Next Article in Journal
Electrodeposition of Fe-Complexes on Oxide Surfaces for Efficient OER Catalysis
Next Article in Special Issue
Experimental and Theoretical Studies of Sonically Prepared Cu–Y, Cu–USY and Cu–ZSM-5 Catalysts for SCR deNOx
Previous Article in Journal
Highly Selective Vapor and Liquid Phase Transfer Hydrogenation of Diaryl and Polycyclic Ketones with Secondary Alcohols in the Presence of Magnesium Oxide as Catalyst
Previous Article in Special Issue
Promotional Effect of Manganese on Selective Catalytic Reduction of NO by CO in the Presence of Excess O2 over M@La–Fe/AC (M = Mn, Ce) Catalyst
 
 
Font Type:
Arial Georgia Verdana
Font Size:
Aa Aa Aa
Line Spacing:
Column Width:
Background:
Article

Copper Tricomponent Catalysts Application for Hydrogen Production from Ethanol

by
Łukasz Hamryszak
1,*,
Maria Kulawska
1,
Maria Madej-Lachowska
2,*,
Michał Śliwa
3,
Katarzyna Samson
3 and
Małgorzata Ruggiero-Mikołajczyk
3
1
Institute of Chemical Engineering, Polish Academy of Sciences, 5 Bałtycka Street, 44-100 Gliwice, Poland
2
Department of Biosystem Engineering and Chemical Processes, Opole University of Technology, 31 Sosnkowskiego Street, 45-272 Opole, Poland
3
Jerzy Haber Institute of Catalysis and Surface Chemistry, Polish Academy of Sciences, 8 Niezapominajek Street, 30-239 Krakow, Poland
*
Authors to whom correspondence should be addressed.
Catalysts 2021, 11(5), 575; https://doi.org/10.3390/catal11050575
Submission received: 26 February 2021 / Revised: 27 April 2021 / Accepted: 28 April 2021 / Published: 30 April 2021
(This article belongs to the Special Issue Modern Catalytic Reactor: From Active Center to Application Tests)

Abstract

The application of copper-based catalysts in the production of pure hydrogen in the steam reforming of ethanol was performed. The tricomponent Cu/Zr catalysts with about 4 mass% addition of nickel, cobalt, or cerium have been prepared in our laboratory. The properties of obtained catalysts were compared with bimetallic Cu/Zr catalyst prepared and tested according to the same procedure. Catalytic tests were carried out in the continuous flow fixed–bed reactor in the wide temperature range of 433–593 K for initial molar ratio of ethanol to water equal to 1:3. Catalysts were characterized by XRD, TPR, CO2–TPD, and TPO methods. Cu/Zr/Ce catalyst proved to be the best; hydrogen yield reached the value of 400 L/(kgcat.∙h), selectivity towards carbon monoxide was below 0.5% and the one towards methane wasnot detected. Additions of Ni or Co did not bring significant improvement in activity.

Graphical Abstract

1. Introduction

The rising energy production in all developed and developing countries causes the corresponding increase in the environment pollution. New restrictions and regulations require new clean technologies of high efficiency of energy generation [1]. Hydrogen is considered as a carrier of clean energy. Many methods of hydrogen production have been developed. The industrial production of hydrogen is currently carried out in the process of gasification of coal and other fossil materials, in the process of steam reforming of hydrocarbons (mainly methane), oxygenates (mainly methanol) [2,3], and from water electrolysis [4]. Many attempts have been made in recent decades to produce hydrogen from ethanol or bioethanol derived from any source of starch [5]. In the process of ethanol steam reforming (ESR) hydrogen is a product of highly endothermic catalytic reaction [6]:
C2H5OH + 3H2O ↔ 2 CO2 + 6 H2   ΔH298 = +174 kJ/mol.
Besides this main reaction, many side and consecutive reactions occur, giving undesired by-products, e.g., carbon monoxide, methane, acetic acid, acetaldehyde, ethene, and others:
CH3CH2OH ↔CH3CHO + H2   ΔH298K = +68.7 kJ/mol
CH3CHO ↔CH4+ CO      ΔH298K = −19.0 kJ/mol
CH4+ H2O↔CO + 3H2      ΔH298K = +206.1 kJ/mol
CH3CH2OH↔C2H4+ H2O    ΔH298K = +45.0 kJ/mol
C2H4↔2C + 2H2        ΔH298K = −52.3 kJ/mol
C2H4+ 2H2O↔2CO + 4H2     ΔH298K = +210.0 kJ/mol.
Various stages of this process depend on process parameters and catalysts used [7,8].
To deal with such a complex process, the complicated catalytic systems with improved selectivity to hydrogen have been developed. The biggest problem is developing high resistance to carbon deposition on the catalyst surface and, at the same time, minimalization of carbon monoxide formation. Carbon monoxide is a strong poison that deactivates the proton exchange membrane fuel cell (PEMFC) catalyst. The system of low temperature PEMFC cannot accept more than 10 ppm for efficient operation, while high-temperature PEMFC tolerates supply of gas containing up to 5 vol.% of CO [8].
Early investigations on ESR catalysts were focused on application of noble metals as main component of catalysts: rhodium, platinum, ruthenium, lanthanum, or iridium [9,10,11,12,13,14,15,16]. These catalysts were characterized by high resistance to deactivation, selectivity towards hydrogen in the range of 60–75% and content of the CO in the product below 10%. Unfortunately, the level of CO is too high for an application in fuel cells. Additionally, due to the high production cost of these types of catalysts, many new studies have been conducted to replace them with cheaper ones.
First experiments were carried out on bimetallic systems based on nickel [17,18,19,20,21,22,23,24,25,26,27] and cobalt [17,20,21,27,28,29,30], there are also some experiments with copper [7,17,21,24,31] and cerium [27,32] as base metal; the second component was alumina or zirconia. Later, there were attempts on improving activity of bimetallic catalysts by addition of another component. The base component was nickel: Ni/CeO2–Al2O3, Ni/CeO2–La2O3, Ni/La2O3–Al2O3, Ni/La2O3–ZrO2 [33,34,35], Ni0.95Mo0.05/SBA–15 [36], Ni/ZnO/Al2O3 [37,38], Ni3Mg2/AlOY [39], and Ni-Cu/CeMnO2 [40]. Dan et al. [33] found that additional oxides of Ce or La to Ni/Zr and Ni/Al catalysts gave a 25–45% increase in hydrogen yield at temperature of 593 K, and methane was the only byproduct (selectivity above 20%). Montero et al. [34], investigating the catalytic system of Ni/La2O3–Al2O3, found an important increase in hydrogen yield (from 10% to 90%) and lower coking, following increase in temperature (from 873 to 973 K). La-doped ceria-supported nickel catalyst Ni-CeLa0.2 revealed complete conversion and high H2 production in Xiao et al. [35] investigations, where catalyst was prepared by sol–gel method. In experiments of Kim et al. [36], addition of molybdenum to Ni/SBA–15 catalyst caused an increase in hydrogen selectivity from 65% to 79% and prolonged catalyst lifetime. Barroso et al. [37] found that increase in Ni content (from 1 to 25 mass%) not only increases activity of Ni/Zn/Al catalyst but also increases CO selectivity (from 11% to 58%) at temperature of 773 K. Anjaneyulu et al. [38] experimented with Zn/Al ratio (changing it from 1:2 to 2:1) in Ni/ZnO/Al2O3 catalyst and showed better Ni dispersion and coking resistance for Zn/Al ratio 2:1. Very stable catalyst Ni3Mg2/AlOY, working at very low temperature of 573 K, with about 60% hydrogen selectivity and lack of CO, was formed by Fang team’s [39]. Tricomponent catalysts Ni/CeMnO2 promoted by Cu, Co, K, and Fe were tested by Sohrabi et al. [40]. Cu addition (Ni-Cu/CeMnO2, 5.3–3.6/44/21, mass%) increased conversion from 57% to 70%, the highest H2 yield (60%) was obtained using Fe addition (Ni-Fe/CeMnO2, 6.3–2.8/27/26), but CO level was still high.
There were some works concerning copper–based trimetallic catalysts: Cu/Al2O3/Mn [41], CuO/ZrO2/Me (Me = Ni, Mn, Ga) [42], Cu/Zr/Ni [24], Cu/Ni/Me (Me = Ce, Nb, Si) [43,44], Cu/Ce/Al [8], and Cu/Ce/Zr [45]. Activity of these types of catalysts was investigated in a wide range of temperatures (573–1073 K) and substrate ratios (ethanol/water ratio equal to 1:30–1:3). According to Das et al. [41], copper-based catalysts, as dehydrogenation catalysts, were most effective for maximizing hydrogen production in ESR process. The team led by Das studied ethanol steam reforming process in the presence of Cu/Al2O3 catalysts promoted with manganese. Maximum ethanol conversion of 60.7% and hydrogen yield of 3.74 (mol H2/mol ethanol converted) were observed at temperature of 633 K over catalyst with 2.5 mass% Mn loading, at ethanol/water ratio equal to 1:6 [41]. Dong et al. [45] investigated the effect of four preparation methods: sol-gel, co-precipitation, one-step impregnation, and two-step impregnation on activity of Cu/Ce/Zr (1/9/1 metal ratio) catalysts in carbon monoxide removal from gas rich in hydrogen. They found the best co-precipitation method, with Na2CO3 as precipitant, at calcination temperature of 773 K. Śliwa and Samson [42] used CuO/ZrO2 catalysts doped with Mn, Ni, or Ga in ESR process. The reaction parameters were as follows: temperature of 623 K, ethanol/water ratio equal to 1:10, CuO/ZrO2 ratio equal to 2.3 mass%/mass%, and the concentration of dopants was 5 mass%. The maximum hydrogen yield, 52% of the stoichiometric ethanol efficiency value, was achieved by the addition of nickel. However, it was accompanied with 17% selectivity to CO. Bergamaschi et al. [24] found that addition of 6 mass% of nickel to Cu/Z r catalyst increased specific surface area BET and hydrogen selectivity at 573 K. Dancini-Pontes et al. [43] found that Cu/Ni/CeO2 catalyst revealed much higher resistance to deactivation and better efficiency at temperature of about 723 K, in comparison with Cu/Ni system. The presence of nitrogen in reaction mixture increased hydrogen selectivity of about 20–30% after 8 h reaction course at temperature of 723 K. Snytnikov et al. [8] achieved nearly 20% increase in hydrogen selectivity and only about 2% CO content in the product at relatively low temperature of 623 K by an addition of γ–Al2O3 to CuO/CeO2 catalyst.
The properties of these catalysts depend mainly not only on their composition, especially on active metal content, but also on the parameters of preparation. Activity and lifetime of a catalyst can be improved by a method of preparation. Chen et al. [44] obtained nearly twice an increase in hydrogen yield by significantly lowering the temperature of reduction with hydrogen (from 923 to 623 K) of CuNi/SiO2 catalyst.
The literature data indicate that improvements in catalyst activity and resistance to deactivation can be achieved by introducing a third component, changing the ratio of individual elements in the catalyst, activation parameters, preparation method, and even the composition of the reaction mixture. However, it is difficult to say which of the catalysts presented in the literature was the best because their activities were usually tested under different, often not fully specified conditions, and their activity parameters were also different.
The aim of the presented work was to obtain an active and selective catalyst for hydrogen production in ethanol steam reforming by introducing Ni, Co, or Ce additives to a Cu/Zr binary catalyst studied previously [17].

