One-Pot Microwave-Assisted Synthesis of Graphene-Supported PtCoM (M = Mn, Ru, Mo) Catalysts for Low-Temperature Fuel Cells
Abstract
:1. Introduction
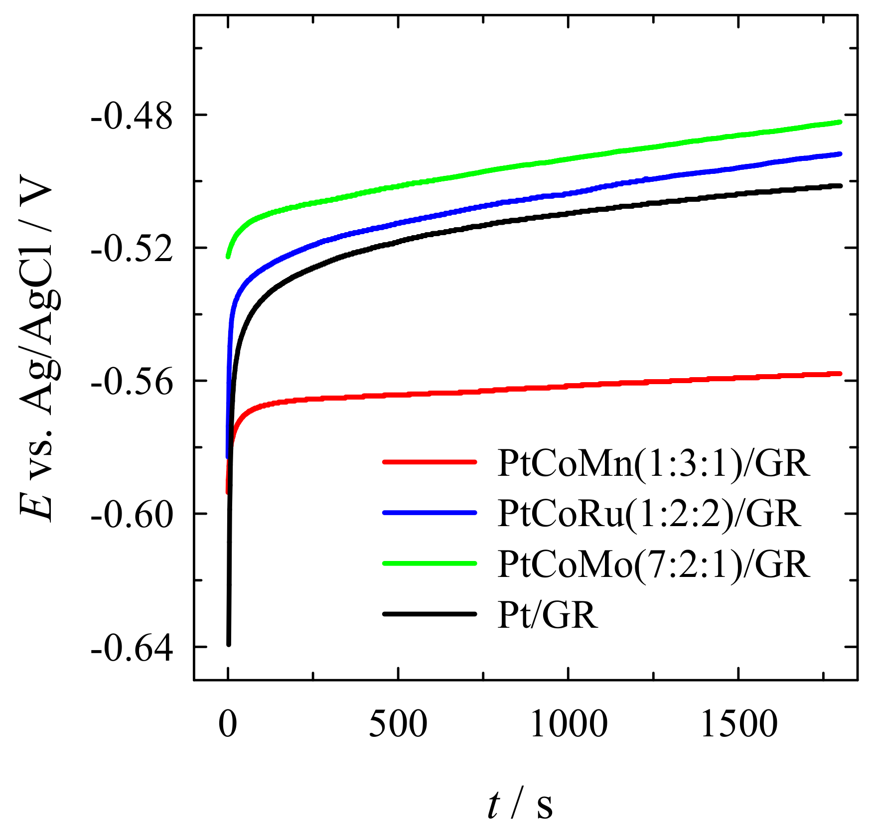
2. Results
3. Materials and Methods
3.1. Synthesis of Graphene-Supported PtCoM (M = Mn, Mo, Ru) Nanoparticle Catalysts
- PtCoRu/GR: 1.2 mM H2PtCl6, 12 mM CoCl2, 6 mM RuCl3, 0.1 g graphene powder, ethylene glycol;
- PtCoMo/GR: 1.2 mM H2PtCl6, 12 mM CoCl2, 6 mM Na2MoO4, 0.1 g graphene powder, ethylene glycol;
- PtCoMn/GR: 1.2 mM H2PtCl6, 12 mM CoCl2, 3.1 mM MnCl2, 0.1 g graphene powder, ethylene glycol.
