Ru/Ce/Ni Metal Foams as Structured Catalysts for the Methanation of CO2
Abstract
1. Introduction
2. Results and Discussion
2.1. Characterization of the Catalysts
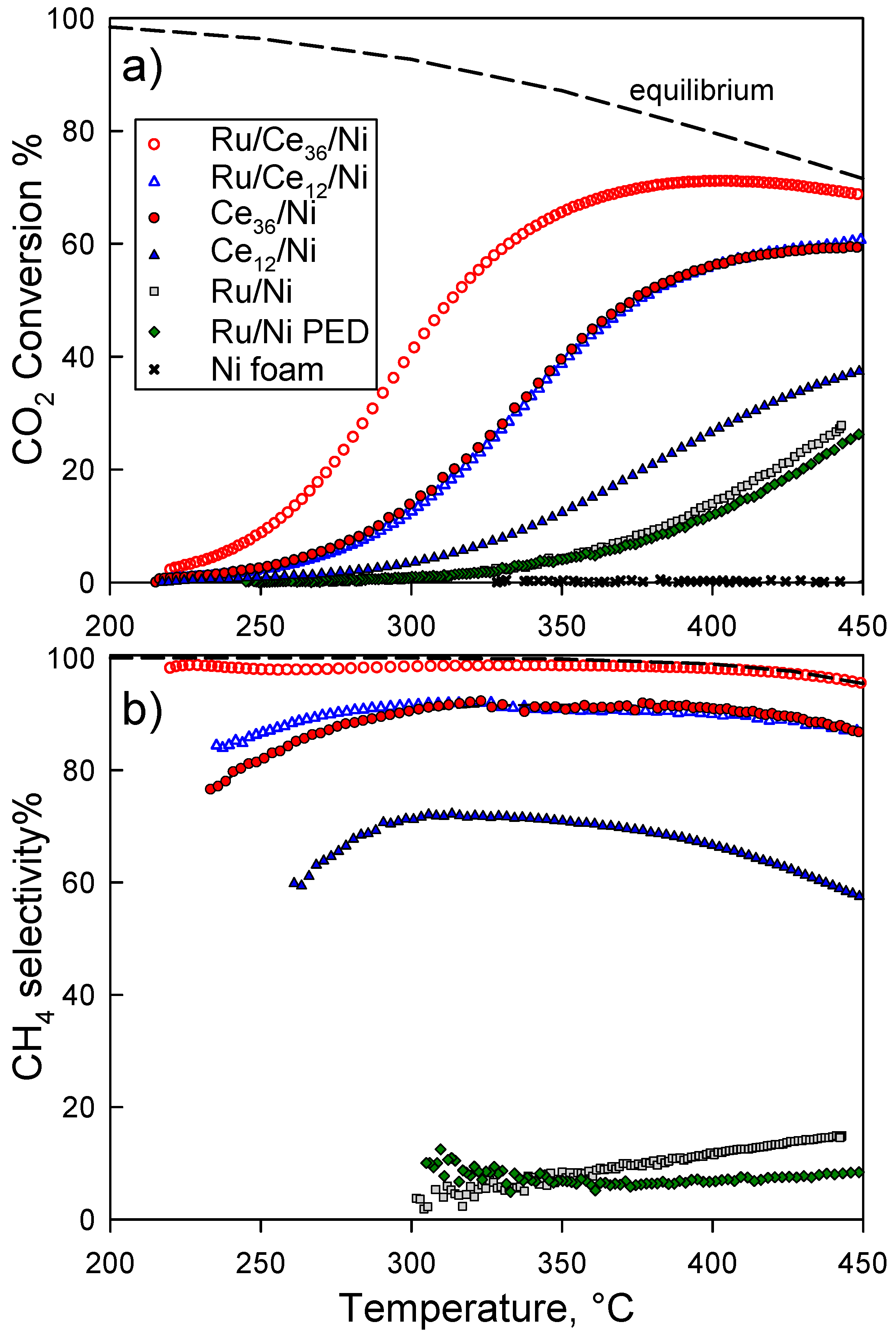
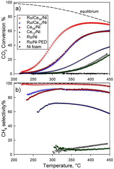
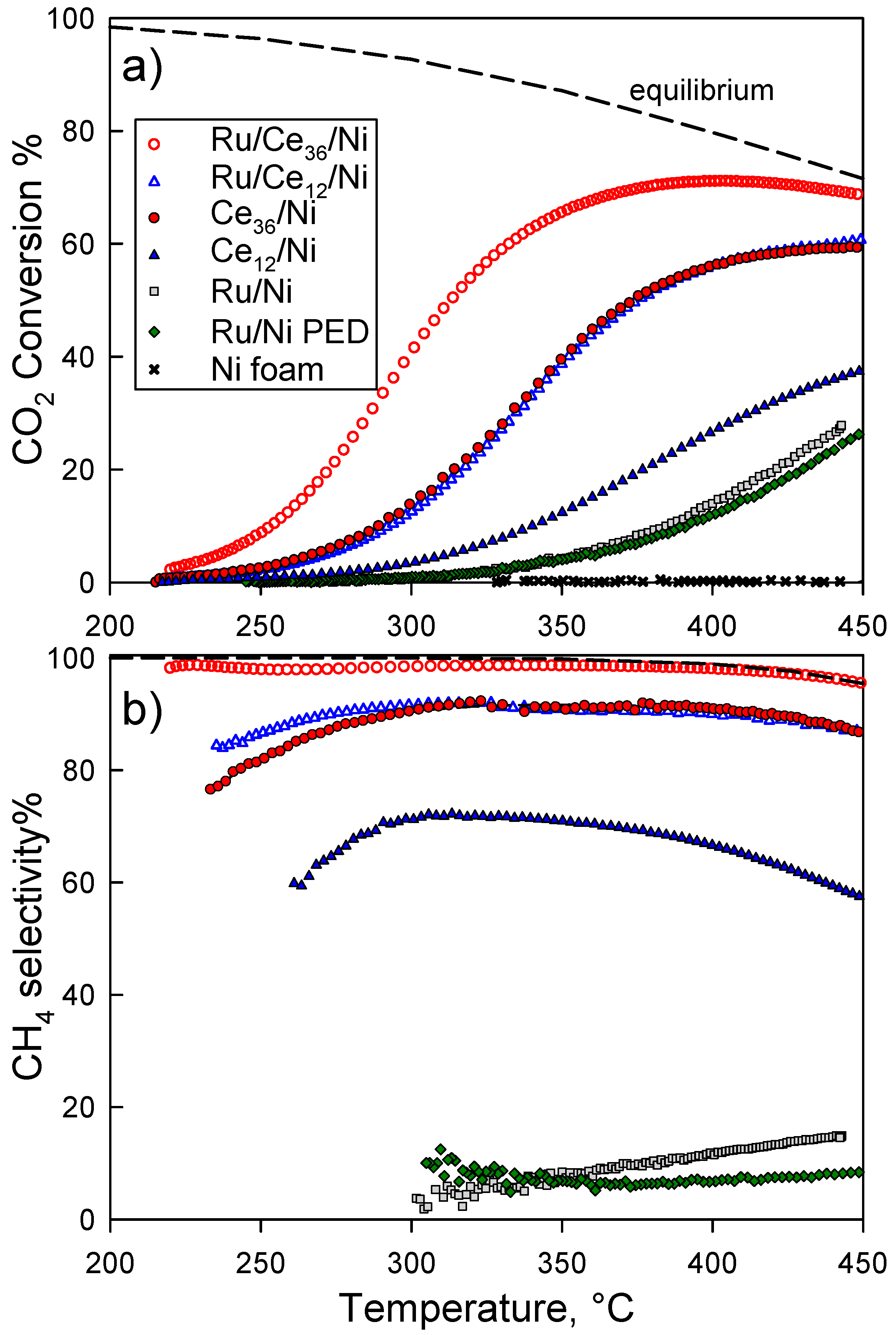
2.2. Catalytic Tests
3. Materials and Methods
3.1. Catalysts Preparation
3.2. Catalysts Characterization
3.3. Catalytic Testing
4. Conclusions
Supplementary Materials
Author Contributions
Funding
Data Availability Statement
Conflicts of Interest
References
- Ghaib, K.; Ben-Fares, F.Z. Power-to-Methane: A state-of-the-art review. Renew. Sustain. Energy Rev. 2018, 81, 433–446. [Google Scholar] [CrossRef]
- Vogt, C.; Monai, M.; Kramer, G.J.; Weckhuysen, B.M. The renaissance of the Sabatier reaction and its applications on Earth and in space. Nat. Catal. 2019, 2, 188–197. [Google Scholar] [CrossRef]
- Artz, J.; Müller, T.E.; Thenert, K.; Kleinekorte, J.; Meys, R.; Sternberg, A.; Bardow, A.; Leitner, W. Sustainable Conversion of Carbon Dioxide: An Integrated Review of Catalysis and Life Cycle Assessment. Chem. Rev. 2018, 118, 434–504. [Google Scholar] [CrossRef] [PubMed]
- Nguyen, T.T.M.; Wissing, L.; Skjøth-Rasmussen, M.S. High temperature methanation: Catalyst considerations. Catal. Today 2013, 215, 233–238. [Google Scholar] [CrossRef]
- Ricca, A.; Truda, L.; Palma, V. Study of the role of chemical support and structured carrier on the CO2 methanation reaction. Chem. Eng. J. 2018, 377, 120461. [Google Scholar] [CrossRef]
- Fukuhara, C.; Hayakawa, K.; Suzuki, Y.; Kawasaki, W.; Watanabe, R. A novel nickel-based structured catalyst for CO2 methanation: A honeycomb-type Ni/CeO2 catalyst to transform greenhouse gas into useful resources. Appl. Catal. A Gen. 2017, 532, 12–18. [Google Scholar] [CrossRef]
- Li, Y.; Zhang, Q.; Chai, R.; Zhao, G.; Liu, Y.; Lu, Y. Structured Ni-CeO2-Al2O3/Ni-Foam Catalyst with Enhanced Heat Transfer for Substitute Natural Gas Production by Syngas Methanation. ChemCatChem 2015, 7, 1427–1431. [Google Scholar] [CrossRef]
