Synthetic Mechanism Studies of Iron Selenides: An Emerging Class of Materials for Electrocatalysis
Abstract
1. Introduction
2. Results and Discussion
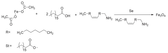
2.1. Chemical Reaction Mechanisms in the ‘Hot-Injection’ Approach
2.2. Selenium Extraction for the Synthesis of FeSe Nanoparticles
2.3. Optical Properties Analysis
3. Materials and Methods
3.1. ’Hot-Injection’ Approach
3.2. TBP and TOP Extraction Se from Iron Diselenide
3.3. NMR, XRD and TEM Methodologies and Instrumentation
3.4. Optical Properties Analysis
4. Conclusions
Supplementary Materials
Author Contributions
Funding
Acknowledgments
Conflicts of Interest
References
- Kamihara, Y.; Watanabe, T.; Hirano, M.; Hosono, H. Iron-Based Layered Superconductor La[O1−xFx]FeAs (x = 0.05−0.12) with Tc = 26 K. J. Am. Chem. Soc. 2008, 130, 3296–3297. [Google Scholar] [CrossRef] [PubMed]
- Yi, W.; Sun, L.; Ren, Z.; Lu, W.; Dong, X.; Zhang, H.-j.; Dai, X.; Fang, Z.; Li, Z.; Che, G.; et al. Pressure effect on superconductivity of iron-based arsenic-oxide ReFeAsO0.85 (Re = Sm and Nd). EPL Europhys. Lett. 2008, 83, 57002. [Google Scholar] [CrossRef]
- Hsu, F.-C.; Luo, J.-Y.; Yeh, K.-W.; Chen, T.-K.; Huang, T.-W.; Wu, P.M.; Lee, Y.-C.; Huang, Y.-L.; Chu, Y.-Y.; Yan, D.-C.; et al. Superconductivity in the PbO-type structure α-FeSe. Proc. Natl. Acad. Sci. USA 2008, 105, 14262–14264. [Google Scholar] [CrossRef] [PubMed]
- Nitsche, F.; Goltz, T.; Klauss, H.H.; Isaeva, A.; Müller, U.; Schnelle, W.; Simon, P.; Doert, T.; Ruck, M. Room-Temperature Synthesis, Hydrothermal Recrystallization, and Properties of Metastable Stoichiometric FeSe. Inorg. Chem. 2012, 51, 7370–7376. [Google Scholar] [CrossRef] [PubMed]
- Yoo, H.; Lee, G.-H.; Kim, D.-W. FeSe hollow spheroids as electrocatalysts for high-rate Li–O2 battery cathodes. J. Alloy. Compd. 2021, 856, 158269. [Google Scholar] [CrossRef]
- Li, W.; Niu, Y.; Wu, X.; Wu, F.; Li, T.; Hu, W. Heterostructured CoSe2/FeSe2 Nanoparticles with Abundant Vacancies and Strong Electronic Coupling Supported on Carbon Nanorods for Oxygen Evolution Electrocatalysis. ACS Sustain. Chem. Eng. 2020, 8, 4658–4666. [Google Scholar] [CrossRef]
- Chanda, D.; Tufa, R.A.; Birdja, Y.Y.; Basu, S.; Liu, S. Hydrothermally/electrochemically decorated FeSe on Ni-foam electrode: An efficient bifunctional electrocatalysts for overall water splitting in an alkaline medium. Int. J. Hydrogen Energy 2020, 45, 27182–27192. [Google Scholar] [CrossRef]
- Lv, C.; Liu, H.; Li, D.; Chen, S.; Zhang, H.; She, X.; Guo, X.; Yang, D. Ultrafine FeSe nanoparticles embedded into 3D carbon nanofiber aerogels with FeSe/Carbon interface for efficient and long-life sodium storage. Carbon 2019, 143, 106–115. [Google Scholar] [CrossRef]
- Kwon, J.; Jun, S.W.; Choi, S.I.; Mao, X.; Kim, J.; Koh, E.K.; Kim, Y.-H.; Kim, S.-K.; Hwang, D.Y.; Kim, C.-S.; et al. FeSe quantum dots for in vivo multiphoton biomedical imaging. Sci. Adv. 2019, 5, eaay0044. [Google Scholar] [CrossRef]
