Aftertreatment Technologies for Diesel Engines: An Overview of the Combined Systems
Abstract
1. Introduction
2. Diesel Particulate Filter (DPF), Catalytic Particulate Filter (CDPF), and SCR-on-DPF (SCRoF)
2.1. DPF and CDPF
2.2. Integrated NOx-SCR on Diesel Particulate Filter (SCRoF)
SCR Catalysts for SCRoF
2.3. Main Challenges of the SCRoF Concept and Solutions
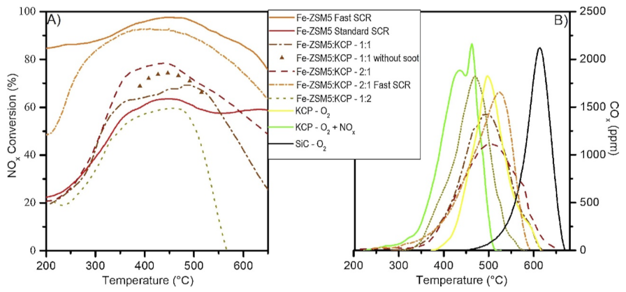
2.3.1. Impact of SCR Reaction on Soot Oxidation
2.3.2. Proposed Solutions
2.3.3. Future Challenges and Developments
- The urea thermal decomposition and NH3 generation is kinetically limited under 200 °C. The urea and resulting isocyanide decomposition can be enhanced by using catalysts such as TiO2 and ZrO2. The decomposition towards NH3 can be obtained with ZrO2 already at 150 °C (Figure 11) [73,74,75]. Another suggested solution is the use of alternative NH3 carrier substances such as solid salts with low melting and decomposition temperatures [76].
- The N2O production over Cu zeolites is relatively high and significantly influenced by the zeolite type with the lowest N2O production over CHA-type zeolites. This has been explained by the higher stability of NH4NO3 over the SSZ-13 zeolite relative to ZSM-5 and BEA zeolites due to size-exclusion effects. Another proposal is the use of Fe-zeolites or V2O5–WO3/TiO2 that produce lower amounts of N2O per converted NO. These catalysts have poor low temperature performance, but they can be used combined with Cu zeolites in zoned designs, whereby the Cu zeolites are located downstream [42,77,78,79,80].

3. Combined Technologies Based on LNT Catalysts
3.1. Combined LNT–SCR Systems for NOx Removal
3.1.1. Fundamental Studies on LNT–Passive SCR Combined System
3.1.2. Performances of Combined LNT–Passive SCR Systems
3.2. Combined LNT–CDPF Systems for Simultaneous NOx and Soot Removal
4. Conclusions
- The improvement of NOx conversion under 200 °C, with particular concern for the management of NH4NO3 deposition and the enhancement of the urea decomposition.
- The reduction of N2O emissions, which are expected to be regulated in the future for the automotive sector.
- The enhancement of hydrothermal stability and resistance towards poisoning by hydrocarbons and SO2.
Author Contributions
Funding
Conflicts of Interest
List of Abbreviations
| ASC | Ammonia slip catalyst |
| C CRT | Catalyzed continuous regenerating trap |
| CDPF | Catalyzed diesel particulate filter |
| CHA | Chabazite |
| CRT | Continuous regenerating trap |
| D-CAT | Diesel Clean Advanced Technology |
| DOC | Diesel oxidation catalyst |
| DPF | Diesel particulate filter |
| DPNR | Diesel Particulate NOx Reduction |
| EPA | Environmental Protection Agency |
| FTIR | Fourier-transform infrared |
| HC | Hydrocarbon |
| HDD | Heavy-duty diesel |
| KCP | K/CeO2–PrO2 |
| LDD | Light-duty diesel |
| LNT | Lean NOx Trap |
| NSR | NOx storage reduction |
| PGM | Platinum group metal |
| PM | Particulate matter |
| PNA | Passive NOx adsorber |
| SCR | Selective catalytic reduction |
| SCRoF or SCR/DPF | SCR-on-Filter |
| THC | Total hydrocarbon |
| VWT | V2O5–WO3/TiO2 |
| WLTP | Worldwide harmonized Light Vehicles Test Procedure |
References
- Saxena, P.; Naik, V. Air Pollution: Sources, Impacts and Controls; CABI: Boston, MA, USA, 2019. [Google Scholar]
- Franklin, B.A.; Brook, R.; Arden Pope, C. Air pollution and cardiovascular disease. Curr. Probl. Cardiol. 2015, 40, 207–238. [Google Scholar] [CrossRef] [PubMed]
- Hooftman, N.; Messagie, M.; Van Mierlo, J.; Coosemans, T. A review of the European passenger car regulations—Real driving emissions vs local air quality. Renew. Sustain. Energy Rev. 2018, 86, 1–21. [Google Scholar] [CrossRef]
- Bielaczyc, P.; Woodburn, J. Trends in Automotive Emission Legislation: Impact on LD Engine Development, Fuels, Lubricants and Test Methods: A Global View, with a Focus on WLTP and RDE Regulations. Emiss. Control Sci. Technol. 2019, 5, 86–98. [Google Scholar] [CrossRef]
- Mock, A.P.; Kühlwein, J.; Tietge, U.; Franco, V.; Bandivadekar, A. The ‘WLTP’—How a new cars ’ test procedure will affect fuel consumption values in Europe and worldwide. ICCT White Pap. 2014, 1–24. [Google Scholar] [CrossRef]
- Wittka, T.; Holderbaum, B.; Dittmann, P.; Pischinger, S. Experimental Investigation of Combined LNT + SCR Diesel Exhaust Aftertreatment. Emiss. Control Sci. Technol. 2015, 1, 167–182. [Google Scholar] [CrossRef]
- Joshi, A. Progress and outlook on gasoline vehicle after treatment systems. Johnson Matthey Technol. Rev. 2017, 61, 311–325. [Google Scholar] [CrossRef]
- Lambert, C.K. Current state of the art and future needs for automotive exhaust catalysis. Nat. Catal. 2019, 2, 554–557. [Google Scholar] [CrossRef]
