Enhancement of the Direct Synthesis of Dimethyl Ether (DME) from Synthesis Gas by Macro- and Microstructuring of the Catalytic Bed
Abstract
1. Introduction
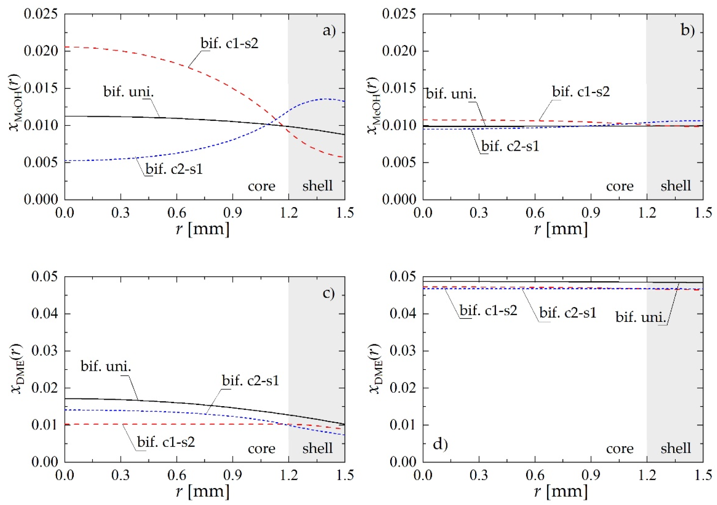
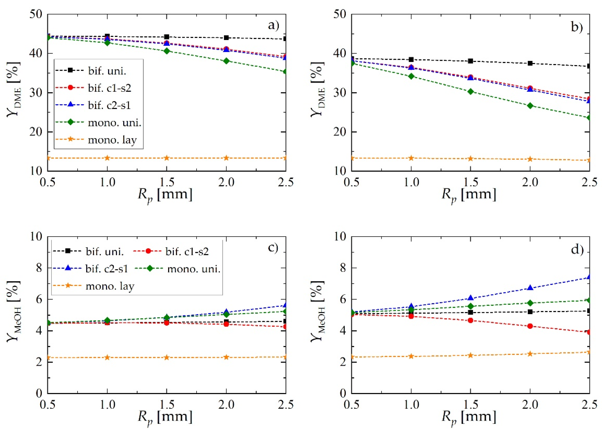
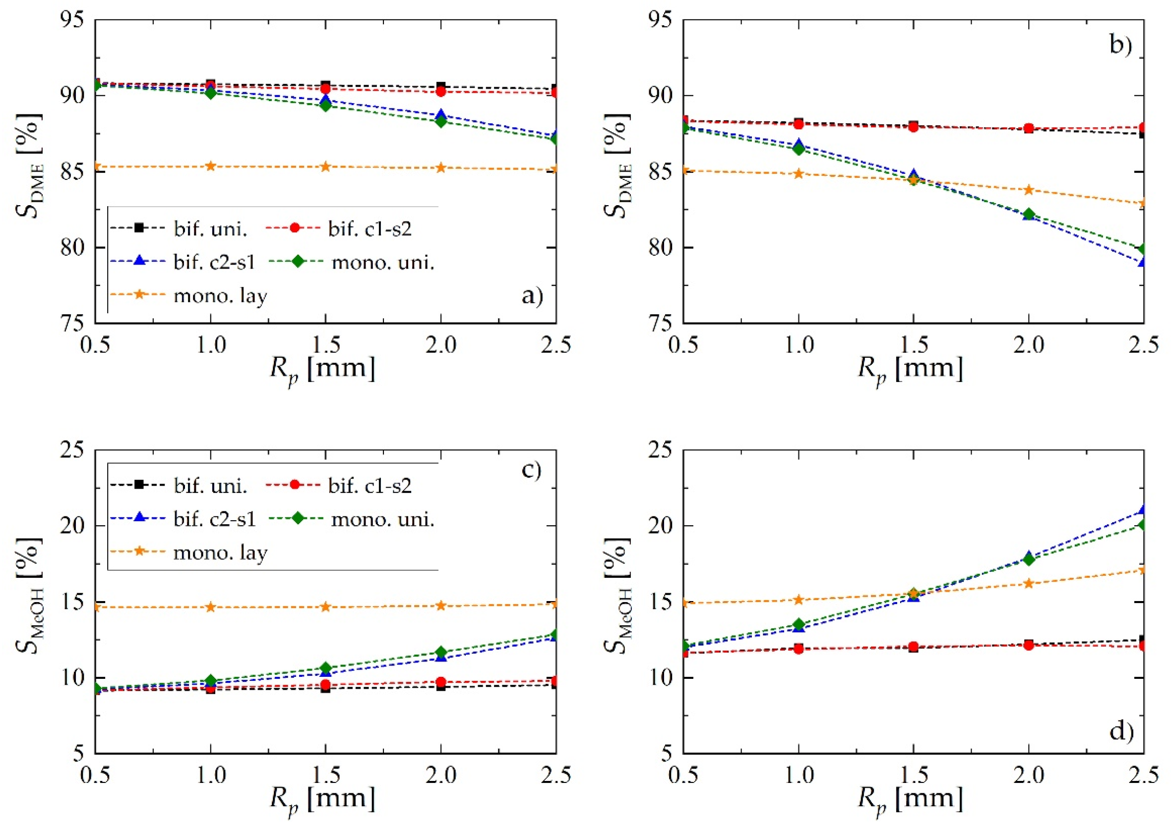
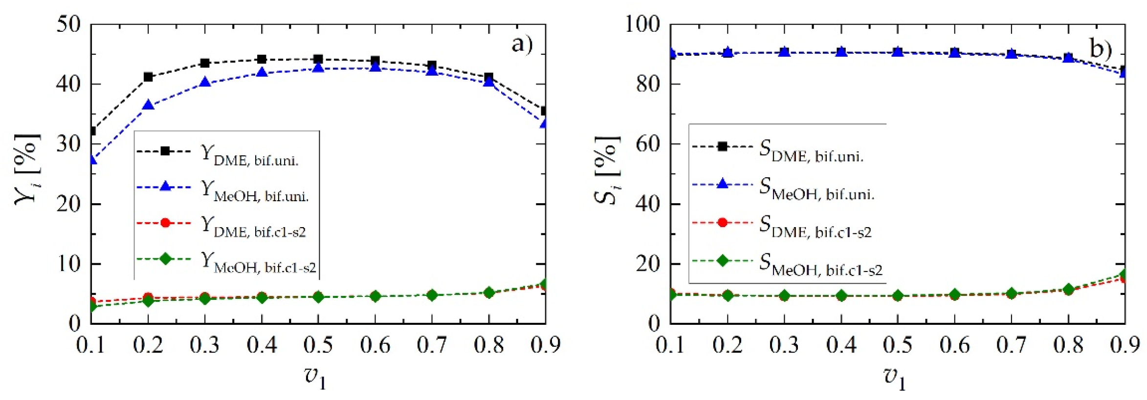