- Choi, J.H.; Park, S.-K.; Kang, Y.C. A Salt-Templated Strategy toward Hollow Iron Selenides-Graphitic Carbon Composite Microspheres with Interconnected Multicavities as High-Performance Anode Materials for Sodium-Ion Batteries. Small 2019, 15, 1803043. [Google Scholar] [CrossRef]
- Panda, C.; Menezes, P.W.; Walter, C.; Yao, S.; Miehlich, M.E.; Gutkin, V.; Meyer, K.; Driess, M. From a Molecular 2Fe-2Se Precursor to a Highly Efficient Iron Diselenide Electrocatalyst for Overall Water Splitting. Angew. Chem. Int. Ed. 2017, 56, 10506–10510. [Google Scholar] [CrossRef]
- Qin, Z.; Yang, B.C.; Zhang, S.R.; Li, K.; Yan, S.Q.; Lv, X.W.; Li, Z.J. Flower-like pyrite FeSe2 nanoparticles with enhanced optical properties by hot-injection. Vacuum 2015, 111, 157–159. [Google Scholar] [CrossRef]
- Mao, X.; Kim, J.-G.; Han, J.; Jung, H.S.; Lee, S.G.; Kotov, N.A.; Lee, J. Phase-Pure FeSex (x = 1, 2) Nanoparticles with One- and Two-Photon Luminescence. J. Am. Chem. Soc. 2014, 136, 7189–7192. [Google Scholar] [CrossRef]
- Guo, K.; Zou, Z.; Du, J.; Zhao, Y.; Zhou, B.; Xu, C. Coupling FeSe2 with CoSe: An effective strategy to create stable and efficient electrocatalysts for water oxidation. Chem. Commun. 2018, 54, 11140–11143. [Google Scholar] [CrossRef]
- Theerthagiri, J.; Sudha, R.; Premnath, K.; Arunachalam, P.; Madhavan, J.; Al-Mayouf, A.M. Growth of iron diselenide nanorods on graphene oxide nanosheets as advanced electrocatalyst for hydrogen evolution reaction. Int. J. Hydrogen Energy 2017, 42, 13020–13030. [Google Scholar] [CrossRef]
- Gao, R.; Zhang, H.; Yan, D. Iron diselenide nanoplatelets: Stable and efficient water-electrolysis catalysts. Nano Energy 2017, 31, 90–95. [Google Scholar] [CrossRef]
- Xu, X.; Song, F.; Hu, X. A nickel iron diselenide-derived efficient oxygen-evolution catalyst. Nat. Commun. 2016, 7, 12324. [Google Scholar] [CrossRef]
- Yuan, B.; Luan, W.; Tu, S.-t. One-step synthesis of cubic FeS2 and flower-like FeSe2 particles by a solvothermal reduction process. Dalton Trans. 2012, 41, 772–776. [Google Scholar] [CrossRef]
- Schuster, W.; Mikler, H.; Komarek, K. Transition metal-chalcogen systems, VII.: The iron-selenium phase diagram. Mon. Für Chem. 1979, 110, 1153–1170. [Google Scholar] [CrossRef]
- Terzieff, P.; Komarek, K. The paramagnetic properties of iron selenides with NiAs-type structure. Mon. Chem. 1978, 109, 651–659. [Google Scholar] [CrossRef]
- Hamdadou, N.; Bernède, J.C.; Khelil, A. Preparation of iron selenide films by selenization technique. J. Cryst. Growth 2002, 241, 313–319. [Google Scholar] [CrossRef]
- Feng, Q.J.; Shen, D.Z.; Zhang, J.Y.; Li, B.S.; Li, B.H.; Lu, Y.M.; Fan, X.W.; Liang, H.W. Ferromagnetic FeSe: Structural, electrical, and magnetic properties. Appl. Phys. Lett. 2006, 88, 012505. [Google Scholar] [CrossRef]
- Luo, H.; Furdyna, J.K. The II-VI semiconductor blue-green laser: Challenges and solution. Semicond. Sci. Technol. 1995, 10, 1041. [Google Scholar] [CrossRef]
