Abstract
The reduction of ketones through homogeneous transfer hydrogenation catalyzed by transition metals is one of the most important routes for obtaining alcohols from carbonyl compounds. The interest of this method increases when opportune catalytic precursors are able to perform the transformation in an asymmetric fashion, generating enantiomerically enriched chiral alcohols. This reaction has been extensively studied in terms of catalysts and variety of substrates. A large amount of information about the possible mechanisms is available nowadays, which has been of high importance for the development of systems with excellent outcomes in terms of conversion, enantioselectivity and Turn Over Frequency. On the other side, many mechanistic aspects are still unclear, especially for those catalytic precursors which have shown only moderate performances in transfer hydeogenation. This is the case of neutral [RuCl2(η6-arene)(P)] and cationic [Rh(PP)2]X (X = anion; P and PP = mono- and bidentate phosphine, respectively) complexes. Herein, a summary of the known information about the Transfer Hydrogenation catalyzed by these complexes is provided with a continuous focus on the more relevant mechanistic features.
1. Introduction
The hydrogen transfer reaction, also known as H-transfer or Transfer Hydrogenation (TH), has become, in particular since the 1990s, one of the most powerful methodologies to transform carbonyl compounds into carbinols. It consists of the reduction of a polar carbon-heteroatom bond, usually C=O. When this transformation takes place on a prochiral substrate, e.g., an unsymmetrical ketone, a stereogenic center is generated and a chiral alcohol is produced. By employing opportune catalytic precursors equipped with an asymmetric environment, it is possible to obtain optically active products. In that case, the reaction is addressed as Asymmetric Transfer Hydrogenation (ATH) [1] (Scheme 1).
Scheme 1.
Synthesis of chiral alcohols from ketones.
The possibility to reduce ketones to alcohols in an enantioselective way through ATH represents a milestone in the asymmetric catalysis, as chiral alcohols are employed as intermediates, as well as end-products in many industries, including fragrancies and pharmaceutics [2]. In addition, the protocol can be extended to a general C=X polar substrate (X = O, N), allowing the synthesis of chiral alcohols [2], amines, and many corresponding derivatives [3].
Recent applications of such protocol have allowed the valorization of biomass by extracting lignin [4], or for the production of biofuels [5].
Historically, a milestone was reached in 1995, when Noyori reported the enantioselective reduction of prochiral ketones by employing as catalytic precursors [RuCl2(diphosphane)(diamine)] complexes in the presence of a base. The impact of these new catalytic systems for achieving alcohols with high optical purity has been very impressive, and since then an intensive and systematic research work has allowed the extension of the protocol to many substrates and catalysts [6]. The level of importance of such studies has been recognized in 2001 with the award of the Nobel prize in Chemistry [7].
The catalyzed reduction of ketones in homogenous phase has increased in popularity during the last 50 years and the corresponding literature is very rich. The reaction involves a formal transfer of hydrogen from a donor (usually an alcohol) to an acceptor carbonyl compound (usually a ketone).
This protocol is not the only synthetic route for obtaining carbinols from carbonyl compounds but its operational simplicity, the elimination of safety measures associated with the use of gaseous dihydrogen, the low cost of the reducing agents and the availability of a large number of catalysts of high activity and selectivity for the process, make this process of high interest [8].
Many combinations of catalysts, hydrogen donors and acceptors have been developed during the last 25 years and most of them have been the objects of review articles [9].
Nowadays, a large number of catalytic precursors for the reduction of ketones with elevated Turn Over Number (TON), Turn Over Frequency (TOF) and excellent enantiomeric excess (e.e.) are available and most of the chemistry of such catalysts has been studied in detail, including many mechanistic aspects. Nevertheless, in order to open the way to the development of new and better performing systems, sometimes it is necessary to focus on the elemental aspects of a process. In general, in metal mediated catalysis, stable and robust complexes encounter difficulties in the activation step when they are employed as catalytic precursors. On the other hand, very reactive complexes can show high catalytic performances, but tend to decompose fast. The fine balance between stability of the catalyst and its activity and productivity represents the main task for most of the researchers involved in the implementation of new catalytic systems.
In this survey, the most relevant literature regarding two catalytic systems will be discussed. The TH of carbonyl compounds in the presence of 2-propanol mediated by Ru-arene complexes bearing monodentate phosphorus ligands, and by mononuclear cationic Rh complexes stabilized by diphosphine ligands will be the object of this survey.
A brief and general description of the TH, including an overview of the most common hydrogen donors available and the main accepted mechanisms will be provided. After that, the discussion will move to the catalytic performances of catalytic precursors of the type [RuCl2(η6-arene)(P)] and [Rh(PP)2]X (X = anion; P and PP = mono- and bidentate phosphine, respectively). A special focus on the mechanism characteristics of each class will be reported, especially in terms of activation of the C–H moiety of the donor agent (2-propanol) with the consequent formation of metal hydrides.