- Twigg, M.V. Rôles of catalytic oxidation in control of vehicle exhaust emissions. Catal. Today 2006, 117, 407–418. [Google Scholar] [CrossRef]
- Winkler, S.L.; Anderson, J.E.; Garza, L.; Ruona, W.C.; Vogt, R.; Wallington, T.J. Vehicle criteria pollutant (PM, NOx, CO, HCs) emissions: How low should we go? Clim. Atmos. Sci. 2018, 1, 26. [Google Scholar] [CrossRef]
- Suarez-Bertoa, R.; Valverde, V.; Pavlovic, J.; Clairotte, M.; Selleri, T.; Franco, V.; Kregar, Z.; Astorga, C. On-road emissions of Euro 6d-TEMP passenger cars on Alpine routes during the winter period. Environ. Sci. Atmos. 2021, 1, 125–139. [Google Scholar] [CrossRef]
- Parks, J.E. Less costly catalysts for controlling engine emissions. Science 2010, 327, 1584–1585. [Google Scholar] [CrossRef] [PubMed]
- Forzatti, P.; Lietti, L.; Castoldi, L. Storage and Reduction of NO x over LNT Catalysts. Catal. Lett. 2015, 145, 483–504. [Google Scholar] [CrossRef]
- Lietti, L.; Artioli, N.; Righini, L.; Castoldi, L.; Forzatti, P. Pathways for N2 and N2O formation during the reduction of NO x over Pt-Ba/Al2O3 LNT catalysts investigated by labeling isotopic experiments. Ind. Eng. Chem. Res. 2012, 51, 7597–7605. [Google Scholar] [CrossRef]
- Johnson, T.V. Review of Vehicular Emissions Trends. SAE Int. J. Engines 2015, 8. [Google Scholar] [CrossRef]
- Heck, R.M.; Farrauto, R.J.; Gulati, S.T. Catalytic Air Pollution Control: Commercial Technology: Third Edition; John Wiley & Sons, Inc.: Hoboken, NJ, USA, 2012. [Google Scholar]
- Heeb, N.V.; Saxer, C.J.; Forss, A.M.; Brühlmann, S. Trends of NO-, NO2-, and NH3-emissions from gasoline-fueled Euro-3- to Euro-4-passenger cars. Atmos. Environ. 2008, 42, 2543–2554. [Google Scholar] [CrossRef]
- Brandenberger, S.; Kröcher, O.; Tissler, A.; Althoff, R. The state of the art in selective catalytic reduction of NOx by ammonia using metal-exchanged zeolite catalysts. Catal. Rev. Sci. Eng. 2008, 50, 492–531. [Google Scholar] [CrossRef]
- Busca, G.; Lietti, L.; Ramis, G.; Berti, F. Chemical and mechanistic aspects of the selective catalytic reduction of NO(x) by ammonia over oxide catalysts: A review. Appl. Catal. B Environ. 1998, 18, 1–36. [Google Scholar] [CrossRef]
- Václavík, M.; Plachá, M.; Kočí, P.; Svoboda, M.; Hotchkiss, T.; Novák, V.; Thompsett, D. Structure characterisation of catalytic particulate filters for automotive exhaust gas aftertreatment. Mater. Charact. 2017, 134, 311–318. [Google Scholar] [CrossRef]
- Hazlett, M.J.; Epling, W.S. Heterogeneous catalyst design: Zoned and layered catalysts in diesel vehicle aftertreatment monolith reactors. Can. J. Chem. Eng. 2019, 97, 188–206. [Google Scholar] [CrossRef]
- Martinovic, F.; Andana, T.; Piumetti, M.; Armandi, M.; Bonelli, B.; Deorsola, F.A.; Bensaid, S.; Pirone, R. Simultaneous improvement of ammonia mediated NOx SCR and soot oxidation for enhanced SCR-on-Filter application. Appl. Catal. A Gen. 2020, 596, 117538. [Google Scholar] [CrossRef]
- Tang, W.; Youngren, D.; Santa, M.M.; Kumar, S. On-engine investigation of SCR on filters (SCRoF) for HDD passive applications. SAE Int. J. Engines 2013, 6, 862–872. [Google Scholar] [CrossRef]
- Rappé, K.G. Integrated selective catalytic reduction-diesel particulate filter aftertreatment: Insights into pressure drop, NOx conversion, and passive soot oxidation behavior. Ind. Eng. Chem. Res. 2014, 53, 17547–17557. [Google Scholar] [CrossRef]
- Emran, A.; Ehrly, M.; Sandhu, R.; Santhoji Kale, R.; Sharma, V.; Rathod, D. Optimized Exhaust After-Treatment System Solution for Indian Heavy Duty City Bus Application—The Challenges Involved and the Right Approach to Meet Future BS VI Emission Legislations and Real World Driving Emissions. In Proceedings of the Symposium on International Automotive Technology 2019, Pune, India, 16–19 January 2019. [Google Scholar]
- Lee, J.H.; Paratore, M.J.; Brown, D.B. Evaluation of Cu-based SCR/DPF technology for diesel exhaust emission control. SAE Int. J. Fuels Lubr. 2009, 1, 96–101. [Google Scholar] [CrossRef]
- Wolff, T.; Deinlein, R.; Christensen, H.; Larsen, L. Dual layer coated high porous SiC—A new concept for SCR integration into DPF. SAE Int. J. Mater. Manuf. 2014, 7, 671–681. [Google Scholar] [CrossRef]
- Wang, Y.; Obuchi, Y.; Zhang, J.; Tracy, I.; Wong, V. Experiments and Analyses on Stability/Mid-Channel Collapse of Ash-Deposit Wall Layers and Pre-Mature Clogging of Diesel Particulate Filters; SAE Technical Papers; SAE International: Warrendale, PA, USA, 2019. [Google Scholar]
- Chen, H.Y.; Wei, Z.; Kollar, M.; Gao, F.; Wang, Y.; Szanyi, J.; Peden, C.H.F. A comparative study of N2O formation during the selective catalytic reduction of NOx with NH3 on zeolite supported Cu catalysts. J. Catal. 2015, 329, 490–498. [Google Scholar] [CrossRef]