- Ubale, A.U.; Sakhare, Y.S.; Bhute, M.V.; Belkhedkar, M.R.; Singh, A. Size-dependent structural, electrical and optical properties of nanostructured iron selenide thin films deposited by Chemical Bath Deposition Method. Solid State Sci. 2013, 16, 134–142. [Google Scholar] [CrossRef]
- Ouertani, B.; Ouerfelli, J.; Saadoun, M.; Zribi, M.; Rabha, M.B.; Bessaïs, B.; Ezzaouia, H. Optical and structural properties of FeSe2 thin films obtained by selenization of sprayed amorphous iron oxide films. Thin Solid Film. 2006, 511–512, 457–462. [Google Scholar] [CrossRef]
- Liu, K.W.; Zhang, J.Y.; Shen, D.Z.; Shan, C.X.; Li, B.H.; Lu, Y.M.; Fan, X.W. Electronic and magnetic properties of FeSe thin film prepared on GaAs (001) substrate by metal-organic chemical vapor deposition. Appl. Phys. Lett. 2007, 90, 262503. [Google Scholar] [CrossRef]
- Campos, C.E.M.; de Lima, J.C.; Grandi, T.A.; Machado, K.D.; Drago, V.; Pizani, P.S. XRD, DSC, MS and RS studies of Fe75Se25 iron selenide prepared by mechano-synthesis. J. Magn. Magn. Mater. 2004, 270, 89–98. [Google Scholar] [CrossRef]
- Hamdadou, N.; Khelil, A.; Morsli, M.; Bernàde, J.C. Iron diselenide thin films synthesized by soft selenization of iron films. Vacuum 2005, 77, 151–156. [Google Scholar] [CrossRef]
- Ouertani, B.; Ouerfelli, J.; Saadoun, M.; Bessaïs, B.; Ezzaouia, H.; Bernède, J.C. Transformation of amorphous iron oxide thin films predeposited by spray pyrolysis into a single FeSe2-phase by selenisation. Sol. Energy Mater. Sol. Cells 2005, 87, 501–511. [Google Scholar] [CrossRef]
- Campos, C.E.M.; de Lima, J.C.; Grandi, T.A.; Machado, K.D.; Pizani, P.S. Structural studies of iron selenides prepared by mechanical alloying. Solid State Commun. 2002, 123, 179–184. [Google Scholar] [CrossRef]
- Chang, C.-C.; Wang, C.-H.; Wen, M.-H.; Wu, Y.-R.; Hsieh, Y.-T.; Wu, M.-K. Superconductivity in PbO-type tetragonal FeSe nanoparticles. Solid State Commun. 2012, 152, 649–652. [Google Scholar] [CrossRef]
- Wadia, C.; Alivisatos, A.P.; Kammen, D.M. Materials Availability Expands the Opportunity for Large-Scale Photovoltaics Deployment. Environ. Sci. Technol. 2009, 43, 2072–2077. [Google Scholar] [CrossRef]
- Luther, G.W. Pyrite synthesis via polysulfide compounds. Geochim. Cosmochim. Acta 1991, 55, 2839–2849. [Google Scholar] [CrossRef]
- Ennaoui, A.; Fiechter, S.; Pettenkofer, C.; Alonso-Vante, N.; Büker, K.; Bronold, M.; Höpfner, C.; Tributsch, H. Iron disulfide for solar energy conversion. Sol. Energy Mater. Sol. Cells 1993, 29, 289–370. [Google Scholar] [CrossRef]
- Kwon, H.; Thanikaikarasan, S.; Mahalingam, T.; Park, K.; Sanjeeviraja, C.; Kim, Y. Characterization of electrosynthesized iron diselenide thin films. J. Mater. Sci. Mater. Electron. 2008, 19, 1086–1091. [Google Scholar] [CrossRef]