3.2. Characterization of Catalysts
3.3. Electrochemical Measurements
4. Conclusions
Author Contributions
Funding
Data Availability Statement
Conflicts of Interest
References
- Goor, M.; Menkin, S.; Peled, E. High power direct methanol fuel cell for mobility and portable applications. Int. J. Hydrog. Energy 2019, 44, 3138–3143. [Google Scholar] [CrossRef]
- Yang, L.; Ge, J.; Liu, C.; Wang, G.; Xing, W. Approaches to improve the performance of anode methanol oxidation reaction—A short review. Curr. Opin. Electrochem. 2017, 4, 83–88. [Google Scholar] [CrossRef]
- Wang, B.; Zhou, Y.; Du, Q.; Yin, Y.; Jiao, K. Transient investigation of passive alkaline membrane direct methanol fuel cell. Appl. Therm. Eng. 2016, 100, 1245–1258. [Google Scholar] [CrossRef]
- Kakati, N.; Lee, S.H.; Maiti, J.; Yoon, Y.S. Ru decorated Pt nanoparticles by a modified polyol process for enhanced catalytic activity for methanol oxidation. Surf. Sci. 2012, 606, 1633–1637. [Google Scholar] [CrossRef]
- Zhao, S.; Yin, H.; Du, L.; Yin, G.; Tang, Z.; Liu, S. Three dimensional N-doped graphene/PtRu nanoparticle hybrids as high performance anode for direct methanol fuel cells. J. Mater. Chem. A 2014, 2, 3719–3724. [Google Scholar] [CrossRef]
- Chen, W.; Wei, X.; Zhang, Y. A comparative study of tungsten-modified PtRu electrocatalysts for methanol oxidation. Int. J. Hydrog. Energy 2014, 39, 6995–7003. [Google Scholar] [CrossRef]
- Xiao, M.; Feng, L.; Zhu, J.; Xing, W. Rapid synthesis of a PtRu nano-sponge with different surface compositions and performance evaluation for methanol electrooxidation. Nanoscale 2015, 7, 9467–9471. [Google Scholar] [CrossRef]
- Li, M.; Zheng, H.; Han, G.; Xiao, Y.; Li, Y. Facile synthesis of binary PtRu nanoflowers for advanced electrocatalysts toward methanol oxidation. Catal. Commun. 2017, 92, 95–97. [Google Scholar] [CrossRef]
- Lu, S.; Eid, K.; Ge, D.; Guo, J.; Wang, L.; Wang, H.; Gu, H. One-pot synthesis of PtRu nanodendrites as efficient catalysts for methanol oxidation reaction. Nanoscale 2017, 9, 1033–1039. [Google Scholar] [CrossRef]
- Çögenli, M.S.; Yurtcan, A.B. Catalytic activity, stability and impedance behavior of PtRu/C, PtPd/C and PtSn/C bimetallic catalysts toward methanol and formic acid oxidation. Int. J. Hydrog. Energy 2018, 43, 10698–10709. [Google Scholar] [CrossRef]
- Luo, F.; Zhang, Q.; Qu, K.; Guo, L.; Hu, H.; Zang, Y. Decorated PtRu Electro-catalyst for Concentrated Direct Methanol Fuel Cells. Chem. Cat. Chem. 2019, 11, 1238–1243. [Google Scholar] [CrossRef]
- Shi, Y.; Zhu, W.; Shi, H.; Liao, F.; Fan, Z.; Shao, M. Mesocrystal PtRu supported on reduced graphene oxide as catalysts for methanol oxidation reaction. J. Colloid Interface Sci. 2019, 557, 729–736. [Google Scholar] [CrossRef] [PubMed]
- Tian, M.; Shi, S.; Shen, Y.; Yin, H. PtRu alloy nanoparticles supported on nanoporous gold as an efficient anode catalyst for direct methanol fuel cell. Electrochim. Acta 2019, 293, 390–398. [Google Scholar] [CrossRef]
- Burkan, H.; Cellat, K.; Yilmaz, G.; Şen, F. Direct methanol fuel cells (DMFCs). In Direct Liquid Fuel Cells; Akay, R.G., Yurtcan, A.B., Eds.; Academic Press: Cambridge, MA, USA, 2021; pp. 71–94. [Google Scholar] [CrossRef]
- Chang, G.; Cai, Z.; Jia, H.; Zhang, Z.; Liu, X.; Liu, Z.; Zhu, R.; He, Y. High electrocatalytic performance of a graphene-supported PtAu nanoalloy for methanol oxidation. Int. J. Hydrog. Energy 2018, 43, 12803–12810. [Google Scholar] [CrossRef]
