35,36,37]. This versatile catalyst also possesses the ability to coordinate with lone pair of heteroatoms, that promotes various defunctionalisation reactions as well as valuable functional groups incorporation via a new C–C or C–heteroatom bond.
Figure 2.
Different classes of boron-based catalysts.
In the following sections, representative ground-breaking examples in this field over the last five years will be discussed.
3.1. Boron-Based Catalysis
Recently BCF-catalyzed reactions have given renaissance to several chemical transformations. In this regard, a ground-breaking example come from Chatterjee’s research group by performing hydroarylation reactions of conjugated dienes 28 under mild reaction conditions. This novel strategy developed a broad substrate scope of sterically hindered aniline derivatives 29 via highly regioselective functionalisation driven by BCF catalysis (Scheme 7).
Scheme 7.
Hydroarylation reactions of conjugated dienes via BCF catalysis.
Aniline derivatives 29, in particular diarylamines, are essential structural motifs that have variety of applications, such as in medicinal chemistry, agrochemical or pharmaceutical industry, and natural products. That is why the development of an efficient route for the synthesis of diarylamines and their derivatives is attractive [38]. This approach shows a wide substrate scope (>35 examples) with good functional group tolerance. The desired products are obtained with good to excellent yields (up to 98%) and high regioselectivity (rr up to >20:1). Chatterjee and coworkers showed that less hindered or alkyl-substituted arylamines mainly undergo 4,1- rather than 4,3-hydroarylation. With 1-aryl substituted dienes the 4,3-hydroarylation occurs, while 1-alkyl-substituted dienes mainly provided either 4,1- or 4,3-hydroarylated products, and 2-alkyl-substituted dienes mainly provided 1,4-hydroarylated compounds. Interestingly, the 1,2-, 1,4-, 4,1- or 4,3-hydroarylation take place depending on the nature of the substituents. To gain a deeper mechanistic insight, the Lewis acid catalyst BCF together with the residual water play a crucial role in the protonation of 1,3-dienes 28, by converting it into the respective allyl cation intermediates inducing the facile electrophilic aromatic substitution of aniline substrates 29 (Scheme 8).
Scheme 8.
Mechanistic insight in the hydroarylation reactions of conjugated dienes via BCF catalysis.
Moreover, BCF efficiently catalyses highly regioselective glycosidation reaction of indoles. This attractive approach has been recently developed by Mandal et al. coupling the glycosyl trichloroacetimidates 32 with a wide range of substituted indoles 33 in the presence of catalytic amounts of BCF (Scheme 9) [39].
Scheme 9.
BCF catalysed regioselective strategy to access 3-indolyl-C-glycosides 34.
The authors have successfully developed an efficient stereoselective C-glycosylation protocol involving trichloroacetimidate glycosyl donors 32 with indoles 33. The desired products 34 were obtained in good to excellent yields with mild and practical reaction conditions, in fact either molecular sieves or extremely low temperatures were required. The mechanism is elucidated in the Scheme 10: instead of performing a simple SN2-type mechanism the BCF undergoes an acid−base-type reaction. The nucleophilic acceptor 33 forms a complex with the catalyst (intermediate A), which ignite the perbenzylated α-glucosyl imidate donation (intermediate B).
Scheme 10.
Mechanistic insight in the β-stereoselective 3-indolyl-C-glycosidation reaction.
Recently Koenings et al. reported a BCF-catalyzed reaction of carbazoles 35 with aryldiazoacetates 36 (Scheme 11). Finely controlling the regioselectivity of this process is its inherent challenge: in fact, both N−H and C−H functionalisation can occur. In the case of unprotected carbazoles, only the N-H functionalization occurs. On the other hand, protected carbazoles undergo C−H functionalization at the C-3 position in good yields [40] The successful development of a regioselective method to functionalise carbazoles overcame the need for metal catalysts in such transformations and demonstrated the important advances in the field of Lewis acid catalysis.
Scheme 11.
BCF-catalysed reaction of carbazoles 35 with aryldiazoacetates 36.
In the presence of BCF as a catalyst, a variety of carbazoles 35 functionalisation occurs with good to excellent yields (up to 97%) and high selectivity. From a mechanistic point of view (Scheme 12), BCF coordinates to the aryldiazoacetates 36, generating a borane-stabilised vinyl cation or the activated carbene intermediate (the electrophilic intermediate C). The coordination to borane renders the intermediate C a hard intermediate, which reacts in the N−H functionalization of carbazole 35 following the hard and soft Lewis acids and bases principles. After the addition of carbazole 35, the proton migration to the neighboring carbonyl group occurs giving rise to the intermediate E, which, upon tautomerization, releases the catalyst and provides the desired product 37.
Scheme 12.
Mechanistic perspective for the BCF-catalysed functionalisation of carbazoles 35.
The activation and subsequent functionalization of carbon−fluorine bonds is highly synthetically demanding, because of the high thermodynamic barrier required to cleave the C−F bond. Transborylation reaction is key to perform the borane catalyzed coupling of alkyl fluorides 39 with arenes 42 and carboxylic acids 43 (Scheme 13). Successful C−C and C−O bond formation across a variety of structurally and electronically differentiated arenes 42 and carboxylic acids 43 was obtained using 9-borabicyclo[3.3.1]nonane 40 (H-B-9-BBN) as catalyst and pinacolborane 41 (HBpin). Experimental and computational mechanistic studies elucidated how both transformations occur: B−F transborylation between F-B-9-BBN and HBpin 41 enabling catalytic turnover for C−C coupling. On the other hand, the exchange between the alkyl fluoride 39 and acyloxyboronic ester was proposed for C−O coupling, where H-B-9-BBN 40 catalysed the dehydrocoupling of the carboxylic acid 43 with HBpin 41 [41].
Scheme 13.
Borane-catalyzed coupling of alkyl fluorides 39 with arenes 42 and carboxylic acids 43.
This approach has been demonstrated with high functional group tolerance and high efficiency, furnishing the desired products in good to excellent yield (up to 99%). Mechanistic investigations shown in Scheme 14 confirmed that, regarding the C−F arylation, the dissociation of the borane dimer [H-B-9-BBN]2 and the subsequent coordination to benzyl fluoride 39 initiate the carbon−carbon bond formation, by generating a carbocation and a fluoroborohyride by fluoride extraction. Then, the nucleophilic attack of the arene 42 to give a Wheland intermediate A, followed by deprotonation by the fluoroborohydride, generates the C−C coupled product 45, releasing H2. The catalytic turnover was ensured by F-B-9-BBN which undergoes B−F transborylation with HBpin 41 to give FBpin 44 and regenerates the H-B-9-BBN catalyst 40. For C−F esterification, upon the formation of monomeric H-B-9-BBN 40, rapidly the dehydrocoupling reaction with the carboxylic acid 43 occurs and the acyloxy-B-9-BBN is formed, while H2 released. Acyloxy-B-9-BBN reversibly originated the corresponding H-B-9-BBN adduct. Reversible B−O transborylation with HBpin 41 yielded acyloxy-Bpin and regenerated the H-B-9-BBN catalyst 40. The acyloxy-Bpin underwent C−F esterification with the alkyl fluoride 39 and gave the desired C−O coupled product 46 and FBpin 44.