- Akhtar, M.; Akhtar, J.; Malik, M.A.; Tuna, F.; Helliwell, M.; O’Brien, P. Deposition of iron selenide nanocrystals and thin films from tris(N,N-diethyl-N′-naphthoylselenoureato)iron(iii). J. Mater. Chem. 2012, 22, 14970–14975. [Google Scholar] [CrossRef]
- Shi, W.; Zhang, X.; Che, G.; Fan, W.; Liu, C. Controlled hydrothermal synthesis and magnetic properties of three-dimensional FeSe2 rod clusters and microspheres. Chem. Eng. J. 2013, 215–216, 508–516. [Google Scholar] [CrossRef]
- Sines, I.T.; Schaak, R.E. Phase-Selective Chemical Extraction of Selenium and Sulfur from Nanoscale Metal Chalcogenides: A General Strategy for Synthesis, Purification, and Phase Targeting. J. Am. Chem. Soc. 2010, 133, 1294–1297. [Google Scholar] [CrossRef]
- Chen, L.; Yang, X.; Fu, X.; Wang, C.; Liang, C.; Wu, M. Facile Solvothermal Synthesis of Uniform Iron Selenide Nanoplates. Eur. J. Inorg. Chem. 2011, 2011, 2098–2102. [Google Scholar] [CrossRef]
- Owen, J.; Brus, L. Chemical Synthesis and Luminescence Applications of Colloidal Semiconductor Quantum Dots. J. Am. Chem. Soc. 2017, 139, 10939–10943. [Google Scholar] [CrossRef]
- García-Rodríguez, R.; Hendricks, M.P.; Cossairt, B.M.; Liu, H.; Owen, J.S. Conversion Reactions of Cadmium Chalcogenide Nanocrystal Precursors. Chem. Mater. 2013, 25, 1233–1249. [Google Scholar] [CrossRef]
- Sowers, K.L.; Swartz, B.; Krauss, T.D. Chemical Mechanisms of Semiconductor Nanocrystal Synthesis. Chem. Mater. 2013, 25, 1351–1362. [Google Scholar] [CrossRef]
- Benito-Alifonso, D.; Tremel, S.; Hou, B.; Lockyear, H.; Mantell, J.; Fermín, D.J.; Verkade, P.; Berry, M.; Galan, M.C. Lactose as a “Trojan horse” for Quantum Dot Cell Transport. Angew. Chem. Int. Ed. 2013, 53, 810–814. [Google Scholar] [CrossRef]
- Hou, B. Colloidal Quantum Dots: The Artificial Building Blocks for New-Generation Photo-Electronics and Photochemistry. Isr. J. Chem. 2019, 59, 637–638. [Google Scholar] [CrossRef]
- Hou, B.; Benito-Alifonso, D.; Webster, R.; Cherns, D.; Galan, M.C.; Fermín, D.J. Rapid phosphine-free synthesis of CdSe quantum dots: Promoting the generation of Se precursors using a radical initiator. J. Mater. Chem. A 2014, 2, 6879–6886. [Google Scholar] [CrossRef]
- Hou, B.; Parker, D.; Kissling, G.P.; Jones, J.A.; Cherns, D.; Fermín, D.J. Structure and Band Edge Energy of Highly Luminescent CdSe1−xTex Alloyed Quantum Dots. J. Phys. Chem. C 2013, 117, 6814–6820. [Google Scholar] [CrossRef]
- Sayevich, V.; Robinson, Z.L.; Kim, Y.; Kozlov, O.V.; Jung, H.; Nakotte, T.; Park, Y.-S.; Klimov, V.I. Highly versatile near-infrared emitters based on an atomically defined HgS interlayer embedded into a CdSe/CdS quantum dot. Nat. Nanotechnol. 2021. [Google Scholar] [CrossRef]
- Dai, X.; Zhang, Z.; Jin, Y.; Niu, Y.; Cao, H.; Liang, X.; Chen, L.; Wang, J.; Peng, X. Solution-processed, high-performance light-emitting diodes based on quantum dots. Nature 2014, 515, 96–99. [Google Scholar] [CrossRef]