- Nguyen, H.T.T.; Kumabe, Y.; Ueda, S.; Kan, K.; Ohtani, M.; Kobiro, K. Highly durable Ru catalysts supported on CeO2 nanocomposites for CO2 methanation. Appl. Catal. A Gen. 2019, 577, 35–43. [Google Scholar] [CrossRef]
- Lee, S.M.; Lee, Y.H.; Moon, D.H.; Ahn, J.Y.; Nguyen, D.D.; Chang, S.W.; Kim, S.S. Reaction Mechanism and Catalytic Impact of Ni/CeO2–x Catalyst for Low-Temperature CO2 Methanation. Ind. Eng. Chem. Res. 2019, 58, 8656–8662. [Google Scholar] [CrossRef]
- Giani, L.; Groppi, G.; Tronconi, E. Mass-Transfer Characterization of Metallic Foams as Supports for Structured Catalysts. Ind. Eng. Chem. Res. 2005, 44, 4993–5002. [Google Scholar] [CrossRef]
- Lucci, F.; Della Torre, A.; Montenegro, G.; Dimopoulos Eggenschwiler, P. On the catalytic performance of open cell structures versus honeycombs. Chem. Eng. J. 2015, 264, 514–521. [Google Scholar] [CrossRef]
- Cimino, S.; Gambirasi, A.; Lisi, L.; Mancino, G.; Musiani, M.; Vázquez-Gómez, L.; Verlato, E. Catalytic combustion of methanol on Pt-Fecralloy foams prepared by electrodeposition. Chem. Eng. J. 2015, 285, 276–285. [Google Scholar] [CrossRef]
- Verlato, E.; Barison, S.; Cimino, S.; Lisi, L.; Mancino, G.; Musiani, M.; Paolucci, F. Electrochemical preparation of nanostructured CeO2-Pt catalysts on Fe-Cr-Al alloy foams for the low-temperature combustion of methanol. Chem. Eng. J. 2017, 317, 551–560. [Google Scholar] [CrossRef]
- Ho, P.H.; Ambrosetti, M.; Groppi, G.; Tronconi, E.; Jaroszewicz, J.; Ospitali, F.; Rodriguez-Castellon, E.; Fornasari, G.; Vaccari, A.; Benito, P. One-step electrodeposition of Pd-CeO2 on high pore density foams for environmental catalytic processes. Catal. Sci. Technol. 2018, 8, 4678–4689. [Google Scholar] [CrossRef]
- Zhang, Z.; Ding, J.; Chai, R.; Zhao, G.; Liu, Y.; Lu, Y. Oxidative dehydrogenation of ethane to ethylene: A promising CeO2-ZrO2-modified NiO-Al2O3/Ni-foam catalyst. Appl. Catal. A Gen. 2018, 550, 151–159. [Google Scholar] [CrossRef]
