Next Article in Journal
Lipase Immobilized on MCFs as Biocatalysts for Kinetic and Dynamic Kinetic Resolution of sec-Alcohols
Next Article in Special Issue
Characterization and Structure Elucidation of Binary Zr:Ti MEL Structure; Simultaneous Photodegradation/Removal of Organic–Inorganic Pollutants
Previous Article in Journal
Self-Assembled Hybrid ZnO Nanostructures as Supports for Copper-Based Catalysts in the Hydrogenolysis of Glycerol
 
 
Font Type:
Arial Georgia Verdana
Font Size:
Aa Aa Aa
Line Spacing:
Column Width:
Background:
Article

In Situ IR Studies on the Mechanism of Dimethyl Carbonate Synthesis from Methanol and Carbon Dioxide †

by
Khalid A. Almusaiteer
1,
Sulaiman I. Al-Mayman
2,*,
Aghaddin Mamedov
3 and
Yousef S. Al-Zeghayer
4
1
SABIC Corporate T&I, Thuwal 23955-6900, Saudi Arabia
2
Energy and Water Research Institute, King Abdulaziz City for Science and Technology, P.O. Box 6086, Riyadh 11442, Saudi Arabia
3
SABIC Corporate T&I, 1600 Industrial Blvd, Sugar Land, TX 77478, USA
4
Department of Chemical Engineering, King Saud University, P.O. Box 800, Riyadh 11421, Saudi Arabia
*
Author to whom correspondence should be addressed.
This work was conducted at Riyadh College of Technology, Salahuddin District, Riyadh 12433, Saudi Arabia.
Catalysts 2021, 11(4), 517; https://doi.org/10.3390/catal11040517
Submission received: 31 March 2021 / Revised: 15 April 2021 / Accepted: 16 April 2021 / Published: 20 April 2021
(This article belongs to the Special Issue Catalysts for Advanced Synthesis)

Abstract

The synthesis of dimethyl carbonate (DMC) from methanol and Carbon dioxide (CO2) has been investigated over 5% Rh/Al2O3 catalyst. Diffuse Reflectance Infrared Fourier Transfer Spectroscopy (DRIFTS) was used to probe the reaction adsorbates which showed that activation of methanol and CO2 involves generation of intermediate methoxy species and formate ingredients, participating in elementary steps of DMC formation. Formation of DMC involves parallel routes comprising interaction of the OH group of Al2O3 through an acid/base mechanism and formate pathway with participation of metal sites. DMC in acid/base pathway is formed via methoxy species to form methoxy carbonate (CH3O)CO2 (active adsorbate), which then reacts with the methyl species to form DMC. The pathway involving metal Rh sites generates an additional elementary step for the involvement of CO2 in the reaction through active formate species. The synergy of parallel pathways determines the performance of the 5% Rh/Al2O3 catalyst. Further improvement of catalyst performance should be based on such a feature of the reaction mechanism.

Graphical Abstract

1. Introduction

Utilization of CO2 to form useful chemicals is one component of the urgent need to control CO2 emissions [1]. Activation and utilization of CO2 still is problematic due to the consumption of a high amount of energy for endothermic reactions of CO2 conversion to feedstock. Activation of CO2 into useful chemicals under mild, low-temperature conditions could be one of the efficient routes for CO2 utilization. Production of dimethyl carbonate (DMC) one of such route for CO2 utilization in chemical synthesis:
2CH3OH + CO2 → (CH3O)2CO + H2O
DMC is considered an environmentally friendly and oxygenated fuel additive (i.e., octane enhancer). Conversion of methanol with CO2 can be an alternative route for the development of an efficient technology for DMC production, which requires designing an effective catalyst composition, allowing conversion of CO2 at mild conditions.
There are multiple industrial routes to produce DMC, and the reaction of oxidative carbonylation of methanol with CO in the presence of oxygen is one of these most-investigated routes [2,3,4,5,6]. The supported (X or Y zeolite, SiO2) Cu catalysts are the most efficient catalysts used for this reaction. However, the catalysts applied for oxidative carbonylation undergo deactivation due to the change in particle size and sintering of metal active sites [4,5,6]. Besides that, oxidative carbonylation of methanol to DMC requires CO resources, which leads to additional costs for the production of DMC. The direct synthesis of DMC from methanol and CO2 is an attractive route which involves CO2 directly in the reaction and eliminates the CO production step [2,7,8,9,10,11]. The problem of the direct synthesis of DMC from methanol and CO2 is the low yield, which is due to the low rate of CO2 conversion at mild conditions.
Designing a highly active catalyst for co-conversion of methanol and CO2 at mild conditions requires understanding the principles of substrate activation to form active adsorbates (i.e., adsorbed species) and role of reaction intermediates in the reaction mechanism of DMC generation. Several proposals were suggested on mechanism of CO2 activation and its insertion to reaction intermediates, leading to DMC formation [8,12,13,14].
However, the corresponding literature data on reaction mechanisms are contradictory, and involve different mechanisms on the involvement of CO2 to DMC and cleavage of C-O bonds for removal of one oxygen atom from CO2 molecules. In this paper we applied the Diffuse Reflectance Infrared Fourier Transfer Spectroscopy (DRIFTS) technique to probe the active form of adsorbates and reaction intermediates, as well as to understand the reaction mechanism in the presence of a noble-metal-based 5% Rh/Al2O3 catalyst. This mechanistic study will help to acquire additional information for the improvement of catalyst performance working at mild conditions.