- Shen, H.; Gao, Q.; Zhang, Y.; Lin, Y.; Lin, Q.; Li, Z.; Chen, L.; Zeng, Z.; Li, X.; Jia, Y.; et al. Visible quantum dot light-emitting diodes with simultaneous high brightness and efficiency. Nat. Photonics 2019, 13, 192–197. [Google Scholar] [CrossRef]
- Zhao, Q.; Gouget, G.; Guo, J.; Yang, S.; Zhao, T.; Straus, D.B.; Qian, C.; Oh, N.; Wang, H.; Murray, C.B.; et al. Enhanced Carrier Transport in Strongly Coupled, Epitaxially Fused CdSe Nanocrystal Solids. Nano Lett. 2021, 21, 3318–3324. [Google Scholar] [CrossRef]
- Banski, M.; Afzaal, M.; Malik, M.A.; Podhorodecki, A.; Misiewicz, J.; O’Brien, P. Special Role for Zinc Stearate and Octadecene in the Synthesis of Luminescent ZnSe Nanocrystals. Chem. Mater. 2015, 27, 3797–3800. [Google Scholar] [CrossRef]
- Hou, B.; Li, Y.; Liu, Y.; Yuan, B.; Jia, M.; Jiang, F. A simple way of shape-controlled synthesis of ZnSe nanocrystals: Nanodots, nanoflowers, and nanotubes. CrystEngComm 2009, 11, 1789–1792. [Google Scholar] [CrossRef]
- Kim, T.; Kim, K.-H.; Kim, S.; Choi, S.-M.; Jang, H.; Seo, H.-K.; Lee, H.; Chung, D.-Y.; Jang, E. Efficient and stable blue quantum dot light-emitting diode. Nature 2020, 586, 385–389. [Google Scholar] [CrossRef] [PubMed]
- Han, C.-Y.; Lee, S.-H.; Song, S.-W.; Yoon, S.-Y.; Jo, J.-H.; Jo, D.-Y.; Kim, H.-M.; Lee, B.-J.; Kim, H.-S.; Yang, H. More Than 9% Efficient ZnSeTe Quantum Dot-Based Blue Electroluminescent Devices. ACS Energy Lett. 2020, 5, 1568–1576. [Google Scholar] [CrossRef]
- Hou, B.; Sohn, M.; Lee, Y.-W.; Zhang, J.; Sohn, J.I.; Kim, H.; Cha, S.; Kim, J.M. Chemically encoded self-organized quantum chain supracrystals with exceptional charge and ion transport properties. Nano Energy 2019, 62, 764–771. [Google Scholar] [CrossRef]
- Song, H.; Lin, Y.; Zhang, Z.; Rao, H.; Wang, W.; Fang, Y.; Pan, Z.; Zhong, X. Improving the Efficiency of Quantum Dot Sensitized Solar Cells beyond 15% via Secondary Deposition. J. Am. Chem. Soc. 2021, 143, 4790–4800. [Google Scholar] [CrossRef] [PubMed]
- Song, H.; Lin, Y.; Zhou, M.; Rao, H.; Pan, Z.; Zhong, X. Zn-Cu-In-S-Se Quinary “Green” Alloyed Quantum-Dot-Sensitized Solar Cells with a Certified Efficiency of 14.4%. Angew. Chem. Int. Ed. 2021, 60, 6137–6144. [Google Scholar] [CrossRef]
- Kattan, N.; Hou, B.; Fermín, D.J.; Cherns, D. Crystal structure and defects visualization of Cu2ZnSnS4 nanoparticles employing transmission electron microscopy and electron diffraction. Appl. Mater. Today 2015, 1, 52–59. [Google Scholar] [CrossRef]
- Hou, B.; Benito-Alifonso, D.; Kattan, N.; Cherns, D.; Galan, M.C.; Fermín, D.J. Initial Stages in the Formation of Cu2ZnSn(S,Se)4 Nanoparticles. Chem. A Eur. J. 2013, 19, 15847–15851. [Google Scholar] [CrossRef]
- Hou, B.; Cho, Y.; Kim, B.S.; Hong, J.; Park, J.B.; Ahn, S.J.; Sohn, J.I.; Cha, S.; Kim, J.M. Highly Monodispersed PbS Quantum Dots for Outstanding Cascaded-Junction Solar Cells. ACS Energy Lett. 2016, 1, 834–839. [Google Scholar] [CrossRef]