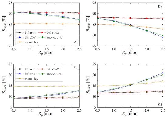
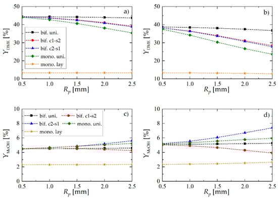
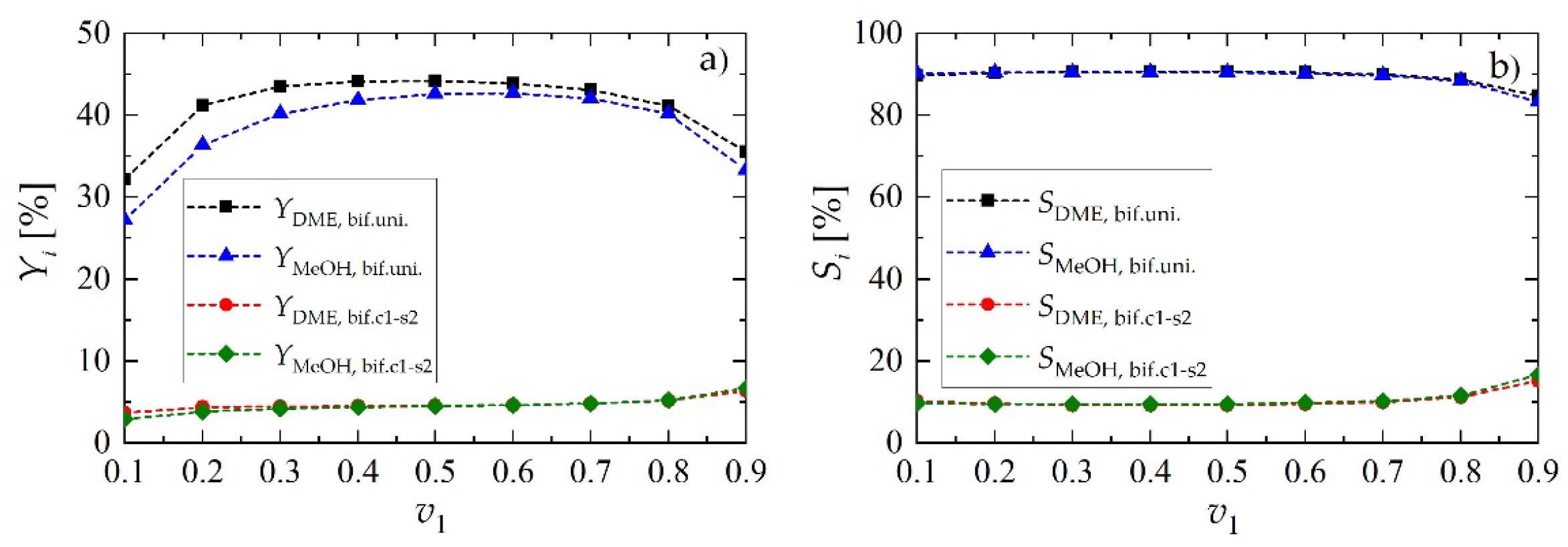
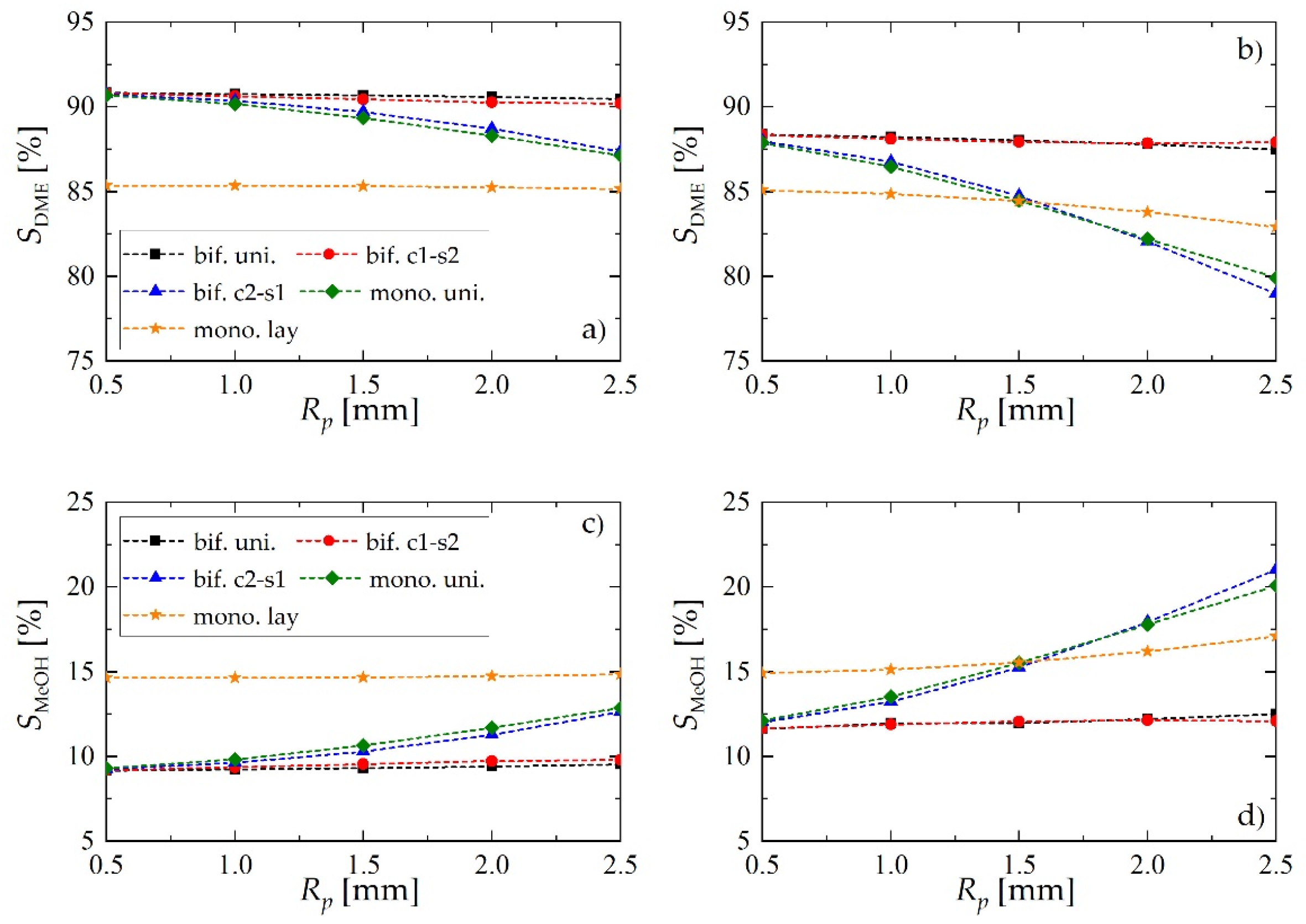
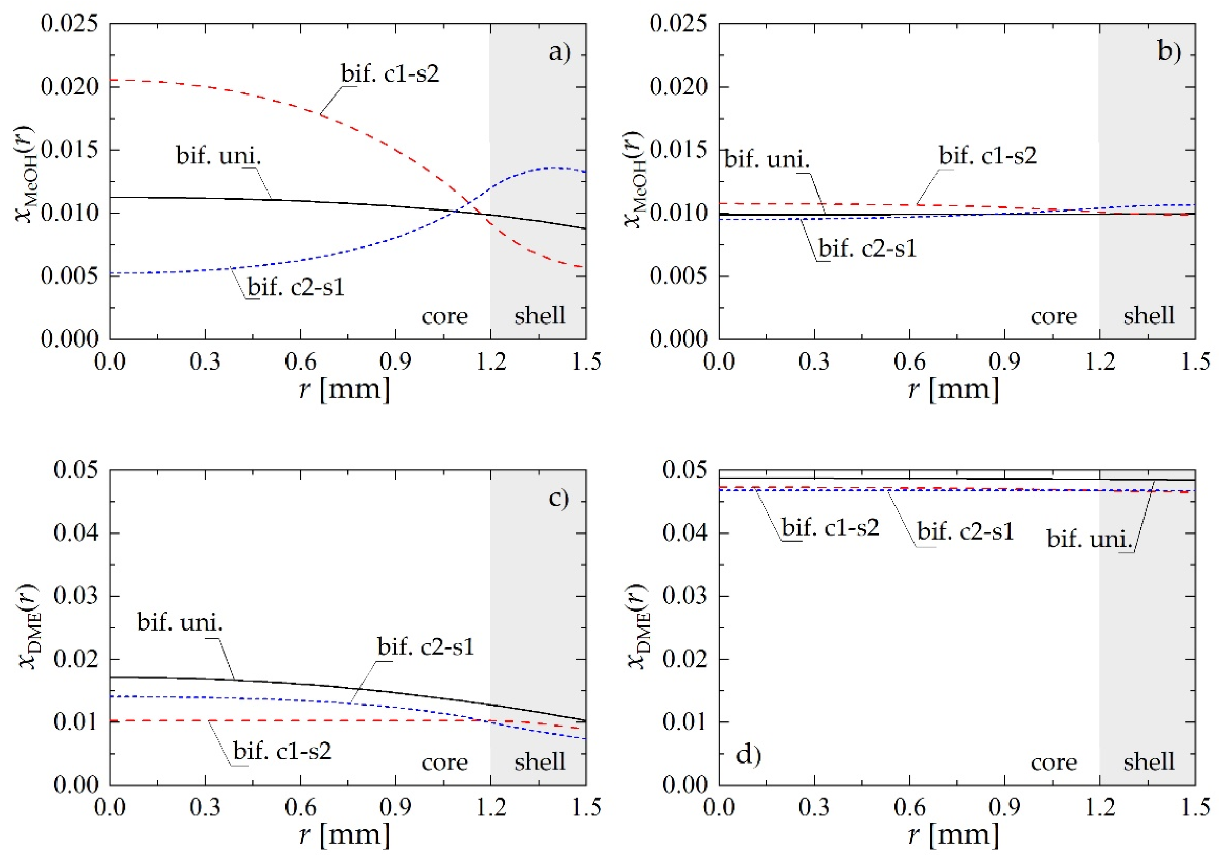
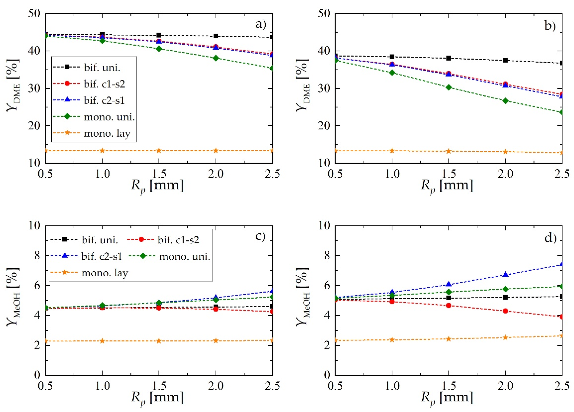
2. Results and Discussion
- Hydrogenation of CO:
- Reverse water-gas shift reaction:
- Hydrogenation of CO2:
- Dehydration of methanol to DME:
- A physical mixture of two types (MeOH and DME) monofunctional catalyst pellets (Figure 1a);
- A layered distribution of monofunctional pellets with the MeOH catalyst pellets located in the first section of the reactor (Figure 1b);
- A bed made of bifunctional pellets characterized by uniform distribution of MeOH and DME catalytic active centers (Figure 1c,d; note that the structure shown in the left-hand side of Figure 1d shows schematically uniform distribution of two types of catalysts in the entire volume of the pellet with dark-gray zone corresponding to MeOH catalyst and light-gray spheres corresponding to DME catalyst);
- A bed made of bifunctional pellets characterized by core-shell distribution (Figure 1c,d), where core1-shell2 arrangement concerns the pellet with MeOH and DME active centers distributed, respectively, in the pellet core and shell, while core2-shell1 denotes reverse arrangement of two type of active centers within the pellet.