- Prabu, N.; Jeyakumar, D. Superior Electrocatalytic Performance of Au-Pt Graded Nano-Alloys towards Alcohol Oxidation Reaction. Chem. Sel. 2018, 3, 13207–13216. [Google Scholar] [CrossRef]
- Huang, D.B.; Yuan, Q.; Wang, H.H.; Zhou, Z.Y. Facile synthesis of PdPt nanoalloys with sub-2.0 nm islands as robust electrocatalysts for methanol oxidation. Chem. Commun. 2014, 50, 13551–13554. [Google Scholar] [CrossRef]
- Wang, H.; Sheng, L.; Zhao, X.; An, K.; Ou, Z.; Fang, Y. One-step synthesis of Pt-Pd catalyst nanoparticles supported on few-layer graphene for methanol oxidation. Curr. Appl. Phys. 2018, 18, 898–904. [Google Scholar] [CrossRef]
- Arukula, R.; Vinothkannan, M.; Kim, A.R.; Yoo, D.J. Cumulative effect of bimetallic alloy, conductive polymer and graphene toward electrooxidation of methanol: An efficient anode catalyst for direct methanol fuel cells. J. Alloys Compd. 2019, 771, 477–488. [Google Scholar] [CrossRef]
- Hanifah, M.F.R.; Jaafar, J.; Othman, M.H.D.; Ismail, A.F.; Rahman, M.A.; Yusof, N.; Aziz, F.; Rahman, N.A. One-pot synthesis of efficient reduced graphene oxide supported binary Pt-Pd alloy nanoparticles as superior electrocatalyst and its electrocatalytic performance toward methanol electro-oxidation reaction in direct methanol fuel cell. J. Alloys Compd. 2019, 793, 232–246. [Google Scholar] [CrossRef]
- Xu, C.; Hou, J.; Pang, X.; Li, X.; Zhu, M.; Tang, B. Nanoporous PtCo and PtNi alloy ribbons for methanol electrooxidation. Int. J. Hydrog. Energy 2012, 37, 10489–10498. [Google Scholar] [CrossRef]
- Zheng, J.N.; He, L.L.; Chen, C.; Wang, A.-J.; Ma, K.-F.; Feng, J.-J. One-pot synthesis of platinum3cobalt nanoflowers with enhanced oxygen reduction and methanol oxidation. J. Power Sources 2014, 268, 744–751. [Google Scholar] [CrossRef]
- Kepeniene, V.; Tamasauskaite-Tamasiunaite, L.; Jablonskiene, J.; Semasko, M.; Vaiciuniene, J.; Vaitkus, R.; Norkus, E. One-pot synthesis of graphene supported platinum-cobalt nanoparticles as electrocatalysts for methanol oxidation. Mat. Chem. Phys. 2016, 171, 145–152. [Google Scholar] [CrossRef]
- Lei, F.; Li, Z.; Zhang, L.; Wang, Y.; Xu, S.; Lin, S. Facile synthesis of Pt-Cu (Ni, Co)/GNs-CD and their enhanced electrocatalytic activity for methanol oxidation. J. Electrochem. Soc. 2016, 163, F913–F918. [Google Scholar] [CrossRef]
- Baronia, R.; Goel, J.; Tiwari, S.; Singh, P.; Singh, D.; Singh, S.P.; Singhal, S.K. Efficient electro-oxidation of methanol using PtCo nanocatalysts supported reduced graphene oxide matrix as anode for DMFC. Int. J. Hydrog. Energy 2017, 42, 10238–10247. [Google Scholar] [CrossRef]
- Ding, J.; Ji, S.; Wang, H.; Pollet, B.G.; Wang, R. Tailoring nanopores within nanoparticles of PtCo networks as catalysts for methanol oxidation reaction. Electrochim. Acta 2017, 255, 55–62. [Google Scholar] [CrossRef]
- Zhao, J.; Zhou, Y.; Qin, L.; Zhao, M. Synthesis of Pt-Co micro/nanoporous array with high activity for methanol electrooxidation. Mater. Lett. 2018, 216, 166–169. [Google Scholar] [CrossRef]
- Ren, W.; Zang, W.; Zhang, H.; Bian, J.; Chen, Z.; Guan, C.; Cheng, C. PtCo bimetallic nanoparticles encapsulated in N-doped carbon nanorod arrays for efficient electrocatalysis. Carbon 2019, 142, 206–216. [Google Scholar] [CrossRef]
- Liu, S.; Qin, L.; Liu, G.; Li, J.; Zhang, Q.; Zhao, J. Controlled growth of PtCo nanoparticles on Ni bowl-like pore arrays as an electrocatalyst for methanol oxidation. Solid State Sci. 2020, 107, 106358. [Google Scholar] [CrossRef]
- Li, Z.; Jiang, X.; Wang, X.; Hu, J.; Liu, Y.; Fu, G.; Tang, Y. Concave PtCo nanocrosses for methanol oxidation reaction. Appl. Catal. B Environ. 2020, 277, 119135. [Google Scholar] [CrossRef]
