Poisoning Effects of Alkali and Alkaline Earth Metal Doping on Selective Catalytic Reduction of NO with NH3 over the Nb-Ce/Zr-PILC Catalysts
Abstract
1. Introduction
2. Results
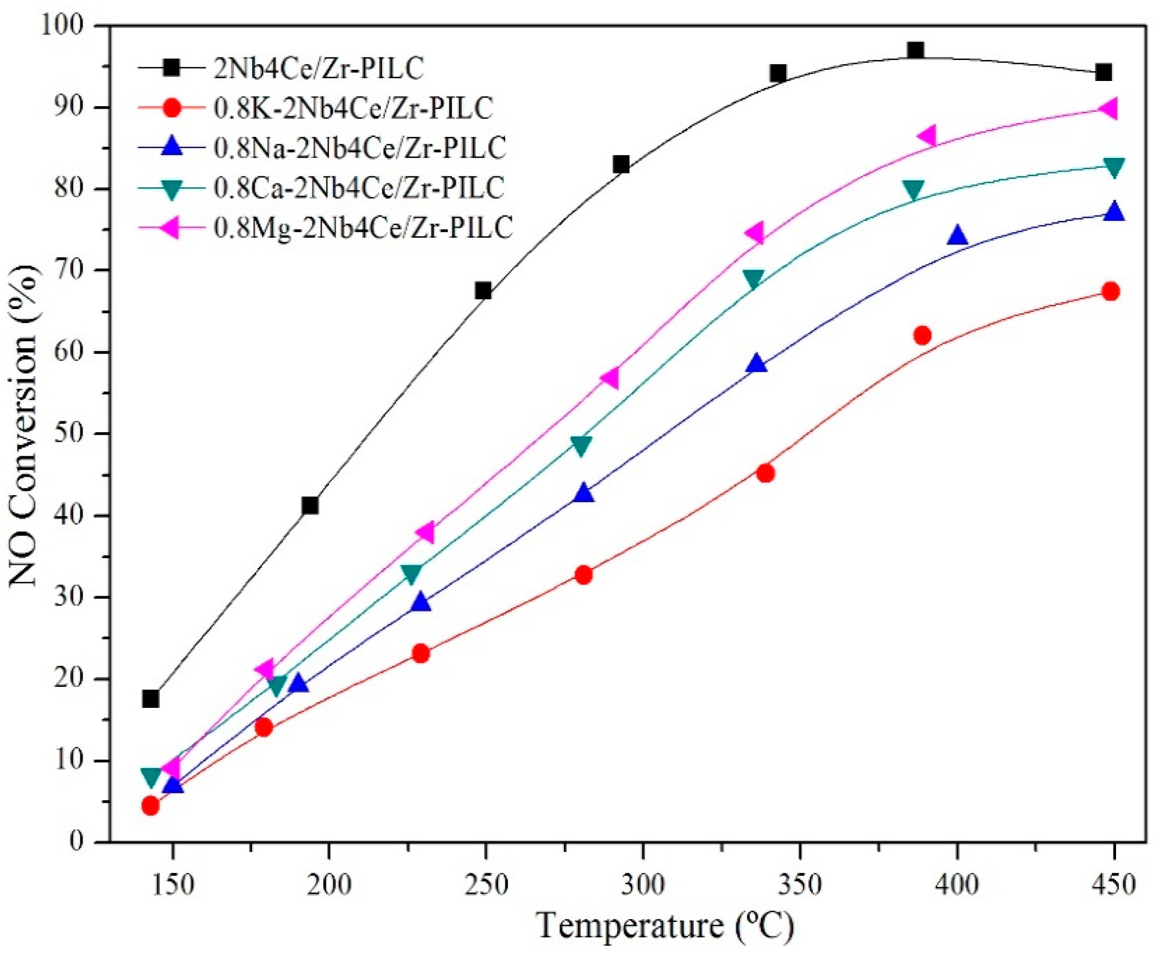
2.1. SCR Performance
2.2. NH3 Oxidation
2.3. XRD
2.4. Surface Area and N2 Adsorption-Desorption Isotherm
2.5. Reducibility
2.6. Surface Elemental Composition
2.7. Surface Acidity
2.7.1. NH3-TPD
2.7.2. DRIFTS Study of NH3 Adsorption
3. Discussion
4. Experimental
4.1. Catalyst Preparation
4.2. Catalyst Characterization
4.3. NH3-SCR and NH3 Oxidation
5. Conclusions
Author Contributions
Funding
Data Availability Statement
Acknowledgments
Conflicts of Interest
References
- Tang, F.-S.; Xu, B.-L.; Shi, H.-H.; Qiu, J.-H.; Fan, Y.-N. The poisoning effect of Na+ and Ca2+ ions doped on the V2O5/TiO2 catalysts for selective catalytic reduction of NO by NH3. Appl. Catal. B Environ. 2010, 94, 71–76. [Google Scholar] [CrossRef]
- Fang, D.; He, F.; Xie, J.-L. Characterization and performance of common alkali metals and alkaline earth metals loaded Mn/TiO2 catalysts for NOx removal with NH3. J. Energy Inst. 2019, 92, 319–331. [Google Scholar] [CrossRef]
- Wang, H.-Q.; Chen, X.-B.; Gao, S.; Wu, Z.-B.; Liu, Y.; Weng, X.-L. Deactivation mechanism of Ce/TiO2 selective catalytic reduction catalysts by the loading of sodium and calcium salts. Catal. Sci. Technol. 2013, 3, 715–722. [Google Scholar] [CrossRef]
- Chen, L.; Li, J.-H.; Ge, M.-F. The poisoning effect of alkali metals doping over nano V2O5–WO3/TiO2 catalysts on selective catalytic reduction of NOx by NH3. Chem. Eng. J. 2011, 170, 531–537. [Google Scholar] [CrossRef]
- Kong, M.; Liu, Q.-C.; Jiang, L.-J.; Tong, W.; Yang, J.; Ren, S.; Li, J.-L.; Tian, Y.-M. K+ deactivation of V2O5–WO3/TiO2 catalyst during selective catalytic reduction of NO with NH3: Effect of vanadium content. Chem. Eng. J. 2019, 370, 518–526. [Google Scholar] [CrossRef]
- Zhang, S.; Liu, S.-J.; Hu, W.-S.; Zhu, X.-B.; Qu, R.-Y.; Wu, W.-H.; Zheng, C.-H.; Gao, X. New insight into alkali resistance and low temperature activation on vanadia–titania catalysts for selective catalytic reduction of NO. Appl. Surf. Sci. 2019, 466, 99–109. [Google Scholar] [CrossRef]
- Tang, C.-J.; Zhang, H.-L.; Dong, L. Ceria-based catalysts for low-temperature selective catalytic reduction of NO with NH3. Catal. Sci. Technol. 2016, 6, 1248–1264. [Google Scholar] [CrossRef]
- Xu, J.-Q.; Yu, H.-J.; Zhang, C.; Guo, F.; Xie, J.-Q. Development of cerium-based catalysts for selective catalytic reduction of nitrogen oxides: A review. New J. Chem. 2019, 43, 3947–3996. [Google Scholar] [CrossRef]