2. Results and Discussion

2.1. Characteristics of the Catalysts

The phase composition of the catalysts after hydrogen reduction was determined by XRD. The XRD patterns ofthe catalysts after hydrogen reduction are presented in Figure 1.
In the obtained XRD patterns (Figure 1), the Cuo (2θ = 43, 51°) and ZrO2 (2θ = 30°) phases are present. The intensity of XRD peaks related with metallic copper are higher in comparison with XRD peak assigned to ZrO2. This may be caused by the different concentration of these two phases and differences in the crystallite sizes. On the other hand, there are no XRD peaks related to the CoO, NiO, and CeO2 phases in the diffractograms. The lack of these signals can be due to high dispersion of additives in the synthesized catalysts. The crystallite sizes calculated by Scherrer method are presented in Table 1.
The crystallite sizes of Cu0 are larger than others. Large crystallites of copper revealed low dispersion that ranges from 2% for Cu/Zr/Ni catalyst and 1.7% for Cu/Zr/Co to 0.9% for Cu/Zr/Ce [7].
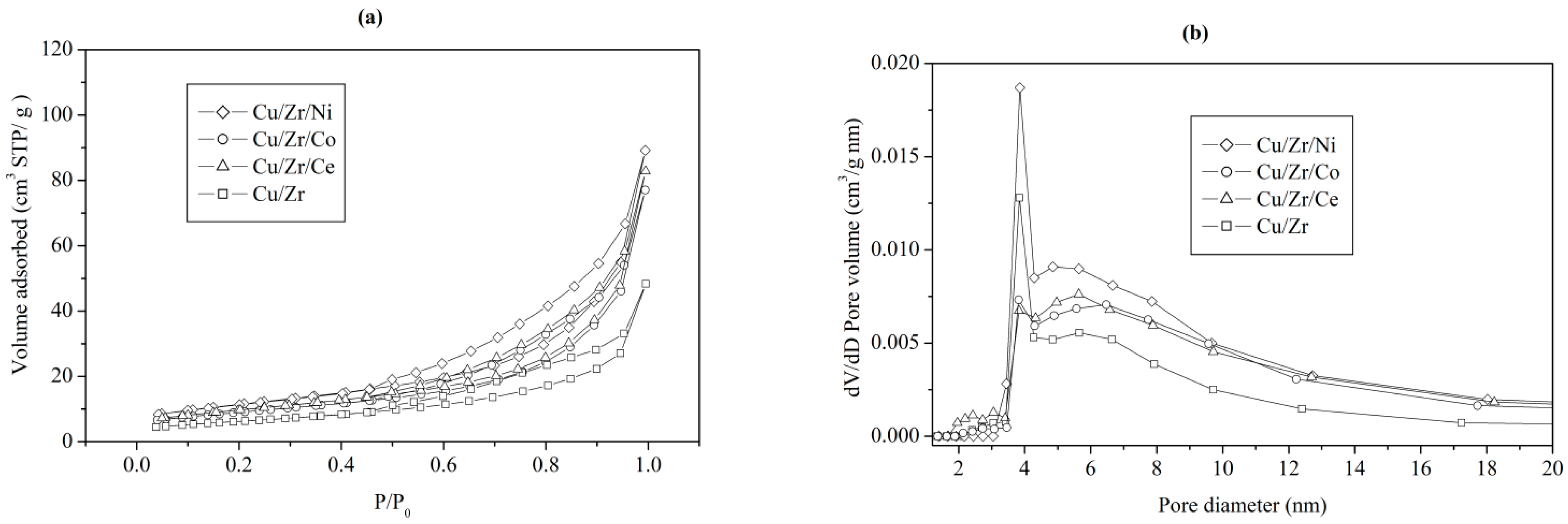
Experimental adsorption and desorption isotherms of nitrogen (77 K) are presented in Figure 2a. The investigated catalysts reveal mesopore structure with homogeneous pore distribution, which is characteristic for capillary condensation typical for the mesopore range. This is supported by the shape of the isotherms, which are of type IV (according to IUPAC classification) with hysteresis loops of type H1 for all tested catalysts (cylindrical pores of almost constant cross-section) (Figure 2a) [46]. Moreover, this is in line with the pore volume distribution profiles exhibiting single narrow peaks with maximum at 4 nm (Figure 2b).
Cu/Zr and Cu/Zr/Ni catalysts havemuch more mesoporous structure compared with Cu/Zr/Co and Ce/Zr/Ce catalysts. The copper surface area (SCu), specific surface area BET (SBET), pore volume (Vp), and average pore diameter (Dp) are presented in Table 1. An addition of an oxide of Ce, Co, or Ni to Cu/Zr catalyst results in about 60–70% increase in SCu and SBET values followed by Vp increase in the following order: Cu/Zr<Cu/Zr/Co<Cu/Zr/Ce<Cu/Zr/Ni. The total pore volume of obtained catalysts reaches about 0.14 cm3/g.
H2–TPR profiles of investigated catalysts are presented in Figure 3. The peaks were observed within the temperature range of 540–583 K. The observed single reduction peak refers solely to the reduction of CuO to Cu0. The addition of Ni or Co or Ce oxides to the Cu/Zr catalyst resulted in a 16-40° decrease in the temperature corresponding to the maximum reduction rate (Tmax) indicating that the dopants (Ni, Co and Ce) facilitate the reduction of CuO [47,48]. An addition of Co oxide to Cu/Zr catalyst causes decrease in the temperature corresponding to maximum reduction (Tmax) rate by 40 K. Similar effect was observed for others dopants, but in this case, shift in Tmax was only by ca. 20 K.
The CO2-TPD experiments were performed in order to evaluate the surface basicity of the synthesized catalysts. The recorded TPD profiles (Figure 4) were analyzed in the temperature range corresponding with temperature at which the steam reforming of ethanol reaction had been carried out.
For all catalysts, the very broad and complex desorption profile is observed with overlapping signals. In order to get insight in the distribution of weak, medium, and strong basic sites, the TPD profiles were deconvoluted into Gaussian peaks. Based on the maxima position of deconvoluted peaks, signals were assigned accordingly to desorption of CO2 from weak (323–423 K), medium (423–513 K), and strong (>513 K) basic sites. Only deconvoluted maxima up to 623 K were used for the calculation of basic sites concentration (Table 2), since this was the final calcination temperature of catalysts.
The maxima that were used for quantitative analysis are marked in the TPD profiles. In the case of all catalysts, the amount of adsorbed CO2 and desorbed CO2 during TPD experiments is the same, meaning that the entire CO2 was desorbed during TPD runs in the analyzed temperature range. According to quantitative results (Table 2), the lowest concentration of basic sites is observed for Cu/Zr (56.2 µmol/g). In the case of this catalyst, the contribution of weak basic sites in total basicity is the highest among synthesized samples (41.3 µmol/g). On the other hand, the modification of Cu/Zr catalysts with dopants leads to increase in total surface basicity in the following order of Cu/Zr/Co<Cu/Zr/Ni<Cu/Zr/Ce. According to literature [49,50] weak basic sites can be related with surface hydroxyl group, medium basic sites with Zr4+−O2− pairs, and the strong basic sites with the low–coordination oxygen anions.
Additionally, the distribution of basic sites for modified catalysts changes in comparison with Cu/Zr. The decrease in concentration of weak basic sites is visible upon catalyst modification with Co and Ce, whereas concentration of weak basic sites decreases. Moreover, in the case of Cu/Zr/Ce, strong basic sites are generated (16.4 µmol/g). For catalyst doped with Ni, the amount of medium basic sites is higher when compared with Cu/Zr but there is no change in concentration of weak basic sites.