Scheme 14.
Mechanistic elucidation for the BCF-catalyzed coupling of alkyl fluorides 39 with arenes 42 and carboxylic acids 43.
Similarly, the same research group employed a similar approach to improve the efficiency of well-known transformations via BCF catalysis [42]. They developed a protocol to perform the hydroboration of alkynes 47 and styrene with HBpin 41 using BCF as the initiator of catalysis (Scheme 15). In fact, a zwitterionic intermediate A is formed when BCF meets the alkyne moiety 47 and subsequently it acts as a catalyst for the desired reaction. This zwitterion is a strong enough Lewis acid to catalyse the hydroboration of alkenes, offering a promising methodology to explore further reactivity of the archetypal boron Lewis acid.
Scheme 15.
BCF-catalyzed hydroboration of alkynes 47 and styrene.
Despite the great achievements related to the C3 functionalization of indoles, cyanoalkylation reactions of this pharmacologically relevant moiety remain underinvestigated. Minakata’s research group tackled this challenge by coupling cyanohydrins 49 with indoles 33 in the presence of a catalytic amounts of BCF (Scheme 16). Mechanistic studies revealed the unique reactivity of the BCF catalyst in coordinating the cyano group to the boron center to trigger the desired reaction. Another strength of this methodology is that it is a three-component reaction (using indoles 33, aldehydes 51, and acetone cyanohydrin 49). This allows to circumvent the synthesis of each aldehyde-derived cyanohydrin separately. The developed method provides straightforward and highly efficient route to produce various types of synthetically useful indole-3-acetonitrile derivatives 50 [43].
Scheme 16.
Cyanoalkylation reaction of indoles mediated by BCF.
Based on the experimental results, Minakata and coworkers proposed the reaction mechanism reported in Scheme 17. First, the cyanohydrin 49 decomposed into HCN and the corresponding carbonyl compound thanks to the coordination of the cyano moiety to BCF. Subsequently, indole 33 attacks the resulting carbonyl compound, which is more reactive owing to BCF coordination, to form the alcohol intermediate C. This intermediate undergoes dehydration, leading to the formation of electrophilic iminium compound D. The cyanide generated through the dehydration step attack the electrophile generated in situ to afford cyanoalkylated product 50. This reaction pathway highlights the unique catalytic activity of BCF that activates three different species in the same catalytic cycle: cyanohydrins, carbonyl compounds, and alcohol intermediate.
Scheme 17.
Reaction mechanism proposed for the BCF-catalyzed cyanoalkylation reaction of indoles.
Oestreich’s research group drew up a sequence of formylation and BCF-catalyzed reduction of the resulting formate with Et3SiH enabling the chemoselective deoxygenation of secondary benzylic alcohols 52 (Scheme 18). The formyl group fulfills a dual role as activator and sacrificial protecting group. The limit of this methodology is that both primary benzylic and tertiary non-benzylic alcohols are not reduced by this protocol [44].
Scheme 18.
BCF-catalyzed chemoselective deoxygenation of secondary benzylic alcohols 52.
The desired products 53 were obtained in up to excellent yields (14–93%). The reaction under investigation was realised by a formylation followed by a subsequent BCF-catalysed reduction with Et3SiH as shown in Scheme 19. At first, the primary formate converts into the silylcarboxonium ion A with the borohydride B as counteranion. Then, this intermediate is reduced to the acetal E which is further reduced to the silyl ethers and Et3SiOMe which is finally reduced to methane. The deoxygenation of the secondary formate follows an SN1 mechanism. Silylcarboxonium ion A dissociates into the benzylic carbenium ion C and the silylated formate D. The borohydride B transfers a hydride to the carbenium ion C affording the hydrocarbon. At the same time, the formate converts into bis-silyl acetal, silylated methanol, methane, and the disiloxane via BCF-catalyzed hydrosilylation.
Scheme 19.
Mechanistic insights for the BCF-catalyzed deoxygenation of secondary benzylic alcohols 52.
Over the last decades, the use of BCF was established as one of the privileged catalytic alternatives to form carbon–carbon bonds in the absence of precious transition metal catalysts. Melen’s research group demonstrated the metal-free alkenylation reactions of aryl esters with α-diazoesters to obtain highly functionalised enyne derivatives (Scheme 20). Lewis acidic boranes have been shown to be valid catalysts for highly selective reactions of diazo compounds with a wide range of synthetic partners. The reactions of α-aryl α-diazoesters 36 with nitrogen heterocycles indole 33 or pyrrole selectively generate C3 and C2 C–H insertion products, respectively, in good to excellent yields even with unprotected indoles. Under the same mild condition α-aryl α-diazoesters 36, benzofuran, indene, and alkene substrates 54 give exclusively cyclopropanation, whereas furans 55 lead to the ring-opening reaction. This simple and mild approach proved itself to be an effective alternative to the most commonly used protocols to access the reactions of α-aryl α-diazoesters 36 with (hetero)cycles and alkenes [45]. This work shows the highly selectivity of the catalytic reactions of α-aryl α-diazoesters 36 with a wide range of (hetero)cycles and olefins via the activation of the diazocompounds thanks to BCF. Theoretical DFT calculations have been employed to deeply investigate the reaction mechanisms as well as the different regio- and diastereoselectivities of the substrates.
Scheme 20.
Metal-free alkenylation reactions of aryl esters with α-diazoesters.
Methods for cyclopropanes’ synthesis are crucial for many research areas such as drug discovery, chemical biology, and total synthesis. Hill’s research group reported an intriguing strategy for the cyclopropanation of unactivated alkenes using aryldiazoacetates by exploiting the strong sterically encumbered Lewis acid (BCF) as catalyst (Scheme 21). The cyclopropane products are synthesised via a Lewis acid-activated carbene using 10 mol% of the catalyst under mild conditions [46].
Scheme 21.
Cyclopropanation of unactivated alkenes using aryldiazoacetates by BCF catalysis.
Scheme 22 shows the catalytic cycle. First BCF coordinates reversibly to the ester on diazo compound 36 because of its oxophilic nature. Then the formation of the alkene diazonium ion species A, as a mixture of E- and Z-isomers, occurs. At this point, the Lewis acid-activated carbene intermediate B is formed by losing N2. This electrophilic intermediate then undergoes a concerted [2 + 1] cycloaddition reaction with the vinyl group on styrene derivative C, forming the desired products 61 and regenerating the Lewis acid catalyst. The high diastereoselectivity of the cycloaddition is probably given by the steric hindrance of the styrene aryl group and the bulky tris(pentafluorophenyl)borane.
Scheme 22.
Mechanism for the BCF-catalyzed cyclopropanation.
One more noteworthy strategy is reported by Melen et al.; they set up a mild and facile BCF-catalysed approach to construct new C–N bonds; thanks to this strategy N-alkylation reactions of a wide variety of amine 62 substrates with aryl esters 63 is performed. This reaction protocol yields a wide range of N-alkylated products 64 in good to excellent yields. The construction of a C–N bond at the propargylic position has also been demonstrated to provides access to this synthetically useful propargyl amines moiety. On the other hand, a trend-reversal is seen in unsubstituted 1H-indoles and 1H-pyrroles at the C3/C2 positions afforded exclusively C–C coupled products (Scheme 23) [47].