- Benito, P.; Nuyts, G.; Monti, M.; De Nolf, W.; Fornasari, G.; Janssens, K.; Scavetta, E.; Vaccari, A. Stable Rh particles in hydrotalcite-derived catalysts coated on FeCrAlloy foams by electrosynthesis. Appl. Catal. B Environ. 2015, 179, 321–332. [Google Scholar] [CrossRef]
- Ho, P.H.; De Nolf, W.; Ospitali, F.; Beton, D.; Torkuhl, L.; Fornasari, G.; Vaccari, A.; Benito, P. Insights into coated NiCrAl open-cell foams for the catalytic partial oxidation of CH4. React. Chem. Eng. 2019, 4, 1768–1778. [Google Scholar] [CrossRef]
- Cimino, S.; Lisi, L.; Mancino, G.; Musiani, M.; Vázquez-Gómez, L.; Verlato, E. Catalytic partial oxidation of CH4–H2 mixtures over Ni foams modified with Rh and Pt. Int. J. Hydrogen Energy 2012, 37, 17040–17051. [Google Scholar] [CrossRef]
- Coleman, L.J.I.; Croiset, E.; Epling, W.; Fowler, M.; Hudgins, R.R. Evaluation of Foam Nickel for the Catalytic Partial Oxidation of Methane. Catal. Lett. 2008, 128, 144–153. [Google Scholar] [CrossRef]
- Verlato, E.; Barison, S.; Cimino, S.; Dergal, F.; Lisi, L.; Mancino, G.; Musiani, M.; Vázquez-Gómez, L. Catalytic partial oxidation of methane over nanosized Rh supported on Fecralloy foams. Int. J. Hydrogen Energy 2014, 39, 11473–11485. [Google Scholar] [CrossRef]
- Frey, M.; Bengaouer, A.; Geffraye, G.; Edouard, D.; Roger, A.C. Aluminum Open Cell Foams as Efficient Supports for Carbon Dioxide Methanation Catalysts: Pilot-Scale Reaction Results. Energy Technol. 2017, 5, 2078–2085. [Google Scholar] [CrossRef]
- Huynh, H.L.; Yu, Z. CO2 Methanation on Hydrotalcite-Derived Catalysts and Structured Reactors: A Review. Energy Technol. 2020, 8, 1901475. [Google Scholar] [CrossRef]
- Li, Y.; Zhang, Q.; Chai, R.; Zhao, G.; Liu, Y.; Lu, Y.; Cao, F. Ni-Al2O3/Ni-foam catalyst with enhanced heat transfer for hydrogenation of CO2 to methane. AIChE J. 2015, 61, 4323–4331. [Google Scholar] [CrossRef]
- Li, Y.; Zhang, Q.; Chai, R.; Zhao, G.; Cao, F.; Liu, Y.; Lu, Y. Metal-foam-structured Ni-Al2O3 catalysts: Wet chemical etching preparation and syngas methanation performance. Appl. Catal. A Gen. 2016, 510, 216–226. [Google Scholar] [CrossRef]