2. Results and Discussion

Figure 1 shows the IR spectra of pure gaseous methanol, CO2, DMC, and dimethyl ether (DME). The IR spectra show different IR features for each component, which will be used to discern the overlapping of adsorbates with gaseous species during the DMC synthesis from methanol and CO2. Figure 2 shows the IR spectra of adsorbates and gaseous species during temperature-programmed reaction (TPR) of methanol/CO2. Flowing methanol/CO2 at 303 K produces C-H bands at 2975 and 2845 cm−1, and a CO2 band at 2350 cm−1, which were collectively similar to the pattern observed by authors of [12,13,14,15,16,17,18,19,20,21]. Increasing the temperature to 363 K resulted in appearance of bands at 2047 and 1926 cm−1; bands centered at 2144, 1652, and 1589 cm−1 appeared at 403 K. The band at 1589 cm−1 can be assigned to OCO (formate), which also was observed during methanol decomposition [16] and methoxy group interaction with CO2 in the presence of Nickel acetate catalyst at supercritical conditions [18]. Appearance of bands at 2047 and 2144 cm−1 are due to the formation of adsorbed linear CO on reduced Rh sites and gaseous CO, respectively. The band at 1652 cm−1 was assigned to the methoxy carbonate species (CH3OCOO-M) similarly to the band 1623 cm−1 which was observed by authors of [20] in the presence of alumina. Authors of [21] reported that in the presence of ZrO2 catalyst, formation of methoxy carbonate species via reaction of adsorbed methoxy species and CO2 takes place more easily than that by the reaction of adsorbed CO2 with methanol. This is due to competitive adsorption of methanol and CO2 on the same sites where methanol may displace adsorbed CO2.
On the reduced Rh sites, activation of CO2 and its insertion to the reaction may involve some peculiarities, such as an additional pathway or mechanism which is not characteristic for ZrO2 oxide catalyst. The observed formate species suggests an existence of another pathway in addition to the common methoxy carbonate route. The formate species can be generated by the reaction of active hydrogen species, which are formed on reduced Rh metal sites, with the adsorbed CO2. This route probably takes place with a rate not less than that of the direct conversion of CO2 with the methoxy group into intermediate methoxy carbonate (CH3OCOO-M). The decomposition of formate (HCO2) through non-selective route leads to the formation of gaseous CO, which was observed in Figure 2. The reverse water gas shift reaction of CO with H2O could be the route for restoration of CO2 concentration. Therefore, the CO2 conversion and the observed CO, CO(g), and CO2(g) species, in the presence of reduced Rh metal sites, may involve an alternative parallel formate route. Formation of CO during reduction of CO2 or decomposition of methanol through the formate route in the presence of different metal and oxide based catalyst is well described [22,23,24,25]. Bands of adsorbed methanol at 1506 and 1377 cm−1 decreased with the increase of temperature to 403 K. The negative bands of OH at 3741 cm−1 and H2O at 3556 cm−1 indicate that adsorption of methanol displaced H2Oad from the catalyst surface.
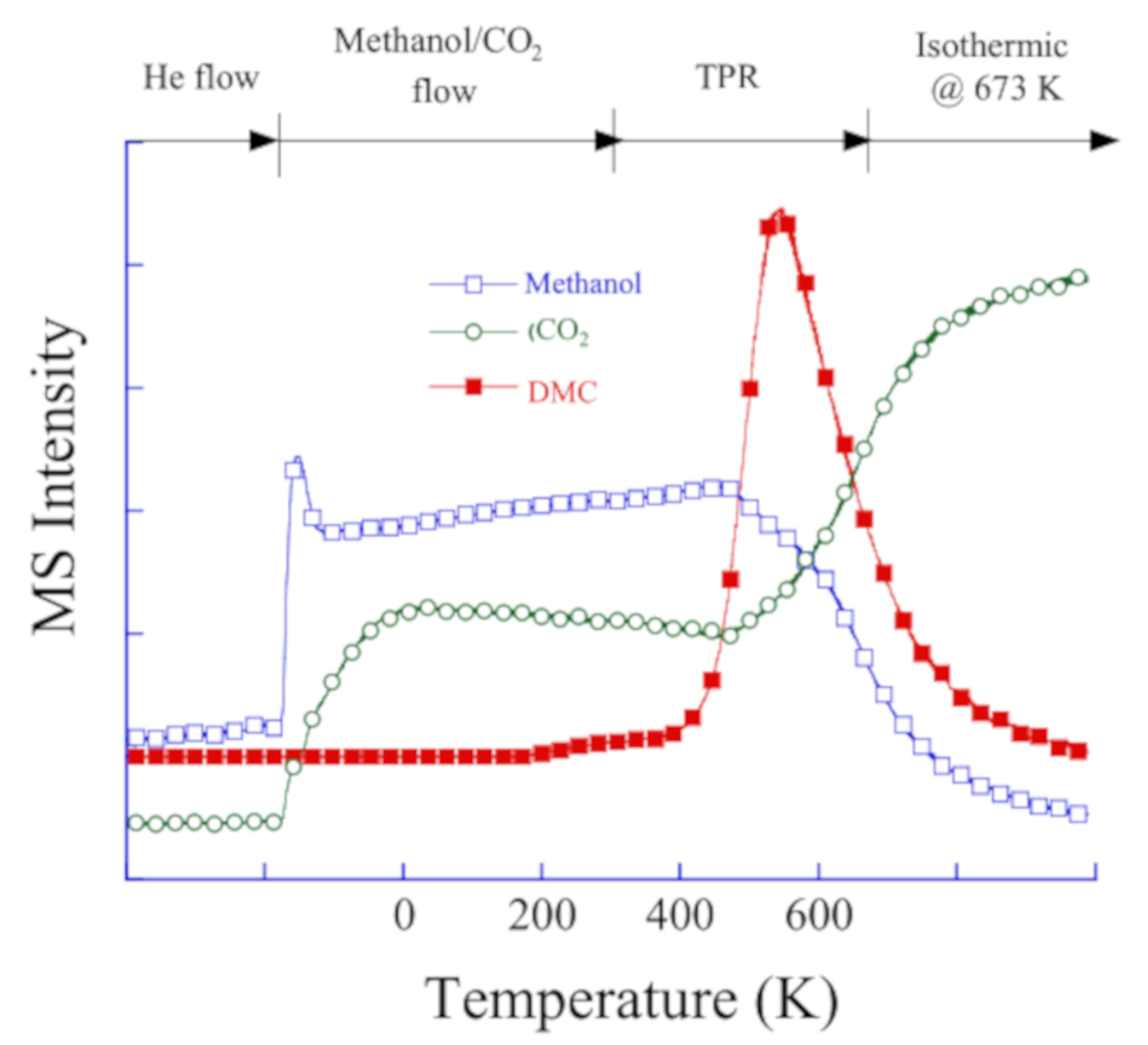
Figure 3 shows the MS intensity of the effluent from DRIFTS reactor cell during TPR experiments of methanol-CO2 mixture as a function of temperature. Switching the flow from He to methanol/CO2 flow resulted in an increase in the MS intensity of methanol and CO2 to steady-state level. Increasing the temperature at 10 K/min rate caused a decrease in the methanol MS intensity and an increase (formation) in that of DMC and CO2. The formation of DMC reaches a maximum at 541 K. Above 541 K, the CO2 MS intensity continues to increase while those of methanol and DMC sharply decrease and level off at 673 K. The decrease in the DMC formation and the increase of that of CO2 above 541 K may be due to the decomposition of methanol to CO2 through the reverse reaction. Reverse decomposition of methanol in the presence ZnO catalyst to COx at similar reaction conditions has been previously described [23]. It was shown that methanol decomposition proceeds through intermediate methoxy intermediate. The decay in the MS intensity of DMC could be due to (i) shift of DMC reaction formation back in reverse direction due to the reaction of methanol decomposition or (ii) deactivation of the catalyst by water. The reverse reaction of methanol decomposition is an endothermic reaction and an increase of temperature shifts the reaction to the formation of carbon oxides and hydrogen without involvement of feed CO2 in the reaction. Although both factors are important, the former is more notable, due to the shift of equilibrium at high temperature within elementary steps in reverse direction. Reverse decomposition of DMC, which formed during methanol/CO2 TPR experiments, could also produce linear CO, CO(g), and CO2(g). This suggestion was provided by exposition of Rh/Al2O3 catalyst to DMC flow at 373 K, which produces gaseous CO2 at 2350 cm−1 and linear CO at 2029 cm−1 as shown in Figure 4.
