Terpolymerization of CO2 with Epoxides and Cyclic Organic Anhydrides or Cyclic Esters
Abstract
:1. Introduction
2. Terpolymerization of CO2 with Epoxides and Cyclic Anhydrides
2.1. Zinc Complexes
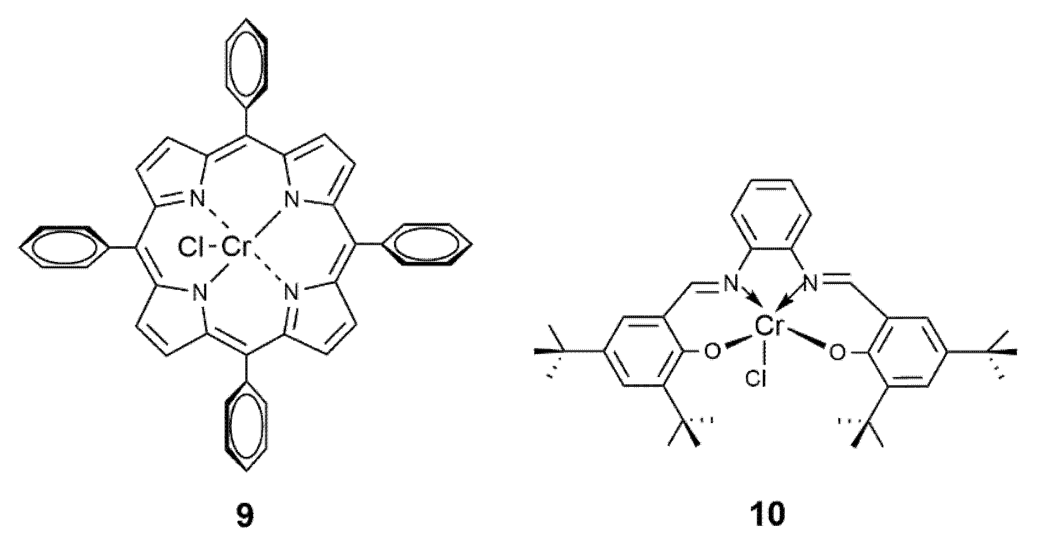
2.2. Chromium and Cobalt Complexes
2.3. Metal-Free Catalysts
3. Terpolymerization of CO2 with Epoxides and Cyclic Esters
3.1. Zinc Complexes
3.2. Cobalt Complexes
4. Conclusions
Author Contributions
Funding
Data Availability Statement
Conflicts of Interest
References
- Jambeck, J.R.; Geyer, R.; Wilcox, C.; Siegler, T.R.; Perryman, M.; Andrady, A.; Narayan, R.; Law, K.L. Plastic Waste Inputs from Land into the Ocean. Science 2015, 347, 768–771. [Google Scholar] [CrossRef]
- Paradiso, V.; Capaccio, V.; Lamparelli, D.H.; Capacchione, C. Metal Complexes Bearing Sulfur-Containing Ligands as Catalysts in the Reaction of CO2 with Epoxides. Catalysts 2020, 10, 825. [Google Scholar] [CrossRef]
- Grignard, B.; Gennen, S.; Jérôme, C.; Kleij, A.W.; Detrembleur, C. Advances in the Use of CO2 as a Renewable Feedstock for the Synthesis of Polymers. Chem. Soc. Rev. 2019, 48, 4466–4514. [Google Scholar] [CrossRef]
- Kernbichl, S.; Rieger, B. Aliphatic Polycarbonates Derived from Epoxides and CO2. In Engineering Solutions for CO2 Conversion; Reina, T.R., Arellano-Garcia, H., Odriozola, J.A., Eds.; Wiley: Weinheim, Germany, 2021; pp. 385–406. ISBN 978-3-527-34652-3. [Google Scholar]
- Yu, W.; Maynard, E.; Chiaradia, V.; Arno, M.C.; Dove, A.P. Aliphatic Polycarbonates from Cyclic Carbonate Monomers and Their Application as Biomaterials. Chem. Rev. 2021. [Google Scholar] [CrossRef]
- Janeta, M.; Lis, T.; Szafert, S. Zinc Imine Polyhedral Oligomeric Silsesquioxane as a Quattro-Site Catalyst for the Synthesis of Cyclic Carbonates from Epoxides and Low-Pressure CO2. Chem. Eur. J. 2020, 26, 13686–13697. [Google Scholar] [CrossRef]
- Della Monica, F.; Paradiso, V.; Grassi, A.; Milione, S.; Cavallo, L.; Capacchione, C. A Novel [OSSO]-Type Chromium(III) Complex as a Versatile Catalyst for Copolymerization of Carbon Dioxide with Epoxides. Chem. Eur. J. 2020, 26, 5347–5353. [Google Scholar] [CrossRef] [PubMed]
- Wang, Y.; Darensbourg, D.J. Carbon Dioxide-Based Functional Polycarbonates: Metal Catalyzed Copolymerization of CO2 and Epoxides. Coord. Chem. Rev. 2018, 372, 85–100. [Google Scholar] [CrossRef]
- Della Monica, F.; Kleij, A.W. From Terpenes to Sustainable and Functional Polymers. Polym. Chem. 2020, 11, 5109–5127. [Google Scholar] [CrossRef]
- Lecomte, P.; Jérôme, C. Recent Developments in Ring-Opening Polymerization of Lactones. In Synthetic Biodegradable Polymers; Rieger, B., Künkel, A., Coates, G.W., Reichardt, R., Dinjus, E., Zevaco, T.A., Eds.; Advances in Polymer Science; Springer: Berlin/Heidelberg, Germany, 2011; Volume 245, pp. 173–217. ISBN 978-3-642-27153-3. [Google Scholar]
