Effects of CO and H2O Co-Feed on the Adsorption and Oxidation Properties of a Pd/BEA Hydrocarbon Trap
Abstract
1. Introduction
2. Results and Discussion
2.1. H2 TPR
2.2. Ethylene and Dodecane Adsorption
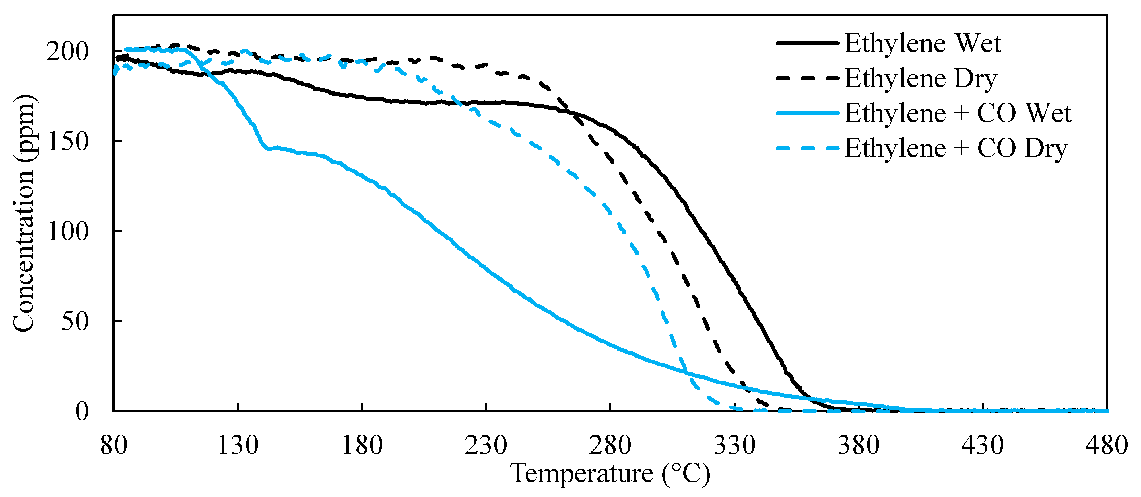
2.3. Temperature Programmed Oxidation
2.4. CO Pretreatment
2.5. CO DRIFTS
3. Materials and Methods
3.1. Catalyst Synthesis
3.2. Catalyst Characterization
3.3. Reactor Tests
3.4. DRIFTS Studies
4. Conclusions
Supplementary Materials
Author Contributions
Funding
Data Availability Statement
Conflicts of Interest
References
- Wimmer, A.; Eichlseder, H.; Klell, M.; Figer, G. Potential of HCCI concepts for DI diesel engines. Int. J. Veh. Des. 2006, 41, 32–48. [Google Scholar] [CrossRef]
- Heck, R.M.; Farrauto, R.J. Automobile exhaust catalysts. Appl. Catal. A Gen. 2001, 221, 443–457. [Google Scholar] [CrossRef]
- Hochmuth, J.K.; Burk, P.L.; Tolentino, C.; Mignano, M.J. Hydrocarbon Traps for Controlling Cold Start Emissions. In Proceedings of the International Congress and Exposition, Detroit, MI, USA, 1–5 March 1993. [Google Scholar] [CrossRef]
- Elangovan, S.P.; Ogura, M.; Davis, M.E.; Okubo, T. SSZ-33: A Promising Material for Use as a Hydrocarbon Trap. J. Phys. Chem. B 2004, 108, 13059–13061. [Google Scholar] [CrossRef]
- Burke, N.; Trimm, D.; Howe, R. The effect of silica:alumina ratio and hydrothermal ageing on the adsorption characteristics of BEA zeolites for cold start emission control. Appl. Catal. B Environ. 2003, 46, 97–104. [Google Scholar] [CrossRef]
- Yeon, T.H.; Han, H.S.; Park, E.D.; Yie, J.E. Adsorption and desorption characteristics of hydrocarbons in multi-layered hydrocarbon traps. Microporous Mesoporous Mater. 2009, 119, 349–355. [Google Scholar] [CrossRef]
- Sarshar, Z.; Zahedi-Niaki, M.; Huang, Q.; Eić, M.; Kaliaguine, S. MTW zeolites for reducing cold-start emissions of automotive exhaust. Appl. Catal. B Environ. 2009, 87, 37–45. [Google Scholar] [CrossRef]
- Westermann, A.; Azambre, B.; Finqueneisel, G.; Da Costa, P.; Can, F. Evolution of unburnt hydrocarbons under “cold-start” conditions from adsorption/desorption to conversion: On the screening of zeolitic materials. Appl. Catal. B Environ. 2014, 158–159, 48–59. [Google Scholar] [CrossRef]
- Heimrich, M.J.; Smith, L.R.; Kitowski, J. Cold-Start Hydrocarbon Collection for Advanced Exhaust Emission Control. In Proceedings of the International Congress and Exposition, Detroit, MI, USA, 24–28 February 1992. [Google Scholar] [CrossRef]
- Liu, X.; Lampert, J.K.; Arendarskiia, D.A.; Farrauto, R.J. FT-IR spectroscopic studies of hydrocarbon trapping in Ag+-ZSM-5 for gasoline engines under cold-start conditions. Appl. Catal. B Environ. 2001, 35, 125–136. [Google Scholar] [CrossRef]
- Elangovan, S.; Ogura, M.; Ernst, S.; Hartmann, M.; Tontisirin, S.; Davis, M.E.; Okubo, T. A comparative study of zeolites SSZ-33 and MCM-68 for hydrocarbon trap applications. Microporous Mesoporous Mater. 2006, 96, 210–215. [Google Scholar] [CrossRef]