- Yield of DME or MeOH:
- Product (i.e., DME or MeOH) selectivity:
3. Materials and Methods
- The contribution of axial and radial mass dispersion is neglected, and the gas flow is modelled as one-dimensional along the reactor;
- The gas mixture density is determined based on the ideal gas law;
- The pellet is spherical and symmetric, which results in one-dimensional description of species concentrations along the pellet radius;
- A uniform pore model is employed to describe the pellet structure;
- The intrapellet mass diffusion fluxes are described according to the Wilke-Bosanquet model accounting both for molecular and Knudsen diffusion;
- The boundary conditions imposed at the pellet surface account for the resistance to mass transfer between the bulk gas and the pellet surface.
3.1. Chemical Kinetics
3.2. Catalyst Pellet Submodel
3.3. Gas-Phase Model
3.4. Numerical Methods
4. Conclusions
Author Contributions
Funding
Acknowledgments
Conflicts of Interest
Nomenclature
| C | Total concentration, kmol·m−3 |
| Ci | Concentration of component i, kmol·m−3 |
| dpore | Pore diameter, m |
| dr | Reactor diameter, m |
| Deff | Effective diffusion coefficient, m2·s−1 |
| Di,K | Knudsen diffusion coefficient for component i, m2·s−1 |
| Di,W | Wilke diffusion coefficient for component i, m2·s−1 |
| Binary diffusion coefficient, m2·s−1 | |
| fj | Local volume fraction of the catalyst pellet with active sites enhancing jth step of the process |
| Fi | Molar flow rate of component i, kmol·s−1 |
| Ji | Molecular diffusion flux, kmol·s−1·m−2 |
| kj | Reaction rate constant, kmol·s−1·kg−1·bar−1 or kmol·s−1·kg−1·bar−1/2 |
| km | Mass transfer coefficient, m·s−1 |
| Ki | Adsorption equilibrium constant for component i, bar−1, bar−1/2 or m3·kmol−1 |
| Kpj | Equilibrium constant of the jth chemical reaction |
| L | Reactor length, m |
| Mi | Molecular weight, kg·kmol−1 |
| ni | Number of carbon atoms in the compound i |
| r | Radial coordinate within the pellet, m |
| rj | Rate of the jth chemical reaction based on the pellet volume, kmol·m−3·s−1 |
| P | Total pressure, bar |
| pi | Partial pressure of component i, bar |
| Rp | Catalyst pellet radius, m |
| si | Molar source term, kmol·m−3·s−1 |
| Si | Selectivity of product i |
| T | Temperature, K |
| u | Superficial gas bulk velocity, m·s−1 |
| vj | Volume fraction of the catalyst pellet with active sites enhancing jth step of the process |
| Vp | Catalyst pellet volume, m3 |
| xi | Molar fraction of component i |
| Yi | Yield of product i |
| z | Coordinate along the reactor length, m |
| Greek letters | |
| ε | Porosity |
| εi, εi,j | Characteristic energy parameters for pure component i and for i-j interaction, kJ |
| ν | Stoichiometric coefficient |
| σi, σi,j | Characteristic length parameters for pure component i and for i-j interaction, m |
| ρp | Catalyst pellet density, kg·m−3 |
| τ | Tortuosity of the catalyst pellet |
| ε | Porosity |
| Subscripts | |
| bed | Catalyst bed |
| bulk | Gas bulk conditions |
| cat | Catalyst pellet |
| in | Reactor inlet |
| out | Reactor outlet |
| p | Pellet |
Appendix A
Appendix B
Appendix C
References