- Santoro, O.; Zhang, X.; Redshaw, C. Synthesis of Biodegradable Polymers: A Review on the Use of Schiff-Base Metal Complexes as Catalysts for the Ring Opening Polymerization (ROP) of Cyclic Esters. Catalysts 2020, 10, 800. [Google Scholar] [CrossRef]
- Gao, J.; Zhu, D.; Zhang, W.; Solan, G.A.; Ma, Y.; Sun, W.-H. Recent Progress in the Application of Group 1, 2 & 13 Metal Complexes as Catalysts for the Ring Opening Polymerization of Cyclic Esters. Inorg. Chem. Front. 2019, 6, 2619–2652. [Google Scholar] [CrossRef]
- Di Iulio, C.; Jones, M.D.; Mahon, M.F.; Apperley, D.C. Zinc(II) Silsesquioxane Complexes and Their Application for the Ring-Opening Polymerization of Rac-Lactide. Inorg. Chem. 2010, 49, 10232–10234. [Google Scholar] [CrossRef]
- Paul, S.; Zhu, Y.; Romain, C.; Brooks, R.; Saini, P.K.; Williams, C.K. Ring-Opening Copolymerization (ROCOP): Synthesis and Properties of Polyesters and Polycarbonates. Chem. Commun. 2015, 51, 6459–6479. [Google Scholar] [CrossRef] [Green Version]
- Longo, J.M.; Sanford, M.J.; Coates, G.W. Ring-Opening Copolymerization of Epoxides and Cyclic Anhydrides with Discrete Metal Complexes: Structure–Property Relationships. Chem. Rev. 2016, 116, 15167–15197. [Google Scholar] [CrossRef]
- Liang, J.; Ye, S.; Wang, S.; Xiao, M.; Meng, Y. Design and Structure of Catalysts: Syntheses of Carbon Dioxide-Based Copolymers with Cyclic Anhydrides and/or Cyclic Esters. Polym. J. 2021, 53, 3–27. [Google Scholar] [CrossRef]
- Ryzhakov, D.; Printz, G.; Jacques, B.; Messaoudi, S.; Dumas, F.; Dagorne, S.; Le Bideau, F. Organo-Catalyzed/Initiated Ring Opening Co-Polymerization of Cyclic Anhydrides and Epoxides: An Emerging Story. Polym. Chem. 2021, 12, 2932–2946. [Google Scholar] [CrossRef]
- Li, Y.; Hong, J.; Wei, R.; Zhang, Y.; Tong, Z.; Zhang, X.; Du, B.; Xu, J.; Fan, Z. Highly Efficient One-Pot/One-Step Synthesis of Multiblock Copolymers from Three-Component Polymerization of Carbon Dioxide, Epoxide and Lactone. Chem. Sci. 2015, 6, 1530–1536. [Google Scholar] [CrossRef] [PubMed] [Green Version]
- Gregory, G.L.; Ulmann, M.; Buchard, A. Synthesis of 6-Membered Cyclic Carbonates from 1,3-Diols and Low CO2 Pressure: A Novel Mild Strategy to Replace Phosgene Reagents. RSC Adv. 2015, 5, 39404–39408. [Google Scholar] [CrossRef] [Green Version]
- McGuire, T.M.; López-Vidal, E.M.; Gregory, G.L.; Buchard, A. Synthesis of 5- to 8-Membered Cyclic Carbonates from Diols and CO2: A One-Step, Atmospheric Pressure and Ambient Temperature Procedure. J. CO2 Util. 2018, 27, 283–288. [Google Scholar] [CrossRef]
- Liu, Y.; Huang, K.; Peng, D.; Wu, H. Synthesis, Characterization and Hydrolysis of an Aliphatic Polycarbonate by Terpolymerization of Carbon Dioxide, Propylene Oxide and Maleic Anhydride. Polymer 2006, 47, 8453–8461. [Google Scholar] [CrossRef]