- Gies, H.; van Koningsveld, H. Faulted Zeolite Framework Structures. In Proceedings of the 12th International Zeolite Con-ference, Baltimore, MD, USA, 5–10 July 1998; p. 2999. [Google Scholar]
- Rollmann, L.D.; Valyocsik, E.W.; Shannon, R.D. Zeolite Molecular Sieves. In Inorganic Syntheses; Rovert, E., Ed.; Krieger Publishing Company Inc.: Malabar, FL, USA, 2006; Volume 22, ISBN 9780470132531. [Google Scholar]
- Temerev, V.L.; Vedyagin, A.A.; Afonasenko, T.N.; Iost, K.N.; Kotolevich, Y.S.; Baltakhinov, V.P.; Tsyrulnikov, P.G. Effect of Ag loading on the adsorption/desorption properties of ZSM-5 towards toluene. React. Kinet. Mech. Catal. 2016, 119, 629–640. [Google Scholar] [CrossRef]
- Kang, S.B.; Kalamaras, C.; Balakotaiah, V.; Epling, W. Hydrocarbon Trapping over Ag-Beta Zeolite for Cold-Start Emission Control. Catal. Lett. 2017, 147, 1355–1362. [Google Scholar] [CrossRef]
- Zelinsky, R.; Epling, W. Effects of Multicomponent Hydrocarbon Feed on Hydrocarbon Adsorption–Desorption and Oxidation Light-Off Behavior on a Pd/BEA Hydrocarbon Trap. Catal. Lett. 2019, 149, 3194–3202. [Google Scholar] [CrossRef]
- Xu, L.; Lupescu, J.; Cavataio, G.; Guo, K.; Jen, H. The Impacts of Pd in BEA Zeolite on Decreasing Cold-Start NMOG Emission of an E85 Fuel Vehicle. SAE Int. J. Fuels Lubr. 2018, 11, 239–246. [Google Scholar] [CrossRef]
- Park, J.-H.; Park, S.J.; Ahn, H.A.; Nam, I.-S.; Yeo, G.K.; Kil, J.K.; Youn, Y.K. Promising zeolite-type hydrocarbon trap catalyst by a knowledge-based combinatorial approach. Microporous Mesoporous Mater. 2009, 117, 178–184. [Google Scholar] [CrossRef]
- Westermann, A.; Azambre, B.; Chebbi, M.; Koch, A. Modification of Y Faujasite zeolites for the trapping and elimination of a propene-toluene-decane mixture in the context of cold-start. Microporous Mesoporous Mater. 2016, 230, 76–88. [Google Scholar] [CrossRef]
- Xu, L.; Lupescu, J.; Ura, J.; Harwell, A.; Paxton, W.A.; Nunan, J.; Alltizer, C. Benefits of Pd Doped Zeolites for Cold Start HC/NOx Emission Reductions for Gasoline and E85 Fueled Vehicles. SAE Int. J. Fuels Lubr. 2018, 11, 301–317. [Google Scholar] [CrossRef]
- Lupescu, J.; Xu, L.; Jen, H.-W.; Harwell, A.; Nunan, J.; Alltizer, C.; Denison, G. A New Catalyzed HC Trap Technology that Enhances the Conversion of Gasoline Fuel Cold-Start Emissions. SAE Int. J. Fuels Lubr. 2018, 11, 411–425. [Google Scholar] [CrossRef]
- Kofke, T.J.G. A temperature-programmed desorption study of olefin oligomerization in H-ZSM-5. J. Catal. 1989, 115, 233–243. [Google Scholar] [CrossRef]
- Malamis, S.A.; Harold, M.P.; Epling, W.S. Coupled NO and C3H6 Trapping, Release and Conversion on Pd/BEA: Evaluation of the Lean Hydrocarbon NOx Trap. Ind. Eng. Chem. Res. 2019, 58, 22912–22923. [Google Scholar] [CrossRef]
- Zhang, B.; Shen, M.; Wang, J.; Wang, J.; Wang, J. Investigation of Various Pd Species in Pd/BEA for Cold Start Application. Catalysts 2019, 9, 247. [Google Scholar] [CrossRef]
- Zheng, Y.; Kovarik, L.; Engelhard, M.H.; Wang, Y.; Wang, Y.; Gao, F.; Szanyi, J. Low-Temperature Pd/Zeolite Passive NOx Adsorbers: Structure, Performance, and Adsorption Chemistry. J. Phys. Chem. C 2017, 121, 15793–15803. [Google Scholar] [CrossRef]