- Leistner, K.; Mihai, O.; Wijayanti, K.; Kumar, A.; Kamasamudram, K.; Currier, N.W.; Yezerets, A.; Olsson, L. Comparison of Cu/BEA, Cu/SSZ-13 and Cu/SAPO-34 for ammonia-SCR reactions. Catal. Today 2015, 258, 49–55. [Google Scholar] [CrossRef]
- Zhang, S.; Pang, L.; Chen, Z.; Ming, S.; Dong, Y.; Liu, Q.; Liu, P.; Cai, W.; Li, T. Cu/SSZ-13 and Cu/SAPO-34 catalysts for deNOx in diesel exhaust: Current status, challenges, and future perspectives. Appl. Catal. A Gen. 2020, 607, 117855. [Google Scholar] [CrossRef]
- Gao, F.; Mei, D.; Wang, Y.; Szanyi, J.; Peden, C.H.F. Selective Catalytic Reduction over Cu/SSZ-13: Linking Homo- and Heterogeneous Catalysis. J. Am. Chem. Soc. 2017, 139, 4935–4942. [Google Scholar] [CrossRef]
- Shan, Y.; Du, J.; Zhang, Y.; Shan, W.; Shi, X.; Yu, Y.; Zhang, R.; Meng, X.; Xiao, F.-S.; He, H. Selective catalytic reduction of NO x with NH3: Opportunities and challenges of Cu-based small-pore zeolites. Natl. Sci. Rev. 2021. [Google Scholar] [CrossRef]
- Kim, Y.J.; Kim, P.S.; Kim, C.H. Deactivation mechanism of Cu/Zeolite SCR catalyst under high-temperature rich operation condition. Appl. Catal. A Gen. 2019, 569, 175–180. [Google Scholar] [CrossRef]
- Ryu, T.; Kim, H.; Hong, S.B. Nature of active sites in Cu-LTA NH3-SCR catalysts: A comparative study with Cu-SSZ-13. Appl. Catal. B Environ. 2019, 245, 513–521. [Google Scholar] [CrossRef]
- Martín, N.; Boruntea, C.R.; Moliner, M.; Corma, A. Efficient synthesis of the Cu-SSZ-39 catalyst for DeNOx applications. Chem. Commun. 2015, 51, 11030–11033. [Google Scholar] [CrossRef] [PubMed]
- Shan, Y.; Shan, W.; Shi, X.; Du, J.; Yu, Y.; He, H. A comparative study of the activity and hydrothermal stability of Al-rich Cu-SSZ-39 and Cu-SSZ-13. Appl. Catal. B Environ. 2020, 264, 118511. [Google Scholar] [CrossRef]
- Fahami, A.R.; Günter, T.; Doronkin, D.E.; Casapu, M.; Zengel, D.; Vuong, T.H.; Simon, M.; Breher, F.; Kucherov, A.V.; Brückner, A.; et al. The dynamic nature of Cu sites in Cu-SSZ-13 and the origin of the seagull NO: X conversion profile during NH3-SCR. React. Chem. Eng. 2019, 4, 1000–1018. [Google Scholar] [CrossRef]
- Daya, R.; Joshi, S.Y.; Luo, J.; Dadi, R.K.; Currier, N.W.; Yezerets, A. On kinetic modeling of change in active sites upon hydrothermal aging of Cu-SSZ-13. Appl. Catal. B Environ. 2020, 263, 118368. [Google Scholar] [CrossRef]
- Gao, F.; Peden, C.H.F. Recent progress in atomic-level understanding of Cu/SSZ-13 selective catalytic reduction catalysts. Catalysts 2018, 8, 140. [Google Scholar]
- Johansen, K.; Widd, A.; Zuther, F.; Viecenz, H. Passive NO2 Regeneration and NOx Conversion for DPF with an Integrated Vanadium SCR Catalyst; SAE Technical Papers; SAE International: Warrendale, PA, USA, 2016. [Google Scholar]
- Johansen, K.; Bentzer, H.; Kustov, A.; Larsen, K.; Janssens, T.V.W.; Barfod, R.G. Integration of Vanadium and Zeolite Type SCR Functionality into DPF in Exhaust Aftertreatment Systems—Advantages and Challenges; SAE Technical Papers; SAE International: Warrendale, PA, USA, 2014. [Google Scholar]
- Xi, Y.; Ottinger, N.A.; Liu, Z.G. Simulation of exotherms from the oxidation of accumulated carbonaceous species over a VSCR catalyst. React. Chem. Eng. 2019, 4, 1090–1102. [Google Scholar] [CrossRef]
- Marchitti, F.; Nova, I.; Tronconi, E. Experimental study of the interaction between soot combustion and NH3-SCR reactivity over a Cu-Zeolite SDPF catalyst. Catal. Today 2016, 267, 110–118. [Google Scholar] [CrossRef]
- Martinovic, F.; Andana, T.; Deorsola, F.A.; Bensaid, S.; Pirone, R. On-Filter Integration of Soot Oxidation and Selective Catalytic Reduction of NOx with NH3 by Selective Two Component Catalysts. Catal. Lett. 2020, 150, 573–585. [Google Scholar] [CrossRef]
- Watling, T.C.; Ravenscroft, M.R.; Avery, G. Development, validation and application of a model for an SCR catalyst coated diesel particulate filter. Catal. Today 2012, 188, 32–41. [Google Scholar] [CrossRef]
- Park, S.Y.; Narayanaswamy, K.; Schmieg, S.J.; Rutland, C.J. A model development for evaluating soot-NOx interactions in a blended 2-way diesel particulate filter/selective catalytic reduction. Ind. Eng. Chem. Res. 2012, 51, 15582–15592. [Google Scholar] [CrossRef]
- Karamitros, D.; Koltsakis, G. Model-based optimization of catalyst zoning on SCR-coated particulate filters. Chem. Eng. Sci. 2017, 173, 514–524. [Google Scholar] [CrossRef]
- Stewart, M.L.; Kamp, C.J.; Gao, F.; Wang, Y.; Engelhard, M.H. Coating Distribution in a Commercial SCR Filter. Emiss. Control Sci. Technol. 2018, 4, 260–270. [Google Scholar] [CrossRef]
- Bensaid, S.; Balakotaiah, V.; Luss, D. Simulation of NOx and soot abatement with Cu-Cha and Fe-ZSM5 catalysts. AIChE J. 2017, 63, 238–248. [Google Scholar] [CrossRef]