- Gao, X.; Jiang, Y.; Zhong, Y.; Luo, Z.-Y.; Cen, K.-F. The activity and characterization of CeO2–TiO2 catalysts prepared by the sol–gel method for selective catalytic reduction of NO with NH3. J. Hazard Mater. 2010, 174, 734–739. [Google Scholar] [CrossRef]
- Shan, W.-P.; Geng, Y.; Chen, X.-L.; Huang, N.; Liu, F.-D.; Yang, S.-J. A highly efficient CeWOx catalyst for the selective catalytic reduction of NOx with NH3. Catal. Sci. Technol. 2016, 6, 1195–1200. [Google Scholar] [CrossRef]
- Ma, Z.-R.; Wu, X.-D.; Si, Z.-C.; Weng, D.; Ma, J.; Xu, T.-F. Impacts of niobia loading on active sites and surface acidity in NbO/CeO2–ZrO2 NH3–SCR catalysts. Appl. Catal. B Environ. 2015, 179, 380–394. [Google Scholar] [CrossRef]
- Ding, S.-P.; Liu, F.-D.; Shi, X.-Y.; Liu, K.; Lian, Z.-H.; Xie, L.-J.; He, H. Significant promotion effect of Mo additive on a novel Ce–Zr mixed oxide catalyst for the selective catalytic reduction of NOx with NH3. ACS Appl. Mater. Interfaces 2015, 7, 9497–9506. [Google Scholar] [CrossRef]
- Mosrati, J.; Atia, H.; Eckelt, R.; Lund, H.; Agostini, G.; Bentrup, U.; Rockstroh, N.; Keller, S.; Armbruster, U.; Mhamdi, M. Nb-modified Ce/Ti oxide catalyst for the selective catalytic reduction of NO with NH3 at low temperature. Catalysts 2018, 8, 175. [Google Scholar] [CrossRef]
- Li, K.-X.; Lei, J.-X.; Yuan, G.-A.; Weerachanchai, P.; Wang, J.-Y.; Zhao, J.; Yang, Y.-H. Fe-, Ti-, Zr- and Al-pillared clays for efficient catalytic pyrolysis of mixed plastics. Chem. Eng. J. 2017, 317, 800–809. [Google Scholar] [CrossRef]
- Zang, S.-M.; Zhang, G.-Z.; Qiu, W.-G.; Song, L.-Y.; Zhang, R.; He, H. Resistance to SO2 poisoning of V2O5/TiO2–PILC catalyst for the selective catalytic reduction of NO by NH3. Chin. J. Catal. 2016, 37, 888–897. [Google Scholar] [CrossRef]
- Boudali, L.-K.; Ghorbel, A.; Grange, P. SCR of NO by NH3 over V2O5 supported sulfated Ti-pillared clay: Reactivity and reducibility of catalysts. Appl. Catal. A Gen. 2006, 305, 7–14. [Google Scholar] [CrossRef]
- Cheng, J. Study on the NH3-SCR Performance and Poisoning Mechanism of Ce Based Zr or Al−Mn Pillared Montmorillonite Catalysts. Ph.D. Thesis, Beijing University of Technology, Beijing, China, 2020. (In Chinese). [Google Scholar]
- Yang, S.-J.; Fu, Y.-W.; Liao, Y.; Xiong, S.-C.; Qu, Z.; Yan, N.-Q.; Li, J.-H. Competition of selective catalytic reduction and non selective catalytic reduction over MnOx/TiO2 for NO removal: The relationship between gaseous NO concentration and N2O selectivity. Catal. Sci. Technol. 2014, 4, 224–232. [Google Scholar] [CrossRef]