2.2. Catalytic Activity

Catalytic activity results are graphically presented in Figure 5, Figure 6, Figure 7 and Figure 8.
All modified catalysts reached about 100% conversion of ethanol (see Figure 5), a slightly higher than basic Cu/Zr catalyst (~90% conversion). The temperature effected the hydrogen yield (see Figure 6) in similar way up to temperature of 550 K, giving the value of 300 L/(kgcat.∙h). In the presence of Cu/Zr/Ni catalyst, further increase in temperature caused the highest increase in hydrogen yield, resulting inthe value of 490 L/(kgcat.∙h) (Table 3); unfortunately accompanied by high production of carbon monoxide (see Figure 7, Table 3), harmful for fuel cells—27% selectivity at 553 K and rapid decrease to 6% selectivity at 593 K. The methane selectivity also reached high value of 36% at 593 K (see Figure 8 and Table 3), but it is not harmful, methane could potentially be used as a source of energy in this endothermic ethanol steam reforming process.
Cu/Zr/Co and Cu/Zr/Ce catalysts revealed similar properties. The hydrogen yield reached similar values, with maximum of about 380 L/(kgcat.∙h) at 573 K (Table 3). Selectivity towards carbon monoxide was low, with a maximum of 3% at 553 K for Cu/Zr/Co catalyst; very low value, below 0.5% for Cu/Zr/Ce catalyst. Baneshi et al. [51] also confirmed such a good selectivity of the cerium-containing catalyst. Methane was not detected in the course of reaction in the presence of Cu/Zr/Ce catalyst, whereas in the presence of Cu/Zr/Co catalyst, it was 3% at temperature of 553 K.
The Cu/Zr/Ni catalyst, which has the highest value of SCu (13 m2/gCu), DCu (2%), and SBET (40 m2/g), exhibited the highest yield to hydrogen (490 L/(kgcat.∙h). On the other hand, Cu/Zr/Co catalyst, whosephysicochemical properties are close to Cu/Zr/Ni catalyst, yields the lower value of hydrogen (about 300 L/(kgcat.∙h), similar to Cu/Zr/Ce (Table 1 and Figure 7).
According to XRD analysis, the Cu/Zr/Co catalyst has large CuO crystallites and the smallest ZrO2 crystallites. This is in agreement with the chemisorption of N2O, which showed that the Cu/Zr/Ce catalyst has low value of metallic copper dispersion and metallic coppers surface area (Table 1) resulting from agglomeration of copper crystallite. This can lead to lower hydrogen yield [52]. Additionally, similar value of hydrogen yield is observed for Cu/Zr/Co catalyst, having the same average pore diameter as Cu/Zr/Ce catalyst. Mastalir et al. [53] in their investigation on methanol steam reforming found that the changes of copper concentration in Cu/Ce/Zr catalyst resulted in altering the microstructure of the Cu particles. An increase in Cu concentration from 5 to 35 wt%, at a constant ZrO2/CeO2 molar ratio of 1/1, resulted in an increase in crystallite size and consequently a decrease in the specific surface area of the active particles and a significant inhibition of CO production.
The increase in the hydrogen yield for modified catalysts can results from higher surface basicity of these catalysts. This is due to the fact that surface sites of higher basicity catalyze the reaction of ethanol dehydrogenation to acetaldehyde (2) [54,55].
During ethanol steam reforming, different types of carbon are being deposited on the catalyst surface, which is one of the reasons for catalyst deactivation [26,56]. This is strongly related with the reaction conditions and used catalysts. According to literature, carbon is formed during Boudouard reaction and dissociation of hydrocarbons molecules [57]. Various forms of carbon can be identified by peak positions in TPO profiles since amorphous carbon is oxidized at low temperature, whereas filamentous carbon undergoes oxidation at higher temperature (>823 K) [58]. The recorded TPO profiles are depicted in Figure 9. Based on the position of peak maxima (502–663 K), it can be stated that carbon deposit is in the amorphous state in the case of all catalysts [59].
In TPO profile for Cu/Zr, two separated CO2 peaks of very small intensity can be visible with the maximum at 502 and 576 K. The amount of calculated carbon deposit is the smallest among spent catalyst and equal to 16.4 CS mg/g. The first peak of CO2 is accompanied by peak of H2O, which is formed during oxidation (maximum at 507 K). The presence of water during oxidation suggests that carbon deposit contains also hydrogen. On the other hand, oxidation of remaining intermediates (CxHyOz), formed during ESR reaction, cannot be excluded since the temperature of oxidation is low [60]. The very low concentration of carbon for Cu/Zr catalyst results from its low activity in ethanol steam reforming. Similarly, water peak is observed for Cu/Zr/Ce catalyst but signal is shifted to higher temperature (557 K) and is of higher intensity in comparison with unmodified catalyst. This is also valid for CO2 signal with the maximum at 550 K. The increase in temperature of surface carbon oxidation is due to stronger carbon interaction with catalyst surface. The amount of carbon deposit is 79.5 mg Cs/g, which is the highest recorded value among spent catalysts. The decrease in concentration of carbon deposit (63.0 mg Cs/g) can be stated for Cu/Zr/Ni in comparison with Cu/Zr/Ce. In this case, there is also fraction of carbon that contains hydrogen since the peak of water during oxidation is present (569 K). Further shift of CO2 peak toward higher temperature is visible in the case of Cu/Zr/Co catalyst. In the TPO profile of this catalyst, there are two separated CO2 peaks at 579 and 663 K. Based on these two signals, the calculated concentration of surface carbon is equal to 49.1 mg Cs/g. Moreover, the absence of H2O peaks proves that carbon deposit does not contain hydrogen and there is no oxidation of surface intermediates. For this catalyst, oxidation of carbon, which is formed on the surface during ethanol steam reforming, is hindered since CO2 peaks emerge at the highest temperature when compared with the rest of spent catalysts.
The clear correlation between hydrogen yield and BET surface area or copper dispersion was not found.