- Chen, K.; Martirosyan, K.S.; Luss, D. Transient temperature rise during regeneration of diesel particulate filters. Chem. Eng. J. 2011, 176–177, 144–150. [Google Scholar] [CrossRef]
- Ballinger, T.; Cox, J.; Konduru, M.; De, D.; Manning, W.; Andersen, P. Evaluation of SCR catalyst technology on diesel particulate filters. SAE Int. 2009, 2, 369–374. [Google Scholar] [CrossRef]
- Bensaid, S.; Caroca, C.J.; Russo, N.; Fino, D. Detailed investigation of non-catalytic DPF regeneration. Can. J. Chem. Eng. 2011, 89, 401–407. [Google Scholar] [CrossRef]
- Choi, S.; Oh, K.C.; Lee, C.B. The effects of filter porosity and flow conditions on soot deposition/oxidation and pressure drop in particulate filters. Energy 2014, 77, 327–337. [Google Scholar] [CrossRef]
- Nanba, T.; Masukawa, S.; Abe, A.; Uchisawa, J.; Obuchi, A. Quantitative analysis of active oxygen for soot oxidation over Ag/ZrO 2: Characterization with temperature-programmed reduction by NH3. Appl. Catal. B Environ. 2012, 123–124, 351–356. [Google Scholar] [CrossRef]
- Mytareva, A.I.; Bokarev, D.A.; Baeva, G.N.; Krivoruchenko, D.S.; Belyankin, A.Y.; Stakheev, A.Y. Composite catalysts for selective catalytic reduction of NOx and oxidation of residual NH3. Pet. Chem. 2016, 56, 211–216. [Google Scholar] [CrossRef]
- Stakheev, A.Y.; Baeva, G.N.; Bragina, G.O.; Teleguina, N.S.; Kustov, A.L.; Grill, M.; Thøgersen, J.R. Integrated DeNO x-DeSoot catalytic systems with improved low-temperature performance. Top. Catal. 2013, 56, 427–433. [Google Scholar] [CrossRef]
- Salazar, M.; Hoffmann, S.; Tkachenko, O.P.; Becker, R.; Grünert, W. Hybrid catalysts for the selective catalytic reduction of NO by NH3: The influence of component separation on the performance of hybrid systems. Appl. Catal. B Environ. 2016, 182, 213–219. [Google Scholar] [CrossRef]
- Liu, Z.; Feng, X.; Zhou, Z.; Feng, Y.; Li, J. Ce-Sn binary oxide catalyst for the selective catalytic reduction of NOx by NH3. Appl. Surf. Sci. 2018, 428, 526–533. [Google Scholar] [CrossRef]
- Li, X.; Li, Y.; Deng, S.A.; Rong, T. A Ce-Sn-Ox catalyst for the selective catalytic reduction of NOx with NH3. Catal. Commun. 2013, 40, 47–50. [Google Scholar] [CrossRef]
- Wang, D.; Zhang, C.; Xie, Y.; Pan, Z.; Xue, X.; Zhang, R. A study on the catalytic oxidation of soot by Sn-Ce composite oxides: Adsorbed oxygen and defect sites synergistically enhance catalytic activity. New J. Chem. 2019, 43, 17423–17432. [Google Scholar] [CrossRef]
- Zhang, S.; Zhang, B.; Liu, B.; Sun, S. A review of Mn-containing oxide catalysts for low temperature selective catalytic reduction of NO: X with NH3: Reaction mechanism and catalyst deactivation. RSC Adv. 2017, 7, 26226–26242. [Google Scholar] [CrossRef]
- Tan, J.; Wei, Y.; Sun, Y.; Liu, J.; Zhao, Z.; Song, W.; Li, J.; Zhang, X. Simultaneous removal of NOx and soot particulates from diesel engine exhaust by 3DOM Fe–Mn oxide catalysts. J. Ind. Eng. Chem. 2018, 63, 84–94. [Google Scholar] [CrossRef]
- Heo, I.; Sung, S.; Park, M.B.; Chang, T.S.; Kim, Y.J.; Cho, B.K.; Hong, S.B.; Choung, J.W.; Nam, I.S. Effect of Hydrocarbon on DeNOx Performance of Selective Catalytic Reduction by a Combined Reductant over Cu-Containing Zeolite Catalysts. ACS Catal. 2019, 9, 9800–9812. [Google Scholar] [CrossRef]
- Luo, J.Y.; Yezerets, A.; Henry, C.; Hess, H.; Kamasamudram, K.; Chen, H.Y.; Epling, W.S. Hydrocarbon Poisoning of Cu-Zeolite SCR Catalysts; SAE Technical Papers; SAE International: Warrendale, PA, USA, 2012. [Google Scholar]
- Ye, Q.; Wang, L.; Yang, R.T. Activity, propene poisoning resistance and hydrothermal stability of copper exchanged chabazite-like zeolite catalysts for SCR of NO with ammonia in comparison to Cu/ZSM-5. Appl. Catal. A Gen. 2012, 427–428, 24–34. [Google Scholar] [CrossRef]
- Wang, J.; Ji, Y.; He, Z.; Crocker, M.; Dearth, M.; McCabe, R.W. A non-NH3 pathway for NOx conversion in coupled LNT-SCR systems. Appl. Catal. B Environ. 2012, 111–112, 562–570. [Google Scholar] [CrossRef]
- Cavataio, G.; Warner, J.R.; Girard, J.W.; Ura, J.; Dobson, D.; Lambert, C.K. Laboratory study of soot, propylene, and diesel fuel impact on zeolite-based SCR filter catalysts. SAE Int. J. Fuels Lubr. 2009, 2, 342–368. [Google Scholar] [CrossRef]
- Stratakis, G.A.; Konstantas, G.S.; Stamatelos, A.M. Experimental investigation of the role of soot volatile organic fraction in the regeneration of diesel filters. Proc. Inst. Mech. Eng. Part D J. Automob. Eng. 2003, 217, 307–317. [Google Scholar] [CrossRef]
- Martinovic, F.; Deorsola, F.A.; Armandi, M.; Bonelli, B.; Palkovits, R.; Bensaid, S.; Pirone, R. Composite Cu-SSZ-13 and CeO2-SnO2 for enhanced NH3-SCR resistance towards hydrocarbon deactivation. Appl. Catal. B Environ. 2021, 282. [Google Scholar] [CrossRef]