- Macias-Ferrer, D.; Melo-Banda, J.A.; Silva-Rodrigo, R.; Lam-Maldonado, M.; Páramo-García, U.; Verde-Gómez, J.Y.; Del-Ángel-Vicente, P. Highly dispersed PtCo nanoparticles on micro/nano-structured pyrolytic carbon from refined sugar for methanol electro-oxidation in acid media. Catal. Today 2020, 349, 159–167. [Google Scholar] [CrossRef]
- Tamašauskaitė-Tamašiūnaitė, L.; Balčiūnaitė, A.; Vaiciukevičienė, A.; Selskis, A.; Norkus, E. Investigation of electrocatalytic activity of titania nanotube supported nanostructured Pt-Ni catalyst towards methanol oxidation. J. Power Sources 2013, 225, 20–26. [Google Scholar] [CrossRef]
- Yang, P.; Yuan, X.; Hu, H.; Liu, Y.; Zheng, H.; Yang, A.; Chen, L.; Cao, M.; Xu, Y.; Min, Y.; et al. Solvothermal synthesis of alloyed PtNi colloidal nanocrystal clusters (CNCs) with enhanced catalytic activity for methanol oxidation. Adv. Funct. Mater. 2018, 28, 1704774. [Google Scholar] [CrossRef]
- Gao, S.; Yang, X.; Liang, S.; Wang, Y.-H.; Zang, H.-Y. One step synthesis of PtNi electrocatalyst for methanol oxidation. Inorg. Chem. Commun. 2019, 106, 104–110. [Google Scholar] [CrossRef]
- Peng, X.; Zhao, Y.; Chen, D.; Fan, Y.; Wang, X.; Wang, W. One-pot synthesis of reduced graphene oxide supported PtCuy catalysts with enhanced electrocatalytic activity for the methanol oxidation reaction. Electrochim. Acta 2014, 136, 292–300. [Google Scholar] [CrossRef]
- Zhang, Z.; Luo, Z.; Chen, B.; Wei, C.; Zhao, J.; Chen, J.; Zhang, X.; Lai, Z.; Fan, Z.; Tan, C.; et al. One-pot synthesis of highly anisotropic five-fold-twinned PtCu nanoframes used as a bifunctional electrocatalyst for oxygen reduction and methanol oxidation. Adv. Mater. 2016, 28, 8712–8717. [Google Scholar] [CrossRef]
- Li, R.; Li, S.; Liu, Y.; Ochiai, T.; Latthe, S.S.; Nakata, K.; Xinga, R.; Liu, S. Polyelectrolyte-assisted soft reduced process for Pt-Cu nanoclusters with enhanced electrocatalytic activity for the methanol oxidation reaction. J. Phys. Chem. Solids 2019, 124, 361–366. [Google Scholar] [CrossRef]
- Long, X.; Yin, P.; Lei, T.; Wang, K.; Zhan, Z. Methanol electro-oxidation on Cu@Pt/C core-shell catalyst derived from Cu-MOF. Appl. Catal. B Environ. 2020, 260, 118187. [Google Scholar] [CrossRef]
- Lv, Q.; Xiao, Y.; Yin, M.; Ge, J.; Xing, W.; Liu, C. Reconstructed PtFe alloy nanoparticles with bulk-surface differential structure for methanol oxidation. Electrochim. Acta 2014, 139, 61–68. [Google Scholar] [CrossRef]
- El-Khatib, K.M.; Abdel Hameed, R.M.; Amin, R.S.; Fetohi, A.E. Core-shell structured Pt-transition metals nanoparticles supported on activated carbon for direct methanol fuel cells. Microchem. J. 2019, 145, 566–577. [Google Scholar] [CrossRef]
- Kilmonis, T.; Nacys, A.; Šimkūnaitė, D.; Tamašauskaitė-Tamašiūnaitė, L.; Balčiūnaitė, A.; Norkus, E. Investigation of methanol electro-oxidation on graphene supported platinum–tungsten catalyst. Chemija 2019, 30, 146–153. [Google Scholar] [CrossRef]
- Lian, J.; Li, C.; Liu, T.; Yuan, Q. One-step synthesis of porous PtNiCu trimetallic nanoalloy with enhanced electrocatalytic performance toward methanol oxidation. J. Saudi Chem. Soc. 2019, 23, 43–51. [Google Scholar] [CrossRef]
- Ravichandran, S.; Karthikeyan, E. Microwave synthesis—A potential tool for green chemistry. Int. J. Chem. Tech. Res. 2011, 3, 466–470. Available online: http://sphinxsai.com/Vol.3No.1/chem_jan-mar11/pdf/CT=72(466-470)%20JMCT11.pdf (accessed on 7 October 2021).