The dynamics of IR spectra of reaction ingredients during the flow of methanol/CO2 over Rh/Al2O3 catalyst at 373 K are shown in Figure 5. The initial IR spectrum at 0.5 min produces bands at 1589 and 1461 cm−1. After 5 min of exposure to methanol/CO2, the intensity of the C–H stretching bands at 2964 and 2845 cm−1 increased, together with the intensities of linear and bridge CO at 2029 and 1873 cm−1, respectively. At the same time, weak bands appeared at 1772 cm−1, which can be assigned to gaseous DMC. The observed dynamics of IR spectrum are probably due to the change of state of Rh, particularly reduction of Rh.
In order to further elucidate the regularities of decomposition of methanol, DMC and CO2 as well as the mechanism of the COx fragments formation, a separate experiments were carried out with flowing only methanol, CO2, or DMC at different temperatures. Figure 6 shows the IR spectra during the exposure of the catalyst to methanol at different temperatures. Linear CO and CO(g) appear at 443 K, and the appearance of CO2(g) started at 603 K. Figure 7 shows the IR spectra during the exposure of the catalyst to CO2. No IR evidence for decomposition of CO2 as well as formation of linear CO and CO(g) at these conditions. Therefore, in absence of hydrogen there is no dissociation of CO2 and at investigated temperatures there is no activation of CO2 with the reduced Rh sites. Absence of linear CO and CO(g) during the catalyst exposure to CO2 flow are in agreement with the results of authors of [24] on CO2 adsorption on various catalysts. Absence of CO2 activation without adsorbed hydrogen was also previously reported during conversion of CO2 with methane [25]. The IR spectra during the exposure of the catalyst to DMC (Figure 8) shows that linear CO at 2029 cm−1 and CO (g) centered at 2350 cm−1 were formed at 303 K and continue to grow with temperature up to 673 K. The pattern of gaseous CO, which centered at 2136 cm−1, starts forming at 523 K. Formation of CO probably proceeds through DMC decomposition to CH3O fragments, which is commonly known intermediate during the conversion of CO/H2 mixture to methanol and in reverse reaction of methanol decomposition [23,26,27]. It was also shown that the intermediate step in methanol decomposition is formation of formaldehyde, which is the precursor of CO formation [23].
It is obvious to suggest that, during decomposition of methanol, CO2 observed in the spectrum formed through CO oxidation to CO2, but mechanism of CO oxidation to CO2 is not clear because the amount of oxygen consumed for oxidation of CO in stoichiometric equation is not balanced. Authors of work [16] suggested that lattice oxygen of ZnO catalyst in some way participates in the formation of CO2. It was shown that decomposition of methanol in the presence of a Cu/ZrO2/SiO2 catalyst proceeds through formation of adsorbed hydrogen and formate species where metallic Cu provides sites on which adsorbed hydrogen formed. It is necessary to note that the noble metal catalyst used in the present work has no oxygen sites and the mechanism of catalytic methanol decomposition at stationary state cannot involve oxygen from the catalyst lattice. In the presence of Rh/Al2O3 catalyst, Rh site generates adsorbed hydrogen species that participates in the decomposition of methanol. Based on this principle, we may suggest the following mechanism of catalytic methanol decomposition:
CH3OH(g) → CH3OH(ads)
CH3OH(ads) → CH3O(ads) + H(ads)
CH3O(ads) → CH2O(ads) + H(ads)
CH2O(ads) → CO(ads) + H2(gas)
CH3OH(ads) → CH3(ads) + OH(ads)
CO(ads) → CO(gas)
CO(ads) + OH(ads) → HCO2(ads)
HCO2(ads) → CO2(ads) + H(ads)
CO2(ads) → CO2(gas)
CH3(ads) + HCO2 → CH3O(ads) + HCO(ads)
HCO(ads) → CO(ads) + H(ads)
(ads): Indicates adsorbed species.
The adsorbed hydrogen atoms, through recombination, produce molecular hydrogen that desorbs from the surface to the gas phase. The mechanism of methanol decomposition may not be limited to the elementary steps (2 to 12) if the fresh catalyst involves some oxygen species. In this case, the mechanism of methanol decomposition may involve participation of lattice oxygen species, similar to the mechanism on Cu and Zr based catalysts [16]. However, at stationary condition when the oxygen is cleaned from the Rh sites, the reaction mechanism involves predominantly the elementary steps (2 to 12). Presence of CO2 in the CH3OH + CO2 mixture facilitate the formation of formate fragments HCOO2, which becomes an additional important step as precursor for DMC formation.
The most important step in the stepwise mechanism (2–12) is the decomposition of methanol to CH3 fragments and OH group (step 6). It is probable that this step has the lowest rate among other steps. It is necessary to note that the similar decomposition of methanol was suggested by authors of work [16] who suggested that “methanol should be activated to adsorbedCH3+ and adsorbed OH- on the neighboring acid sites.” The authors also mentioned that this step may be the rate-determining step in DMC formation.
The reaction steps (2–12) describe the decomposition of methanol in the absence of CO2 in the gas. However, the mechanism of methanol conversion by CO2 in the presence of Lewis basic sites of Rh and acidic site of Al-O frame may have its special features while, in this case, formation of DMC could involve parallel pathways. It is clear that the role of each route in DMC formation will be determined with the rate of methanol decomposition in direction of cleavage of O-H and C-O bonds.