- Zhao, Q.; Chen, B.; Bai, Z.; Yu, L.; Crocker, M.; Shi, C. Hybrid catalysts with enhanced C3H6 resistance for NH3-SCR of NOx. Appl. Catal. B Environ. 2019, 242, 161–170. [Google Scholar] [CrossRef]
- Yu, R.; Zhao, Z.; Shi, C.; Zhang, W. Insight into the Synergic Effect of Fe-SSZ-13 Zeolite and FeMnTiZrO x Catalyst with Enhanced Reactivity in NH 3 -SCR of NO x. J. Phys. Chem. C 2019, 123, 2216–2227. [Google Scholar] [CrossRef]
- Bernhard, A.M.; Peitz, D.; Elsener, M.; Schildhauer, T.; Kröcher, O. Catalytic urea hydrolysis in the selective catalytic reduction of NO x: Catalyst screening and kinetics on anatase TiO2 and ZrO2. Catal. Sci. Technol. 2013, 3, 942–951. [Google Scholar] [CrossRef]
- Seneque, M.; Courtois, X.; Can, F.; Duprez, D. Direct Comparison of Urea-SCR and NH3-SCR Activities Over Acidic Oxide and Exchanged Zeolite Prototype Powdered Catalysts. Top. Catal. 2016, 59, 938–944. [Google Scholar] [CrossRef]
- Ma, Y.; Wu, X.; Zhang, J.; Ran, R.; Weng, D. Urea-related reactions and their active sites over Cu-SAPO-34: Formation of NH3 and conversion of HNCO. Appl. Catal. B Environ. 2018, 227, 198–208. [Google Scholar] [CrossRef]
- Peitz, D.; Bernhard, A.; Kröcher, O. Ammonia Storage and Release in SCR Systems for Mobile Applications Urea-SCR Technology for deNOx After Treatment of Diesel Exhausts; Springer: New York, NY, USA, 2014; pp. 485–506. [Google Scholar]
- Cho, C.P.; Pyo, Y.D.; Jang, J.Y.; Kim, G.C.; Shin, Y.J. NOx reduction and N2O emissions in a diesel engine exhaust using Fe-zeolite and vanadium based SCR catalysts. Appl. Therm. Eng. 2017, 110, 18–24. [Google Scholar] [CrossRef]
- Jung, Y.; Shin, Y.J.; Pyo, Y.D.; Cho, C.P.; Jang, J.; Kim, G. NOx and N2O emissions over a Urea-SCR system containing both V2O5-WO3/TiO2 and Cu-zeolite catalysts in a diesel engine. Chem. Eng. J. 2017, 326, 853–862. [Google Scholar] [CrossRef]
- Liu, Q.; Bian, C.; Ming, S.; Guo, L.; Zhang, S.; Pang, L.; Liu, P.; Chen, Z.; Li, T. The opportunities and challenges of iron-zeolite as NH3-SCR catalyst in purification of vehicle exhaust. Appl. Catal. A Gen. 2020, 607, 117865. [Google Scholar] [CrossRef]
- Girard, J.W.; Montreuil, C.; Kim, J.; Cavataio, G.; Lambert, C. Technical advantages of vanadium SCR systems for diesel NOx control in emerging markets. SAE Int. J. Fuels Lubr. 2009, 1, 488–494. [Google Scholar] [CrossRef]
- Zhang, D.; Yang, R.T. N2O Formation Pathways over Zeolite-Supported Cu and Fe Catalysts in NH3-SCR. Energy Fuels 2018, 32, 2170–2182. [Google Scholar] [CrossRef]
- Metkar, P.S.; Harold, M.P.; Balakotaiah, V. Experimental and kinetic modeling study of NH3-SCR of NOx on Fe-ZSM-5, Cu-chabazite and combined Fe- and Cu-zeolite monolithic catalysts. Chem. Eng. Sci. 2013, 87, 51–66. [Google Scholar] [CrossRef]
- Iwasaki, M.; Shinjoh, H. A comparative study of “standard”, “fast” and “nO2” SCR reactions over Fe/zeolite catalyst. Appl. Catal. A Gen. 2010, 390, 71–77. [Google Scholar] [CrossRef]
- Kamasamudram, K.; Henry, C.; Currier, N.; Yezerets, A. N2O Formation and Mitigation in Diesel Aftertreatment Systems. SAE Int. J. Engines 2012, 5, 688–698. [Google Scholar] [CrossRef]
- Ruggeri, M.P.; Luo, J.; Nova, I.; Tronconi, E.; Kamasamudram, K.; Yezerets, A. Novel method of ammonium nitrate quantification in SCR catalysts. Catal. Today 2018, 307, 48–54. [Google Scholar] [CrossRef]
- Bendrich, M.; Scheuer, A.; Hayes, R.E.; Votsmeier, M. Increased SCR performance of Cu-CHA due to ammonium nitrate buffer: Experiments with oscillating NO/NO2 ratios and application to real driving cycles. Appl. Catal. B Environ. 2020, 270, 118763. [Google Scholar] [CrossRef]
- Mihai, O.; Tamm, S.; Stenfeldt, M.; Olsson, L. The effect of soot on ammonium nitrate species and NO2 selective catalytic reduction over Cu-zeolite catalyst-coated particulate filter. Philos. Trans. R. Soc. A Math. Phys. Eng. Sci. 2016, 374, 20150086. [Google Scholar] [CrossRef]
- Mihai, O.; Tamm, S.; Stenfeldt, M.; Wang-Hansen, C.; Olsson, L. Evaluation of an Integrated Selective Catalytic Reduction-Coated Particulate Filter. Ind. Eng. Chem. Res. 2015, 54, 11779–11791. [Google Scholar] [CrossRef]
- Peng, B.; Rappé, K.G.; Cui, Y.; Gao, F.; Szanyi, J.; Olszta, M.J.; Walter, E.D.; Wang, Y.; Holladay, J.D.; Goffe, R.A. Enhancement of high-temperature selectivity on Cu-SSZ-13 towards NH3-SCR reaction from highly dispersed ZrO2. Appl. Catal. B Environ. 2020, 263, 118359. [Google Scholar] [CrossRef]
- Fan, J.; Ning, P.; Wang, Y.; Song, Z.; Liu, X.; Wang, H.; Wang, J.; Wang, L.; Zhang, Q. Significant promoting effect of Ce or La on the hydrothermal stability of Cu-SAPO-34 catalyst for NH3-SCR reaction. Chem. Eng. J. 2019, 369, 908–919. [Google Scholar] [CrossRef]