- Montebelli, A.; Visconti, C.G.; Groppi, G.; Tronconi, E.; Kohler, S.; Venvik, H.J.; Myrstad, R. Washcoating and chemical testing of a commercial Cu/ZnO/Al2O3 catalyst for the methanol synthesis over copper open-cell foams. Appl. Catal. A Gen. 2014, 481, 96–103. [Google Scholar] [CrossRef]
- Polanski, J.; Lach, D.; Kapkowski, M.; Bartczak, P.; Siudyga, T.; Smolinski, A. Ru and Ni—Privileged Metal Combination for Environmental Nanocatalysis. Catalysts 2020, 10, 992. [Google Scholar] [CrossRef]
- Le, T.A.; Kim, M.S.; Lee, S.H.; Kim, T.W.; Park, E.D. CO and CO2 methanation over supported Ni catalysts. Catal. Today 2017, 293–294, 89–96. [Google Scholar] [CrossRef]
- Tada, S.; Shimizu, T.; Kameyama, H.; Haneda, T.; Kikuchi, R. Ni/CeO2 catalysts with high CO2 methanation activity and high CH4 selectivity at low temperatures. Int. J. Hydrogen Energy 2012, 37, 5527–5531. [Google Scholar] [CrossRef]
- Zhou, Y.; Switzer, J.A. Growth of cerium(IV) oxide films by the electrochemical generation of base method. J. Alloys Compd. 1996, 237, 1–5. [Google Scholar] [CrossRef]
- Aldykiewicz, A.J., Jr.; Davenport, A.J.; Isaacs, H.S. Studies of the formation of cerium-rich protective films using X-Ray absorption near-edge spectroscopy and rotating disk electrode methods. J. Electrochem. Soc. 1996, 143, 147–154. [Google Scholar] [CrossRef]
- Li, F.-B.; Newman, R.C.; Thompson, G.E. In situ atomic force microscopy studies of electrodeposition mechanism of cerium oxide films: Nucleation and growth out of a gel mass precursor. Electrochim. Acta 1997, 42, 2455–2464. [Google Scholar] [CrossRef]
- Fernandes, V.; Klein, J.J.; Schreiner, W.H.; Mattoso, N.; Mosca, D.H. Electrodeposition of nanocrystalline CeO2 on Si(001). J. Electrochem. Soc. 2009, 156, E199–E204. [Google Scholar] [CrossRef]
- Faisal, F.; Toghan, A.; Khalakhan, I.; Vorokhta, M.; Matolin, V.; Libuda, J. Characterization of thin CeO2 films electrochemically deposited on HOPG. Appl. Surf. Sci. 2015, 350, 142–148. [Google Scholar] [CrossRef]