Mechanism of DMC Formation

Figure 9 shows the IR spectra generated during methanol-CO2 reaction over 5% Rh/Al2O3 catalyst at 393 K. The IR spectrum of gaseous DMC was included to elucidate the DMC formation. Introduction of methanol-CO2 (2:1) resulted in appearance of gaseous methanol centered at 2888, 2061, 1036 cm−1 and CO2 centered at 2345 cm−1. After 3 min, new band at 1742 cm−1 was observed due to gaseous DMC and 1596 and 1484, 1458 cm−1 due to methoxy carbonate species. The intensity of the 1742 cm−1 increased with time and reached maximum after 21 min. The decrease in the IR intensity of the 1742 cm−1 band was accompanied by emergence of gaseous CO band centered at 2138 cm−1 and an increase in the IR intensity of methoxy carbonate species at 1458 cm−1.
The reaction mechanism of DMC production from methanol and CO2 has been described by many authors [12,13,14,17,18,19,28,29,30]. The mechanism of DMC production from methanol and CO2 usually involves participation of large amount of OH groups and formation of bidentate carbonate species. In most cases the mechanism of DMC synthesis has been described for ZrO2, CeO2 and CeO2—ZrO2 based catalysts. It was reported that in the presence of ZrO2 catalyst the neighboring acid-base sites both are responsible for activity of the catalyst for production of dimethyl carbonate [28]. The following mechanism was suggested to describe DMC production [21]:
CH3OH + (Basic site) → CH3O(ads) + H+ (ads)
CO2 + (Basic site) → CO2 (ads)
CH3O(ads) + CO2 (ads) + (Basic site) → CH3OCO2(ads)
CH3OH + (acidic site) → CH3+(ads) + OH(ads)
CH3OCO2(ads) + CH3+ (ads) → (CH3O)2CO
H+ (ads) + OH(ads) → H2O
It was suggested that the initial adsorption of CH3OH on a catalyst surface occurs via the interaction of the O atom of CH3OH with a coordinately unsaturated Lewis acid center on the surface with the formation of methoxy species. Abstraction of hydrogen by surface Lewis base sites has been suggested by [29] as well. For closing of the water formation cycle, the surface hydrogen protons undergo the acid-base interaction with the surface hydroxyl group (step 18). However, steps (13–18) involve only the methanol decomposition without the step for formation of adsorbed methanol species.
In accordance with the reaction steps (13–18), formation of DMC takes place via reaction of adsorbed CO2 with methoxy species to form methoxy carbonate (reaction 15), which then reacts with methyl species (reaction 17). Results from X-ray absorption fine structure (XAFS) spectra suggested that CO2 during reaction with methanol in the presence of Cu–CeO2 catalyst undergoes reduction with the realization of redox reaction cycle with standard spectrum component of Ce4+ and Ce3+ was 90 and 10%, respectively [30]. The content of reduced Ce3+ sites (10%) associated with the surface O vacancy decreased to 5% under CO2 at 290 K for reduced Cu–CeO2 catalyst. However, the reaction mechanism, proposed by authors, does not involve regeneration of reduced sites by CO2, which will lead to CO generation. The CeO2 component of the catalyst plays the role of an electron-donating Lewis site. The authors did not, however, show any CO spectrum or suggestions on a mechanism for insertion of CO to methanol molecules to form DMC.
Our earlier studies [15] showed that absence of CO participation in intermediate stages of DMC formation when the CO2 in a CH3OH-CO2 mixture was replaced by CO. Therefore, formation of DMC through insertion of adsorbed CO into two methoxy species does not occur. The insertion of CO2 into a M–OCH3 bond without dissociation to CO (reaction 15) is confirmed by the low conversion of CO2 during its decomposition [15] and was also reported in [19] for Cu-Ni based catalytic systems. IR results showed that there was a large amount of basic sites that participated in activation of methanol to methoxy species and their subsequent reaction with the activated carbon dioxide.
Authors of work [29] also suggested that adsorption of CO2 might be the key step in DMC synthesis. It was shown that abstraction of hydrogen from methanol takes place at the neighboring sites of adsorbed CO2. Two methoxy groups and an adsorbed CO2 combined together to form DMC and water, which followed by catalyst re-oxidation to restore surface oxygen vacancy.
Unnikrishnan and Darbha [30] suggested a different mechanism for DMC synthesis in the presence of CeO2 catalyst. Based on their mechanism, methanol on the surface first generates OH group, which in the subsequent step through the reaction with methanol generates methoxy groups. By the authors’ opinion, conversion of methanol and DMC correlates with the concentration of both acidic and basic sites. Reaction of methoxy group with adsorbed CO2, similar to step (15), leads to the formation of CH3OCO2 fragments, which then reacts with methanol to form DMC.
The mechanism of DMC formation in the presence of a ZrO2 catalyst proposed by [28,31,32,33] is different from that was suggested by [29,30] for CeO2, Cu-CeO2 and Ni-Cu type catalysts. Using IR spectroscopy, it was shown that the change of oxidation state of Zr in zirconium oxide lead to a significant change in the mechanism of DMC and rate of elementary steps [31,32]. In the presence of ZrO2 phase CH3 insertion to methyl carbonate was twice as fast as that of CO2 insertion to methyl carbonate. Author suggested that both routes take place with the participation of Brønsted basicity of hydroxyl groups and Zr4+O2− Lewis acid/base pairs existed on the surface of zirconia.
It is necessary to note that the acid-base features of Rh/Al2O3 catalyst are different from the catalysts, discussed above in [29,30,31,32,33]. During the reaction at stationary conditions the noble metal Rh has different surface properties and therefore activation of methanol substrate may not involve OH group as an initial active site for abstraction of hydrogen from methanol.
We propose abstraction of hydrogen from methanol by reduced Rh atoms with formation of adsorbed hydrogen species, (step 19), below where the reduced Rh sites plays the role of Lewis bases. These active sites presented in the form of **:
CH3OH + 2 ** → CH3O(ads)+H(ads)
H(ads) + CO2 → HCO2(ads)
HCO2(ads) ↔ HOCO(ads)
CH3OH + ** ↔ CH3OH(ads)
CH3OH(ads) + HCO2(ads) ↔ CH3OCO(ads) + H2O
CH3O(ads) + CH3OCO(ads) → CH3OCOCH3O (DMC)
The suggested mechanism (steps 19–24) is the parallel pathway for DMC production that takes place with participation of a non-oxide based Rh catalyst. The suggested parallel way of DMC formation does not exclude the reaction mechanism (steps 13–18), which may takes place by the participation of Al2O3 acidic support of an Rh/Al2O3 catalyst. Step 19 describes the heterolytic dissociation of methanol with the formation of H(ads) and CH3O(ads) fragments. It is reasonable to suggest that H(ads) fragments may be generated with participation of Al–O group of acidic support while the CH3O(ads) ingredient describes Me-OCH3 intermediates formed with involvement of Lewis basic sites.
The reaction mechanism of DMC formation considers conjugation of two parallel pathways of its formation. The cross-linking of these parallel pathways may proceed through formation of intermediate DME. In this case the stepwise mechanism (19–24) should include formation of DME as an intermediate ingredient. The DME formation, in contrast to DMC, favors a high temperature and low CO2 pressure [33]. The DME gas phase product was not observed in IR spectra but bands at 2961 and 2845 cm−1 in Figure 2 can be assigned to molecularly adsorbed DME [34]. The formation of DME was reported at >400 K in our earlier studies [15], which were carried out by feeding a mixture of methanol and CO2 through a plug flow reactor. These studies showed that DMC synthesis proceeded effectively at low temperatures (353–433 K), while at higher temperatures DME became the predominant product. It is probable that, at low temperatures, DME was produced as an intermediate product, participating in consecutive steps of DMC generation while at high temperatures DME desorbed from the surface and showed up in the gas phase.
Adsorption of methanol on two acid sites may generate intermediate DME, which reacts very fast with the HCO2(ads):
2CH3OH + 2 (**) acid → CH3OCH3(ads) + H2O(ads)
CH3OCH3(ads) + HCO2(ads) → CH3OCO(ads) + CH3OH(ads)
The elementary step (26) may present conjugation of reaction pathways, carried with participation of Lewis base and Al-O group of acidic support. Combination of elementary steps (25) and (26) gives the elementary step (23). The surface methoxy fragments, generated within two pathways, are the main intermediates for synthesis of DMC. Combination of strong Lewis basic sites and acid centers of Al-O frame of support are necessary to increase the rate of methoxy fragment generation within conjugated elementary steps. The direction of the reaction via elementary steps (19–26) with participation of Rh sites is the predominant route in comparison with the decomposition of methanol to CH3(ads) and OH(ads) fragments on acid site.