- Gu, Y.; Zelinsky, R.P.; Chen, Y.-R.; Epling, W.S. Investigation of an irreversible NOx storage degradation Mode on a Pd/BEA passive NOx adsorber. Appl. Catal. B Environ. 2019, 258, 118032. [Google Scholar] [CrossRef]
- Vu, A.; Luo, J.; Li, J.; Epling, W.S. Effects of CO on Pd/BEA Passive NOx Adsorbers. Catal. Lett. 2017, 147, 745–750. [Google Scholar] [CrossRef]
- Khivantsev, K.; Jaegers, N.R.; Kovarik, L.; Hanson, J.C.; Tao, F.; Tang, Y.; Zhang, X.; Koleva, I.Z.; Aleksandrov, H.A.; Vayssilov, G.N.; et al. Achieving Atomic Dispersion of Highly Loaded Transition Metals in Small-Pore Zeolite SSZ-13: High-Capacity and High-Efficiency Low-Temperature CO and Passive NOx Adsorbers. Angew. Chem. 2018, 130, 16914–16919. [Google Scholar] [CrossRef]
- Khivantsev, K.; Jaegers, N.R.; Kovarik, L.; Prodinger, S.; Derewinski, M.A.; Wang, Y.; Gao, F.; Szanyi, J. Palladium/Beta zeolite passive NOx adsorbers (PNA): Clarification of PNA chemistry and the effects of CO and zeolite crystallite size on PNA performance. Appl. Catal. A Gen. 2019, 569, 141–148. [Google Scholar] [CrossRef]
- Ryou, Y.; Lee, J.; Kim, Y.; Hwang, S.; Lee, H.; Kim, C.H.; Kim, D.H. Effect of reduction treatments (H2 vs. CO) on the NO adsorption ability and the physicochemical properties of Pd/SSZ-13 passive NOx adsorber for cold start application. Appl. Catal. A Gen. 2019, 569, 28–34. [Google Scholar] [CrossRef]
- Theis, J.R.; Ura, J.A. Assessment of zeolite-based Low temperature NOx adsorbers: Effect of reductants during multiple sequential cold starts. Catal. Today 2021, 360, 340–349. [Google Scholar] [CrossRef]
- Nag, N.K. A Study on the Formation of Palladium Hydride in a Carbon-Supported Palladium Catalyst. J. Phys. Chem. B 2001, 105, 5945–5949. [Google Scholar] [CrossRef]
- Han, D.; Ickes, A.M.; Bohac, S.V.; Huang, Z.; Assanis, D.N. HC and CO emissions of premixed low-temperature combustion fueled by blends of diesel and gasoline. Fuel 2012, 99, 13–19. [Google Scholar] [CrossRef]
- Iliyas, A.; Zahedi-Niaki, H.; Eić, M. One-dimensional molecular sieves for hydrocarbon cold-start emission control: Influence of water and CO2. Appl. Catal. A Gen. 2010, 382, 213–219. [Google Scholar] [CrossRef]
- Imbao, J.; Van Bokhoven, J.A.; Nachtegaal, M. Optimization of a heterogeneous Pd–Cu/zeolite Y Wacker catalyst for ethylene oxidation. Chem. Commun. 2020, 56, 1377–1380. [Google Scholar] [CrossRef]
- Imbao, J.; Van Bokhoven, J.A.; Clark, A.; Nachtegaal, M. Elucidating the mechanism of heterogeneous Wacker oxidation over Pd-Cu/zeolite Y by transient XAS. Nat. Commun. 2020, 11, 1–9. [Google Scholar] [CrossRef]
- Daneshvar, K.; Dadi, R.K.; Luss, D.; Balakotaiah, V.; Kang, S.B.; Kalamaras, C.M.; Epling, W.S. Experimental and modeling study of CO and hydrocarbons light-off on various Pt-Pd/γ-Al2O3 diesel oxidation catalysts. Chem. Eng. J. 2017, 323, 347–360. [Google Scholar] [CrossRef]
- Bugosh, G.S.; Harold, M.P. Impact of Zeolite Beta on Hydrocarbon Trapping and Light-Off Behavior on Pt/Pd/BEA/Al2O3 Monolith Catalysts. Emiss. Control Sci. Technol. 2017, 3, 123–134. [Google Scholar] [CrossRef]