- Cui, J.; Li, W.; Song, X.; Zhang, Z.; Yu, H.; Shan, W.; Xiong, Y. Microwave-assisted one-pot rapid synthesis of mesoporous silica-chitosan composites for efficient recovery of rhenium(Ⅶ). Sep. Purif. Technol. 2021, 277, 119497. [Google Scholar] [CrossRef]
- Siakavelas, I.; Charisiou, N.D.; AlKhoori, S.; AlKhoori, A.A.; Sebastian, V.; Hinder, S.J.; Baker, M.A.; Yentekakis, I.V.; Polychronopoulou, K.; Goula, M.A. Highly selective and stable nickel catalysts for the CO2 methanation reaction based over supported on ceria promoted with Sm2O3, Pr2O3 and MgO for the CO2 methanation. Appl. Catal. B-Environ. 2021, 282, 119562. [Google Scholar] [CrossRef]
- AlKhoori, A.; Polychronopoulou, K.; Belabbes, A.; Jaoude, M.A.; Vega, L.F.; Sebastian, V.; Hinder, S.; Baker, M.A.; Zedan, A.F. Cu, Sm co-doping effect on the CO oxidation activity of CeO2. A combined experimental and density functional study. Appl. Surf. Sci. 2020, 521, 146305. [Google Scholar] [CrossRef]
- Siakavelas, I.; Charisiou, N.D.; AlKhoori, A.; AlKhoori, S.; Sebastian, V.; Hinder, S.J.; Baker, M.A.; Yentekakis, I.V.; Polychronopoulou, K.; Goula, M.A. Highly selective and stable Ni/La-M (M=Sm, Pr, and Mg)-CeO2 catalysts for CO2 methanation. J. CO2 Util. 2021, 51, 101618. [Google Scholar] [CrossRef]
- Menendez, J.A.; Arenillas, A.; Fidalgo, B.; Fernandez, Y.; Zubizarreta, L.; Calvo, E.G.; Bermudez, J.M. Microwave heating processes involving carbon materials. Fuel Process. Technol. 2010, 91, 1–8. [Google Scholar] [CrossRef] [Green Version]
- Elrouby, M.; AbdEl-Lateef, H.M.; Sadef, M. Electrodeposited Pt nanorods on a novel flowered-like nanostructured Ni-Co alloy as an electrocatalyst for methanol oxidation. Int. J. Hydrog. Energy 2019, 44, 13820–13834. [Google Scholar] [CrossRef]
- Han, Z.; Wang, A.-J.; Zhang, L.; Wang, Z.-G.; Fang, K.-M.; Yin, Z.-Z.; Feng, J.-J. 3D highly branched PtCoRh nanoassemblies: Glycine-assisted solvothermal synthesis and superior catalytic activity for alcohol oxidation. J. Colloid Interface Sci. 2019, 554, 512–519. [Google Scholar] [CrossRef]
- Wang, Y.-X.; Liu, C.-F.; Yang, M.-L.; Zhao, X.-H.; Xue, Z.-X.; Xia, Y.-Z. Concave Pt-Cu-Fe ternary nanocubes: One-pot synthesis and their electrocatalytic activity of methanol and formic acid oxidation. Chin. Chem. Lett. 2017, 28, 60–64. [Google Scholar] [CrossRef]
- Wang, Z.; Fan, H.; Liang, H.; Ma, J.; Li, S.; Song, Y.; Wang, R. Microfluidic synthesis and characterization of FePtSn/C catalysts with enhanced electrocatalytic performance for direct methanol fuel cells. Electrochim. Acta 2017, 230, 245–254. [Google Scholar] [CrossRef]
- Zhao, Q.; Zhang, G.; Xu, G.; Li, Y.; Liu, B.; Gong, X.; Zheng, D.; Zhang, J.; Wang, Q. Synthesis of highly active and dual-functional electrocatalysts for methanol oxidation and oxygen reduction reactions. Appl. Surf. Sci. 2016, 389, 181–189. [Google Scholar] [CrossRef]