- Lian, Z.-H.; Shan, W.-P.; Wang, M.; He, H.; Feng, Q.-C. The balance of acidity and redox capability over modified CeO2 catalyst for the selective catalytic reduction of NO with NH3. J. Environ. Sci. China 2019, 79, 273–279. [Google Scholar] [CrossRef]
- Rezala, H.; Khalaf, H.; Valverde, J.-L.; Romero, A.; Molinari, A.; Maldotti, A. Photocatalysis with Ti-pillared clays for the oxofunctionalization of alkylaromatics by O2. Appl. Catal. A Gen. 2009, 352, 234–242. [Google Scholar] [CrossRef]
- Qu, R.-Y.; Gao, X.; Cen, K.-F.; Li, J.-H. Relationship between structure and performance of a novel cerium-niobium binary oxide catalyst for selective catalytic reduction of NO with NH3. Appl. Catal. B Environ. 2013, 142–143, 290–297. [Google Scholar] [CrossRef]
- Fan, J.; Ning, P.; Song, Z.-X.; Liu, X.; Wang, L.-Y.; Wang, J.; Wang, H.-M.; Long, K.-X.; Zhang, Q.-L. Mechanistic aspects of NH3-SCR reaction over CeO2/TiO2–ZrO2–SO42− catalyst: In situ DRIFTS investigation. Chem. Eng. J. 2018, 334, 855–863. [Google Scholar] [CrossRef]
- Zhu, B.-Z.; Zi, Z.-H.; Sun, Y.-L.; Fang, Q.-L.; Xu, J.-C.; Song, W.-Y.; Yu, H.-L.; Liu, E.-H. Enhancing low-temperature SCR de-NOx and alkali metal poisoning resistance of a 3Mn10Fe/Ni catalyst by adding Co. Catal. Sci. Technol. 2019, 9, 3214–3225. [Google Scholar] [CrossRef]
- Wang, P.-L.; Chen, S.; Gao, S.; Zhang, J.-Y.; Wang, H.-Q.; Wu, Z.-B. Niobium oxide confined by ceria nanotubes as a novel SCR catalyst with excellent resistance to potassium, phosphorus, and lead. Appl. Catal. B Environ. 2018, 231, 299–309. [Google Scholar] [CrossRef]
- Yan, Z.-D.; Shi, X.-Y.; Yu, Y.-B.; He, H. Alkali resistance promotion of Ce-doped vanadium-titanic-based NH3-SCR catalysts. J. Environ. Sci. China 2018, 73, 155–161. [Google Scholar] [CrossRef]
- Carja, G.; Kameshima, Y.; Okada, K.; Madhusoodana, C.-D. Mn–Ce/ZSM5 as a new superior catalyst for NO reduction with NH3. Appl. Catal. B Environ. 2007, 73, 60–64. [Google Scholar] [CrossRef]
- Xu, H.-D.; Wang, Y.; Cao, Y.; Fang, Z.-T.; Lin, T.; Gong, M.-C.; Chen, Y.-Q. Catalytic performance of acidic zirconium-based composite oxides monolithic catalyst on selective catalytic reduction of NOx with NH3. Chem. Eng. J. 2014, 240, 62–73. [Google Scholar] [CrossRef]
- Liu, Z.-M.; Zhang, S.-X.; Li, J.-H.; Ma, L.-L. Promoting effect of MoO3 on the NOx reduction by NH3 over CeO2/TiO2 catalyst studied with in situ DRIFTS. Appl. Catal. B Environ. 2014, 144, 90–95. [Google Scholar] [CrossRef]