- Khivantsev, K.; Jaegers, N.R.; Koleva, I.Z.; Aleksandrov, H.A.; Kovarik, L.; Engelhard, M.H.; Gao, F.; Wang, Y.; Vayssilov, G.N.; Szanyi, J. Stabilization of Super Electrophilic Pd+2 Cations in Small-Pore SSZ-13 Zeolite. J. Phys. Chem. C 2020, 124, 309–321. [Google Scholar] [CrossRef]
- Zhanga, Y.; Fulajtárová, K.; Kubůa, M.; Mazura, M.; Hronecb, M.; Čejka, J. Electronic/steric effects in hydrogenation of nitroarenes over the heterogeneous Pd@BEA and Pd@MWW catalysts. Catal. Today 2020, 345, 39–47. [Google Scholar] [CrossRef]
- Kyriakidou, E.A.; Lee, J.; Choi, J.-S.; Lance, M.; Toops, T.J. A comparative study of silver- and palladium-exchanged zeolites in propylene and nitrogen oxide adsorption and desorption for cold-start applications. Catal. Today 2021, 360, 220–233. [Google Scholar] [CrossRef]
- Xu, J.; Ouyang, L.; Mao, W.; Yang, X.-J.; Xu, X.-C.; Su, J.-J.; Zhuang, T.-Z.; Li, H.; Han, Y.-F. Operando and Kinetic Study of Low-Temperature, Lean-Burn Methane Combustion over a Pd/γ-Al2O3 Catalyst. ACS Catal. 2012, 2, 261–269. [Google Scholar] [CrossRef]
- Aylor, A.W.; Lobree, L.J.; Reimer, J.A.; Bell, A.T. Investigations of the Dispersion of Pd in H-ZSM-5. J. Catal. 1997, 172, 453–462. [Google Scholar] [CrossRef]
- Bensalem, A.; Muller, J.-C.; Tessier, D.; Bozon-Verduraz, F. Spectroscopic study of CO adsorption on palladium–ceria catalysts. J. Chem. Soc. Faraday Trans. 1996, 92, 3233–3237. [Google Scholar] [CrossRef]








| Experiment | Ethylene Uptake (μmol) | Ethylene/Pd Ratio |
|---|---|---|
| Ethylene Dry | 47 | 3.6 |
| Ethylene + H2O | 24 | 1.8 |
| Ethylene + CO Dry | 31 | 2.4 |
| Ethylene + H2O + CO | 3.5 | 0.27 |
| Species | Concentration |
|---|---|
| N2 | Balance |
| O2 | 12% |
| H2O | 6% |
| CO | 500 ppm |
| C2H4 | 200 ppm |
| C12H26 | 58 ppm |
Publisher’s Note: MDPI stays neutral with regard to jurisdictional claims in published maps and institutional affiliations. |
© 2021 by the authors. Licensee MDPI, Basel, Switzerland. This article is an open access article distributed under the terms and conditions of the Creative Commons Attribution (CC BY) license (http://creativecommons.org/licenses/by/4.0/).
Share and Cite
Zelinsky, R.; Epling, W.S. Effects of CO and H2O Co-Feed on the Adsorption and Oxidation Properties of a Pd/BEA Hydrocarbon Trap. Catalysts 2021, 11, 348. https://doi.org/10.3390/catal11030348
Zelinsky R, Epling WS. Effects of CO and H2O Co-Feed on the Adsorption and Oxidation Properties of a Pd/BEA Hydrocarbon Trap. Catalysts. 2021; 11(3):348. https://doi.org/10.3390/catal11030348
Chicago/Turabian StyleZelinsky, Ryan, and William S. Epling. 2021. "Effects of CO and H2O Co-Feed on the Adsorption and Oxidation Properties of a Pd/BEA Hydrocarbon Trap" Catalysts 11, no. 3: 348. https://doi.org/10.3390/catal11030348
APA StyleZelinsky, R., & Epling, W. S. (2021). Effects of CO and H2O Co-Feed on the Adsorption and Oxidation Properties of a Pd/BEA Hydrocarbon Trap. Catalysts, 11(3), 348. https://doi.org/10.3390/catal11030348