- Verlato, E.; Barison, S.; Einaga, Y.; Fasolin, S.; Musiani, M.; Nasi, L.; Natsui, K.; Paolucci, F.; Valenti, G. CO2 reduction to formic acid at low overpotential on BDD electrodes modified with nanostructured CeO2. J. Mater. Chem. A 2019, 7, 17896–17905. [Google Scholar] [CrossRef]
- Creus, J.; Brezault, F.; Rebere, C.; Gadouleau, M. Synthesis and characterisation of thin cerium oxide coatings elaborated by cathodic electrolytic deposition on steel substrate. Surf. Coat. Technol. 2006, 200, 4636–4645. [Google Scholar] [CrossRef]
- Hamlaoui, Y.; Pedraza, F.; Tifouti, L. Investigation of electrodeposited cerium oxide based films on carbon steel and of the induced formation of carbonated green rusts. Corros. Sci. 2008, 50, 2182–2188. [Google Scholar] [CrossRef]
- Hamlaoui, Y.; Pedraza, F.; Remazeilles, C.; Cohendoz, S.; Rébéré, C.; Tifouti, L.; Creus, J. Cathodic electrodeposition of cerium-based oxides on carbon steel from concentrated cerium nitrate solutions Part I. Electrochemical and analytical characterization. Mater. Chem. Phys. 2009, 113, 650–657. [Google Scholar] [CrossRef]
- Hamlaoui, Y.; Tifouti, L.; Remazeilles, C.; Pedraza, F. Cathodic electrodeposition of cerium based oxides on carbon steel from concentrated cerium nitrate. Part II: Influence of electrodeposition parameters and of the addition of PEG. Mater. Chem. Phys. 2010, 120, 172–180. [Google Scholar] [CrossRef]
- Bouchaud, B.; Balmain, J.; Bonnet, G.; Pedraza, F. Optimizing structural and compositional properties of electrodeposited ceria coatings for enhanced oxidation resistance of a nickel-based superalloy. Appl. Surf. Sci. 2013, 268, 218–224. [Google Scholar] [CrossRef]
- Bouchaud, B.; Balmain, J.; Bonnet, G.; Pedraza, F. Correlations between electrochemical mechanisms and growth of ceria based coatings onto nickel substrates. Electrochim. Acta 2013, 88, 798–806. [Google Scholar] [CrossRef]
- Verlato, E.; Cattarin, S.; Comisso, N.; Gambirasi, A.; Musiani, M.; Vázquez-Gómez, L. Preparation of Pd-Modified Ni Foam Electrodes and Their Use as Anodes for the Oxidation of Alcohols in Basic Media. Electrocatalysis 2012, 3, 48–58. [Google Scholar] [CrossRef]