Scheme 23.
N-alkylation reactions of amine derivatives 62 with aryl esters 63 using BCF as catalyst.
Extensive DFT calculations were performed by Melen et al. to investigate the reaction mechanism (Scheme 24). At first the coordination of the borane to the ester occurs (intermediate A). This coordination causes the elongation of C–O bond at its subsequent cleavage, generating an electrophilic carbenium ion B. Then the nucleophilic attack of a variety of amines 62 to the electrophilic carbenium ion B formed in situ occurs. Finally, the intermediate C undergoes to the deprotonation reaction and the desired N-C coupled product 64 and benzoic acid (byproduct) were released.
Scheme 24.
Mechanism for the BCF-catalyzed N-alkylation.
The strong boron Lewis acid BCF is known to catalyze the dehydrogenative coupling of certain amines and hydrosilanes at elevated temperatures. At higher temperature, the dehydrogenation pathway competes with cleavage of the C–N bond and the defunctionalisation occurs. This feature of BCF can be turned into a useful tool for the transition-metal-free reductive deamination of a broad range of amines 65 (26 examples) as well as heterocumulenes, isocyanates and isothiocyanates (Scheme 25) [48]. The desired defunctionalised products 66 were obtained in moderate to excellent yields, apart from a couple of examples.
Scheme 25.
Transition-metal-free catalytic reductive N–C bond cleavage.
The authors reported a series of mechanistic experiments and they concluded that the dehydrogenative Si-N coupling of the bis-silylammonium borohydride intermediate is in competition with its dissociation into the corresponding benzylic carbocation and disilazane A because of the high temperature. The carbocation formed in situ is then captured by the borohydride to afford the desired defunctionalised product.
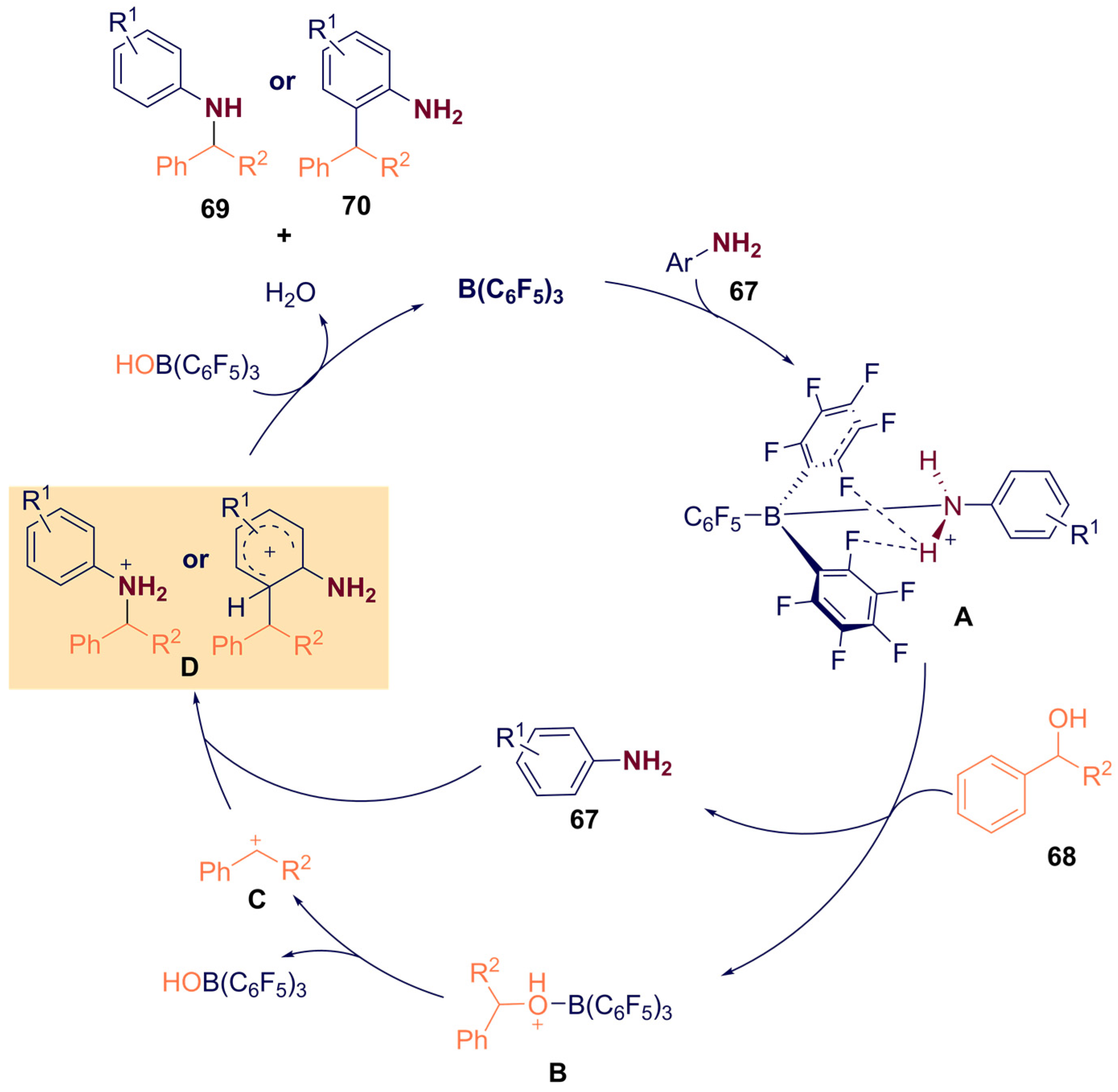
In 2019 an unprecedented protocol for the efficient and highly chemoselective alkylation of unprotected arylamines 67 coupled with alcohols 68 mediated by BCF was demonstrated by Chan’s research group (Scheme 26). N-alkylated products and ortho C-alkylated products were obtained using different solvents in good chemoselectivities and yields. The borane underwent alcohol/arylamine exchange to ensure the catalytic activity [49].
Scheme 26.
Chemoselective alkylation of arylamines using alcohols mediated by BCF.
Both mechanistic studies and DFT calculations proposed that the reaction pathway proceeds through four-steps as shown in the Scheme 27: at first the alcohol/amine exchange generates catalyst-alcohol complex intermediate B; then, the dissociation of the intermediate formed in situ occurs and the carbocationic specie C is formed. At this point the nucleophilic attack of the carbocation C by the arylamine 67 generates the N-/C-alkylation intermediates and finally after the protolysis of the σ-complex intermediates D the desired N-/C-alkylated products 69 or 70 are formed and the catalyst is released.
Scheme 27.
Mechanism for the BCF-catalyzed N/C-alkylation of arylamines.