Although the aforementioned systems are often less productive than the complexes featuring the combination of phosphino/amino functionalities [1], they can generate intermediate species within the catalytic cycle stable enough to be clearly detected and properly analyzed. As a matter of fact, both classes of Ru- and Rh-systems are straightforwardly prepared and their reactivity is easy to study, providing an ideal discussion field for gaining important mechanistic information which can also be exploited for more elaborated catalytic systems.
2. Results
2.1. TH: Generalities and Applications
One of the first examples of ketone reduction to alcohol was described in 1926 by Ponndorf and it is known as the Meerwein–Ponndorf–Verley reaction, or MPV process [10]. In the MPV process, carbonyl compounds are reduced to the corresponding alcohols in the presence of aluminium 2-propoxide through a six-membered transition state without involvement of metal hydride intermediates [11].
The opposite process to the MPV reduction was performed a few years later by Oppenauer and has been employed for the oxidation of secondary alcohols to ketones (Oppenauer oxidation, Scheme 2) [12].
Scheme 2.
MPV reduction and Oppenauer oxidation.
In the MPV process the hard Lewis acid Al3+, coordinates the ketone and the alcohol, allowing the two reagents to be close enough for the hydrogen transfer. Additionally, the metal coordination allows the cyclic geometry of the six-members transition state (Scheme 2). More recently these two processes have been revisited in combination with low-aggregation aluminium alkoxide that are able, even in catalytic amounts, to induce the hydrogen transfer across both directions [13,14,15]. On the other side, the first ATH was proposed by Doering and Young [16], who presented an asymmetric version of the MPV process [17].
In 1967 appeared the first report about the possibility to homogeneously catalyze the reduction of ketones by transfer hydrogenation in the presence of a transition metal complex [18,19]. Only in the second half of the seventies the TH started to be studied and developed, when Sasson and Blum demonstrated that [RuCl2(PPh3)3] could promote the reduction of ketones to alcohols in the presence of 2-propanol in homogeneous phase [20]. These preliminary studies found their application a few years later with the first examples of C=O reduction catalyzed by transition metals (Ru/DIOP catalytic precursor) in homogeneous phase [21].
Since then, the interest in the ATH has grown and different protocols have been developed for this reaction [22].
Historically, ruthenium has been the more commonly used and studied metal in ATH, and its corresponding chiral complexes have become the catalysts of choice for the production of chiral alcohols through ATH [1].
When a reduction of a ketone to an alcohol takes place, two hydrogen atoms are formally exchanged. The reducing agent acts as hydrogen donor and can be indicated as DH2. Once the reaction is completed the reducing agent is converted in its dehydrogenated counterpart, D. In turn, the ketone acts as acceptor and undergoes the formation of two new bonds: O-H and C-H (Scheme 3).
Scheme 3.
Transfer Hydrogenation from a generic donor agent to acetone.
The most common hydrogen donors employed in the H-transfer are 2-propanol and formic acid, including its salts.
The employment of 2-propanol has some advantages, such as its low price, good solubilization capacity and the possibility of an easy recycling. As a matter of fact, it was observed that a large number of catalysts have a life time in 2-propanol long enough to obtain high conversions.
When 2-propanol-like hydrogen donors are employed, the process takes place under thermodynamic control: once 2-propanol is dehydrogenated, acetone is formed, which can act as hydrogen acceptor and, in most cases, an equilibrium is generated. For this reason, a large excess of 2-propanol is usually required and very often it is indeed the solvent of the reaction. Its boiling point of 82 °C makes it a good choice to perform the reaction at reflux as well.
The extraction of dihydrogen from 2-propanol requires in most cases the presence of a base: hydroxides or alkoxides of alkali metals are commonly used in this kind of reactions. The amount of base is generally between 5 to 20 equivalents with respect to the metal, although some systems have been reported working properly without base [23]. In addition, sometimes the base is not innocent during the reaction, especially in the ATH. In fact, after long reaction times, the enantiomeric excess (e.e.) can decrease through the action of the base [24,25,26,27].
TH under kinetic control can be achieved by using the formic acid or its salts as hydrogen donors. In this case, the by-product is gaseous CO2 which makes the reaction irreversible. Additionally, formic acid can be activated with a weak base like triethylamine (formic acid:triethylamine mixtures are commercially available) and sometimes it can be used in aqueous solution or in biphasic systems. Unfortunately, the acidity of formic acid can, in several cases, inhibit or decompose the catalytic species, so its use is limited to these catalysts robust enough to survive in these conditions [8].
On the short list of hydrogen donors employed for the TH there are also the Hantzsch’s esters (Figure 1) [28], which have been used as mimics of the reactivity of the biofactor NADH.
Figure 1.
Hantzsch’s ester.
Even if some examples of reduction of aldehydes or ketones by 2-propanol or ethanol in absence of any catalyst at high temperature (225 ℃, 30 h) have been reported [29], the metal catalyzed process is the best option for the synthesis of alcohols by reduction of the corresponding ketones. The mechanism of the catalytic transfer hydrogenation is related to the catalyst employed. Nowadays two general pathways are accepted: the “direct hydrogen transfer” and the “hydridic route”. In a review of 2004 Morris proposed a classification of TH reactions based on these two possible mechanisms [30].