- Jeske, R.C.; Rowley, J.M.; Coates, G.W. Pre-Rate-Determining Selectivity in the Terpolymerization of Epoxides, Cyclic Anhydrides, and CO2: A One-Step Route to Diblock Copolymers. Angew. Chem. Int. Ed. 2008, 47, 6041–6044. [Google Scholar] [CrossRef]
- Sun, X.-K.; Zhang, X.-H.; Chen, S.; Du, B.-Y.; Wang, Q.; Fan, Z.-Q.; Qi, G.-R. One-Pot Terpolymerization of CO2, Cyclohexene Oxide and Maleic Anhydride Using a Highly Active Heterogeneous Double Metal Cyanide Complex Catalyst. Polymer 2010, 51, 5719–5725. [Google Scholar] [CrossRef]
- Liu, Y.; Xiao, M.; Wang, S.; Xia, L.; Hang, D.; Cui, G.; Meng, Y. Mechanism Studies of Terpolymerization of Phthalic Anhydride, Propylene Epoxide, and Carbon Dioxide Catalyzed by ZnGA. RSC Adv. 2014, 4, 9503–9508. [Google Scholar] [CrossRef]
- Gao, L.; Feng, J. A One-Step Strategy for Thermally and Mechanically Reinforced Pseudo-Interpenetrating Poly(Propylene Carbonate) Networks by Terpolymerization of CO2, Propylene Oxide and Pyromellitic Dianhydride. J. Mater. Chem. A 2013, 1, 3556. [Google Scholar] [CrossRef]
- Thevenon, A.; Garden, J.A.; White, A.J.P.; Williams, C.K. Dinuclear Zinc Salen Catalysts for the Ring Opening Copolymerization of Epoxides and Carbon Dioxide or Anhydrides. Inorg. Chem. 2015, 54, 11906–11915. [Google Scholar] [CrossRef] [Green Version]
- de la Cruz-Martínez, F.; Martínez de Sarasa Buchaca, M.; Martínez, J.; Tejeda, J.; Fernández-Baeza, J.; Alonso-Moreno, C.; Rodríguez, A.M.; Castro-Osma, J.A.; Lara-Sánchez, A. Bimetallic Zinc Catalysts for Ring-Opening Copolymerization Processes. Inorg. Chem. 2020, 59, 8412–8423. [Google Scholar] [CrossRef]
- Huijser, S.; HosseiniNejad, E.; Sablong, R.; de Jong, C.; Koning, C.E.; Duchateau, R. Ring-Opening Co- and Terpolymerization of an Alicyclic Oxirane with Carboxylic Acid Anhydrides and CO2 in the Presence of Chromium Porphyrinato and Salen Catalysts. Macromolecules 2011, 44, 1132–1139. [Google Scholar] [CrossRef]
- Darensbourg, D.J.; Poland, R.R.; Escobedo, C. Kinetic Studies of the Alternating Copolymerization of Cyclic Acid Anhydrides and Epoxides, and the Terpolymerization of Cyclic Acid Anhydrides, Epoxides, and CO2 Catalyzed by (Salen)CrIIICl. Macromolecules 2012, 45, 2242–2248. [Google Scholar] [CrossRef]
- Bernard, A.; Chatterjee, C.; Chisholm, M.H. The Influence of the Metal (Al, Cr and Co) and the Substituents of the Porphyrin in Controlling the Reactions Involved in the Copolymerization of Propylene Oxide and Cyclic Anhydrides by Porphyrin Metal(III) Complexes. Polymer 2013, 54, 2639–2646. [Google Scholar] [CrossRef]
- Jeon, J.Y.; Eo, S.C.; Varghese, J.K.; Lee, B.Y. Copolymerization and Terpolymerization of Carbon Dioxide/Propylene Oxide/Phthalic Anhydride Using a (Salen)Co(III) Complex Tethering Four Quaternary Ammonium Salts. Beilstein J. Org. Chem. 2014, 10, 1787–1795. [Google Scholar] [CrossRef] [PubMed] [Green Version]