A novel metal-free hydrothiolation of 1,3-dienes for preparing secondary and tertiary allylic sulfides was recently reported by Chatterjee et al. (Scheme 28). The boron Lewis acids BCF and BF3·Et2O are shown to catalyze the regioselective hydrothiolation of numerous terminal 1-aryl-1,3-dienes 72. In the case of internal 1,3-dienes, BCF is a better catalyst than BF3·Et2O by a large margin. This methodology has the advantage of being performed under mild reaction conditions and low catalyst loading. Furthermore, this protocol is rate-limited by the 1-aryl-directed protonation of 1,3-dienes with thiol-boron Lewis acid complexes, followed by sulfide anion transfer to the resultant allyl cations [50].
Scheme 28.
Novel metal-free hydrothiolation of 1,3-dienes mediated by BCF.
To better understand the mechanism of the protocol under investigation, the authors performed both experimental and theoretical studies. The reaction proceeds with the protonation of the 1,3-diene 72 and it is finalized by the C–S coupling driven by the Lewis adduct formation between the acidic borane and thiol 71. In fact, it is shown that thiophenol and BCF may easilier form a weak B···S adduct instead of the 1,3-diene and BCF adduct, which is much less favorable.
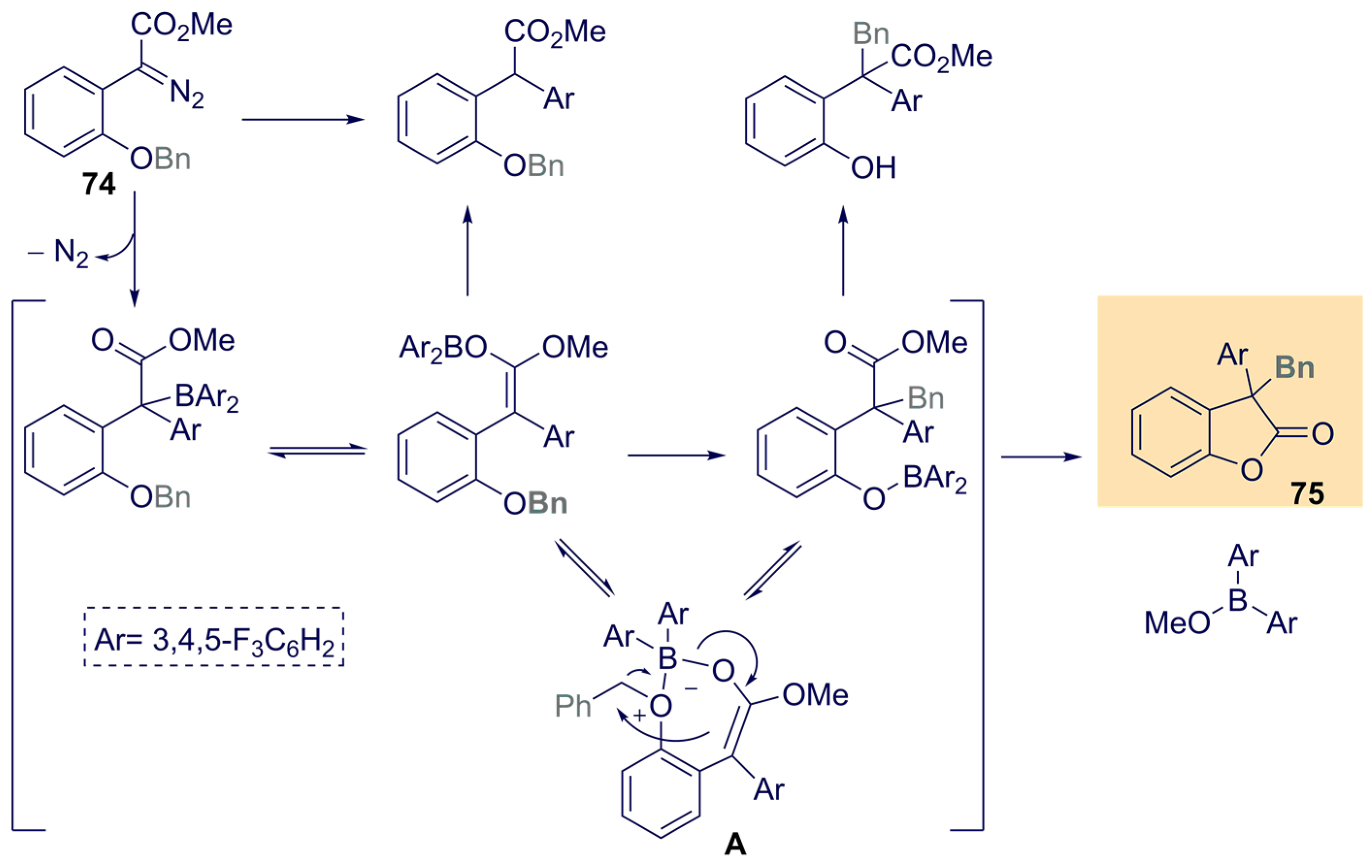
In 2017 Melen’s research group fine-tuned a novel metal-free synthesis of 3,3-disubstituted benzofuran-2-(3H)-ones 75, by reacting α-aryl-α-diazoacetates 74 with triarylboranes (Scheme 29). Initially, triarylboranes were successfully investigated in α-arylations of α-diazoacetates 74; however, in the presence of a heteroatom at the ortho position, the boron enolate intermediate A undergoes an intramolecular rearrangement to form a quaternary center. Then this intermediate cyclises to afford valuable 3,3-disubstituted benzofuranones [51].
Scheme 29.
BCF catalysed synthesis of 3,3-disubstituted benzofuran-2-(3H)-ones.
Mechanistically, at first the 1,2-aryl shift from the borane to the diazocompound 74 with loss of dinitrogen and formation in situ of the boron enolate intermediate A (Scheme 30). This intermediate fully converts into the corresponding ester within 1 h. Finally, the desired lactone 75 and the diarylboronic ether as side product within 24 h.
Scheme 30.
Mechanistic investigation for the BCF-catalyzed synthesis of 3,3-disubstituted benzofuran-2-(3H)-ones 75.
3.2. Asymmetric Boron-Based Catalysis
Boron Lewis acids are also promising as chiral catalysts; however, this field remains largely unexplored due to some critical challenges. The main hurdle is the moisture-sensitivity of these catalysts, which makes boron Lewis acid components difficult to prepare and handle. Therefore, the development of convenient methods for the preparation of chiral boron Lewis acids is an hot topic.
Wang’s research group reported a ground-breaking strategy to perform the asymmetric vinylogous Mannich reaction of acyclic α, β-unsaturated ketones 76 providing an efficient approach to synthesise enantiopure amino-functionalised derivatives 78. These products are appealing building blocks for the synthesis of pharmaceutical and natural compounds. Most often, the interaction between drugs and their natural receptors is enantioselective, therefore it is crucial that these synthetic processes yield only one enantiomer. By combining the chiral bicyclic bisborane catalysts with a tertiary amine, the asymmetric vinylogous Mannich reactions of α,β-unsaturated ketones 76 with Boc-protected imines 77 was successfully accomplished with excellent regio-, diastereo-, and enantioselectivities (Scheme 31). Thanks to this efficient methodology, the desired products were obtained in good to excellent yields (up to 98%), high diasteroselectivity (up to >20:1) and very high enantiomeric excess (up to 96%) [52].