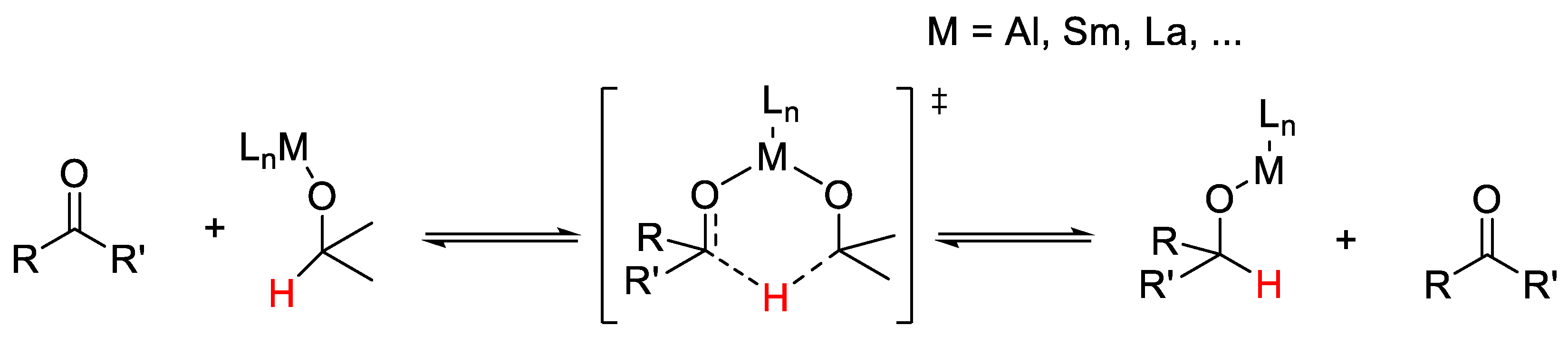
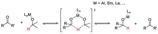
In the direct hydrogen transfer the hydrogen donor and the substrate interact with the catalyst at the same time to generate an adduct where the hydrogen is delivered as formal hydride by the donor to the acceptor in a concerted process, without the formation of metal hydrides. The metal plays two key roles: firstly, it permits to the donor and the acceptor to lay in a geometric proximity that can favour the transfer of the hydride, and secondly it enhances the electrophilic character of the carbonyl group which will accept in a more favourable way the hydride. Catalysts capable of this kind of reactivity are generally based on electropositive metals like Al or lanthanides, even if some examples have been reported with Ir catalysts (Scheme 4) [15,31,32,33].
Scheme 4.
Direct hydrogen transfer.
The MPV process, previously described, can be rationalized with the direct hydrogen transfer mechanism. In such a mechanism, a stereoselective reduction can be achieved only by employing an enantiopure chiral H-donor capable to transfer the chiral information to the acceptor [15].
On the other side, the hydridic route is the usually accepted mechanism in the case of catalytic precursors based on transition metals. A key aspect of this pathway is the formation of an intermediate metal hydride active species that generally speaking can be a mono-hydride complex (mono-hydridic route) or a di-hydride complex (di-hydridic route). In both cases the H-donor and the H-acceptor interact separately with the metal and in different steps of the catalytic cycle. In most cases the catalyst is not introduced in its hydridic form but is prepared in situ by reaction of a precursor with an opportune hydrogen donor (pre-activation) during a period of time called “induction period” (Scheme 5).
Scheme 5.
Hydridic route pathway for the H-transfer from 2-propanol to acetophenone (inner sphere mechanism) [8].
The active species 1, usually resulted from the reaction between the precursor and 2-propanol, undergoes an intramolecular β-hydrogen abstraction to generate a metal-hydride 2 and acetone. The latter is then displaced by acetophenone to give the intermediate complex 3 and the ketone inserts into the metal-hydrogen bond (migratory insertion) to give the alkoxy complex 4. Replacement of the alkoxy ligand by a new molecule of 2-propanol permits delivery of the alcohol product and a restart of the catalytic cycle. This catalytic cycle is also known as “inner sphere mechanism”, due to the fact that both donor and acceptor species enter in the coordination sphere of the metal.
The understanding of the mono- or di-hydridic nature of the intermediate species involved in the catalytic cycle represents a very important aspect to find the best conditions for a specific catalytic reduction. Bäckvall suggested a procedure to determine whether the mechanism proceeds through a mono-hydridic or a di-hydridic pathway [27,33,34,35]. Using a α-deuterated α-phenylethanol in the presence of acetophenone it is possible to track the hydrogen during the hydrogen transfer process. As a matter of fact, if a catalyst operates through a mono-hydridic mechanism, the hydrogen atoms are transferred from the alcohol to the ketone, keeping their identity: the C-H and O-H hydrogen atoms on the donor will be delivered to the carbon and oxygen centres of the acceptor carbonyl moiety, respectively. In contrast, if a catalyst operates through a di-hydridic mechanism, the two hydrogen atoms coming from the donor scramble. Once the di-hydride complex is formed the two hydrogens are delivered from the active metal species to the carbonyl functionality indistinctly (Scheme 6) [8,35].