3. Materials and Methods

3.1. Materials

For the synthesis of catalysts, Ni(NO3)2·6H2O, Co(NO3)2·6H2O, Cu(NO3)2·3H2O, Ce(NO3)3·6H2O, and ZrO(NO3)2·H2O were purchased from Sigma–Aldrich USA (St. Louis, MO, USA); citric acid monohydrate was purchased from Stanlab Sp.j. Poland; and 65 mass% nitric acid was purchased from Avantor Performance Materials Poland; all the compounds and reagents were of AR grade. To determine the catalyst activity, ethanol of purity spectrophotometric grade, purchased from Merck KGaA was used.

3.2. Catalysts Preparation

All precursors of Cu, Zr, Co, Ni, and Ce catalysts—oxides—have been prepared according to the method of thermal decomposition of organic complexes containing metallic components of catalyst [61]. Stoichiometric amounts of nitrates of Cu, Zr, Co, Ni, and Ce were carefully added, thoroughly stirred, to the solution of citric acid (concentration of 2 mol/dm3+2% excess). Then, the mixture was evaporated in a rotary vacuum evaporator in temperature of 363 K for around 24 h. The precipitate of formed citrates was carefully oxidized to prevent local overheating and explosive course of the oxidation reaction (temperature program: 360 K, 0.1 K/min; 403 K). The formed mixture of oxides was calcined in a muffle with access of air (temperature program: 373, 473, 523, 573, and 623 K during 1 h).
The reason we used this method is perfectly mixed components thanks to the branched structure of citrates and consequentlyexcellent homogeneity and fully repeatable properties of the prepared catalyst [62]. The conventional method of co-precipitation did not provide such results, although it is usually used, as it is described in the literature.
The last stages of preparation were pelletizing the resulting powder, crushing, and sizing (0.8–1 mm grain). In all obtained catalysts, the ratio of respective metals was about 63/34/4(mass%/mass%/mass%). The composition of the reference Cu/Zr catalyst was equal to 63.8/36.2 (mass%/mass%) (Table 1).

3.3. Catalysts Characterization

Phase analysis based on the X–ray powder diffraction (XRD) measurements was performed on a X’PERT PRO MDP diffractometer with the X’CELERATOR detector, working in Bragg–Brentano geometry. The XRD measurements (at 40 kV and 30 mA) were performed in the 2θ range from 5° to 90° with the interpolated step size 0.02°. The crystallite sizes were calculated from Scherrer method. The XRD phase analysis was performed using reference standards from the International Centre for Diffraction Data (ICDD) PDF–4 database.
The BET surface area was measured with nitrogen adsorption at 77 K using Quantachrome Autosorb-1. Prior to the measurements, samples were preheated and degassed under vacuum at 373 K for 18 h. The pores size distribution profiles were obtained by Barrett–Joyner–Halenda (BJH) method from a desorption branch. The micropore area was obtained by V–t plot method.
The active surface of copper (SCu) in the reduced catalyst was determined with the use of reactive adsorption of N2O at 363 K (VG/Fisons Quartz 200D)according to the method described in [63]. It has been assumed in calculations that the reoxidation of surface copper follows the chemical equation: 2Cu(s) + N2O(g) → Cu2O(s) + N2(g) and that 1 m2 of elemental copper corresponds to 6.1 µmol of O2.
The H2-TPR (temperature-programmed reduction of H2) measurements were performed in ChemBED-3000 (Quantachrome) u-shape quartz flow reactor (diameter ca. 5 mm) at temperature range of 300–1050 K with temperature ramp of 10 K/min and a flow rate of 5% H2 in Ar. Before the TPR analysis, all samples were kept in a stream of helium at 373 K for 1.5 h to remove physically adsorbed water.
The CO2-TPD (CO2 temperature-programmed desorption) measurements were carried out in quartz fixed-bed flow reactor connected online to mass spectrometer (QMG 220 PRISMA PLUS). Prior to TPD run, sample (50 mg) was reduced in 5% H2/Ar flow at 723 K for 1 h. Next, reactor was cooled down to room temperature (RT) and pulses (250 µL) of 5% CO2/Ar were introduced until saturation. Then, sample was flashed with He flow (40 mL/min) for 0.5 h until obtaining stable CO2 line (m/z = 44). TPD was done from RT to 973 K with ∆T = 10 K/min under He flow.
The TPO (temperature-programmed oxidation measurements) of spent catalysts were performed using the same set-up line as for CO2-TPD. For typical TPO run, 20 mg of sample was put in the reactor. Next, sample was oxidized in the stream of 5% O2/He (30 mL/min) in the temperature range of RT-900 K. The following signals (m/z) were monitored with QMS during TPO: 18 (H2O), 32 (O2), and 44 (CO2). The amount of deposited carbon (Cs) was calculated for spent catalysts after time on stream = 50 h. It was assumed that entire carbon undergoes oxidation during TPO according to the following chemical equation: Cs + O2 = CO2. The oxidation of fraction of carbon thatcontained hydrogen was not taken into consideration. The calibration of CO2 mass spectrometer signal was performed by injecting pulses of 5% CO2/He with sampling loop of 250 µL.