Scheme 31.
Asymmetric vinylogous Mannich reaction of acyclic α, β-unsaturated ketones 76 via asymmetric boron-based catalysis.
The Lewis acid catalyst and the base cooperatively deprotonated the substrate to obtain synergistically two valuable intermediates: a borane-ligated vinylogous dienolate B and an ammonium cation A, which then acts as a Brønsted acid to activate the imine while the borane controlled the selectivity of the Mannich reaction (Scheme 32). Theoretically, coordination of the carbonyl oxygen with a strong Lewis acid catalyst would facilitate deprotonation by inductively increasing the acidity of the γ proton and thus favor enolization of the substrate. In fact, the strong Lewis acidity and steric hindrance of the bisborane catalysts were critical to induce the high selectivities and yields.
Scheme 32.
Mechanistic investigation for the asymmetric vinylogous Mannich reaction.
Another elegantly designed approach has been recently developed to obtain the β-C(sp3)−H functionalization of N-alkylamines 79 reacting with α,β-unsaturated compounds 80. This cutting-edge methodology allows the enantioselective late-stage β-C−H functionalization of bioactive amines which revealed itself to be a powerful strategy to access key building blocks of N-based natural products and drugs [53]. Wasa et al. fine-tuned a synthetic approach which exploits the cooperation of two different catalysts which in appearance could act competitively: a Lewis acid, BCF, and a chiral Mg- or Sc-based complex. Surprisingly, this strategy was successful, and by carefully choosing the reaction conditions, a spectrum of δ-amino carbonyl compounds 81 was synthesised by enantioselective reaction of a N-alkylamine-derived enamine and an electrophile (i.e., the α,β-unsaturated compound) simultaneously activated by the chiral Lewis acid (Scheme 33). The protocol designed and performed proves itself to be efficient (yields up to 95%), highly disteroselective (up to >20:1) and highly enantioselective (ee up to 96%).
Scheme 33.
Enantioselective β-C−H functionalization of N-alkylamines 79.
The authors propose that BCF could abstract a hydride from the amine, leading to the formation of a borohydride B and an iminium ion intermediate A. A Brønsted base catalyst subsequently deprotonates the iminium ion to give the corresponding enamine C. The enamine C and α,β-unsaturated compound 80, activated by the chiral Lewis acid co-catalyst, undergo enantio- and diastereo-selective C−C coupling reaction, obtaining a zwitterionic intermediate D. Then, the protonation and reduction of the resulting intermediate formed in situ follows to give the desired β-alkylation product 81 (Scheme 34).
Scheme 34.
Mechanistic perspective for the enantioselective β-C−H functionalization of N-alkylamines 79.
One more key example was reported by Wang’s research group: a highly chemoselective and enantioselective reduction of 2-vinyl-substituted pyridines 82 was achieved by exploiting chiral spiro-bicyclic bisboranes as catalysts, and HBpin 41 and an acidic amide as reducing reagents 83 (Scheme 35). This protocol is not only the first example of a metal-free borane-catalysed enantioselective pyridine reduction, but also an uncommon approach to enantioselectively reduce unprotected pyridines. The excellent functional group tolerance of this efficient methodology is one of the major strengths of this protocol; in addition, the low catalyst loading and the mild reaction conditions (ambient temperature and no use of compressed hydrogen gas) make it attractive for industrial applications [54].
Scheme 35.
Enantioselective reduction of 2-vinyl-substituted pyridines.
The cooperative activation of HBpin 41 is presumably obtained by the borane catalyst and the pyridine to generate the borenium cation and the borohydride anion. Then, the hydride transfer from the borohydride anion to the 4-position of the pyridine ring occurs and the Bpin-protected dihydropyridine intermediate A is formed. The reaction of HBpin, the proton donor and the borane catalyst provide the borohydride anion and the ammonium ion, which act as reducing reagents for transfer hydrogenation of the dihydropyridine intermediate (Scheme 36).
Scheme 36.
Proposed mechanism for the enantioselective reduction of 2-vinyl-substituted pyridines 82.
An efficient and highly enantioselective Conia-ene-type reaction has been developed by Wasa and coworkers as the Scheme 37 shows [55]. This exploits the cooperative action of a three-component catalyst system, consisting of a pair of Lewis acids and a Brønsted basic amine (i.e., BCF, a BOX–ZnI2 complex and an N-alkylamine respectively). The cornerstone of this pioneering work lies in the judicious tuning of different Lewis acids which possess complementary features. Thanks to this escamotage ketones with poorly acidic α-C–H bonds can be converted in situ to the corresponding enolates through BCF and amine which work in concert. Subsequently the enantioselective cyclization occurs by a BOX–ZnI2-activated alkyne 85 and the desired Conia-ene-type reaction products 86 are obtained with excellent yields (up to 99%) and enantioselectivities (up to 98%).
Scheme 37.
Enantioselective Conia-ene-type reaction mediated by a three-component catalyst system: BCF, N-alkylamine (PMP) and a BOX–ZnI2 complex.
The authors propose that first N-alkylamine could deprotonate BCF-activated ketone (intermediate A), generating an enolate B and an ammonium ion. In the meantime, a chiral Lewis acid cocatalyst (M–L*) would activate the alkyne moiety. Then, the enantiodetermining 5-endo-dig cyclisation of the enolate and the alkyne occurs (intermediate C). Subsequent protonation of C–ML* bond by the ammonium ion would afford the desired cyclopentenyl product 86 (Scheme 38).
Scheme 38.
Mechanism for the enantioselective Conia-ene-type reaction.
In 2018, Wasa et al. developed a methodology to synthetise valuable enantiomerically enriched α-substituted amines (Scheme 39) [56]. Hence, a strategy for the enantioselective coupling of N-alkylamines 87 and α,β-unsaturated compounds 88 was designed and successfully performed, which allowed them to obtain a wide range of α-amino carbonyl compounds 89 with excellent yields (up to 95%) and enantioselectivity (up to 96%). At the basis of this work there is the employment of the cooperative action ofBCF, the Lewis acids counterpart, and a chiral Mg–PyBOX complex, which acts as a base, to induce the enantioselectivity. This approach outperforms traditional methodologies which require oxidative conditions and precious transition metal catalysts.
Scheme 39.
Synthesis of chiral α-substituted amines 89 via cooperative catalysis of BCF and chiral Mg–PyBOX complex.
A possible mechanism proposed by the authors involves the enantio- and diastereoselective C–C coupling between iminium ion A and chiral enolate B, both generated in situ by cooperative functions of a chiral (Mg–PyBOX complex) and an achiral (BCF) Lewis acid catalyst as Scheme 40 shows.
Scheme 40.
Mechanism for the synthesis of chiral α-substituted amines.