Scheme 6.
Mono- and di-hydridic mechanism for the hydridic route pathway.
The determination of a mono- or di-hydride route based on the hydride tracking is not completely reliable in the case of Ru-based complexes, which have shown to prefer the di-hydride formation in the case of Ru-dichloride catalytic precursors, while a mono-hydride route has been observed for Ru-arene-based catalysts [8].
Noyori proposed [36], in the case of the mono-hydride pathway with Ru complexes containing ligands bearing a protic group (such as alcohol or amino), an alternative mechanism called “outer sphere mechanism” more widely known by the term “metal-ligand bifunctional catalysis” [37]. When the hydride is delivered from the mono-hydride intermediate species, the other hydrogen is donated by the ancillary group present in the ligand (Scheme 7).
Scheme 7.
Metal-ligand bifunctional catalysis [6].
A different catalytic proposal has been reported by Hounjet et al. in the case of the TH catalysed by phosphine-anilido [RuR(η6-p-cymene)(P,N-Ph2PAr)] complexes (R = H, Et, Ar =o-C6H4NMe). The drop of catalytic activity of the parent hydride complex pushed the authors to explore the possibility of a mechanism different from the hydridic route, which could be similar to the one typical of the MPV process [38].
2.2. TH Catalyzed by Ru-arene Complexes Stabilized by Phosphines
At present, many highly efficient Ru-phosphorus systems for the TH reduction of ketones and aldehydes in the presence of 2-propanol and other H-donors (i.e., HCOOH/NEt3 mixtures, HCOONa, HCOONH4) have been reported. Within these catalytic systems, stand out the precursors developed by Noyori et al. containing the BINAP motif [39,40,41] as well as Ru complexes bearing cyclometallated phosphines [42,43], or other ligands as fluoroacetate [44], bi- and tridentate nitrogen ligands in combination with mono- [45] or diphosphines, developed by Baratta et al. [46,47,48,49]. The association of chiral phosphorus ligands with (chiral) primary or secondary amine functionalities (bifunctional catalysts) often results in elevated enantioselectivities [50]. On the other hand, limiting the discussion to Ru-arene complexes containing only monophosphorus ligands, the most representative and studied family is that of neutral monomeric arene-Ru catalytic precursors of the type [RuCl2(η6-arene)(P)] (Figure 2).
Figure 2.
Overview of [RuCl2(η6-arene)(P)] catalytic precursors.
The simplest complex (in terms of ligands) of such family is represented by [RuCl2(η6-p-cymene)(PPh3)]. It has been employed as catalytic precursor for the reduction of ketones through TH, as in the reduction of acetophenone [51,52]. Successful reduction of cyclohexanone has been achieved employing as catalytic precursors the parent complexes [RuCl2(η6-p-cymene)(PMePh2)] [53] and [RuCl2(η6-benzene)(PAr3)] [54] (Ar = Ph, p-An and p-CF3Ph).
Reduction of acetophenone in enantioselective fashion was described by Grabulosa et al. [55] and Aznar et al. [56] employing several catalytic precursors of the family [RuCl2(η6-p-cymene)(P*)] stabilized by P-stereogenic monodentate ligands. These P-stereogenic ligands can be obtained in pure chiral form through the Evans [53], or the Jugé-Stephan [57,58,59] methods. Both the synthetic pathways have been extensively reported and discussed in the literature [60]. In general, such complexes are not as effective catalytic precursors as the nitrogen-containing ones reported above. In fact, they are formally saturated and in order to give rise to active species they must undergo some kind of dissociative process. This, in principle, is not favoured by the presence of the monophosphine, which is a strong-coordinating ligand, especially in the case of the phosphines obtained through the Evans methodology, which bring three alkyl substituents, the σ-basicity is elevated, making it extremely difficult for the corresponding Ru-complex to generate a vacant site on the metal centre through phosphine decoordination. The observation of moderate enantioselectivity for some of the mono phosphines (vide infra) proves that the ligand remains coordinated to the Ru atom, since this is the only source of chirality. Indeed, some families of phosphines, for example those bearing the 2-biphenylyl substituent tend to give higher enantioselectivities, a fact that bodes well for future developments. In spite of this, partial phosphine dissociation cannot be completely ruled out, as shown by Dyson and Chaplin [61,62].
Nevertheless, at 80 °C, in the presence of a base, and after some time (usually from 3 to 24 h), these complexes show catalytic activity for the TH of ketones in the presence of 2-propanol. In Table 1 some indicative examples are reported.
Table 1.
Acetophenone reduction thorough Transfer Hydrogenation catalyzed by [RuCl2(η6-arene)(P)] complexes in the presence of 2-propanol. Selected examples.