3. Experimental

The 5 wt% Rh catalyst was prepared by incipient wetness impregnation of RhCl3.2H2O (Alfa Chemicals) on Al2O3 (Degussa: 100 m2/g). The catalyst was dried overnight in air at room temperature, calcined by flowing air at 523 K for 30 min and subsequently reduced by flowing H2 at 673 K for 1 h.
The reactor system used in this work is described elsewhere [15]. Scheme 1 shows the experimental system, which consists of a gas flow section with a 4-port switching valve, a DRIFTS cell with catalyst, a tubular reactor with catalyst and mass spectrometer (MS) (Pfeiffer Vacuum GmbH, Berliner Str. 43, 35614 Aßlar, Germany). The adsorption intensity and vibrational frequency (wavenumber, cm−1) of adsorbed and gaseous species on the catalyst surface were measured by IR spectrometer. The effluent concentrations of gaseous reactants/products were measured by MS. The flow rates of the gasses were controlled by mass flow controllers (Omega 750). The heating rate during the Temperature-Programmed Reaction (TPR) studies was 10 K/min and the methanol: CO ratio was (2:1).
The IR spectra were collected by a Thermo Nicolet Nexus 670 FTIR spectrometer (Thermo Electron North America, USA) equipped with a MCT detector that was cooled with liquid nitrogen. A high pressure/high temperature chamber fitted with ZnSe windows was utilized as an IR reactor cell for in situ reaction studies. The IR reactor cell was heated by temperature controller. The lines from the methanol bubbler to the IR cell, GC and MS were warped with heating tape and insulated with general purpose insulating wrap. For steady-state spectra, 64 scans are co-added at a resolution of 4 cm−1. Co-adding a large number of scans increases the signal to noise ratio (S/N), but requires a longer sampling time, resulting in the loss of the transient information.

4. Conclusions

In this work, the peculiarities of direct synthesis DMC from methanol and CO2 has been studied over a 5% Rh/Al2O3 catalyst using a combination of a vapor phase flow reactor system and the Diffuse Reflectance Infrared Fourier Transfer Spectroscopy (DRIFTS) technique coupled with Temperature-Programmed Reaction (TPR) to probe adsorbates and reaction intermediates. It has been established that methanol undergoes decomposition with the generation of methoxy species, which then reacts with CO2 through formate species. The intermediate methoxy species and the chemosorbed and formate forms of CO2 play an important role in the DMC synthesis, and the participation of two parallel pathways take place in DMC formation. Formation of DME involves parallel routes comprising interactions of the OH group of Al2O3 through the acid/base mechanism and formate pathway with participation of metal sites. The pathway involving metal sites generates an additional elementary step for involvement of CO2 to the reaction through active formate species. The synergy of parallel pathways determines the performance of the 5% Rh/Al2O3 catalyst. Therefore, selection of the catalyst and improvement of its performance should be based on such a feature of the reaction mechanism. Promotion of Rh with additional metal may increase the rate of formate route while acid-base performance of catalyst can be enhanced by the addition of oxides, such ZrO2 or CeO2, suggested by authors of [31,32]. The effectiveness of Rh/Al2O3 catalyst, for DMC synthesis, is attributed to the presence of two pathways comprising Lewis basic sites of metallic Rh and OH groups, generated on Al2O3. The Lewis basic sites are needed for abstraction of hydrogen from methanol, which initiates the formate pathway of DMC generation. The acid-base route of support participates to supply methyl groups from methanol to the methyl route of the reaction mechanism.

Author Contributions

The following is a specific contribution of each author into this manuscript: Conceptualization: K.A.A. and S.I.A.-M. Methodology, K.A.A. and S.I.A.-M. Validation: K.A.A., S.I.A.-M. and A.M.; Formal analysis: K.A.A. and A.M.; Investigation: K.A.A., S.I.A.-M., A.M. and Y.S.A.-Z.; Data curation: Y.S.A.-Z.; Writing—original draft preparation: K.A.A., S.I.A.-M. and A.M.; Writing—review and editing: K.A.A., S.I.A.-M., A.M. and Y.S.A.-Z.; Visualization: K.A.A.; Supervision: S.I.A.-M.; Project administration: K.A.A.; Funding acquisition: K.A.A. and S.I.A.-M. All authors have read and agreed to the published version of the manuscript.

Funding

This research received no external funding.

Data Availability Statement

The data presented in this study are openly available online.

Acknowledgments

We highly appreciate the financial support by King Abdulaziz City for Science and Technology under Grant (AT-21-73).

Conflicts of Interest

The authors declare no conflict of interest.