- Liu, Y.; Guo, J.-Z.; Lu, H.-W.; Wang, H.-B.; Lu, X.-B. Making Various Degradable Polymers from Epoxides Using a Versatile Dinuclear Chromium Catalyst. Macromolecules 2018, 51, 771–778. [Google Scholar] [CrossRef]
- Zhang, D.; Boopathi, S.K.; Hadjichristidis, N.; Gnanou, Y.; Feng, X. Metal-Free Alternating Copolymerization of CO2 with Epoxides: Fulfilling “Green” Synthesis and Activity. J. Am. Chem. Soc. 2016, 138, 11117–11120. [Google Scholar] [CrossRef] [PubMed]
- Ye, S.; Wang, W.; Liang, J.; Wang, S.; Xiao, M.; Meng, Y. Metal-Free Approach for a One-Pot Construction of Biodegradable Block Copolymers from Epoxides, Phthalic Anhydride, and CO2. ACS Sustain. Chem. Eng. 2020, 8, 17860–17867. [Google Scholar] [CrossRef]
- Liang, J.; Ye, S.; Wang, W.; Fan, C.; Wang, S.; Han, D.; Liu, W.; Cui, Y.; Hao, L.; Xiao, M.; et al. Performance Tailorable Terpolymers Synthesized from Carbon Dioxide, Phthalic Anhydride and Propylene Oxide Using Lewis Acid-Base Dual Catalysts. J. CO2 Util. 2021, 49, 101558. [Google Scholar] [CrossRef]
- Zhang, J.; Wang, L.; Liu, S.; Kang, X.; Li, Z. A Lewis Pair as Organocatalyst for One-Pot Synthesis of Block Copolymers from a Mixture of Epoxide, Anhydride, and CO2. Macromolecules 2021, 54, 763–772. [Google Scholar] [CrossRef]
- Chidara, V.K.; Boopathi, S.K.; Hadjichristidis, N.; Gnanou, Y.; Feng, X. Triethylborane-Assisted Synthesis of Random and Block Poly(Ester-Carbonate)s through One-Pot Terpolymerization of Epoxides, CO2, and Cyclic Anhydrides. Macromolecules 2021, 54, 2711–2719. [Google Scholar] [CrossRef]
- Li, Y.; Zhang, Y.-Y.; Hu, L.-F.; Zhang, X.-H.; Du, B.-Y.; Xu, J.-T. Carbon Dioxide-Based Copolymers with Various Architectures. Prog. Polym. Sci. 2018, 82, 120–157. [Google Scholar] [CrossRef]
- Koning, C.E.; Sablong, R.J.; Nejad, E.H.; Duchateau, R.; Buijsen, P. Novel Coating Resins Based on Polycarbonates and Poly(Ester-Co-Carbonate)s Made by Catalytic Chain Growth Polymerization of Epoxides with CO2 and with Anhydride/CO2. Prog. Org. Coat. 2013, 76, 1704–1711. [Google Scholar] [CrossRef]
- Liu, Y.; Wu, J.; Hu, X.; Zhu, N.; Guo, K. Advances, Challenges, and Opportunities of Poly (γ-Butyrolactone)-Based Recyclable Polymers. ACS Macro Lett. 2021, 10, 284–296. [Google Scholar] [CrossRef]
- Hwang, Y.; Jung, J.; Ree, M.; Kim, H. Terpolymerization of CO2 with Propylene Oxide and ε-Caprolactone Using Zinc Glutarate Catalyst. Macromolecules 2003, 36, 8210–8212. [Google Scholar] [CrossRef]
- Zhou, J.; Wang, W.; Villarroya, S.; Thurecht, K.J.; Howdle, S.M. Epoxy Functionalised Poly (ε-Caprolactone): Synthesis and Application. Chem. Commun. 2008, 44, 5806–5808. [Google Scholar] [CrossRef] [PubMed]