Table 1 shows that [RuCl2(η6-arene)(P)] are latent catalysts for TH and ATH in the presence of 2-propanol as hydrogen donor. Many of them work properly only at high temperatures and are affected by a drop of the enantioselectivity. Nevertheless, some of these catalytic precursors can be activated at 40 °C, resulting in a good and moderate e.e. and moderate conversion (entries 6 and 7). In addition, some specific ligands like the dibenzothiophenylphosphine of entry 13 give relatively high enantioselectivities, suggesting that with the appropriate ligands useful levels of selectivity may be attained.
Some speculations have been reported about the possible mechanism for the TH catalyzed by [RuCl2(η6-arene)(P)] catalytic precursors. As discussed above, the generation of vacancies is mandatory in order to activate the catalysis. Additionally, considering an inner sphere mechanism, the availability of other vacancies during the catalytic cycles is fundamental in order to rationalize the hydride formation and the substrate coordination (Scheme 8).
Scheme 8.
Proposed inner sphere dissociative catalytic cycle for transfer hydrogenation mediated by neutral [RuCl2(η6-arene)(P)] complexes [52].
Regarding the enantioselectivity, in some cases the tethered complex results are more selective compared to the untethered counterpart, as in the case of raw 2 vs 6 (Table 1). This increase in e.e. can be rationalized by considering the reduced available space for the acetophenone approach to II and in the consequent stereospecific formation of III (Scheme 8) in the case of a tethered geometry. Unfortunately, this behavior has not been confirmed for other catalytic precursors as, e.g., 1 vs 5 (Table 1), hinting that the specific parameters influencing the observed enantioselectivity for these systems are still poorly understood.
The decoordination of chloride is an obvious way to free up coordination positions and explain the catalytic TH of acetophenone in the presence of 2-propanol and [RuCl2(η6-arene)(P)] catalytic precursors. An attempt to verify this possibility was carried out for some [RuCl2(η6-arene)(P)] complexes (arene = p-cymene, benzene; P = triphenylphosphine, (R)-monophos, and (S)-binepine) [52]. The effect of induction time, temperature, amount of base, catalyst/substrate ratio, and the ability to generate hydride species were explored. The presence of the base resulted mandatory during the activation period for unlocking the latent active species. An adverse effect of an excess of chlorine was also observed, which supports the proposed mechanism.
Nevertheless, another reaction pathway could indeed be in place. In fact, the generation of vacancies during the catalytic cycle could be ensured by the partial decoordination of the arene moiety, from η6 to η4, as shown in Scheme 9 [55].
Scheme 9.
Dissociative pathways involving arene partial decoordination.
The generation of vacant sites through a dissociative step involving the -Cl moiety has been also related to the anticancer activity of such complexes. Dinda et al. discussed this topic for ruthenium(II) piano-stool [Ru(η6-p-cymene)(L)Cl]0/+1 (L=κ1- or κ2-1,1-bis(diphenylphosphino)-methane, 1,1-bis- (diphenylphosphino)methane oxide, κ1-mercaptobenzothiazole) complexes [63]. DFT calculations revealed the possibility that the presence of water generates intermediate species through an associative pathway, by generating vacant sites on the metal as a result of a possible change of the apticity (from η6 to η4 and η2) of the metal-arene bond [63].
Thus, the alternative mechanism reported in Scheme 9 cannot be discarded a priori. In fact, the many differences in the catalytic outcome reported for neutral Ru complexes bearing different aromatic units, or within the same family, the half sandwich architecture is compared with the parent tethered one (Table 1). In this line, the lability of the arene ring also has an effect not only in catalysis [64] but also on the cytotoxicity of Ru-arene complexes with anticancer activity [65]. Papish et al. [64] studied the influence of the arene in systems of the type [RuCl2(η6-arene)(NHC)] in TH. They found the more labile the arene, the higher the catalytic activity, and suggested a mechanism involving complete arene decoordination and substitution by 2-propanol molecules, forming the active species. In spite of this, they also suggested that for more tightly bound arenes (i.e. C6Me6) the cycle can proceed with species with a ring-slipped arene, as in Scheme 9.
More likely, a mixed mechanism, which includes chlorine decoordination and partial change in the hapticity of the arene unit, could better explain the mechanism of the TH of ketones by 2-propanol catalyzed by neutral [RuCl2(η6-arene)P] complexes. With simple tertiary phosphines and other innocent ligands, i.e., without any deprotonation site capable of proton transfer, the outer-sphere mechanism seems unlikely.
2.3. TH Mediated by Rh Complexes Stabilized by Phosphine Ligands
The use of Rh-phosphine complexes as catalytic precursors for the transfer hydrogenation reaction has been reported a few times. As for the Ru-based catalytic precursors reported above, the ability of the complex to generate hydrides in the presence of an opportune donor represents the key step for catalytic applications.
Regarding the reduction of ketones, Rh-phosphine complexes have been successfully employed as catalytic precursors mainly in the presence of molecular hydrogen [66]. Activation of 2-propanol by Rh-phosphine complexes and the achievement of TH under these conditions has been reported for few complexes such as those containing amino-phosphines [67,68,69,70]. Recently, the TH from 2-propanol to acetophenone in the presence of mononuclear Rh complexes bearing phosphine ligands has been also described (Table 2) [71].