Du and coworkers proposed a novel cutting-edge strategy for generating chiral boranes in situ via hydroboration of chiral terminal dienes or diynes, that can act as ligands, with Piers’ borane without further purification. Thanks to this approach, asymmetric metal-free hydrogenations and hydrosilylations become more rapid and operationally simple. With chiral diene-derived boron Lewis acids as catalysts, a broad range of unsaturated compounds, such as imines, silyl enol ethers, 2,3-disubstituted quinoxalines, and polysubstituted quinolines, show itself to be suitable substrates for asymmetric metal-free hydrogenations, giving the corresponding products in excellent yields (up to 98%) and high enantioselectivities (up to >99%) (Scheme 41) [57]. The mechanism for the reduction of imines 90 to amines 91 is well known by previous literature reports but, in this specific approach, the chiral alkenylboranes were designed ad hoc to enhance the rigidity of the framework essential to maximise the enantio-induction.
Scheme 41.
An example of chiral diene-derived boron Lewis acids employed as catalysts.
Building on this novel intriguing approach, with the aim of developing easily accessible chiral Lewis acids for asymmetric hydrogenation of imines, Du’s research group created a variety of binaphthyl-based chiral alkenes, prepared in one step from the corresponding diols. Using in situ generated chiral boron Lewis acids through hydroboration of chiral alkenes with Piers’ borane, metal-free asymmetric hydrogenations of imines 90 was performed to successfully obtaining the reduced products 91 in high yields (up to 99%) and elegantly controlled enantioselection (ee up to 89%) (Scheme 42) [58].
Scheme 42.
Asymmetric hydrogenations of imines.
A similar asymmetric boron-based catalyst was employed by Chong’s research group; allylboronates 94 derived from 3,3′-disubstituted 2,2′-binaphthols allowed the asymmetric allylation of aldehydes and ketones 92 (Scheme 43). The bis(trifluoromethyl) derivative proved to be particularly efficient in terms of reactivity (yields up to 98%), selectivity (ee up to >98%), and robustness [59]. The allylations using R-BINOLs gave R alcohols as major enantiomer because of the transition state formed, which affected by the electronic and steric effects of the -CF3 substituents.
Scheme 43.
Asymmetric allylation of aldehydes and ketones.
4. Conclusions
The use of boranes in catalysis has recently seen an increasing interest; besides exploring new reactivities, boron catalysis allows to perform known reactions in milder conditions. The difficulty in synthesising and handling boron catalysts caused this research field to remain dormant for long time. This review focused on the recent developments to provide an overview of the field and a perspective of where it may be heading. In fact, given the traction and the importance in synthesis that it is currently gaining, this relatively new field of catalysis holds high potential and will continue to greatly contribute to synthetic chemistry, both in academia and industry.
Funding
This research was funded to F.P. by PON- AIM grant number 1842894, CUP–E18D1900056000118.
Acknowledgments
F.P. thanks PON–AIM1842894, CUP–E18D19000560001.
Conflicts of Interest
The authors declare no conflict of interest.
References
- Lawson, J.R.; Melen, R.L. Recent developments and applications of Lewis acidic boron reagents. In Organometallic Chemistry; Fairlamb, I., Lynam, J.M., Patmore, N.J., Elliott, P., Eds.; The Royal Society of Chemistry: London, UK, 2017; Volume 41, pp. 1–27. [Google Scholar]
- Piers, W.E.; Chivers, T. Pentafluorophenylboranes: From obscurity to applications. Chem. Soc. Rev. 1997, 26, 345–354. [Google Scholar] [CrossRef]
- Massey, A.G.; Park, A.J.; Stone, F.G.A. Tris(pentafluoropheny)boron. Proc. Chem. Soc. 1963, 127, 212. [Google Scholar]
- Massey, A.G.; Park, A.J. Perfluorophenyl derivatives of the elements: I. Tris(pentafluorophenyl)boron. J. Organomet. Chem. 1964, 2, 245–250. [Google Scholar] [CrossRef]
- Klosin, J.; Fontaine, P.P.; Figueroa, R. Development of Group IV Molecular Catalysts for High Temperature Ethylene-α-Olefin Copolymerization Reactions. Acc. Chem. Res. 2015, 48, 2004–2016. [Google Scholar] [CrossRef]
- Janiak, C.; Lassahn, P.-G.; Lozan, V. Metal Complexes for the Vinyl Addition Polymerization of Norbornene: New Compound Classes and Activation Mechanism with B(C6F5)3/AlEt3. Macromol. Symp. 2006, 236, 88–99. [Google Scholar] [CrossRef]
- Focante, F.; Mercandelli, P.; Sironi, A.; Resconi, L. Complexes of tris(pentafluorophenyl)boron with nitrogen-containing compounds: Synthesis, reactivity and metallocene activation. Coord. Chem. Rev. 2006, 250, 170–188. [Google Scholar] [CrossRef]
- Erker, G.; Kehr, G.; Fröhlich, R. The (butadiene)zirconocene route to active homogeneous olefin polymerization catalysts. J. Organomet. Chem. 2005, 690, 6254–6262. [Google Scholar] [CrossRef]
- Ishihara, K.; Yamamoto, H. Arylboron Compounds as Acid Catalysts in Organic Synthetic Transformations. Eur. J. Org. Chem. 1999, 1999, 527–538. [Google Scholar] [CrossRef]
- Piers, W.E.; Sun, Y.; Lee, L.W.M. Zwitterionic metallocenes via reactions of organozirconocenes with highly electrophilic perfluorophenyl substituted boranes. Top. Catal. 1999, 7, 133–143. [Google Scholar] [CrossRef]
- Parks, D.J.; Piers, W.E. Tris(pentafluorophenyl)boron-Catalyzed Hydrosilation of Aromatic Aldehydes, Ketones, and Esters. J. Am. Chem. Soc. 1996, 118, 9440–9441. [Google Scholar] [CrossRef]