- Rethinasabapathy, M.; Kang, S.-M.; Haldorai, Y.; Jonna, N.; Jankiramab, M.; Lee, G.-W.; Jang, S.-C.; Natesan, B.; Roh, C.; Huh, Y.S. Quaternary PtRuFeCo nanoparticles supported N-doped graphene as an efficient bifunctional electrocatalyst for low-temperature fuel cells. J. Ind. Eng. Chem. 2019, 69, 285–294. [Google Scholar] [CrossRef]
- Chen, X.; Wang, H.; Wang, Y.; Bai, Q.; Gao, Y.; Zhang, Z. Synthesis and electrocatalytic performance of multi-component nanoporous PtRuCuW alloy for direct methanol fuel cells. Catalysts 2015, 5, 1003–1015. [Google Scholar] [CrossRef] [Green Version]
- Ali, S.; Ahmed, R.; Sohail, M.; Khan, S.A.; Ansari, M.S. Co@Pt core-shell nanoparticles supported on carbon nanotubes as promising catalyst for methanol electro-oxidation. J. Ind. Eng. Chem. 2015, 28, 344–350. [Google Scholar] [CrossRef]
- Li, B.; Higgins, D.C.; Zhu, S.; Li, H.; Wang, H.; Ma, J.; Chen, Z. Highly acive Pt-Ru nanowire network catalysts for the methanol oxidation reaction. Catal. Commun. 2012, 18, 51–54. [Google Scholar] [CrossRef]
- Wang, Y.; Wang, X.; Li, C.M. Electrocatalysis of Pd-Co supported on carbon black or ball-milled carbon nanotubes towards methanol oxidation in alkaline media. Appl. Catal. B. 2010, 99, 229–234. [Google Scholar] [CrossRef]
- Liu, N.; Zhang, C.; Chao, L.; Xiong, X.; Liu, H.; Cheng, Y.; Xie, O. Preparation of a thin-film Pt electrocatalyst by MnO2 electrodeposition and galvanic replacement reaction for oxidation of methanol. J. Electroanal. Chem. 2019, 853, 113553. [Google Scholar] [CrossRef]
- Liu, R.; Zhou, H.; Liu, J.; Yao, Y.; Huang, Z.; Fu, C.; Kuang, Y. Preparation of Pd/MnO2-reduced graphene oxide nanocomposite for methanol electro-oxidation in alkaline media. Electrochem. Commun. 2013, 26, 63–66. [Google Scholar] [CrossRef]
- Xu, C.; Su, Y.; Tan, L.; Liu, Z.; Zhang, J.; Chen, S.; Jiang, S.P. Electrodeposited PtCo and PtMn electrocatalysts for methanol and ethanol electrooxidation of direct alcohol fuel cells. Electrochim. Acta 2009, 54, 6322–6326. [Google Scholar] [CrossRef]
- Zhang, D.; Zhang, L.; Zhang, W.; Huo, M.; Yin, J.; Dang, G.; Ren, Z.; Zhang, Q.; Xie, J.; Mao, S.S. Morphology-dependent electrocatalytic performance of Fe2(MoO4)3 for electro-oxidation of methanol in alkaline medium. J. Materiomics 2017, 3, 135–143. [Google Scholar] [CrossRef]
- Huang, Y.; Cai, J.; Liu, M.; Guo, Y. Fabrication of a novel PtPbBi/C catalyst for ethanol electro-oxidation in alkaline medium. Electrochim. Acta 2012, 83, 1–6. [Google Scholar]
- Wang, W.; Li, Y.; Wang, H. Tin oxide nanoparticle-modified commercial PtRu catalyst for methanol oxidation. Micro. Nano Lett. 2013, 8, 23–26. [Google Scholar] [CrossRef]
- Angerstein-Kozlowska, H.; Conway, B.E.; Sharp, W.B.A. The real condition of electrochemically oxidized platinum surfaces: Part I. Resolution of component processes. J. Electroanal. Chem. 1973, 43, 9–36. [Google Scholar] [CrossRef]













| Catalyst | Pt:Co:M Molar Ratio | Pt Loading, µg cm−2 | SESA, cm2 |
|---|---|---|---|
| PtCoMn/GR | 1:3:1 | 103.8 | 11.6 |
| PtCoRu/GR | 1:2:2 | 183.2 | 3.9 |