- Azizi, Z.; Rezaeimanesh, M.; Tohidian, T.; Rahimpour, M.R. Dimethyl ether: A review of technologies and production challenges. Chem. Eng. Process. 2014, 82, 150–172. [Google Scholar] [CrossRef]
- Yuping, L.; Tiejun, W.; Xiuli, Y.; Chuangzhi, W.; Longlong, M.; Haibin, L.; Yongxing, L.; Lu, S. 100 t/a-Scale demonstration of direct dimethyl ether synthesis from corncob-derived syngas. Renew. Energy 2010, 35, 583–587. [Google Scholar] [CrossRef]
- Ge, Q.; Huang, Y.; Qiu, F.; Li, S. Bifunctional catalysts for conversion of synthesis gas to dimethyl ether. Appl. Catal. 1998, 167, 23–30. [Google Scholar] [CrossRef]
- Sánchez-Contador, M.; Ateka, A.; Ibánez, M.; Bilbao, J.; Aguayo, A.T. Influence of the operating conditions on the behavior and deactivation of a CuO-ZnO-ZrO2@SAPO-11 core-shell-like catalyst in the direct synthesis of DME. Renew. Energy 2019, 138, 585–597. [Google Scholar] [CrossRef]
- Kurzina, I.A.; Reshetnikov, S.I.; Karakchieva, N.I.; Kurina, L.N. Direct synthesis of dimethyl ether from synthesis gas: Experimental study and mathematical modeling. Chem. Eng. J. 2017, 329, 135–141. [Google Scholar] [CrossRef]
- Lefevere, J.; Gysen, M.; Mulens, S.; Meynen, V.; Van Noyen, J. The benefit of design of support architectures for zeolite coated structured catalysts for methanol-to-olefin conversion. Catal. Today 2013, 216, 18–23. [Google Scholar] [CrossRef]
- Lee, S.B.; Cho, W.; Park, D.K.; Yoon, E.S. Simulation of fixed bed reactor for dimethyl ether synthesis. Korean J. Chem. Eng. 2006, 23, 522–530. [Google Scholar] [CrossRef]
- Hu, Y.; Nie, Z.; Fang, D. Simulation and model design of pipe-shell reactor for the direct synthesis of dimethyl ether from syngas. J. Nat. Gas Chem. 2008, 17, 195–200. [Google Scholar] [CrossRef]
- Grünewald, M.; Agar, D.W. Enhanced catalyst performance using integrated structured functionalities. Chem. Eng. Sci. 2004, 59, 5519–5526. [Google Scholar] [CrossRef]
- Bizon, K.; Skrzypek-Markiewicz, K.; Pędzich, D.; Reczek, N. Intensification of catalytic processes through the pellet structuring: Steady-state properties of a bifunctional catalyst pellets applied to generic chemical reactions and the direct synthesis of DME. Catalysts 2019, 9, 1020. [Google Scholar] [CrossRef]
- Solsvik, J.; Tangen, S.; Jakobsen, H.A. On the consistent modeling of porous catalyst pellets: Mass and molar formulations. Ind. Eng. Chem. Res. 2012, 51, 8222–8236. [Google Scholar] [CrossRef]
- Solsvik, J.; Jakobsen, H.A. A survey of multicomponent mass diffusion flux closures for porous pellets: Mass and molar forms. Transp. Porous Med. 2012, 93, 99–126. [Google Scholar] [CrossRef]
- Ateka, A.; Ereña, J.; Pérez-Uriarte, P.; Aguayo, A.T.; Bilbao, J. Effect if the content of CO2 and H2 in the feed on the conversion of CO2 in the direct synthesis of dimethyl ether over a CuO-ZnO-Al2O3/SAPO-18 catalyst. Int. J. Hydrogen Energy 2017, 42, 27130–27158. [Google Scholar] [CrossRef]
- Graaf, G.H.; Scholtens, H.; Stamhuis, E.J.; Beenackers, A.A.C.M. Intra-particle diffusion limitations in low-pressure methanol synthesis. Chem. Eng. Sci. 1990, 45, 773–783. [Google Scholar] [CrossRef]