- Kröger, M.; Folli, C.; Walter, O.; Döring, M. Alternating Copolymerization of Carbon Dioxide and Cyclohexene Oxide and Their Terpolymerization with Lactide Catalyzed by Zinc Complexes of N,N Ligands. Adv. Synth. Catal. 2006, 348, 1908–1918. [Google Scholar] [CrossRef]
- Liu, S.; Xiao, H.; Huang, K.; Lu, L.; Huang, Q. Terpolymerization of Carbon Dioxide with Propylene Oxide and ε-Caprolactone: Synthesis, Characterization and Biodegradability. Polym. Bull. 2006, 56, 53–62. [Google Scholar] [CrossRef]
- Gu, L.; Qin, Y.; Gao, Y.; Wang, X.; Wang, F. One-Pot Terpolymerization of CO2, Propylene Oxide and Lactide Using Rare-Earth Ternary Catalyst. Chin. J. Chem. 2012, 30, 2121–2125. [Google Scholar] [CrossRef]
- Romain, C.; Williams, C.K. Chemoselective Polymerization Control: From Mixed-Monomer Feedstock to Copolymers. Angew. Chem. Int. Ed. 2014, 53, 1607–1610. [Google Scholar] [CrossRef] [Green Version]
- Stößer, T.; Chen, T.T.D.; Zhu, Y.; Williams, C.K. ‘Switch’ Catalysis: From Monomer Mixtures to Sequence-Controlled Block Copolymers. Philos. Trans. R. Soc. 2018, 376, 20170066. [Google Scholar] [CrossRef] [Green Version]
- Paul, S.; Romain, C.; Shaw, J.; Williams, C.K. Sequence Selective Polymerization Catalysis: A New Route to ABA Block Copoly (Ester-b-Carbonate-b-Ester). Macromolecules 2015, 48, 6047–6056. [Google Scholar] [CrossRef] [Green Version]
- Chen, T.T.D.; Zhu, Y.; Williams, C.K. Pentablock Copolymer from Tetracomponent Monomer Mixture Using a Switchable Dizinc Catalyst. Macromolecules 2018, 51, 5346–5351. [Google Scholar] [CrossRef] [Green Version]
- Carrodeguas, L.P.; Chen, T.T.D.; Gregory, G.L.; Sulley, G.S.; Williams, C.K. High Elasticity, Chemically Recyclable, Thermoplastics from Bio-Based Monomers: Carbon Dioxide, Limonene Oxide and ε-Decalactone. Green Chem. 2020, 22, 8298–8307. [Google Scholar] [CrossRef]
- Peña Carrodeguas, L.; González-Fabra, J.; Castro-Gómez, F.; Bo, C.; Kleij, A.W. AlIII-Catalysed Formation of Poly (Limonene) Carbonate: DFT Analysis of the Origin of Stereoregularity. Chem. Eur. J. 2015, 21, 6115–6122. [Google Scholar] [CrossRef]
- Sulley, G.S.; Gregory, G.L.; Chen, T.T.D.; Peña Carrodeguas, L.; Trott, G.; Santmarti, A.; Lee, K.-Y.; Terrill, N.J.; Williams, C.K. Switchable Catalysis Improves the Properties of CO2-Derived Polymers: Poly(Cyclohexene Carbonate-b-ε-Decalactone-b-Cyclohexene Carbonate) Adhesives, Elastomers, and Toughened Plastics. J. Am. Chem. Soc. 2020, 142, 4367–4378. [Google Scholar] [CrossRef] [Green Version]
- Kernbichl, S.; Reiter, M.; Adams, F.; Vagin, S.; Rieger, B. CO2-Controlled One-Pot Synthesis of AB, ABA Block, and Statistical Terpolymers from β-Butyrolactone, Epoxides, and CO2. J. Am. Chem. Soc. 2017, 139, 6787–6790. [Google Scholar] [CrossRef] [PubMed]