- Welch, G.C.; Juan, R.R.S.; Masuda, J.D.; Stephan, D.W. Reversible, Metal-Free Hydrogen Activation. Science 2006, 314, 1124–1126. [Google Scholar] [CrossRef] [PubMed] [Green Version]
- McCahill, J.S.J.; Welch, G.C.; Stephan, D.W. Reactivity of “Frustrated Lewis Pairs”: Three-Component Reactions of Phosphines, a Borane, and Olefins. Angew. Chem. 2007, 119, 5056–5059. [Google Scholar] [CrossRef]
- Yoshihiko, I.; Takeo, Y.; Eiichi, K.; Kenji, I. Method of Producing Tris(Pentafluorophenyl)Borane Using Pentafluorophenyl Alkyli Metal Salt Prepared From Pentafluorobenzene. European Patent EP0604962A1, 6 July 1994. [Google Scholar]
- Keess, S.; Simonneau, A.; Oestreich, M. Direct and Transfer Hydrosilylation Reactions Catalyzed by Fully or Partially Fluorinated Triarylboranes: A Systematic Study. Organometallics 2015, 34, 790–799. [Google Scholar] [CrossRef]
- Yin, Q.; Soltani, Y.; Melen, R.L.; Oestreich, M. BArF3-Catalyzed Imine Hydroboration with Pinacolborane Not Requiring the Assistance of an Additional Lewis Base. Organometallics 2017, 36, 2381–2384. [Google Scholar] [CrossRef] [Green Version]
- Carden, J.L.; Gierlichs, L.J.; Wass, D.F.; Browne, D.L.; Melen, R.L. Unlocking the catalytic potential of tris(3,4,5-trifluorophenyl)borane with microwave irradiation. Chem. Commun. 2019, 55, 318–321. [Google Scholar] [CrossRef] [Green Version]
- Herrington, T.J.; Thom, A.J.W.; White, A.J.P.; Ashley, A.E. Novel H2 activation by a trisfig3,5-bis(trifluoromethyl)phenyl]borane frustrated Lewis pair. Dalton Trans. 2012, 41, 9019–9022. [Google Scholar] [CrossRef] [Green Version]
- Yin, Q.; Kemper, S.; Klare, H.F.T.; Oestreich, M. Boron Lewis Acid-Catalyzed Hydroboration of Alkenes with Pinacolborane: BArF3 Does What B(C6F5)3 Cannot Do! Chem. Eur. J. 2016, 22, 13840–13844. [Google Scholar] [CrossRef]
- Cornet, S.M.; Dillon, K.B.; Entwistle, C.D.; Fox, M.A.; Goeta, A.E.; Goodwin, H.P.; Marder, T.B.; Thompson, A.L. Synthesis and characterisation of some new boron compounds containing the 2,4,6-(CF3)3C6H2(fluoromes = Ar), 2,6-(CF3)2C6H3(fluoroxyl = Ar′), or 2,4-(CF3)2C6H3 (Ar″) ligands. Dalton Trans. 2003, 4395–4405. [Google Scholar] [CrossRef]
- Blagg, R.J.; Lawrence, E.J.; Resner, K.; Oganesyan, V.S.; Herrington, T.J.; Ashley, A.E.; Wildgoose, G.G. Exploring structural and electronic effects in three isomers of tris{bis(trifluoromethyl)phenyl}borane: Towards the combined electrochemical-frustrated Lewis pair activation of H2. Dalton Trans. 2016, 45, 6023–6031. [Google Scholar] [CrossRef] [Green Version]
- Shinji, T.; Mitsuhiro, A.; Michinori, O.; Fumio, T. Structural and Stereochemical Studies of Tris[2-(trifluoromethyl)phenyl]borane: Spontaneous Resolution, Stereodynamics, and Intramolecular C-F·B Interactions. Bull. Chem. Soc. Jpn. 2001, 73, 2357–2362. [Google Scholar]
- Li, L.; Marks, T.J. New Organo-Lewis Acids. Tris(β-perfluoronaphthyl)borane (PNB) as a Highly Active Cocatalyst for Metallocene-Mediated Ziegler−Natta α-Olefin Polymerization. Organometallics 1998, 17, 3996–4003. [Google Scholar] [CrossRef]
- Chen, Y.X.E.; Metz, M.V.; Li, L.; Stern, C.L.; Marks, T.J. Sterically Encumbered (Perfluoroaryl)Borane and Aluminate Cocatalysts for Tuning Cation−Anion Ion Pair Structure and Reactivity in Metallocene Polymerization Processes. A Synthetic, Structural, and Polymerization Study. J. Am. Chem. Soc. 1998, 120, 6287–6305. [Google Scholar] [CrossRef]
- Körte, L.A.; Schwabedissen, J.; Soffner, M.; Blomeyer, S.; Reuter, C.G.; Vishnevskiy, Y.V.; Neumann, B.; Stammler, H.-G.; Mitzel, N.W. Tris(perfluorotolyl)borane—A Boron Lewis Superacid. Angew. Chem. Int. Ed. 2017, 56, 8578–8582. [Google Scholar] [CrossRef] [PubMed] [Green Version]
- Li, L.; Stern, C.L.; Marks, T.J. Bis(Pentafluorophenyl)(2-perfluorobiphenylyl)borane. A New Perfluoroarylborane Cocatalyst for Single-Site Olefin Polymerization. Organometallics 2000, 19, 3332–3337. [Google Scholar] [CrossRef]
- Gyömöre, Á.; Bakos, M.; Földes, T.; Pápai, I.; Domján, A.; Soós, T. Moisture-Tolerant Frustrated Lewis Pair Catalyst for Hydrogenation of Aldehydes and Ketones. ACS Catal. 2015, 5, 5366–5372. [Google Scholar] [CrossRef] [Green Version]
- Blagg, R.J.; Wildgoose, G.G. H2 activation using the first 1:1:1 hetero-tri(aryl)borane. RSC Adv. 2016, 6, 42421–42427. [Google Scholar] [CrossRef] [Green Version]
- Kumar, G.; Roy, S.; Chatterjee, I. Tris(pentafluorophenyl)borane catalyzed C–C and C–heteroatom bond formation. Org. Biomol. Chem. 2021, 19, 1230–1267. [Google Scholar] [CrossRef] [PubMed]
- Harder, S. Introduction to Early Main Group Organometallic Chemistry and Catalysis. In Early Main Group Metal Catalysis: Concepts and Reactions; Wiley—VCH: Weinheim, Germany, 2019; pp. 1–29. [Google Scholar]
- Stephan, D.W. Catalysis, FLPs, and Beyond. Chem 2020, 6, 1520–1526. [Google Scholar] [CrossRef]
- Hall, D.G. Boronic acid catalysis. Chem. Soc. Rev. 2019, 48, 3475–3496. [Google Scholar] [CrossRef]
- Prey, S.E.; Wagner, M. Threat to the Throne: Can Two Cooperating Boron Atoms Rival Transition Metals in Chemical Bond Activation and Catalysis? Adv. Synth. Catal. 2021, 363, 2290–2309. [Google Scholar] [CrossRef]
- Piers, W.E. The chemistry of perfluoroaryl boranes. In Advances in Organometallic Chemistry; West, R., Hill, A., Eds.; Academic Press: Cambridge, MA, USA, 2005; Volume 52, pp. 1–74. [Google Scholar]
- Laszlo, P.; Teston, M. Determination of the acidity of Lewis acids. J. Am. Chem. Soc. 1990, 112, 8750–8754. [Google Scholar] [CrossRef]