- Sakpal, T.; Lefferts, L. Structure-dependent activity of CeO2 supported Ru catalysts for CO2 methanation. J. Catal. 2018, 367, 171–180. [Google Scholar] [CrossRef]
- Atzori, L.; Cutrufello, M.G.; Meloni, D.; Cannas, C.; Gazzoli, D.; Monaci, R.; Sini, M.F.; Rombi, E. Highly active NiO-CeO2 catalysts for synthetic natural gas production by CO2 methanation. Catal. Today 2018, 299, 183–192. [Google Scholar] [CrossRef]
- Wang, F.; Li, C.; Zhang, X.; Wei, M.; Evans, D.G.; Duan, X. Catalytic behavior of supported Ru nanoparticles on the {100}, {110}, and {111} facet of CeO2. J. Catal. 2015, 329, 177–186. [Google Scholar] [CrossRef]
- Kwak, J.H.; Kovarik, L.; Szanyi, J. CO2 Reduction on Supported Ru/Al2O3 Catalysts: Cluster Size Dependence of Product Selectivity. ACS Catal. 2013, 3, 2449–2455. [Google Scholar] [CrossRef]
- Falbo, L.; Martinelli, M.; Visconti, C.G.; Lietti, L.; Bassano, C.; Deiana, P. Kinetics of CO2 methanation on a Ru-based catalyst at process conditions relevant for Power-to-Gas applications. Appl. Catal. B Environ. 2018, 225, 354–363. [Google Scholar] [CrossRef]
- Janke, C.; Duyar, M.S.; Hoskins, M.; Farrauto, R. Catalytic and adsorption studies for the hydrogenation of CO2 to methane. Appl. Catal. B Environ. 2014, 152–153, 184–191. [Google Scholar] [CrossRef]
- Woods, R. Chemisorption at electrodes: Hydrogen and oxygen on noble metals and their alloys. In Electroanalytical Chemistry; Bard, A.J., Ed.; Marcel Dekker: New York, NY, USA, 1976; Volume 9, p. 1. [Google Scholar]
- Cimino, S.; Boccia, F.; Lisi, L. Effect of alkali promoters (Li, Na, K) on the performance of Ru/Al2O3 catalysts for CO2 capture and hydrogenation to methane. J. CO2 Util. 2020, 37, 195–203. [Google Scholar] [CrossRef]







| Catalyst | CeO2 Loading mg cm−3 | Ru Deposition Method | Ru Loading mg cm−3 | S.S.A. a m2 gcatalyst−1 | S.S.A. a,b m2 gCeO2−1 | H2 Consumption d mmol gcatalyst−1 |
|---|---|---|---|---|---|---|
| Ni | --- | --- | --- | 0.085 c | 0.05 ± 0.005 | |
| Ru/Ni-PED | --- | Pulsed Electrodeposition | 2.5 (EDS) | 0.14 ± 0.01 | ||
| Ru/Ni | --- | Impregnation | 7.3 | 0.22 ± 0.02 | ||