- Alain, B. Carbon Dioxide Hydrogenation to Methanol at Low Pressure and Temperature. Ph.D. Thesis, Ecole Polytechnique Fédérale de Lausanne, Lausanne, Switzerland, 1998. [Google Scholar]
- Berčič, G.; Levec, J. Intrinsic and global reaction rate of methanol dehydration over γ-Al2O3 pellets. Ind. Eng. Chem. Res. 1992, 31, 1035–1040. [Google Scholar] [CrossRef]
- Graaf, G.H.; Winkelman, J.G.M. Chemical equilibria in methanol synthesis including the water-gas shift reaction: A critical reassessment. Ind. Eng. Chem. Res. 2016, 55, 5854–5864. [Google Scholar] [CrossRef]
- Diep, B.T.; Wainwright, M.S. Thermodynamic equilibrium constant for the methanol-dimethyl ether-water system. J. Chem. Eng. Data 1987, 32, 330–333. [Google Scholar] [CrossRef]
- Wakao, N.; Funazkri, T. Effect of fluid dispersion coefficient on particle-to-fluid mass transfer coefficients in packed beds. Chem. Eng. Sci. 1978, 33, 1375–1384. [Google Scholar] [CrossRef]
- Krishna, R.; Wesselingh, J.A. The Maxwell-Stefan approach to mass transfer. Chem. Eng. Sci. 1997, 52, 861–911. [Google Scholar] [CrossRef]
- Poling, B.E.; Prausnitz, J.M.; O’Connell, J.P. The Properties of Gases and Liquids; McGraw-Hill: New York, NY, USA, 2000. [Google Scholar]
- Leonardi, E.; Angeli, C. On the Maxwell-Stefan approach to diffusion: A general resolution in the transient regime for one-dimensional systems. J. Phys. Chem. B 2010, 114, 151–164. [Google Scholar] [CrossRef] [PubMed]








| Parameter | Value | Parameter | Value | Parameter | Value |
|---|---|---|---|---|---|
| dpore (m) | 10−8 | uin (m·s−1) | 0.05–0.1 | xCO2,in | 0.0409 |
| dr (m) | 0.05 | εbed | 0.5 | xMeOH,in | 0.003 |
| L (m) | 8 | εp | 0.5 | xH2O,in | 0.0002 |
| Rp (m) | 0.5 × 10−3–2.5 × 10−3 | ρp (kg·m−3) | 1775 | xDME,in | 0.0018 |
| P (bar) | 50 | τ | 4 | xinert,in | 0.36 |
| T (K) | 553 | xCO,in | 0.1716 | xH2,in | 0.4225 |
© 2020 by the authors. Licensee MDPI, Basel, Switzerland. This article is an open access article distributed under the terms and conditions of the Creative Commons Attribution (CC BY) license (http://creativecommons.org/licenses/by/4.0/).
Share and Cite
Bizon, K.; Skrzypek-Markiewicz, K.; Continillo, G. Enhancement of the Direct Synthesis of Dimethyl Ether (DME) from Synthesis Gas by Macro- and Microstructuring of the Catalytic Bed. Catalysts 2020, 10, 852. https://doi.org/10.3390/catal10080852
Bizon K, Skrzypek-Markiewicz K, Continillo G. Enhancement of the Direct Synthesis of Dimethyl Ether (DME) from Synthesis Gas by Macro- and Microstructuring of the Catalytic Bed. Catalysts. 2020; 10(8):852. https://doi.org/10.3390/catal10080852
Chicago/Turabian StyleBizon, Katarzyna, Krzysztof Skrzypek-Markiewicz, and Gaetano Continillo. 2020. "Enhancement of the Direct Synthesis of Dimethyl Ether (DME) from Synthesis Gas by Macro- and Microstructuring of the Catalytic Bed" Catalysts 10, no. 8: 852. https://doi.org/10.3390/catal10080852
APA StyleBizon, K., Skrzypek-Markiewicz, K., & Continillo, G. (2020). Enhancement of the Direct Synthesis of Dimethyl Ether (DME) from Synthesis Gas by Macro- and Microstructuring of the Catalytic Bed. Catalysts, 10(8), 852. https://doi.org/10.3390/catal10080852