References

  1. Liu, Q.; Wu, L.; Jackstell, R.; Beller, M. Using carbon dioxide as a building block in organic synthesis. Nat. Commun. 2015, 6, 5933. [Google Scholar] [CrossRef] [PubMed]
  2. Liu, B.; Li, C.; Zhang, G.; Yan, L.; Li, Z. Direct synthesis of dimethyl carbonate from CO2 and methanol over CaO–CeO2 catalysts: The role of acid–base properties and surface oxygen vacancies. New J. Chem. 2017, 41, 12231–12240. [Google Scholar] [CrossRef]
  3. Santos, B.A.V.; Silva, V.M.T.M.; Loureiro, J.M.; Rodrigues, A.E. Review for the Direct Synthesis of Dimethyl Carbonate. ChemBioEng Rev. 2014, 1, 214–229. [Google Scholar] [CrossRef]
  4. Sato, Y.; Kagotani, M.; Yamamoto, T.; Souma, Y. Novel effective poly (2,2′-bipyridine-5,5′-diyl)-CuCl2 catalyst for synthesis of dimethyl carbonate (DMC) by oxidative carbonylation of methanol. Appl. Catal. A 1999, 2, 219–226. [Google Scholar] [CrossRef]
  5. Ono, Y. Dimethyl carbonate for environmentally benign reactions. Pure Appl. Chem. 1996, 68, 367–375. [Google Scholar] [CrossRef]
  6. King, S.T. Reaction Mechanism of Oxidative Carbonylation of Methanol to Dimethyl Carbonate in Cu–Y Zeolite. J. Catal. 1996, 2, 530–538. [Google Scholar] [CrossRef]
  7. Zhaofu, Z.; Shuaishuai, L.; Lujun, Z.; Shuai, Y.; Guanying, Y.; Buxing, H. Driving dimethyl carbonate synthesis from CO2 and methanol and production of acetylene simultaneously using CaC2. Chem. Commun. 2018, 54, 4410–4412. [Google Scholar]
  8. Shu-Yang, Z.; Sheng-Ping, W.; Yu-Jun, Z.; Xin-Bin, M. An in situ infrared study of dimethyl carbonate synthesis from carbon dioxide and methanol over well-shaped CeO2. Chin. Chem. Lett. 2017, 28, 65–69. [Google Scholar]
  9. Pacheco, M.A.; Marshall, C.L. Review of Dimethyl Carbonate (DMC) Manufacture and its Characteristics as a Fuel Additive. Energ. Fuels 1997, 11, 2–29. [Google Scholar] [CrossRef]
  10. Meng, Z.; Yonghang, X.; Brandon, L.W.; Min, X.; Shuanjin, W.; Dongmei, H.; Luyi, S.; Yuezhong, M. Catalytic materials for direct synthesis of dimethyl carbonate (DMC) from CO2. J. Clean. Prod. 2021, 279, 123344. [Google Scholar]
  11. Romano, U.; Tesel, R.; Mauri, M.M.; Rebora, P. Synthesis of Dimethyl Carbonate from Methanol, Carbon Monoxide and Oxygen Catalyzed by Copper Compounds. Ind. Eng. Chem. Prod. Res. Dev. 1980, 19, 396–403. [Google Scholar] [CrossRef]
  12. Marin, C.M.; Li, L.; Bhalkikar, A.; Doyle, J.E.; Zeng, X.C.; Cheung, C.L. Kinetic and mechanistic investigations of the direct synthesis of dimethyl carbonate from carbon dioxide over ceria nanorod catalysts. J. Catal. 2016, 340, 295–301. [Google Scholar] [CrossRef]
  13. Hofmann, H.J.; Brandner, A.; Claus, P. Direct Synthesis of Dimethyl Carbonate by Carboxylation of Methanol on Ceria-Based Mixed Oxides. Chem. Eng. Technol. 2012, 35, 2140–2146. [Google Scholar] [CrossRef]
  14. Lee, H.J.; Park, S.; Song, I.K.; Jung, J.C. Direct Synthesis of Dimethyl Carbonate from Methanol and Carbon Dioxide over Ga2O3/Ce0.6Zr0.4O2 Catalysts: Effect of Acidity and Basicity of the Catalysts. Catal. Lett. 2011, 141, 531–537. [Google Scholar] [CrossRef]
  15. Almusaiteer, K. Synthesis of dimethyl carbonate (DMC) from methanol and CO2 over Rh-supported catalysts. Catal. Commun. 2009, 10, 1127–1131. [Google Scholar] [CrossRef]
  16. Fisher, I.A.; Bell, A.T. A Mechanistic Study of Methanol Decomposition over Cu/SiO2, ZrO2/SiO2, and Cu/ZrO2/SiO2. J. Catal. 1999, 184, 357–376. [Google Scholar] [CrossRef]
  17. Zhao, T.; Han, Y.; Sun, Y. Novel reaction route for dimethyl carbonate synthesis from CO2 and methanol. Fuel Process. Technol. 2000, 62, 187–194. [Google Scholar] [CrossRef]
  18. Zhao, T.; Han, Y.; Sun, Y. Supercritical synthesis of dimethyl carbonate from CO2 and methanol. Stud. Surf. Sci. Catal. 2000, 130, 461–466. [Google Scholar]
  19. Wu, X.; Meng, Y.; Xiao, M.; Lu, Y. Direct synthesis of dimethyl carbonate (DMC) using Cu-Ni/VSO as catalyst. J. Mol. Catal. A Chem. 2006, 249, 93–97. [Google Scholar] [CrossRef]
  20. LaMotte, J.; Saur, O.; LaValley, J.-C.; Busca, G.; Rossi, P.F.; Lorenzelli, V. Coadsorption of methanol and carbon dioxide on alumina. J. Chem. Soc. Faraday Trans. 1986, 82, 3019–3023. [Google Scholar] [CrossRef]
  21. Tomishige, K.; Ikeda, Y.; Sakaihori, T.; Fujimoto, K. Catalytic properties and structure of zirconia catalysts for direct synthesis of dimethyl carbonate from methanol and carbon dioxide. J. Catal. 2000, 192, 355–362. [Google Scholar] [CrossRef]