Table 2.
Reduction of acetophenone in the presence of refluxing 2-propanol and tBuOK mediated by [Rh(PP)2]+X− catalytic precursors [71].
A detailed mechanistic proposal on the catalytic activity of these complexes in TH has never been reported. This is mainly due to the scarcity of specific data available about the TH of ketones in 2-propanol mediated by mononuclear cationic Rh(I) complexes of the type [Rh(PP)2]X.
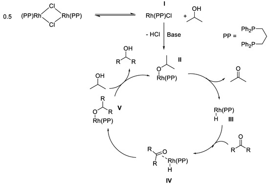
It is known that these complexes undergo oxidative addition to form hexacoordinate (octahedral) hydrides in the presence of H2 or HCl, and that the rate of such reaction is related to the length of the alkyl bridge of the diphosphine (PP = dppe, dppp, X = BF4) [72]. In this line, for complexes [Rh(PP)2][CF3SO3] (PP = dppe, dmpe, depe, depp, depx; with dmpe = 1,2-bis(dimethylphosphino)ethane; depe = 1,2-bis-(diethylphosphino)ethane; depp = 1,3-bis-(diethylphosphino)propane; depx = 1,2-bis((diethylphosphanyl)methyl-benzene), DuBois et al. correlated the rate of the oxidative addition of H2 and the bite angle of the diphosphine [73]. In addition, Mansel et al. found that while complexes containing dcpe (1,2-bis(dicyclohexylphosphino)ethane) or dppe are not able to form hydrides, those containing depe, dppp, or dmpe form an equilibrium mixture of hydrides. Finally, complexes containing depp or depx were able to form quantitatively hydrides [74]. An additional issue regarding the reactivity of such complexes is the role of the anion. In the solid state such complexes are usually described as monomeric and cationic, and single-crystal x-ray crystallography studies confirm a distorted square-planar tetra-coordinated structure, with no contact between cation and anion [75,76,77]. In contrast, this behavior is not so clear in solution, at least for some of these complexes. James [72] and Anderson [78] proposed that [Rh(PP)2]X complexes (X = Cl−, BF4−, PF6, SbF6) form ionic pairs when n = 2 and 3, while coordination of the anion can be observed for n = 1 and 4. Very recently Mannu et al. [71] observed that changing the anion Cl− with BF4−, the outcome of the reduction of acetophenone in the presence of 2-propanol was different (Table 2), revealing a not negligible role of the anion when these complexes are employed as catalytic precursors in TH. In the same contribution [71], the authors demonstrated that for such complexes, phosphine exchange can occur even at room temperature. Decoordination of diphosphine generates highly reactive intermediate species of the type [Rh(PP)(solv.)]+ (solv. = solvent), already detected for several solvents and diphosphines [79]. Such species can exist in equilibrium with many other intermediates, including dinuclear [Rh2(diphosphine)2(μ2-Cl)2] [79], trinuclear [Rh3(DPPP)3(μ3-OMe)2]+ [80], and mononuclear [Rh(PP)X] [81,82]. Recently, Baráth [83] suggested a catalytic cycle for the TH reaction mediated by dinuclear [Rh2(DPPP)2(μ2-Cl)2] (Scheme 10).
Scheme 10.
Adaptation of the catalytic cycle for TH from 2-propanol to acetophenone mediated by dinuclear [Rh2(PP)2(μ2-Cl)2] complexes [83].
In the mechanism reported in Scheme 10, the typical hydride route has been considered as for the Ru complexes discussed above. The catalytic precursor undergoes activation by the action of the base and the 2-propanol. According to Pàmies findings [34], a mono-hydride route was proposed, as a selective deuterium transfer from the α-position of 2-propanol to the carbonyl carbon of the ketone was observed in the presence of Rh catalytic precursors.
It is worth citing the reduction of carbonylic compounds (aldehydes and ketones) in the presence of 2-propanol, which was reported in biphasic water/alcohol conditions for the in situ generated catalytic system [{RhCl(COD)}2] (COD = 1,5-cyclooctadiene)/TPPTS [84] (Scheme 11).
Scheme 11.
TH from 2-propanol to acetophenone mediated by [Rh(COD)Cl]2/TPPTS complexes.
The system was extended not only to the reduction of acetophenone, but also to several ketones and aldehydes showing high conversions after 2 h at 80 °C in the presence of Na2CO3 as base.
Additional detailed studies about the activity of the catalytic precursor [RhCl(mtppms)3] in the reduction of cinnamaldehyde in biphasic water/alcohol systems and in the presence of sodium formate (HCOONa) were reported by Joò et al. [85,86].
By comparing the effect on the catalytic outcome of several alcohols (methanol, ethanol, 2-propanol, 2-ethoxyethanol, glycerol), an accelerating effect of 2-propanol was reported. Nevertheless, on the basis of experiments conducted in absence of formate, and considering the kinetic behavior of the systems, the possibility of 2-propanol acting as hydrogen donor was excluded. Instead, the accelerating effect observed was related to an increased solubility of the substrate in such conditions.