- Hou, B.; Cho, Y.; Kim, B.-S.; Ahn, D.; Lee, S.; Park, J.B.; Lee, Y.-W.; Hong, J.; Im, H.; Morris, S.M.; et al. Red green blue emissive lead sulfide quantum dots: Heterogeneous synthesis and applications. J. Mater. Chem. C 2017, 5, 3692–3698. [Google Scholar] [CrossRef]
- Hou, B.; Kim, B.-S.; Lee, H.K.H.; Cho, Y.; Giraud, P.; Liu, M.; Zhang, J.; Davies, M.L.; Durrant, J.R.; Tsoi, W.C.; et al. Multiphoton Absorption Stimulated Metal Chalcogenide Quantum Dot Solar Cells under Ambient and Concentrated Irradiance. Adv. Funct. Mater. 2020, 30, 2004563. [Google Scholar] [CrossRef]
- Hou, B.; Jung, S.-H.; Zhang, J.; Hong, Y.; Kim, B.-S.; Sohn, J.I.; Lee, E.K.; Choi, B.L.; Whang, D.; Cha, S.; et al. Growth of quantum dot coated core-shell anisotropic nanowires for improved thermal and electronic transport. Appl. Phys. Lett. 2019, 114, 243104. [Google Scholar] [CrossRef]
- Campos, M.P.; Hendricks, M.P.; Beecher, A.N.; Walravens, W.; Swain, R.A.; Cleveland, G.T.; Hens, Z.; Sfeir, M.Y.; Owen, J.S. A Library of Selenourea Precursors to PbSe Nanocrystals with Size Distributions near the Homogeneous Limit. J. Am. Chem. Soc. 2017, 139, 2296–2305. [Google Scholar] [CrossRef]
- Shrestha, A.; Batmunkh, M.; Tricoli, A.; Qiao, S.Z.; Dai, S. Near-Infrared Active Lead Chalcogenide Quantum Dots: Preparation, Post-Synthesis Ligand Exchange, and Applications in Solar Cells. Angew. Chem. Int. Ed. 2019, 58, 5202–5224. [Google Scholar] [CrossRef]
- Lin, Q.; Yun, H.J.; Liu, W.; Song, H.-J.; Makarov, N.S.; Isaienko, O.; Nakotte, T.; Chen, G.; Luo, H.; Klimov, V.I.; et al. Phase-Transfer Ligand Exchange of Lead Chalcogenide Quantum Dots for Direct Deposition of Thick, Highly Conductive Films. J. Am. Chem. Soc. 2017, 139, 6644–6653. [Google Scholar] [CrossRef]
- Livache, C.; Martinez, B.; Goubet, N.; Gréboval, C.; Qu, J.; Chu, A.; Royer, S.; Ithurria, S.; Silly, M.G.; Dubertret, B.; et al. A colloidal quantum dot infrared photodetector and its use for intraband detection. Nat. Commun. 2019, 10, 2125. [Google Scholar] [CrossRef]
- Tang, X.; Wu, G.f.; Lai, K.W.C. Plasmon resonance enhanced colloidal HgSe quantum dot filterless narrowband photodetectors for mid-wave infrared. J. Mater. Chem. C 2017, 5, 362–369. [Google Scholar] [CrossRef]
- Qu, J.; Rastogi, P.; Gréboval, C.; Lagarde, D.; Chu, A.; Dabard, C.; Khalili, A.; Cruguel, H.; Robert, C.; Xu, X.Z.; et al. Electroluminescence from HgTe Nanocrystals and Its Use for Active Imaging. Nano Lett. 2020, 20, 6185–6190. [Google Scholar] [CrossRef]
- Ma, Y.; Zhang, Y.; Yu, W.W. Near infrared emitting quantum dots: Synthesis, luminescence properties and applications. J. Mater. Chem. C 2019, 7, 13662–13679. [Google Scholar] [CrossRef]
- Yarema, M.; Yarema, O.; Lin, W.M.M.; Volk, S.; Yazdani, N.; Bozyigit, D.; Wood, V. Upscaling Colloidal Nanocrystal Hot-Injection Syntheses via Reactor Underpressure. Chem. Mater. 2017, 29, 796–803. [Google Scholar] [CrossRef]