  22. Juan-Juan, J.; Roman-Marinez, M.C.; Illan-Gomez, M.J. Catalytic activity and characterization of Ni/Al2O3 and NiK/Al2O3 catalysts for CO2 methane reforming. Appl. Catal. A 2004, 264, 2, 169–174. [Google Scholar] [CrossRef]
  23. Moh’d, T.K. Kinetics and Mechanism of Methanol Decomposition over Zinc Oxide. Ph.D. Thesis, Iowa State University, Ames, IA, USA, 1982. [Google Scholar]
  24. Solymosi, F.; Tolmacsov, P.; Kedves, K. CO2 reforming of propane over supported Rh. J. Catal. 2003, 216, 377–385. [Google Scholar] [CrossRef]
  25. Wang, H.; Au, C. Carbon dioxide reforming of methane to syngas over SiO2-supported rhodium catalysts. Appl. Catal. A Gen. 1997, 155, 239–252. [Google Scholar] [CrossRef]
  26. Liu, Y.-M.; Liu, J.T.; Liu, S.-Z.; Li, J.; Gao, Z.-H.; Zuo, Z.-J.; Huang, W. Reaction mechanisms of methanol synthesis from CO/CO2 hydrogenation on Cu2O(111): Comparison with Cu(111). J. CO2 Util. 2017, 20, 59–65. [Google Scholar] [CrossRef]
  27. Grabow, L.C.; Mavrikakis, M. Mechanism of Methanol Synthesis on Cu through CO2 and CO hydrogenation. ACS Catal. 2011, 1. [Google Scholar] [CrossRef]
  28. Jung, K.T.; Bell, A.T. An in Situ Infrared Study of Dimethyl Carbonate Synthesis from Carbon Dioxide and Methanol over Zirconia. J. Catal. 2001, 204, 339–347. [Google Scholar] [CrossRef]
  29. Wada, S.; Oka, K.; Watanabe, K.; Izumi, Y. Catalytic conversion of carbon dioxide into dimethyl carbonate using reduced copper-cerium oxide catalysts as low as 353 K and 1.3 MPa and the reaction mechanism. Front. Chem. 2013, 1, 1–8. [Google Scholar] [CrossRef]
  30. Unnikrishnan, P.; Srinivas, D. Direct synthesis of dimethyl carbonate from CO2 and methanol over CeO2 catalysts of different morphologies. J. Chem. Sci. 2016, 128, 957–965. [Google Scholar]
  31. Xie, S.; Bell, A.T. An in situ Raman study of dimethyl carbonate synthesis from carbon dioxide and methanol over zirconia. Catal. Lett. 2000, 70, 137–143. [Google Scholar] [CrossRef]
  32. Jung, K.T.; Bell, A.T. Effects of Catalyst Phase Structure on the Elementary Processes Involved in the Synthesis of Dimethyl Carbonate from Methanol and Carbon Dioxide over Zirconia. Top. Catal. 2002, 20, 97–105. [Google Scholar] [CrossRef]
  33. Somboon, C.; Oleg, V.S.; Jannes, D.; Wei, X.; Serge, Z.; Anish, K.; Francis, V. Progress on Catalyst Development for Direct Synthesis of Dimethyl Carbonate from CO2 and Methanol. Chem. Afr. 2019, 2, 533–549. [Google Scholar]
  34. Beebe, T.P.; Crowell, J.E.; Yates, J.T. Reaction of methyl chloride with alumina surfaces: Study of the methoxy surface species by transmission infrared spectroscopy. J. Phys. Chem. 1988, 92, 1296–1301. [Google Scholar] [CrossRef]
Figure 1. IR spectra of gaseous methanol, CO2, DMC and DME.
Figure 1. IR spectra of gaseous methanol, CO2, DMC and DME.
Catalysts 11 00517 g001
Figure 2. IR spectra during the methanol/CO2 TPR over Rh/Al2O3.
Figure 2. IR spectra during the methanol/CO2 TPR over Rh/Al2O3.
Catalysts 11 00517 g002
Figure 3. MS intensity during the methanol/CO2 TPR over Rh/Al2O3.
Figure 3. MS intensity during the methanol/CO2 TPR over Rh/Al2O3.
Catalysts 11 00517 g003
Figure 4. IR spectra during exposure of 5% Rh/Al2O3 to DMC flow at 373 K.
Figure 4. IR spectra during exposure of 5% Rh/Al2O3 to DMC flow at 373 K.
Catalysts 11 00517 g004
Figure 5. IR spectra during the methanol-CO2 reaction over 5% Rh/Al2O3 at 373 K.
Figure 5. IR spectra during the methanol-CO2 reaction over 5% Rh/Al2O3 at 373 K.
Catalysts 11 00517 g005
Figure 6. IR spectra during the exposure of the Rh/Al2O3 catalyst to methanol flow at different temperatures.
Figure 6. IR spectra during the exposure of the Rh/Al2O3 catalyst to methanol flow at different temperatures.
Catalysts 11 00517 g006
Figure 7. IR spectra during the exposure of the Rh/Al2O3 catalyst to CO2 flow at different temperatures.
Figure 7. IR spectra during the exposure of the Rh/Al2O3 catalyst to CO2 flow at different temperatures.
Catalysts 11 00517 g007
Figure 8. IR spectra during the exposure of the Rh/Al2O3 catalyst to DMC flow at different temperatures.
Figure 8. IR spectra during the exposure of the Rh/Al2O3 catalyst to DMC flow at different temperatures.
Catalysts 11 00517 g008
Figure 9. IR spectra during the methanol-CO2 reaction over 5% Rh/Al2O3 at 393 K.
Figure 9. IR spectra during the methanol-CO2 reaction over 5% Rh/Al2O3 at 393 K.
Catalysts 11 00517 g009
Scheme 1. The experimental system for TPR studies.
Scheme 1. The experimental system for TPR studies.
Catalysts 11 00517 sch001
Publisher’s Note: MDPI stays neutral with regard to jurisdictional claims in published maps and institutional affiliations.