- Kernbichl, S.; Reiter, M.; Mock, J.; Rieger, B. Terpolymerization of β-Butyrolactone, Epoxides, and CO2: Chemoselective CO2-Switch and Its Impact on Kinetics and Material Properties. Macromolecules 2019, 52, 8476–8483. [Google Scholar] [CrossRef]
- Wu, G.-P.; Darensbourg, D.J.; Lu, X.-B. Tandem Metal-Coordination Copolymerization and Organocatalytic Ring-Opening Polymerization via Water to Synthesize Diblock Copolymers of Styrene Oxide/CO2 and Lactide. J. Am. Chem. Soc. 2012, 134, 17739–17745. [Google Scholar] [CrossRef] [PubMed]
- Darensbourg, D.J.; Wu, G.-P. A One-Pot Synthesis of a Triblock Copolymer from Propylene Oxide/Carbon Dioxide and Lactide: Intermediacy of Polyol Initiators. Angew. Chem. Int. Ed. 2013, 52, 10602–10606. [Google Scholar] [CrossRef] [PubMed]
- Li, X.; Hu, C.; Pang, X.; Duan, R.; Chen, X. One-Pot Copolymerization of Epoxides/Carbon Dioxide and Lactide Using a Ternary Catalyst System. Catal. Sci. Technol. 2018, 8, 6452–6457. [Google Scholar] [CrossRef]
- Li, X.; Duan, R.; Hu, C.; Pang, X.; Deng, M. Copolymerization of Lactide, Epoxides and Carbon Dioxide: A Highly Efficient Heterogeneous Ternary Catalyst System. Polym. Chem. 2021, 12, 1700–1706. [Google Scholar] [CrossRef]
- Li, W.-B.; Liu, Y.; Lu, X.-B. Bimetallic Cobalt Complex-Mediated Enantioselective Terpolymerizations of Carbon Dioxide, Cyclohexene Oxide, and β-Butyrolactone. Organometallics 2020, 39, 1628–1633. [Google Scholar] [CrossRef]





















| Catalyst | Monomers | Polymerization Conditions pCO2, T, t | Mn * (Ð) kg mol−1 | Polymer Microstructure | Ref. |
|---|---|---|---|---|---|
| 1 | CO2, PO, MA | 4.0 MPa, 60 °C, 24 h | - | random | [21] |
| 2 | CO2, CHO, DGA | 0.3–5.4 MPa, 50 °C, 0.2–3 h | 37 (1.2–1.4) | block | [22] |
| 3 | CO2, CHO, MA | 4.0 MPa, 90 °C, 5 h | 14.1 (1.4–1.7) | block | [23] |
| 4 | CO2, PO, PA | 5.0 MPa, 75 °C, 15 h | 221 (2.1–3.9) | random | [24] |
| 4 | CO2, PO, PMDA | 5.4 MPa, 70 °C, 36 h | 862 (2.0–3.8) | random | [25] |
| 5 | CO2, CHO, PA | 3.0 MPa, 100 °C, 18 h | 7 (1.20) | block | [26] |
| 6–8 | CO2, CHO, PA | 4.0 MPa, 80 °C, 16 h | 3.9 (1.41–1.64) | block | [27] |
| 9–10 | CO2, CHO, SA/CPrA/CPA/PA | 5.0 MPa, 80 °C, 18 h | 19.2 (1.1–1.6) | block | [28] |
| 11 | CO2, CHO, PA | 3.5 MPa, 80 °C, 12 h | 18 (1.07–1.13) | block | [29] |
| 12 | CO2, PO, SA | 4–5.0 MPa, 25 °C, 3–18 h | - | tapered/block | [30] |
| 13 | CO2, PO, PA | 3.5 MPa, 80 °C, 3 h | 354 (1.03–1.22) | gradient | [31] |
| 14 | CO2, CHO, PA | 1 MPa, 80 °C, 0.5–6 h | 21.2 (1.19–1.22) | block | [32] |
| Metal-free catalyst | |||||
| TEB + PPNCl | CO2, PO, PA, CHO | 1 MPa, 70 °C, 24–96 h | 77.7 (1.14–1.21) | alternated | [34,35] |
| CO2, CHO, PA | 0.1 MPa, 80 °C, 0.25–2 h | 23.5 (1.09–1.15) | block | [36] | |
| TEB + Bu4NN3 | CO2, PO, SA/PA | 0.1 MPa, 60 °C, 0.75–18 h | 17.3 (1.04–1.2) | tapered/random | [37] |