- Usui, T.; Liu, Z.; Ibe, S.; Zhu, J.; Anand, C.; Igarashi, H.; Onaya, N.; Sasaki, Y.; Shiramata, Y.; Kusamoto, T.; et al. Improve the Hydrothermal Stability of Cu-SSZ-13 Zeolite Catalyst by Loading a Small Amount of Ce. ACS Catal. 2018, 8, 9165–9173. [Google Scholar] [CrossRef]
- Gao, F.; Wang, Y.; Washton, N.M.; Kollár, M.; Szanyi, J.; Peden, C.H.F. Effects of Alkali and Alkaline Earth Cocations on the Activity and Hydrothermal Stability of Cu/SSZ-13 NH3-SCR Catalysts. ACS Catal. 2015, 5, 6780–6791. [Google Scholar] [CrossRef]
- Wijayanti, K.; Xie, K.; Kumar, A.; Kamasamudram, K.; Olsson, L. Effect of gas compositions on SO2 poisoning over Cu/SSZ-13 used for NH3-SCR. Appl. Catal. B Environ. 2017, 219, 142–154. [Google Scholar] [CrossRef]
- Yu, R.; Zhao, Z.; Huang, S.; Zhang, W. Cu-SSZ-13 zeolite–metal oxide hybrid catalysts with enhanced SO2-tolerance in the NH3-SCR of NOx. Appl. Catal. B Environ. 2020, 269, 118825. [Google Scholar] [CrossRef]
- Mesilov, V.V.; Bergman, S.L.; Dahlin, S.; Xiao, Y.; Xi, S.; Zhirui, M.; Xu, L.; Chen, W.; Pettersson, L.J.; Bernasek, S.L. Differences in oxidation-reduction kinetics and mobility of Cu species in fresh and SO2-poisoned Cu-SSZ-13 catalysts. Appl. Catal. B Environ. 2021, 284, 119756. [Google Scholar] [CrossRef]
- Kumar, A.; Smith, M.A.; Kamasamudram, K.; Currier, N.W.; Yezerets, A. Chemical deSOx: An effective way to recover Cu-zeolite SCR catalysts from sulfur poisoning. Catal. Today 2016, 267, 10–16. [Google Scholar] [CrossRef]
- Hammershøi, P.S.; Vennestrøm, P.N.R.; Falsig, H.; Jensen, A.D.; Janssens, T.V.W. Importance of the Cu oxidation state for the SO2-poisoning of a Cu-SAPO-34 catalyst in the NH3-SCR reaction. Appl. Catal. B Environ. 2018, 236, 377–383. [Google Scholar] [CrossRef]
- Yoshida, K.; Makino, S.; Sumiya, S.; Muramatsu, G.; Helferich, R. Simultaneous Reduction of NOx and Particulate Emissions from Diesel Engine Exhaust; SAE Technical Papers; SAE International: Warrendale, PA, USA, 1989. [Google Scholar]
- Nakatani, K.; Hirota, S.; Takeshima, S.; Itoh, K.; Tanaka, T.; Dohmae, K. Simultaneous PM and NOx Reduction System for Diesel Engines; SAE Technical Papers; SAE International: Warrendale, PA, USA, 2002. [Google Scholar]
- Liu, C.; Lietti, L.; Castoldi, L.; Matarrese, R.; Forzatti, P. Chapter 11: Combined LNT-SCR Catalysts for NOx Reduction from Lean Exhaust Gas. In RSC Catalysis Series; Royal Society of Chemistry: London, UK, 2018; pp. 321–352. [Google Scholar]
- Kočí, P.; Plát, F.; Štěpánek, J.; Bártová, Š.; Marek, M.; Kubíček, M.; Schmeißer, V.; Chatterjee, D.; Weibel, M. Global kinetic model for the regeneration of NOx storage catalyst with CO, H2 and C3H6 in the presence of CO2 and H2O. Catal. Today 2009, 147, 257–264. [Google Scholar] [CrossRef]
- Ting, A.W.L.; Li, M.; Harold, M.P.; Balakotaiah, V. Fast cycling in a non-isothermal monolithic lean NOx trap using H2 as reductant: Experiments and modeling. Chem. Eng. J. 2017, 326, 419–435. [Google Scholar] [CrossRef]
- Cortés-Reyes, M.; Herrera, C.; Larrubia, M.Á.; Alemany, L.J. Advance in the scaling up of a hybrid catalyst for NSR-SCR coupled systems under H2O + CO2 atmosphere. Catal. Today 2020, 356, 292–300. [Google Scholar] [CrossRef]
- Kubiak, L.; Castoldi, L.; Lietti, L.; Andonova, S.; Olsson, L. Mechanistic investigation of the reduction of NOx over Pt-and Rh-based LNT catalysts. Catalysts 2016, 6, 46. [Google Scholar] [CrossRef]
- Onrubia-Calvo, J.A.; Pereda-Ayo, B.; Urrutxua, M.; De La Torre, U.; González-Velasco, J.R. Boosting NOx Removal by Perovskite-Based Catalyst in NSR–SCR Diesel Aftertreatment Systems. Ind. Eng. Chem. Res. 2021. [Google Scholar] [CrossRef]
- Xu, L.; McCabe, R.W. LNT + in situ SCR catalyst system for diesel emissions control. Catal. Today 2012, 184, 83–94. [Google Scholar] [CrossRef]
- Pereda-Ayo, B.; Duraiswami, D.; González-Velasco, J.R. Control of NOx storage and reduction in NSR bed for designing combined NSR-SCR systems. Catal. Today 2011, 172, 66–72. [Google Scholar] [CrossRef]
- De La Torre, U.; Pereda-Ayo, B.; González-Velasco, J.R. Cu-zeolite NH 3-SCR catalysts for NO x removal in the combined NSR-SCR technology. Chem. Eng. J. 2012, 207–208, 10–17. [Google Scholar] [CrossRef]
- Castoldi, L.; Bonzi, R.; Lietti, L.; Forzatti, P.; Morandi, S.; Ghiotti, G.; Dzwigaj, S. Catalytic behaviour of hybrid LNT/SCR systems: Reactivity and in situ FTIR study. J. Catal. 2011, 282, 128–144. [Google Scholar] [CrossRef]
- Lindholm, A.; Sjövall, H.; Olsson, L. Reduction of NOx over a combined NSR and SCR system. Appl. Catal. B Environ. 2010, 98, 112–121. [Google Scholar] [CrossRef]
- Forzatti, P.; Lietti, L.; Nova, I.; Tronconi, E. Diesel NOx aftertreatment catalytic technologies: Analogies in LNT and SCR catalytic chemistry. Catal. Today 2010, 151, 202–211. [Google Scholar] [CrossRef]