- Li, D.; Pan, D.; Liu, W.; Li, X.; Chen, M.; Li, S.; Li, Y.; Tan, J.; Sun, D.; Wang, Z.; et al. Controllable Phase Transition for Layered β-FeSe Superconductor Synthesized by Solution Chemistry. Chem. Mater. 2017, 29, 842–848. [Google Scholar] [CrossRef]
- Greenfield, J.T.; Kamali, S.; Lee, K.; Kovnir, K. A Solution for Solution-Produced β-FeSe: Elucidating and Overcoming Factors that Prevent Superconductivity. Chem. Mater. 2015, 27, 588–596. [Google Scholar] [CrossRef]
- Oyler, K.D.; Ke, X.; Sines, I.T.; Schiffer, P.; Schaak, R.E. Chemical Synthesis of Two-Dimensional Iron Chalcogenide Nanosheets: FeSe, FeTe, Fe(Se,Te), and FeTe2. Chem. Mater. 2009, 21, 3655–3661. [Google Scholar] [CrossRef]
- Liu, H.; Owen, J.S.; Alivisatos, A.P. Mechanistic Study of Precursor Evolution in Colloidal Group II−VI Semiconductor Nanocrystal Synthesis. J. Am. Chem. Soc. 2006, 129, 305–312. [Google Scholar] [CrossRef]
- Tauc, J. Optical properties and electronic structure of amorphous Ge and Si. Mater. Res. Bull. 1968, 3, 37–46. [Google Scholar] [CrossRef]
- Bass, M.; DeCusatis, C.; Enoch, J.; Lakshminarayanan, V.; Li, G.; MacDonald, C.; Maha- jan, V.; Van Stryland, E. Optical Properties of Materials, Nonlinear Optics, Quantum Optics. In Handbook of Optics, 3rd ed.; Mcgraw-Hill: New York, NY, USA, 2009; Volume IV. [Google Scholar]
- Bass, M. Handbook of Optics, 2nd ed.; Mcgraw-Hill: New York, NY, USA, 1994; Volume II. [Google Scholar]
- Devore, J.R. Refractive Indices of Rutile and Sphalerite. J. Opt. Soc. Am. 1951, 41, 416–417. [Google Scholar] [CrossRef]











Publisher’s Note: MDPI stays neutral with regard to jurisdictional claims in published maps and institutional affiliations. |
© 2021 by the authors. Licensee MDPI, Basel, Switzerland. This article is an open access article distributed under the terms and conditions of the Creative Commons Attribution (CC BY) license (https://creativecommons.org/licenses/by/4.0/).
Share and Cite
Hou, B.; Benito-Alifonso, D.; Webster, R.F.; Cherns, D.; Galan, M.C.; Fermín, D.J. Synthetic Mechanism Studies of Iron Selenides: An Emerging Class of Materials for Electrocatalysis. Catalysts 2021, 11, 681. https://doi.org/10.3390/catal11060681
Hou B, Benito-Alifonso D, Webster RF, Cherns D, Galan MC, Fermín DJ. Synthetic Mechanism Studies of Iron Selenides: An Emerging Class of Materials for Electrocatalysis. Catalysts. 2021; 11(6):681. https://doi.org/10.3390/catal11060681
Chicago/Turabian StyleHou, Bo, David Benito-Alifonso, Richard F. Webster, David Cherns, M. Carmen Galan, and David J. Fermín. 2021. "Synthetic Mechanism Studies of Iron Selenides: An Emerging Class of Materials for Electrocatalysis" Catalysts 11, no. 6: 681. https://doi.org/10.3390/catal11060681
APA StyleHou, B., Benito-Alifonso, D., Webster, R. F., Cherns, D., Galan, M. C., & Fermín, D. J. (2021). Synthetic Mechanism Studies of Iron Selenides: An Emerging Class of Materials for Electrocatalysis. Catalysts, 11(6), 681. https://doi.org/10.3390/catal11060681