3. Conclusions
Catalytic reduction of ketones in homogeneous phase through transfer hydrogenation (TH), and its asymmetric version (ATH) are processes of choice for the synthesis of several alcohols. Despite the large number of deeply studied catalytic systems for this transformation, the rationalization of the reaction mechanism is difficult in many cases. In particular, for TH promoted by neutral [RuCl2(arene)(P)] complexes (P = generic monophosphine), the classical hydridic route does not exhaustively describe the catalysis. For these systems, the crucial point is represented by the generation of vacant sites during the catalytic cycle. In the case of Ru-arene complexes, the decoordination of chloride as well as a change in the hapticity of the arene unit can contribute to the generation of catalytic active species. A mixed mechanism cannot be excluded. In the case of [Rh(PP)2]X catalytic precursors (PP = diphosphine, X = anion), the proposal of a catalytic mechanism is even more difficult, mainly due to the variety of intermediate species that can be formed in situ.
It seems clear that the catalytically active species in TH for the Ru- and Rh-systems presented herein are metallic hydrides which have been detected spectroscopically in many cases. In spite of this, the details of the mechanism are not known for the systems described in this review. The generation of the required coordination vacancies is particularly intriguing. In the case of Ru-arene systems, some experimental data suggest halide decoordination, while other evidence suggests arene slippage.
Similarly, in the case of cationic monomeric Rh complexes bearing diphosphines, a partial dissociation of one diphosphine “arm”, acting as labile ligand, cannot be excluded. Additionally, the active participation of the anion should be considered.
What is clear is that much more in-depth mechanistic studies, both theoretical and experimental, are needed in order to clarify the catalytic cycle of the systems described in this review.
Funding
This research received no external funding.
Conflicts of Interest
The authors declare no conflicts of interest.
References and Note
- Gladiali, S.; Alberico, E. Asymmetric transfer hydrogenation: chiral ligands and applications. Chem. Soc. Rev. 2006, 35, 226–236. [Google Scholar] [CrossRef] [PubMed]
- Wang, D.; Astruc, D. The Golden Age of Transfer Hydrogenation. Chem. Rev. 2015, 115, 6621–6686. [Google Scholar] [CrossRef] [PubMed]
- Wills, M. Imino Transfer Hydrogenation Reductions. Top Curr Chem (Z). 2016, 14, 374. [Google Scholar]
- Ferrini, P.; Rinaldi, R. Catalytic Biorefining of Plant Biomass to Non-Pyrolytic Lignin Bio-Oil and Carbohydrates through Hydrogen Transfer Reactions. Angew. Chem. Int. Ed. 2014, 53, 8634–8639. [Google Scholar] [CrossRef] [PubMed]
- Zhang, Y.; Gyngazova, M.S.; Lolli, A.; Grazia, L.; Tabanelli, T.; Cavani, F.; Albonetti, A. Chapter 10 - Hydrogen Transfer Reaction as an Alternative Reductive Process for the Valorization of Biomass-Derived Building Blocks. Stud. Surf. Sci. Catal. 2019, 178, 195–214. [Google Scholar]
- Noyori, R. Asymmetric catalysis: science and opportunities (Nobel lecture). Angew. Chem. Int. Ed. 2002, 41, 2008–2022. [Google Scholar] [CrossRef]
- The Nobel Prize in Chemistry 2001. Available online: https://www.nobelprize.org/prizes/chemistry/2001/summary/ (accessed on 27 December 2019).