3.4. Catalytic Tests

Catalytic experiments were performed in the continuous flow fixed-bed reactor of 8 cm3 volume, made of stainless steel. To obtain the active form, the catalyst sample of 2 g was reduced in a stream of diluted hydrogen (7 vol.% H2 in N2) at temperature of 723 K at atmospheric pressure and stabilized in the mixture of reactants (temperature program: 443 K, 1.5 K/min; 553 K for 4 h). This procedure was repeated until the hydrogen yield was constant. Testing parameters were temperature range dependent on respective catalyst activity of 433–593 K, the reactant flow of 100 mL/min, and ethanol to water initial molar ratio of 1:3 in the stream of pure N2. Previously, the feed nitrogen was deoxidized with the BTS deoxidizer and dehydrated with the molecular sieve of 5 Å. The inlet and outlet gases were directed on-line to the gas chromatograph VARIAN STAR 3800. The gaseous products were analyzed in the system of Carbo Plot P7 column (25 m × 0.53 mm) and Supelcowax 10 column (30 × 0.32 mm). Ethanol was determined quantitatively in the Supelcowax 10 column and FID detector, and the remaining gases were determined in the Carbo Plot P7 column and TCD detector. Additionally, carbon monoxide and methane were determined quantitatively in the methanizer with the sensitivity of 20 ppb.
Activity of tested catalysts was characterized by hydrogen yield, ethanol conversion, and selectivities of carbon monoxide and methane according to formulas given below [64]:
W H 2 = V H 2 m c a t . , ( L / kg cat . · h )
α = F EtOH in F EtOH out F EtOH in 100 , ( % )
S i = F i out 2 ( F E t O H i n F E t O H o u t ) 100 , ( % ) ,
where mcat.(g)—catalyst mass, V H 2 (L/h)—volume flow rate of hydrogen, F i i n and F i o u t (mol/h)—molar flow rate of i-th component at input and output (CO, CH4), respectively, and EtOH - ethanol.

4. Conclusions

The investigations on activity of tricomponent copper-based catalysts have been conducted, focusing on those applied in the ethanol steam reforming process. The properties of these catalysts were compared with those of the tested bicomponent Cu/Zr catalyst and prepared according to the same procedure. Relatively low reaction temperature using copper-based catalysts and very low value of carbon monoxide selectivity are important advantages. The disadvantage was not of sufficient value for hydrogen yield.
Among investigated Cu/Zr/Co, Cu/Zr/Ni, and Cu/Zr/Ce, the best performance was achieved for Cu/Zr/Ce catalyst. A hydrogen yield of 400 L/(kgcat.∙h) with ethanol conversion close to 100% with the lowest selectivity towards CO was obtained in the presence of this catalyst at 573 K. It must be highlighted that the selectivity towards carbon monoxide was below a value of 0.5%, required for use in fuel cells.
The addition of nickel to the Cu/Zr catalyst improved hydrogen yield to the highest value of 500 L/(kgcat.∙h), but unfortunately it generates large amounts of carbon monoxide (selectivity reached 27%) and methane (selectivity reached 36%). The addition of cobalt to the Cu/Zr catalyst caused increase in hydrogen yield similarly to that caused by the cerium addition. However, selectivity towards carbon monoxide was higher.
Further investigations on the application of Cu/Zr/Ce catalyst in the ethanol steam reforming process should be focused to wider analyses of the role and concentration of cerium.

Author Contributions

Conceptualization, M.M.-L. and Ł.H.; methodology, M.M.-L.; investigation, Ł.H., M.Ś., K.S. and M.R.-M.; data curation, Ł.H., M.M.-L., M.K., M.Ś., K.S. and M.R.-M.; writing—original draft preparation, Ł.H., M.M.-L., M.K.; writing—review and editing, Ł.H., M.M.-L., M.K., M.Ś.; supervision, M.M.-L., M.K. All authors have read and agreed to the published version of the manuscript.

Funding

The work was in part supported by National Science Center within the project SONATA, No: 2016/23/D/ST4/02492, 2017-2020 (M.Ś).

Data Availability Statement

Institute of Chemical Engineering, Polish Academy of Sciences, 5 Bałtycka Street, 44-100 Gliwice, Poland and Jerzy Haber Institute of Catalysis and Surface Chemistry, Polish Academy of Sciences, 8 Niezapominajek Street, 30-239 Krakow, Poland.

Conflicts of Interest

The authors declare no conflict of interest.