| TEB + PPNCl | CO2, CHO, SA/PA | 0.1 MPa, 80 °C, 16–17 h | 22.7 (1.06–1.09) | tapered/block | [37] |
| Catalyst | Monomers | Polymerization Conditions pCO2, T, t | Mn * (Ð) kg mol−1 | Polymer Microstructure | Ref. |
|---|---|---|---|---|---|
| 1 | CO2, PO, CL | 4.0 MPa, 50–90 °C, 16 h | - | random | [44] |
| 4 | CO2, PO, CL | 2.8 MPa, 60 °C, 40 h | 27.5 (1.50–2.97) | block | [41] |
| 4 | CO2, PO, CL | 1.0 MPa, 60 °C, 6 h | 10.8 (1.3–1.6) | grafted | [42] |
| 15–22 | CO2, CHO, LA | 4.0 MPa, 90 °C, 16 h | 41.6 (1.09–1.96) | alternated/random | [43] |
| 23 | CO2, PO, L-LA | 4.0 MPa, 70 °C, 10 h | 15.4 (4.2–9.9) | tapered/random | [45] |
| 24 | CO2, CHO, CL | 0.1 MPa, 80 °C, 2–21 h | 4.8 (1.38–1.49) | block | [46] |
| 24 | CO2, CHO, CL | 0.1 MPa, 80 °C, 16–25 h | 13.8 (1.29–1.49) | block | [48] |
| 24 | CO2, CHO, VCHO, PA/NA, CL | 0.1 MPa, 100 °C | 16 (1.06–1.16) | block | [49] |
| 25–26 | CO2, CHD, DL | 2 MPa, 40–100 °C, 2–24 h | 114 (1.38–1.49) | block | [50] |
| 27 | CO2, CHO, DL | 2 MPa, 80 °C, 21 h | 71.9 (1.07–1.16) | block | [52] |
| 28 | CO2, BBL, CHO/CPO | 0.3–4 MPa, 60 °C, 0.1–7 h | 166 (1.2–1.8) | random/block | [53] |
| 28 | CO2, BBL, LO | 0.9–4 MPa, 40–60 °C, 8–22 h | 233 (1.23–1.39) | random/block | [54] |
| 29 | CO2, SO, LA | 1.5 MPa, 25 °C, 2–6 h | 17.2 (1.04–1.12) | block | [55] |
| 29 | CO2, PO, LA | 1.5 MPa, 25 °C, 1–4 h | 20.1 (1.02–1.04) | block | [56] |
| 30–32 | CO2, PO/CHO/SO, LA | 2 MPa, 60 °C, 4–48 h | 13.6 (1.19–3.15) | block | [57] |
| 33 | CO2, CHO, BBL | 2.0 MPa, 40 °C, 2–4 h | 14.6 (1.19–1.44) | block | [58] |
Publisher’s Note: MDPI stays neutral with regard to jurisdictional claims in published maps and institutional affiliations. |
© 2021 by the authors. Licensee MDPI, Basel, Switzerland. This article is an open access article distributed under the terms and conditions of the Creative Commons Attribution (CC BY) license (https://creativecommons.org/licenses/by/4.0/).
Share and Cite
Lamparelli, D.H.; Capacchione, C. Terpolymerization of CO2 with Epoxides and Cyclic Organic Anhydrides or Cyclic Esters. Catalysts 2021, 11, 961. https://doi.org/10.3390/catal11080961
Lamparelli DH, Capacchione C. Terpolymerization of CO2 with Epoxides and Cyclic Organic Anhydrides or Cyclic Esters. Catalysts. 2021; 11(8):961. https://doi.org/10.3390/catal11080961
Chicago/Turabian StyleLamparelli, David Hermann, and Carmine Capacchione. 2021. "Terpolymerization of CO2 with Epoxides and Cyclic Organic Anhydrides or Cyclic Esters" Catalysts 11, no. 8: 961. https://doi.org/10.3390/catal11080961
APA StyleLamparelli, D. H., & Capacchione, C. (2021). Terpolymerization of CO2 with Epoxides and Cyclic Organic Anhydrides or Cyclic Esters. Catalysts, 11(8), 961. https://doi.org/10.3390/catal11080961