- Lawson, J.R.; Melen, R.L. Tris(pentafluorophenyl)borane and Beyond: Modern Advances in Borylation Chemistry. Inorg. Chem. 2017, 56, 8627–8643. [Google Scholar] [CrossRef] [PubMed] [Green Version]
- Rao, B.; Kinjo, R. Boron-Based Catalysts for C−C Bond-Formation Reactions. Chem. Asian J. 2018, 13, 1279–1292. [Google Scholar] [CrossRef]
- Kumar, G.; Qu, Z.-W.; Grimme, S.; Chatterjee, I. Boron-Catalyzed Hydroarylation of 1,3-Dienes with Arylamines. Org. Lett. 2021, 23, 8952–8957. [Google Scholar] [CrossRef] [PubMed]
- Dubey, A.; Tiwari, A.; Mandal, P.K. Tris(pentafluorophenyl)borane-Catalyzed Stereoselective C-Glycosylation of Indoles with Glycosyl Trichloroacetimidates: Access to 3-Indolyl-C-glycosides. J. Org. Chem. 2021, 86, 8516–8526. [Google Scholar] [CrossRef] [PubMed]
- He, F.; Koenigs, R.M. Borane-Catalyzed Carbazolation Reactions of Aryldiazoacetates. Org. Lett. 2021, 23, 5831–5835. [Google Scholar] [CrossRef]
- Willcox, D.R.; Nichol, G.S.; Thomas, S.P. Borane-catalyzed C(sp3)-F bond arylation and esterification enabled by transborylation. ACS Catal. 2021, 11, 3190–3197. [Google Scholar] [CrossRef]
- Bismuto, A.; Cowley, M.J.; Thomas, S.P. Zwitterion-Initiated Hydroboration of Alkynes and Styrene. Adv. Synth. Catal. 2021, 363, 2382–2385. [Google Scholar] [CrossRef]
- Kiyokawa, K.; Urashima, N.; Minakata, S. Tris(pentafluorophenyl)borane-Catalyzed Formal Cyanoalkylation of Indoles with Cyanohydrins. J. Org. Chem. 2021, 86, 8389–8401. [Google Scholar] [CrossRef]
- Richter, S.C.; Oestreich, M. Chemoselective Deoxygenation of 2° Benzylic Alcohols through a Sequence of Formylation and B(C6F5)3-Catalyzed Reduction. Eur. J. Org. Chem. 2021, 2021, 2103–2106. [Google Scholar] [CrossRef]
- Dasgupta, A.; Babaahmadi, R.; Slater, B.; Yates, B.F.; Ariafard, A.; Melen, R.L. Borane-Catalyzed Stereoselective C–H Insertion, Cyclopropanation, and Ring-Opening Reactions. Chem 2020, 6, 2364–2381. [Google Scholar] [CrossRef]
- Mancinelli, J.P.; Wilkerson-Hill, S.M. Tris(pentafluorophenyl)borane-Catalyzed Cyclopropanation of Styrenes with Aryldiazoacetates. ACS Catal. 2020, 10, 11171–11176. [Google Scholar] [CrossRef]
- Nori, V.; Dasgupta, A.; Babaahmadi, R.; Carlone, A.; Ariafard, A.; Melen, R.L. Triarylborane catalysed N -alkylation of amines with aryl esters. Catal. Sci. Technol. 2020, 10, 7523–7530. [Google Scholar] [CrossRef]
- Fang, H.; Oestreich, M. Reductive Deamination with Hydrosilanes Catalyzed by B(C6F5)3. Angew. Chem. Int. Ed. 2020, 59, 11394–11398. [Google Scholar] [CrossRef]
- Meng, S.-S.; Tang, X.; Luo, X.; Wu, R.; Zhao, J.-L.; Chan, A.S.C. Borane-Catalyzed Chemoselectivity-Controllable N-Alkylation and ortho C-Alkylation of Unprotected Arylamines Using Benzylic Alcohols. ACS Catal. 2019, 9, 8397–8403. [Google Scholar] [CrossRef]
- Kumar, G.; Qu, Z.-W.; Ghosh, S.; Grimme, S.; Chatterjee, I. Boron Lewis Acid-Catalyzed Regioselective Hydrothiolation of Conjugated Dienes with Thiols. ACS Catal. 2019, 9, 11627–11633. [Google Scholar] [CrossRef]
- Santi, M.; Ould, D.M.C.; Wenz, J.; Soltani, Y.; Melen, R.L.; Wirth, T. Metal-Free Tandem Rearrangement/Lactonization: Access to 3,3-Disubstituted Benzofuran-2-(3H)-ones. Angew. Chem. Int. Ed. 2019, 58, 7861–7865. [Google Scholar] [CrossRef] [PubMed] [Green Version]
- Tian, J.-J.; Liu, N.; Liu, Q.-F.; Sun, W.; Wang, X.-C. Borane-Catalyzed Direct Asymmetric Vinylogous Mannich Reactions of Acyclic α,β-Unsaturated Ketones. J. Am. Chem. Soc. 2021, 143, 3054–3059. [Google Scholar] [CrossRef]
- Chang, Y.; Cao, M.; Chan, J.Z.; Zhao, C.; Wang, Y.; Yang, R.; Wasa, M. Enantioselective Synthesis of N-Alkylamines through β-Amino C-H Functionalization Promoted by Cooperative Actions of B(C6F5)3 and a Chiral Lewis Acid Co-Catalyst. J. Am. Chem. Soc. 2021, 143, 2441–2455. [Google Scholar] [CrossRef]
- Tian, J.-J.; Yang, Z.-Y.; Liang, X.-S.; Liu, N.; Hu, C.-Y.; Tu, X.-S.; Li, X.; Wang, X.-C. Borane-Catalyzed Chemoselective and Enantioselective Reduction of 2-Vinyl-Substituted Pyridines. Angew. Chem. 2020, 132, 18610–18614. [Google Scholar] [CrossRef]
- Cao, M.; Yesilcimen, A.; Wasa, M. Enantioselective Conia-Ene-Type Cyclizations of Alkynyl Ketones through Cooperative Action of B(C6F5)3, N-Alkylamine and a Zn-Based Catalyst. J. Am. Chem. Soc. 2019, 141, 4199–4203. [Google Scholar] [CrossRef] [PubMed]
- Shang, M.; Chan, J.Z.; Cao, M.; Chang, Y.; Wang, Q.; Cook, B.; Torker, S.; Wasa, M. C-H Functionalization of Amines via Alkene-Derived Nucleophiles through Cooperative Action of Chiral and Achiral Lewis Acid Catalysts: Applications in Enantioselective Synthesis. J. Am. Chem. Soc. 2018, 140, 10593–10601. [Google Scholar] [CrossRef]
- Meng, W.; Feng, X.; Du, H. Frustrated Lewis Pairs Catalyzed Asymmetric Metal-Free Hydrogenations and Hydrosilylations. Acc. Chem. Res. 2017, 51, 191–201. [Google Scholar] [CrossRef] [PubMed]
- Liu, X.; Liu, T.; Meng, W.; Du, H. Asymmetric hydrogenation of imines with chiral alkene-derived boron Lewis acids. Org. Biomol. Chem. 2018, 16, 8686–8689. [Google Scholar] [CrossRef] [PubMed]
- Wu, T.R.; Shen, L.; Chong, J.M. Asymmetric Allylboration of Aldehydes and Ketones Using 3,3‘-Disubstitutedbinaphthol-Modified Boronates. Org. Lett. 2004, 6, 2701–2704. [Google Scholar] [CrossRef]
Publisher’s Note: MDPI stays neutral with regard to jurisdictional claims in published maps and institutional affiliations. |
© 2021 by the authors. Licensee MDPI, Basel, Switzerland. This article is an open access article distributed under the terms and conditions of the Creative Commons Attribution (CC BY) license (https://creativecommons.org/licenses/by/4.0/).












