- Can, F.; Courtois, X.; Royer, S.; Blanchard, G.; Rousseau, S.; Duprez, D. An overview of the production and use of ammonia in NSR + SCR coupled system for NOx reduction from lean exhaust gas. Catal. Today 2012, 197, 144–154. [Google Scholar] [CrossRef]
- Gandhi, H.S.; Cavataio, J.V.; Hammerle, R.H.; Cheng, Y. Catalyst System for Lean Burn Engines. U.S. Patent US 7,329,629 B2, 12 February 2008. [Google Scholar]
- Enderle, C.; Vent, G.; Paule, M. Bluetec Diesel Technology-Clean, Efficient and Powerful; SAE Technical Papers; SAE International: Warrendale, PA, USA, 2008. [Google Scholar]
- Bonzi, R.; Lietti, L.; Castoldi, L.; Forzatti, P. NOx removal over a double-bed NSR-SCR reactor configuration. Catal. Today 2010, 151, 376–385. [Google Scholar] [CrossRef]
- Corbos, E.C.; Haneda, M.; Courtois, X.; Marecot, P.; Duprez, D.; Hamada, H. Cooperative effect of Pt-Rh/Ba/Al and CuZSM-5 catalysts for NOx reduction during periodic lean-rich atmosphere. Catal. Commun. 2008, 10, 137–141. [Google Scholar] [CrossRef]
- Corbos, E.C.; Haneda, M.; Courtois, X.; Marecot, P.; Duprez, D.; Hamada, H. NOx abatement for lean-burn engines under lean-rich atmosphere over mixed NSR-SCR catalysts: Influences of the addition of a SCR catalyst and of the operational conditions. Appl. Catal. A Gen. 2009, 365, 187–193. [Google Scholar] [CrossRef]
- De La Torre, U.; Pereda-Ayo, B.; Romero-Sáez, M.; Aranzabal, A.; González-Marcos, M.P.; González-Marcos, J.A.; González-Velasco, J.R. Screening of Fe-Cu-zeolites prepared by different methodology for application in NSR-SCR combined DeNOx systems. Top. Catal. 2013, 56, 215–221. [Google Scholar] [CrossRef]
- De-La-Torre, U.; Pereda-Ayo, B.; Moliner, M.; González-Velasco, J.R.; Corma, A. Cu-zeolite catalysts for NOx removal by selective catalytic reduction with NH3 and coupled to NO storage/reduction monolith in diesel engine exhaust aftertreatment systems. Appl. Catal. B Environ. 2016, 187, 419–427. [Google Scholar] [CrossRef]
- Kwak, J.H.; Tran, D.; Szanyi, J.; Peden, C.H.F.; Lee, J.H. The effect of copper loading on the selective catalytic reduction of nitric oxide by ammonia over Cu-SSZ-13. Catal. Lett. 2012, 142, 295–301. [Google Scholar] [CrossRef]
- De-La-Torre, U.; Pereda-Ayo, B.; Moliner, M.; González-Marcos, J.A.; Corma, A.; González-Velasco, J.R. Optimal Operating Conditions of Coupled Sequential NOx Storage/Reduction and Cu/CHA Selective Catalytic Reduction Monoliths. Top. Catal. 2017, 60, 30–39. [Google Scholar] [CrossRef]
- Urrutxua, M.; Pereda-Ayo, B.; Trandafilovic, L.V.; Olsson, L.; González-Velasco, J.R. Influence of H2, CO, C3H6, and C7H8 as Reductants on DeNOx Behavior of Dual Monoliths for NOx Storage/Reduction Coupled with Selective Catalytic Reduction. Ind. Eng. Chem. Res. 2019, 58, 7001–7013. [Google Scholar] [CrossRef]
- Seo, C.K.; Kim, H.; Choi, B.; Lim, M.T.; Lee, C.H.; Lee, C.B. De-NOx characteristics of a combined system of LNT and SCR catalysts according to hydrothermal aging and sulfur poisoning. Catal. Today 2011, 164, 507–514. [Google Scholar] [CrossRef]
- Shakya, B.M.; Harold, M.P.; Balakotaiah, V. Modeling and analysis of dual-layer NOx storage and reduction and selective catalytic reduction monolithic catalyst. Chem. Eng. J. 2014, 237, 109–122. [Google Scholar] [CrossRef]
- Zheng, Y.; Liu, Y.; Harold, M.P.; Luss, D. LNT-SCR dual-layer catalysts optimized for lean NOx reduction by H2 and CO. Appl. Catal. B Environ. 2014, 148–149, 311–321. [Google Scholar] [CrossRef]
- Nakatsuji, T.; Matsubara, M.; Rouistenmäki, J.; Sato, N.; Ohno, H. A NOx reduction system using ammonia-storage selective catalytic reduction in rich/lean excursions. Appl. Catal. B Environ. 2007, 77, 190–201. [Google Scholar] [CrossRef]
- Morita, T.; Suzuki, N.; Satoh, N.; Wada, K.; Ohno, H. Study on Low NOX Emission Control Using Newly Developed Lean NOX Catalyst for Diesel Engines; SAE Technical Papers; SAE International: Warrendale, PA, USA, 2007. [Google Scholar]
- Wada, K.; Suzuki, N.; Satoh, N.; Morita, T.; Yamaguchi, S.; Ohno, H. Study on Emission Reducing Method with New Lean NOx Catalyst for Diesel Engines; SAE Technical Papers; SAE International: Warrendale, PA, USA, 2007. [Google Scholar]
- Liu, Y.; Harold, M.P.; Luss, D. Coupled NO x storage and reduction and selective catalytic reduction using dual-layer monolithic catalysts. Appl. Catal. B Environ. 2012, 121–122, 239–251. [Google Scholar] [CrossRef]
- Xu, L.; McCabe, R.; Tennison, P.; Jen, H.W. Laboratory and Vehicle Demonstration of “2nd-Generation” LNT + in-situ SCR Diesel Emission Control Systems. SAE Int. J. Engines 2011, 4, 158–174. [Google Scholar] [CrossRef]