| Ce12/Ni | 6.7 ± 1.8 | --- | --- | 1.6 ± 0.1 | 47 ± 12 | 0.14 ± 0.04 |
| Ce36/Ni | 23 ± 2 | --- | --- | 7.3 ± 0.3 | 67 ± 10 | 0.27 ± 0.04 |
| Ru/Ce12/Ni | 6.7 ± 1.8 | Impregnation | 7.3 | 1.8 ± 0.1 | 57 ± 15 | 0.26 ± 0.07 |
| Ru/Ce36/Ni | 23 ± 2 | Impregnation | 7.3 | 3.8 ± 0.2 | 39 ± 6 | 0.39 ± 0.06 |
| Catalyst | Ea kJ mol−1 | CH4 Selectivity % | CO2 React. Rate mmol dm−3 s−1 | CO2 React. Rate mmol m−2 s−1 | Normalized CO2 React. Rate per g of Ru |
|---|---|---|---|---|---|
| Ru/Ni | 85.1 | 6.5 | 0.09 | - | 1 |
| Ru/Ni PED | 85.8 | 10.1 | 0.08 | - | 2.4 |
| Ru/Ce12/Ni | 87.0 | 91.6 | 0.86 | 2.1 | 9.2 |
| Ru/Ce36/Ni | 87.5 | 98.2 | 3.80 | 4.1 | 42.3 |
| Ce36/Ni | 84.5 | 90.6 | 1.13 | 0.6 | - |
| Ce12/Ni | 80.1 | 71.9 | 0.26 | 0.7 | - |
Publisher’s Note: MDPI stays neutral with regard to jurisdictional claims in published maps and institutional affiliations. |
© 2020 by the authors. Licensee MDPI, Basel, Switzerland. This article is an open access article distributed under the terms and conditions of the Creative Commons Attribution (CC BY) license (http://creativecommons.org/licenses/by/4.0/).
Share and Cite
Cimino, S.; Cepollaro, E.M.; Lisi, L.; Fasolin, S.; Musiani, M.; Vázquez-Gómez, L. Ru/Ce/Ni Metal Foams as Structured Catalysts for the Methanation of CO2. Catalysts 2021, 11, 13. https://doi.org/10.3390/catal11010013
Cimino S, Cepollaro EM, Lisi L, Fasolin S, Musiani M, Vázquez-Gómez L. Ru/Ce/Ni Metal Foams as Structured Catalysts for the Methanation of CO2. Catalysts. 2021; 11(1):13. https://doi.org/10.3390/catal11010013
Chicago/Turabian StyleCimino, Stefano, Elisabetta Maria Cepollaro, Luciana Lisi, Stefano Fasolin, Marco Musiani, and Lourdes Vázquez-Gómez. 2021. "Ru/Ce/Ni Metal Foams as Structured Catalysts for the Methanation of CO2" Catalysts 11, no. 1: 13. https://doi.org/10.3390/catal11010013
APA StyleCimino, S., Cepollaro, E. M., Lisi, L., Fasolin, S., Musiani, M., & Vázquez-Gómez, L. (2021). Ru/Ce/Ni Metal Foams as Structured Catalysts for the Methanation of CO2. Catalysts, 11(1), 13. https://doi.org/10.3390/catal11010013