Share and Cite

MDPI and ACS Style

Almusaiteer, K.A.; Al-Mayman, S.I.; Mamedov, A.; Al-Zeghayer, Y.S. In Situ IR Studies on the Mechanism of Dimethyl Carbonate Synthesis from Methanol and Carbon Dioxide. Catalysts 2021, 11, 517. https://doi.org/10.3390/catal11040517

AMA Style

Almusaiteer KA, Al-Mayman SI, Mamedov A, Al-Zeghayer YS. In Situ IR Studies on the Mechanism of Dimethyl Carbonate Synthesis from Methanol and Carbon Dioxide. Catalysts. 2021; 11(4):517. https://doi.org/10.3390/catal11040517

Chicago/Turabian Style

Almusaiteer, Khalid A., Sulaiman I. Al-Mayman, Aghaddin Mamedov, and Yousef S. Al-Zeghayer. 2021. "In Situ IR Studies on the Mechanism of Dimethyl Carbonate Synthesis from Methanol and Carbon Dioxide" Catalysts 11, no. 4: 517. https://doi.org/10.3390/catal11040517

APA Style

Almusaiteer, K. A., Al-Mayman, S. I., Mamedov, A., & Al-Zeghayer, Y. S. (2021). In Situ IR Studies on the Mechanism of Dimethyl Carbonate Synthesis from Methanol and Carbon Dioxide. Catalysts, 11(4), 517. https://doi.org/10.3390/catal11040517

Note that from the first issue of 2016, this journal uses article numbers instead of page numbers. See further details here.

Article Metrics

Back to TopTop