- Zheng, Y.; Li, M.; Wang, D.; Harold, M.P.; Luss, D. Rapid propylene pulsing for enhanced low temperature NOx conversion on combined LNT-SCR catalysts. Catal. Today 2016, 267, 192–201. [Google Scholar] [CrossRef]
- Liu, Y.; Zheng, Y.; Harold, M.P.; Luss, D. Lean NOx reduction on LNT-SCR dual-layer catalysts by H2 and CO. Appl. Catal. B Environ. 2013, 132–133, 293–303. [Google Scholar] [CrossRef]
- Kim, Y.; Hwang, S.; Lee, J.; Ryou, Y.S.; Lee, H.; Kim, C.H.; Kim, D.H. Comparison of NO x Adsorption/Desorption Behaviors over Pd/CeO2 and Pd/SSZ-13 as Passive NOx Adsorbers for Cold Start Application. Emiss. Control Sci. Technol. 2019, 5, 172–182. [Google Scholar] [CrossRef]
- Khivantsev, K.; Jaegers, N.R.; Kovarik, L.; Prodinger, S.; Derewinski, M.A.; Wang, Y.; Gao, F.; Szanyi, J. Palladium/Beta zeolite passive NOx adsorbers (PNA): Clarification of PNA chemistry and the effects of CO and zeolite crystallite size on PNA performance. Appl. Catal. A Gen. 2019, 569, 141–148. [Google Scholar] [CrossRef]
- Wang, A.; Xie, K.; Kumar, A.; Kamasamudram, K.; Olsson, L. Layered Pd/SSZ-13 with Cu/SSZ-13 as PNA − SCR dual-layer monolith catalyst for NOx abatement. Catal. Today 2021, 360, 356–366. [Google Scholar] [CrossRef]
- Cooper, B.J.; Thoss, J.E. Role of NO in Diesel Particulate Emission Control; SAE Technical Papers; SAE International: Warrendale, PA, USA, 1989. [Google Scholar]
- Stanmore, B.R.; Brilhac, J.F.; Gilot, P. The oxidation of soot: A review of experiments, mechanisms and models. Carbon 2001, 39, 2247–2268. [Google Scholar] [CrossRef]
- Castoldi, L. An overview on the catalytic materials proposed for the simultaneous removal of NOx and soot. Materials 2020, 13, 3551. [Google Scholar] [CrossRef]
- Schejbal, M.; Štěpánek, J.; Marek, M.; Kočí, P.; Kubíček, M. Modelling of soot oxidation by NO2 in various types of diesel particulate filters. Fuel 2010, 89, 2365–2375. [Google Scholar] [CrossRef]
- Schejbal, M.; Štěpánek, J.; Kočí, P.; Marek, M.; Kubíček, M. Sequence of monolithic converters DOC-CDPF-NSRC for lean exhaust gas detoxification: A simulation study. Chem. Eng. Process. Process. Intensif. 2010, 49, 943–952. [Google Scholar] [CrossRef]
- Choi, B.; Lee, K.S. LNT/CDPF catalysts for simultaneous removal of NOx and PM from diesel vehicle exhaust. Chem. Eng. J. 2014, 240, 476–486. [Google Scholar] [CrossRef]
- Burch, R.; Fornasiero, P.; Southward, B.W.L. An investigation into the reactivity, deactivation, and in situ regeneration of Pt-based catalysts for the selective reduction of NOx under lean burn conditions. J. Catal. 1999, 182, 234–243. [Google Scholar] [CrossRef]
- Tiwari, R.K.; Balagangatharan, B. Experimental Analysis of LNT/DPF after Treatment System on a Passenger Car for Indian Road Condition; SAE Technical Papers; SAE International: Warrendale, PA, USA, 2019. [Google Scholar]
- Theis, J.R.; Kim, J.; Cavataio, G. TWC+LNT/SCR Systems for Satisfying Tier 2, Bin 2 Emission Standards on Lean-Burn Gasoline Engines. SAE Int. J. Fuels Lubr. 2015, 8, 474–486. [Google Scholar] [CrossRef]
- Goes, J.E.D.A.; Kristoffersson, A.; Olsson, L. Sulfur poisoning effects on modern lean nox trap catalysts components. Catalysts 2019, 9, 492. [Google Scholar] [CrossRef]
- Kang, W.; Choi, B.; Jung, S.; Park, S. PM and NOx reduction characteristics of LNT/DPF+SCR/DPF hybrid system. Energy 2018, 143, 439–447. [Google Scholar] [CrossRef]
- Demuynck, J.; Bosteels, D.; Bunar, F.; Spitta, J. Diesel Passenger Car with Ultra-low NOx Emissions in Real Driving Conditions. MTZ Worldw. 2020, 81, 40–43. [Google Scholar] [CrossRef]






















Publisher’s Note: MDPI stays neutral with regard to jurisdictional claims in published maps and institutional affiliations. |
© 2021 by the authors. Licensee MDPI, Basel, Switzerland. This article is an open access article distributed under the terms and conditions of the Creative Commons Attribution (CC BY) license (https://creativecommons.org/licenses/by/4.0/).
Share and Cite
Martinovic, F.; Castoldi, L.; Deorsola, F.A. Aftertreatment Technologies for Diesel Engines: An Overview of the Combined Systems. Catalysts 2021, 11, 653. https://doi.org/10.3390/catal11060653
Martinovic F, Castoldi L, Deorsola FA. Aftertreatment Technologies for Diesel Engines: An Overview of the Combined Systems. Catalysts. 2021; 11(6):653. https://doi.org/10.3390/catal11060653
Chicago/Turabian StyleMartinovic, Ferenc, Lidia Castoldi, and Fabio Alessandro Deorsola. 2021. "Aftertreatment Technologies for Diesel Engines: An Overview of the Combined Systems" Catalysts 11, no. 6: 653. https://doi.org/10.3390/catal11060653
APA StyleMartinovic, F., Castoldi, L., & Deorsola, F. A. (2021). Aftertreatment Technologies for Diesel Engines: An Overview of the Combined Systems. Catalysts, 11(6), 653. https://doi.org/10.3390/catal11060653