References

  1. Ogo, S.; Sekine, Y. Recent progress in ethanol steam reforming using non-noble transition metal catalysts: A review. Fuel Process. Technol. 2020, 199, 106238–106249. [Google Scholar] [CrossRef]
  2. Gonzalez-Gil, R.; Chamorro-Burgos, I.; Herrera, C.; Larrubia, M.A.; Laborde, M.; Marino, F.; Alemany, L.J. Production of hydrogen by catalytic steam reforming of oxygenated model compounds on Ni-modified supported catalysts. Simulation and experimental study. Int. J. Hydrogen Energy 2015, 40, 11217–11227. [Google Scholar] [CrossRef]
  3. Madej-Lachowska, M.; Kulawska, M.; Słoczyński, J. Methanol as a high purity hydrogen source for fuel cells: A brief review of catalysts and rate expressions. Chem. Proc. Eng. 2017, 38, 147–162. [Google Scholar] [CrossRef]
  4. Rashid, M.M.; Al Mesfer, M.K.; Naseem, H.; Danish, M. Hydrogen Production by Water Electrolysis: A Review of Alkaline Water Electrolysis, PEM Water Electrolysis and High Temperature Water Electrolysis. Int. J. Eng. Adv. Technol. 2015, 4, 80–93. [Google Scholar]
  5. Luo, M.; Yi, Y.; Wang, S.; Wang, Z.; Du, M.; Pan, J.; Wang, Q. Review of hydrogen production using chemical-looping technology. Renew. Sust. Energy Rev. 2018, 81, 3186–3214. [Google Scholar] [CrossRef]
  6. Li, Y.; Zhang, Z.; Jia, P.; Dong, D.; Wang, Y.; Hu, S.; Xiang, J.; Liu, Q.; Hu, X. Ethanol steam reforming over cobalt catalysts: Effect of a range of additives on the catalytic behaviors. J. Energy Inst. 2020, 93, 165–184. [Google Scholar] [CrossRef]
  7. Vizcaino, A.J.; Carrero, A.; Calles, J.A. Hydrogen production by ethanol steam reforming over Cu–Ni supported catalysts. Int. J. Hydrogen Energy 2007, 32, 1450–1461. [Google Scholar] [CrossRef]
  8. Snytnikov, P.V.; Badmaev, S.D.; Volkova, G.G.; Potemkin, D.I.; Zyryanova, M.M.; Belyaev, V.D. Catalysts for hydrogen production in a multifuel processor by methanol, dimethyl ether and bioethanol steam reforming for fuel cell applications. Int. J. Hydrogen Energy 2012, 37, 16388–16396. [Google Scholar] [CrossRef]
  9. Moraes, T.S.; Borges, L.E.P.; Farrauto, R.; Noronha, F.B. Steam reforming of ethanol on Rh/SiCeO2washcoated monolith catalyst: Stable catalyst performance. Int. J. Hydrogen Energy 2018, 43, 115–126. [Google Scholar] [CrossRef]
  10. Palma, V.; Castaldo, F.; Ciambelli, P.; Iaquaniello, G. H2 Production for MC Fuel Cell by Steam Reforming of Ethanol Over MgO Supported Pd, Rh, Ni and Co Catalysts. Appl. Catal. B Environ. 2014, 145, 73–84. [Google Scholar] [CrossRef]
  11. Jia, H.; Zhang, J.; Yu, J.; Yang, X.; Sheng, X.; Xu, H.; Sun, C.; Shen, W.; Goldbach, A. Efficient H2 production via membrane-assisted ethanol steam reforming over Ir/CeO2 catalyst. Int. J. Hydrogen Energy 2019, 44, 24733–24745. [Google Scholar] [CrossRef]
  12. Morales, M.; Segarra, M. Steam reforming and oxidative steam reforming of ethanol over La0.6Sr0.4CoO3−δ perovskite as catalyst precursor for hydrogen production. Appl. Catal. A Gen. 2015, 502, 305–311. [Google Scholar] [CrossRef]
  13. Liu, F.; Qu, Y.; Yue, Y.; Liu, G.; Liu, Y. Nano bimetallic alloy of Ni-Co obtained fromLaCoxNi1xO3 and its catalytic performance for steam reforming of ethanol. RSC Adv. 2015, 5, 16837–16916. [Google Scholar]
  14. Moraes, T.S.; Neto, R.C.R.; Ribeiro, M.C.; Mattos, L.V.; Kourtelesis, M.; Ladas, S. Thestudy of the performance of PtNi/CeO2–nanocube catalysts for low temperaturesteam reforming of ethanol. Catal. Today 2015, 242, 35–49. [Google Scholar] [CrossRef]
  15. Chiou, J.Y.Z.; Lee, C.-L.; Ho, K.-F.; Huang, H.-H.; Yu, S.-W.; Wang, C.-B. Catalytic performance of Pt-promoted cobalt-based catalysts for the steam reforming of ethanol. Int. J. Hydrogen Energy 2014, 39, 5653–5662. [Google Scholar] [CrossRef]
  16. Wang, F.; Cai, W.; Provendier, H.; Schuurman, Y.; Descorme, C.; Mirodatos, C. Hydrogen production from ethanol steam reforming over Ir/CeO2 catalysts: Enhanced stability by PrOx promotion. Int. J. Hydrogen Energy 2011, 36, 13566–13574. [Google Scholar] [CrossRef]
  17. Hamryszak, Ł.; Madej–Lachowska, M.; Kulawska, M.; Ruggiero-Mikołajczyk, M.; Samson, K.; Śliwa, M. Investigation on binary copper-based catalysts used in the ethanol steam reforming process. React. Kinet. Catal. Mech. 2020, 130, 727–739. [Google Scholar] [CrossRef]
  18. Fajardo, H.V.; Longo, E.; Mezalira, D.; Nuernberg, G.; Almerindo, G.; Collasiol, A.; Probst, L.F.D.; Garcia, I.T.S.; Carreño, N.L.V. Influence of support on catalytic behavior of nickel catalysts in the steam reforming of ethanol for hydrogen production. Environ. Chem. Lett. 2010, 8, 79–85. [Google Scholar] [CrossRef]
  19. Araiza, D.G.; Gómez-Cortés, A.; Díaz, G. Effect of ceria morphology on the carbon deposition during steam reforming of ethanol over Ni/CeO2 catalysts. Catal. Today 2020, 349, 235–243. [Google Scholar] [CrossRef]
  20. Fatsikostas, A.N.; Kondarides, D.I.; Verykios, X.E. Production of hydrogen for fuel cells by reformation of biomass-derived ethanol. Catal. Today 2002, 75, 145–155. [Google Scholar] [CrossRef]
  21. Rossetti, I.; Lasso, J.; Finocchio, E.; Ramis, G.; Nichele, V.; Signoretto, M.; Di Michele, A. TiO2-supported catalysts for the steam reforming of ethanol. Appl. Catal. A Gen. 2014, 477, 42–53. [Google Scholar] [CrossRef]
  22. Pinton, N.; Vidal, M.V.; Signoretto, M.; Martínez-Arias, A.; Cortés Corberán, V. Ethanol steam reforming on nanostructured catalysts of Ni, Co and CeO2: Influence of synthesis method on activity, deactivation and regenerability. Catal. Today 2017, 296, 135–143. [Google Scholar] [CrossRef]
  23. Li, S.; Li, M.; Zhang, C.; Wang, S.; Ma, X.; Gong, J. Steam reforming of ethanol over Ni/ZrO2 catalysts: Effect of support on product distribution. Int. J. Hydrogen Energy 2012, 37, 2940–2949. [Google Scholar] [CrossRef]
  24. Bergamaschi, V.S.; Carvalho, F.M.S.; Rodrigues, C.; Fernandes, D.B. Preparation and evaluation of zirconia microspheres as inorganic exchanger in adsorption of copper and nickel ions and as catalyst in hydrogen production from bioethanol. Chem. Eng. J. 2005, 112, 153–158. [Google Scholar] [CrossRef]
  25. Ni, M.; Leung, D.Y.C.; Leung, M.K.H. A review on reforming bio-ethanol for hydrogen production. Int. J. Hydrogen Energy 2007, 32, 3238–3247. [Google Scholar] [CrossRef]
  26. Sharma, Y.C.; Kumar, A.; Prasad, R.; Upadhyay, S.N. Ethanol steam reforming for hydrogen production: Latest and effective catalyst modification strategies to minimize carbonaceous deactivation. Renew. Sustain. Energy Rev. 2017, 74, 89–103. [Google Scholar] [CrossRef]
  27. Madej-Lachowska, M.; Moroz, H.; Wyżgoł, H.; Hamryszak, Ł. The investigation of activity the bimetallic catalysts based on nickel oxide, cobalt oxide, cerium oxide in ethanol steam reforming (ESR). In Research Papers of the Institute of Chemical Engineering; Polish Academy of Sciences: Warsaw, Poland, 2017; Volume 21, pp. 99–117. [Google Scholar]
  28. Batista, M.S.; Santos, R.K.S.; Assaf, E.M.; Assaf, J.M.; Ticianelli, E.A. High efficiency steam reforming of ethanol by cobalt-based catalysts. J. Power Sources 2004, 134, 27–32. [Google Scholar] [CrossRef]
  29. Augusto, B.L.; Ribeiro, M.C.; Aires, F.J.C.S.; da Silva, V.T.; Noronha, F.B. Hydrogen production by the steam reforming of ethanol over cobalt catalysts supported on different carbon nanostructures. Catal. Today 2020, 344, 66–74. [Google Scholar] [CrossRef]
  30. Greluk, M.; Rotko, M.; Słowik, G.; Turczyniak-Surdacka, S. Hydrogen production by steam reforming of ethanol over Co/CeO2 catalysts: Effect of cobalt content. J. Energy Inst. 2019, 92, 222–238. [Google Scholar] [CrossRef]
  31. Kulawska, M.; Madej-Lachowska, M.; Hamryszak, Ł.; Moroz, H.; Wyżgoł, H. Application of copper catalyst to the hydrogen production by steam reforming of ethanol. Przem. Chem. 2019, 98, 1992–1995. [Google Scholar]
  32. de Lima, S.M.; Silva, A.M.; Graham, U.M.; Jacobs, G.; Davis, B.H.; Mattos, L.V. Ethanol decomposition and steam reforming of ethanol over CeZrO2 and Pt/CeZrO2 catalyst: Reaction mechanism and deactivation. Appl. Catal. A Gen. 2009, 352, 95–113. [Google Scholar] [CrossRef]
  33. Dan, M.; Mihet, M.; Tasnadi-Asztalos, Z.; Imre-Lucaci, A.; Katona, G.; Lazar, M.D. Hydrogen production by ethanol steam reforming on nickel catalysts: Effect ofsupport modification by CeO2 and La2O3. Fuel 2015, 147, 260–268. [Google Scholar] [CrossRef]
  34. Montero, C.; Remiro, A.; Arandia, A.; Benito, P.L.; Bilbao, J.; Gayubo, A.G. Reproducible performance of a Ni/La2O3–αAl2O3 catalyst in ethanol steam reforming under reaction–regeneration cycles. Fuel Process. Technol. 2016, 152, 215–222. [Google Scholar] [CrossRef]
  35. Xiao, Z.; Wu, C.; Wang, L.; Xu, J.; Zheng, Q.; Pan, L.; Zou, J.; Zhang, X.; Li, G. Boosting hydrogen production from steam reforming of ethanol on nickel by lanthanum doped ceria. Appl. Catal. B Environ. 2021, 286, 119884–119897. [Google Scholar] [CrossRef]
  36. Kim, D.; Kwak, B.S.; Park, N.-K.; Han, G.B.; Kang, M. Dynamic hydrogen production from ethanol steam-reforming reaction on NixMoy/SBA-15 catalytic system. Int. J. Energy Res. 2015, 39, 279–292. [Google Scholar] [CrossRef]
  37. Barroso, M.N.; Gomez, M.F.; Arrua, L.A.; Abello, M.C. Hydrogen production by ethanol reforming over NiZnAl catalysts. Appl. Catal. A Gen. 2006, 304, 116–123. [Google Scholar] [CrossRef]
  38. Anjaneyulu, C.; da Costa, L.O.O.; Ribeiro, M.C.; Rabelo-Neto, R.C.; Mattos, L.V.; Venugopal, A.; Noronh, F.B. Effect of Zn addition on the performance of Ni/Al2O3 catalyst for steam reforming of ethanol. Appl. Catal. A Gen. 2016, 519, 85–98. [Google Scholar] [CrossRef]
  39. Fang, W.; Paul, S.; Capron, M.; Biradar, A.V.; Umbarkar, S.B.; Dongare, M.K. Highlyloaded well dispersed stable Ni species in NiXMg2AlOYnanocomposites: Applicationto hydrogen production from bioethanol. Appl. Catal. B Environ. 2015, 166, 485–496. [Google Scholar] [CrossRef]