- Gao, G.; Shi, J.-W.; Liu, C.; Gao, C.; Fan, Z.-Y.; Niu, C.-M. Mn/CeO2 catalysts for SCR of NOx with NH3: Comparative study on the effect of supports on low-temperature catalytic activity. Appl. Surf. Sci. 2017, 411, 338–346. [Google Scholar] [CrossRef]
- Chen, C.-M.; Wu, X.-D.; Yu, W.-C.; Gao, Y.-X.; Weng, D.; Shi, L.; Geng, C.-L. Potassium poisoning of titania supported deNOx catalysts: Preservation of vanadia and sacrifice of tungsten oxide. Chin. J. Catal. 2015, 36, 1287–1294. [Google Scholar] [CrossRef]
- Li, G.-B.; Zhu, B.-Z.; Sun, Y.-L.; Yin, S.-L.; Zi, Z.-H.; Fang, Q.-L.; Ge, T.-T.; Li, J.-X. Study of the alkali metal poisoning resistance of a Co-modified Mn/Ni foam catalyst in low-temperature flue gas SCR DeNOx. J. Mater. Sci. 2018, 53, 9674–9689. [Google Scholar] [CrossRef]
- Liu, Z.-M.; Zhang, S.-X.; Li, J.-H.; Zhu, J.-Z.; Ma, L.-L. Novel V2O5–CeO2/TiO2 catalyst with low vanadium loading for the selective catalytic reduction of NOx by NH3. Appl. Catal. B Environ. 2014, 158–159, 11–19. [Google Scholar] [CrossRef]
- Wang, S.-X.; Guo, R.-T.; Pan, W.-G.; Chen, Q.-L.; Sun, P.; Li, M.-Y.; Liu, S.-M. The deactivation of Ce/TiO2 catalyst for NH3-SCR reaction by alkali metals: TPD and DRIFT studies. Catal. Commun. 2017, 89, 143–147. [Google Scholar] [CrossRef]
- Peng, Y.; Li, J.-H.; Huang, X.; Li, X.; Su, W.-K.; Sun, X.-X.; Wang, D.-Z.; Hao, J.-M. Deactivation Mechanism of Potassium on the V2O5/CeO2 Catalysts for SCR Reaction: Acidity, Reducibility and Adsorbed-NOx. Environ. Sci. Technol. 2014, 48, 4515–4520. [Google Scholar] [CrossRef] [PubMed]











| Sample | BET Surface Area (m2/g) | Pore Volume (cm3/g) |
|---|---|---|
| 2Nb4Ce/Zr-PILC | 271 | 0.164 |
| 0.3K-2Nb4Ce/Zr-PILC | 231 | 0.150 |
| 0.8K-2Nb4Ce/Zr-PILC | 215 | 0.134 |
| 0.8Na-2Nb4Ce/Zr-PILC | 215 | 0.140 |
| 0.8Ca-2Nb4Ce/Zr-PILC | 217 | 0.148 |
| 0.8Mg-2Nb4Ce/Zr-PILC | 224 | 0.149 |
| Sample | Reduction Peak Temperature (°C) | H2 Consumption (mmol/g) | |||
|---|---|---|---|---|---|
| Peak 1 | Peak 2 | Peak 3 | Peak 4 | ||
| 2Nb4Ce/Zr-PILC | 473 | 570 | 671 | 779 | 0.390 |
| 0.3K-2Nb4Ce/Zr-PILC | 476 | 576 | 677 | 815 | 0.291 |
| 0.8K-2Nb4Ce/Zr-PILC | 483 | 575 | 701 | 806 | 0.236 |
| 0.8Na-2Nb4Ce/Zr-PILC | 479 | 572 | 694 | 808 | 0.255 |
| 0.8Ca-2Nb4Ce/Zr-PILC | 480 | 570 | 692 | 800 | 0.262 |
| 0.8Mg-2Nb4Ce/Zr-PILC | 489 | 580 | 706 | 812 | 0.265 |
| Sample | Composition of Cerium Species (at%) | Composition of Oxygen Species (at%) | ||||
|---|---|---|---|---|---|---|
| Ce3+ | Ce4+ | Ce3+/Ce4+ Atomic Ratio | Oα | Oβ | Oγ | |