| PtCoMo/GR | 7:2:1 | 83.8 | 3.8 |
| Pt/GR | 1:0:0 | 73.0 | 5.2 |
| Anode | Anolyte | j, mA cm−2 | j, mA mg−1Pt | Ref. |
|---|---|---|---|---|
| PtCoMn(1:3:1)/GR | 1 M CH3OH + 1 M NaOH | 144.52 | 1392.29 | This study |
| PtCoRu(1:2:2)/GR | 1 M CH3OH + 1 M NaOH | 45.19 | 246.67 | This study |
| PtCoMo(7:2:1)/GR | 1 M CH3OH + 1 M NaOH | 84.66 | 1010.26 | This study |
| PtCo(1:7 (3))/GR | 1 M CH3OH + 0.5 M NaOH | 80.12 | 350.00 | [23] |
| PtCo/MWCNTs | 0.2 M CH3OH + 0.5 M KOH | 16.44 | 269.00 | [56] |
| Co@Pt/MWCNTs | 0.2 M CH3OH + 0.5 M KOH | 26.50 | 433.40 | [56] |
| Pt-Ru NWNs | 1 M CH3OH + 0.1 M HClO4 | 30.95 | - | [57] |
| Pd-Co(8:1) | 1 M CH3OH + 1 M KOH | 10.80 | - | [58] |
| PtMn-GRR/Au/GCE | 1 M CH3OH + 0.5 M NaOH | 30.20 | - | [59] |
| Pd/MnO2-RGO(1:7) | 1 M CH3OH + 0.5 M KOH | 20.40 | - | [60] |
| PtCo/Ni porous array | 0.5 M CH3OH + 1 M KOH | 45.48 | - | [29] |
| Pt10000Co | 1 M CH3OH + 1 M KOH | 49.00 | 700.00 | [61] |
| Pt10000Mn | 1 M CH3OH + 1 M KOH | 39.00 | 557.14 | [61] |
| Fe2(MoO4)3/GCE | 1 M CH3OH + 0.1 M KOH | 2.80 | - | [62] |
Publisher’s Note: MDPI stays neutral with regard to jurisdictional claims in published maps and institutional affiliations. |
© 2021 by the authors. Licensee MDPI, Basel, Switzerland. This article is an open access article distributed under the terms and conditions of the Creative Commons Attribution (CC BY) license (https://creativecommons.org/licenses/by/4.0/).
Share and Cite
Nacys, A.; Kilmonis, T.; Kepenienė, V.; Balčiūnaitė, A.; Stagniūnaitė, R.; Upskuvienė, D.; Jablonskienė, J.; Vaičiūnienė, J.; Skapas, M.; Tamašauskaitė-Tamašiūnaitė, L.; et al. One-Pot Microwave-Assisted Synthesis of Graphene-Supported PtCoM (M = Mn, Ru, Mo) Catalysts for Low-Temperature Fuel Cells. Catalysts 2021, 11, 1431. https://doi.org/10.3390/catal11121431
Nacys A, Kilmonis T, Kepenienė V, Balčiūnaitė A, Stagniūnaitė R, Upskuvienė D, Jablonskienė J, Vaičiūnienė J, Skapas M, Tamašauskaitė-Tamašiūnaitė L, et al. One-Pot Microwave-Assisted Synthesis of Graphene-Supported PtCoM (M = Mn, Ru, Mo) Catalysts for Low-Temperature Fuel Cells. Catalysts. 2021; 11(12):1431. https://doi.org/10.3390/catal11121431
Chicago/Turabian StyleNacys, Antanas, Teofilius Kilmonis, Virginija Kepenienė, Aldona Balčiūnaitė, Raminta Stagniūnaitė, Daina Upskuvienė, Jolita Jablonskienė, Jūratė Vaičiūnienė, Martynas Skapas, Loreta Tamašauskaitė-Tamašiūnaitė, and et al. 2021. "One-Pot Microwave-Assisted Synthesis of Graphene-Supported PtCoM (M = Mn, Ru, Mo) Catalysts for Low-Temperature Fuel Cells" Catalysts 11, no. 12: 1431. https://doi.org/10.3390/catal11121431
APA StyleNacys, A., Kilmonis, T., Kepenienė, V., Balčiūnaitė, A., Stagniūnaitė, R., Upskuvienė, D., Jablonskienė, J., Vaičiūnienė, J., Skapas, M., Tamašauskaitė-Tamašiūnaitė, L., & Norkus, E. (2021). One-Pot Microwave-Assisted Synthesis of Graphene-Supported PtCoM (M = Mn, Ru, Mo) Catalysts for Low-Temperature Fuel Cells. Catalysts, 11(12), 1431. https://doi.org/10.3390/catal11121431