  40. Sohrabi, S.; Irankhah, A. Synthesis, characterization, and catalytic activity of Ni/CeMnO2 catalysts promoted by copper, cobalt, potassium and iron for ethanol steam reforming. Int. J. Hydrogen Energy. 2021, 46, 12846–12856. [Google Scholar] [CrossRef]
  41. Das, N.K.; Dalai, A.K.; Ranganathan, R. Hydrogen Yield from Low Temperature Steam Reforming of Ethanol. Can. J. Chem. Eng. 2007, 85, 92–100. [Google Scholar] [CrossRef]
  42. Śliwa, M.; Samson, K. Steam reforming of ethanol over copper-zirconiabased catalysts doped with Mn, Ni, Ga. Int. J. Hydrogen Energy 2021, 46, 555–564. [Google Scholar] [CrossRef]
  43. Dancini-Pontes, I.; DeSouza, M.; Silva, F.A.; Scaliante, M.H.N.O.; Alonso, C.G.; Bianchi, G.S.; Neto, A.M.; Pereira, G.M.; Fernandes-Machado, N.R.C. Influence of the CeO2 and Nb2O5 supports and the inert gas in ethanol steamreforming for H2 production. Chem. Eng. J. 2015, 273, 66–74. [Google Scholar] [CrossRef]
  44. Chen, L.-C.; Lin, S.D. Effects of the pretreatment of CuNi/SiO2 on ethanol steam reforming: Influence of bimetal morphology. Appl. Catal. B Environ. 2014, 148–149, 509–519. [Google Scholar] [CrossRef]
  45. Donga, X.-F.; Zoub, H.-B.; Lin, W.-M. Effect of preparation conditions of CuO-CeO2-ZrO2 catalyst on CO removal from hydrogen-rich gas. Int. J. Hydrogen Energy 2006, 31, 2337–2344. [Google Scholar] [CrossRef]
  46. Ziółek, M.; Nowak, I. Kataliza Heterogeniczna–Wybrane Zagadnienia; Wydawnictwo Naukowe UAM: Poznań, Poland, 1999. [Google Scholar]
  47. Bahari, M.B.; Phuc, N.H.H.; Abdullah, B.; Alenazey, F.; Vo, D.-V.N. Ethanol dry reforming for syngas production over Ce-promoted Ni/Al2O3 catalyst. J. Environ. Chem. Eng. 2016, 4, 4830–4838. [Google Scholar] [CrossRef]
  48. Basahel, S.N.; Mokhtar, M.; Alsharaeh, E.H.; Ali, T.T.; Mahmoud, H.A.; Narasimharao, K. Physico-Chemical and Catalytic Properties of Mesoporous CuO-ZrO2 Catalysts. Catalysts 2016, 6, 57–77. [Google Scholar] [CrossRef]
  49. Gao, P.; Li, F.; Zhan, H.J.; Zhao, N.; Xiao, F.K.; Wei, W.; Zhong, L.S.; Wang, H.; Sun, Y.H. Influence of Zr on the performance of Cu/Zn/Al/Zr catalysts via hydrotalcite-like precursors for CO2 hydrogenation to methanol. J. Catal. 2013, 298, 51–60. [Google Scholar] [CrossRef]
  50. Díez, V.K.; Apesteguía, C.R.; Di Cosimo, J.I. Acid–base properties and active site requirements for elimination reactions on alkali-promoted MgO catalysts. Catal. Today 2000, 63, 53–62. [Google Scholar] [CrossRef]
  51. Baneshi, J.; Haghighi, M.; Jodeiri, N.; Abdollahifar, M.; Ajamein, H. Homogeneous precipitation synthesis of CuO–ZrO2–CeO2–Al2O3nanocatalyst used in hydrogen production via methanol steamreforming for fuel cell applications. Energy Convers. Manage. 2014, 87, 928–937. [Google Scholar] [CrossRef]
  52. Wang, G.; Zuo, Y.; Han, M.; Wang, J. Copper crystallite size and methanol synthesis catalytic property of Cu-based catalysts promoted by Al, Zr and Mn. Reac. Kinet. Mech. Cat. 2010, 101, 443–454. [Google Scholar] [CrossRef]
  53. Mastalir, A.; Frank, B.; Szizybalski, A.; Soerijanto, H.; Deshpande, A.; Niederberger, M.; Schomäcker, R.; Schlögl, R.; Ressler, T. Steam reforming of methanol over Cu/ZrO2/CeO2 catalysts: A kinetic study. J. Catal. 2005, 230, 464–475. [Google Scholar] [CrossRef]
  54. Binet, C.; Daturi, M.; Lavalley, J.C. IR study of polycrystalline ceria properties in oxidised and reduced states. Catal. Today 1999, 50, 207–225. [Google Scholar] [CrossRef]
  55. Ebiad, M.A.; Abd El-Hafiz, D.R.; Elsalamony, R.A.; Mohamed, L.S. Ni supported high surface area CeO2–ZrO2 catalysts for hydrogen production from ethanol steam reforming. RSC Adv. 2012, 2, 8145–8156. [Google Scholar] [CrossRef]
  56. Wang, J.H.; Lee, C.S.; Lin, M.C. Mechanism of ethanol reforming: Theoretical foundations. J. Phys. Chem. C. 2009, 113, 6681–6688. [Google Scholar] [CrossRef]
  57. Mattos, L.V.; Jacobs, G.; Davis, B.H.; Noronha, F.B. Production of hydrogen from ethanol: Review of reaction mechanism and catalyst deactivation. Chem. Rev. 2012, 112, 4094–4123. [Google Scholar] [CrossRef] [PubMed]
  58. Song, J.H.; Yoo, S.; Yoo, J.; Park, S.; Gim, M.Y.; Kim, T.H.; Song, I.K. Hydrogen production by steam reforming of ethanol over Ni/Al2O3-La2O3 xerogel catalysts. Mol. Catal. 2017, 434, 123–133. [Google Scholar] [CrossRef]
  59. Sharma, P.K.; Saxena, N.; Bhatt, A.; Rajagopal, C.; Roy, P.K. Synthesis of mesoporous bimetallic Ni-Cu catalysts supported over ZrO2 by a homogenous urea coprecipitation method for catalytic steam reforming of ethanol. Catal. Sci. Technol. 2013, 3, 1017–1026. [Google Scholar] [CrossRef]
  60. Cai, W.; Wang, F.; Zhan, E.; Van Veen, A.C.; Mirodatos, C.; Shen, W. Hydrogen production from ethanol over Ir/CeO2 catalysts: A comparative study of steam reforming, partial oxidation and oxidative steam reforming. J. Catal. 2008, 257, 96–107. [Google Scholar] [CrossRef]
  61. Courty, P.; Ajot, H.; Marcilly, C.; Delmon, B. Oxydesmixtesou en solution solide sous formetrèsdiviséeobtenus par décompositionthermique de précurseursamorphes. Powder Technol. 1973, 7, 21–38. [Google Scholar] [CrossRef]
  62. Lachowska, M. Steam reforming of methanol over Cu/Zn/Zr/Ga catalyst: Effect of the reduction conditions on the catalytic performance. Reac. Kinet. Mech. Cat. 2010, 101, 85–91. [Google Scholar] [CrossRef]
  63. Żelazny, A.; Samson, K.; Grabowski, R.; Śliwa, M.; Ruggiero-Mikołajczyk, M.; Kornas, A. Hydrogenolysis of glycerol to propylene glycol over Cu/oxide catalysts: Influence of the support and reaction conditions. Reac. Kinet. Mech. Cat. 2017, 121, 329–343. [Google Scholar] [CrossRef]
  64. Szarawara, J.; Skrzypek, J.; Gawdzik, A. Podstawy Inżynierii Reaktorów Chemicznych, 2nd ed.; WNT: Warsaw, Poland, 1991; pp. 20–45. [Google Scholar]
Figure 1. XRD patterns of tested catalysts after hydrogen reduction.
Figure 1. XRD patterns of tested catalysts after hydrogen reduction.
Catalysts 11 00575 g001
Figure 2. (a) N2 adsorption/desorption isotherms (77 K) and (b) pore size distribution of the catalysts.
Figure 2. (a) N2 adsorption/desorption isotherms (77 K) and (b) pore size distribution of the catalysts.
Catalysts 11 00575 g002
Figure 3. Temperature-programmed reduction of H2(H2–TPR) profiles of tested catalysts.
Figure 3. Temperature-programmed reduction of H2(H2–TPR) profiles of tested catalysts.
Catalysts 11 00575 g003
Figure 4. CO2 temperature-programmed desorption(CO2-TPD) profiles for (a) Cu/Zr/N, (b) Cu/Zr/Co, (c) Cu/Zr/Ce and (d) Cu/Zr: signal—black line, cumulative curve—red line, deconvoluted peaks used for quantification—green line, temperature—dashed line. (For interpretation of the references to color in this figure legend, the reader is referred to the Web version of this article).
Figure 4. CO2 temperature-programmed desorption(CO2-TPD) profiles for (a) Cu/Zr/N, (b) Cu/Zr/Co, (c) Cu/Zr/Ce and (d) Cu/Zr: signal—black line, cumulative curve—red line, deconvoluted peaks used for quantification—green line, temperature—dashed line. (For interpretation of the references to color in this figure legend, the reader is referred to the Web version of this article).
Catalysts 11 00575 g004
Figure 5. The effect of temperature on ethanol conversion in ethanol steam reforming (ESR) over tested catalysts.
Figure 5. The effect of temperature on ethanol conversion in ethanol steam reforming (ESR) over tested catalysts.
Catalysts 11 00575 g005
Figure 6. The effect of temperature on H2 yield in ESR over tested catalysts.
Figure 6. The effect of temperature on H2 yield in ESR over tested catalysts.
Catalysts 11 00575 g006
Figure 7. The effect of temperature on CO selectivity in ESR over tested catalysts.
Figure 7. The effect of temperature on CO selectivity in ESR over tested catalysts.
Catalysts 11 00575 g007
Figure 8. The effect of temperature on CH4 selectivity in ESR over tested catalysts.
Figure 8. The effect of temperature on CH4 selectivity in ESR over tested catalysts.
Catalysts 11 00575 g008
Figure 9. TPO profiles for spent catalysts: CO2—red line and H2O—blue line (signal multiplied by factor of 8).
Figure 9. TPO profiles for spent catalysts: CO2—red line and H2O—blue line (signal multiplied by factor of 8).
Catalysts 11 00575 g009
Table 1. Composition, textural properties, and size of crystallites of tested catalysts.
Table 1. Composition, textural properties, and size of crystallites of tested catalysts.
CatalystCuO (mass%)ZrO2
(mass%)
Other Metal Oxides a
(mass%)
Size of Crystallites b (nm)SCu c
(m2/gCu)
SBET d
(m2/g)
Vp
(cm3/g)
Dp
(nm)
DCu
(%)
Cu0
(111)
ZrO2
(111)
Cu/Zr/Ni63.332.7437.86.313400.14132.0
Cu/Zr/Co63.332.7432.85.611320.12151.7
Cu/Zr/Ce63.332.7475.04.76350.13150.9
Cu/Zr63.836.223.15.53230.07130.5
a Co3O4, NiO, and CeO; b after hydrogen reduction; c measured by dissociative N2O adsorption; d measured by N2 adsorption at 77 K.
Table 2. Quantitative analysis of basic sites for synthesized catalysts.
Table 2. Quantitative analysis of basic sites for synthesized catalysts.
CatalystBasic Sites (µmol/g)Amount of CO2 Adsorbed (µmol)Amount of CO2 Desorbed (µmol)Total Basicity (µmol/g)
WeakMediumStrong
CuZrNi40.439.63.94.079.9
CuZrCo25.142.83.33.367.9
CuZrCe34.245.416.45.14.996.0
CuZr41.313.91.02.92.856.2
Table 3. Maximum hydrogen yield at corresponding temperature for tested catalysts.
Table 3. Maximum hydrogen yield at corresponding temperature for tested catalysts.
Catalyst W H 2 max
(L/kgcat·h)
T
(K)
α
(%)
SCO
(%)
S C H 4
(%)
Cu/Zr/Ni4905931005.335.9
Cu/Zr/Co360573971.80.3
Cu/Zr/Ce378573990.10.0
Cu/Zr309533910.00.0
Publisher’s Note: MDPI stays neutral with regard to jurisdictional claims in published maps and institutional affiliations.