| 2Nb4Ce/Zr-PILC | 45.1 | 54.9 | 0.82 | 12.5 | 42.3 | 45.2 |
| 0.3K-2Nb4Ce/Zr-PILC | 33.4 | 66.6 | 0.50 | 12.4 | 28.3 | 59.3 |
| 0.8K-2Nb4Ce/Zr-PILC | 29.0 | 71.0 | 0.41 | 13.1 | 22.6 | 64.3 |
| 0.8Na-2Nb4Ce/Zr-PILC | 33.7 | 66.3 | 0.51 | 12.8 | 25.1 | 62.1 |
| 0.8Ca-2Nb4Ce/Zr-PILC | 35.8 | 64.2 | 0.56 | 14.7 | 31.2 | 54.1 |
| 0.8Mg-2Nb4Ce/Zr-PILC | 37.0 | 63.0 | 0.59 | 12.7 | 36.2 | 51.1 |
| Sample | Temperature (°C) | Acidity (mmolNH3/g) | Total Desorption Amount (mmol/g) | ||||
|---|---|---|---|---|---|---|---|
| Weak Peak | Medium Peak | Strong Peak | Weak Peak | Medium Peak | Strong Peak | ||
| 2Nb4Ce/Zr-PILC | 175 | 218 | 287 | 0.048 | 0.092 | 0.119 | 0.259 |
| 0.3K-2Nb4Ce/Zr-PILC | 184 | 229 | 306 | 0.023 | 0.062 | 0.064 | 0.149 |
| 0.8K-2Nb4Ce/Zr-PILC | 181 | 225 | 293 | 0.030 | 0.046 | 0.054 | 0.130 |
| 0.8Na-2Nb4Ce/Zr-PILC | 183 | 229 | 295 | 0.033 | 0.057 | 0.069 | 0.159 |
| 0.8Ca-2Nb4Ce/Zr-PILC | 182 | 228 | 303 | 0.032 | 0.065 | 0.080 | 0.177 |
| 0.8Mg-2Nb4Ce/Zr-PILC | 180 | 227 | 304 | 0.037 | 0.071 | 0.074 | 0.182 |
Publisher’s Note: MDPI stays neutral with regard to jurisdictional claims in published maps and institutional affiliations. |
© 2021 by the authors. Licensee MDPI, Basel, Switzerland. This article is an open access article distributed under the terms and conditions of the Creative Commons Attribution (CC BY) license (http://creativecommons.org/licenses/by/4.0/).
Share and Cite
Li, C.; Cheng, J.; Ye, Q.; Meng, F.; Wang, X.; Dai, H. Poisoning Effects of Alkali and Alkaline Earth Metal Doping on Selective Catalytic Reduction of NO with NH3 over the Nb-Ce/Zr-PILC Catalysts. Catalysts 2021, 11, 329. https://doi.org/10.3390/catal11030329
Li C, Cheng J, Ye Q, Meng F, Wang X, Dai H. Poisoning Effects of Alkali and Alkaline Earth Metal Doping on Selective Catalytic Reduction of NO with NH3 over the Nb-Ce/Zr-PILC Catalysts. Catalysts. 2021; 11(3):329. https://doi.org/10.3390/catal11030329
Chicago/Turabian StyleLi, Chenxi, Jin Cheng, Qing Ye, Fanwei Meng, Xinpeng Wang, and Hongxing Dai. 2021. "Poisoning Effects of Alkali and Alkaline Earth Metal Doping on Selective Catalytic Reduction of NO with NH3 over the Nb-Ce/Zr-PILC Catalysts" Catalysts 11, no. 3: 329. https://doi.org/10.3390/catal11030329
APA StyleLi, C., Cheng, J., Ye, Q., Meng, F., Wang, X., & Dai, H. (2021). Poisoning Effects of Alkali and Alkaline Earth Metal Doping on Selective Catalytic Reduction of NO with NH3 over the Nb-Ce/Zr-PILC Catalysts. Catalysts, 11(3), 329. https://doi.org/10.3390/catal11030329