Share and Cite

MDPI and ACS Style

Hamryszak, Ł.; Kulawska, M.; Madej-Lachowska, M.; Śliwa, M.; Samson, K.; Ruggiero-Mikołajczyk, M. Copper Tricomponent Catalysts Application for Hydrogen Production from Ethanol. Catalysts 2021, 11, 575. https://doi.org/10.3390/catal11050575

AMA Style

Hamryszak Ł, Kulawska M, Madej-Lachowska M, Śliwa M, Samson K, Ruggiero-Mikołajczyk M. Copper Tricomponent Catalysts Application for Hydrogen Production from Ethanol. Catalysts. 2021; 11(5):575. https://doi.org/10.3390/catal11050575

Chicago/Turabian Style

Hamryszak, Łukasz, Maria Kulawska, Maria Madej-Lachowska, Michał Śliwa, Katarzyna Samson, and Małgorzata Ruggiero-Mikołajczyk. 2021. "Copper Tricomponent Catalysts Application for Hydrogen Production from Ethanol" Catalysts 11, no. 5: 575. https://doi.org/10.3390/catal11050575

APA Style

Hamryszak, Ł., Kulawska, M., Madej-Lachowska, M., Śliwa, M., Samson, K., & Ruggiero-Mikołajczyk, M. (2021). Copper Tricomponent Catalysts Application for Hydrogen Production from Ethanol. Catalysts, 11(5), 575. https://doi.org/10.3390/catal11050575

Note that from the first issue of 2016, this journal uses article numbers instead of page numbers. See further details here.

Article Metrics

Back to TopTop