- Gladiali, S.; Taras, R. Reduction of Carbonyl Compounds by Hydrogen Transfer. In Modern Reduction Methods; John Wiley and Sons, Inc.: Hoboken, NJ, USA, 2008; pp. 135–157. [Google Scholar]
- Štefane, B.; Požgan, F. Asymmetric Hydrogenation and Transfer Hydrogenation of Ketones. In Hydrogenation; Karamé, L., Ed.; Intech Open: London, UK, 2012. [Google Scholar]
- Ponndorf, W. Der reversible Austausch der Oxydationsstufen zwischen Aldehyden oder Ketonen einerseits und primären oder sekundären Alkoholen anderseits. Angew. Chem. 1926, 39, 138. [Google Scholar] [CrossRef]
- De Graauw, C.F.; Peters, J.A.; Van Berkkum, H.; Huskens, J. Meerwein-Ponndorf-Verley Reductions and Oppenauer Oxidations: An Integrated Approach. Synthesis 1994, 1107–1117. [Google Scholar] [CrossRef]
- Djerassi, C. The Oppenauer Oxidation in Organic Reactions; John Wiley and Sons, Inc.: Hoboken, NJ, USA, 2011. [Google Scholar] [CrossRef]
- Ooi, T.; Miura, T.; Maruoka, K. Highly Efficient, Catalytic Meerwein-Ponndorf-Verley Reduction with a Novel Bidentate Aluminum Catalyst. Angew. Chem. Int. Ed. 1998, 37, 2347–2349. [Google Scholar] [CrossRef]
- Campbell, E.J.; Zhou, H.; Nguyen, S.T. The Asymmetric Meerwein–Schmidt–Ponndorf–Verley Reduction of Prochiral Ketones with iPrOH Catalyzed by Al Catalysts. Angew. Chem. Int. Ed. 2002, 41, 1020–1022. [Google Scholar] [CrossRef]
- Campbell, E.J.; Zhou, H.; Nguyen, S.T. Catalytic Meerwein-Pondorf-Verley reduction by simple aluminum complexes. Org. Lett. 2001, 3, 2391–2393. [Google Scholar] [CrossRef] [PubMed]
- Doering, W.W.; Young, R.W.J. Partially asymmetric Meerwein-Ponndorf-Verley reductions. J. Am. Chem. Soc. 1950, 72, 631. [Google Scholar] [CrossRef]
- Meerwein, H.; Schmidt, R. Ein neues Verfahren zur Reduktion von Aldehyden und Ketonen. Liebig Ann. Chem. 1925, 444, 221–238. [Google Scholar] [CrossRef]
- Bailar, J.C.; Hitatani, H.J. Homogeneous Catalysis in the Reactions of Olefinic Substances. VI. Selective Hydrogenation of Methyl Linoleate and Isomerization of Methyl Oleate by Homogeneous Catalysis with Platinum Complexes Containing Triphenylphosphine, -arsine, or -stibine. J. Am. Chem. Soc. 1967, 89, 1592–1599. [Google Scholar] [CrossRef]
- Trocha-Grimshaw, J.; Henbest, H.B. Catalysis of the transfer of hydrogen from propan-2-ol to αβ-unsaturated ketones by organoiridium compounds. A carbon–iridium compound containing a chelate keto-group. Chem. Commun. 1967, 544. [Google Scholar] [CrossRef]
- Sasson, Y.; Blum, J. Dichlorotris(triphenylphosphine)ruthenium-catalyzed hydrogen transfer from alcohols to saturated and alpha, beta-unsaturated ketones. J. Org. Chem. 1975, 40, 1887–1896. [Google Scholar] [CrossRef]
- Matteoli, U.; Frediani, P.; Bianchi, M.; Botteghi, C.; Gladiali, S. Asymmetric homogeneous catalysis by ruthenium complexes. J. Mol. Catal. 1981, 12, 265–319. [Google Scholar] [CrossRef]
- Wang, C.; Wu, X.; Xiao, J. Broader, Greener, and More Efficient: Recent Advances in Asymmetric Transfer Hydrogenation. Chem. Asian J. 2008, 3, 1750–1770. [Google Scholar] [CrossRef]
- Farrar-Tobar, R.A.; Wei, Z.; Jiao, H.; Hinze, S.; de Vries, J.G. Selective Base-free Transfer Hydrogenation of α,β-Unsaturated Carbonyl Compounds using iPrOH or EtOH as Hydrogen Source. Chem. Eur. J. 2018, 24, 2725–2734. [Google Scholar] [CrossRef]
- Ruff, A.; Kirby, C.; Chan, B.C.; O’Connor, A.R. Base-Free Transfer Hydrogenation of Ketones Using Cp*Ir(pyridinesulfonamide)Cl Precatalysts. Organometallics 2016, 35, 327–335. [Google Scholar] [CrossRef]
- Carrión, M.C.; Sepúlveda, F.; Jalón, F.A.; Manzano, B.R.; Rodríguez, A.M. Base-Free Transfer Hydrogenation of Ketones Using Arene Ruthenium(II) Complexes. Organometallics 2009, 28, 3822–3833. [Google Scholar] [CrossRef]
- Lagaditis, P.O.; Lough, A.J.; Morris, R.H. Mechanism of the Hydrogenation of Ketones Catalyzed by trans-Dihydrido(diamine)ruthenium(II) Complexes. J. Am. Chem. Soc. 2011, 133, 9662–9665. [Google Scholar] [CrossRef] [PubMed]
- Laxmi, Y.R.S.; Bäckvall, J.-E. Mechanistic studies on ruthenium-catalyzed hydrogen transfer reactions. Chem. Commun. 2000, 611–612. [Google Scholar] [CrossRef]
- Yang, J.W.; Hechevarria Fonseca, M.T.; Vignola, N.; List, B. Metal-Free, Organocatalytic Asymmetric Transfer Hydrogenation of α,β-Unsaturated Aldehydes. Angew. Chem. Int. Ed. 2005, 44, 108–110. [Google Scholar] [CrossRef] [PubMed]
- Bagnali, R.; Strauss, C.R. Uncatalysed hydrogen-transfer reductions of aldehydes and ketones. Chem. Commun. 1999, 287–288. [Google Scholar] [CrossRef]
- Clapham, S.E.; Hadzovic, A.; Morris, R.H. Mechanisms of the H2-hydrogenation and transfer hydrogenation of polar bonds catalyzed by ruthenium hydride complexes. Coord. Chem. Rev. 2004, 248, 2201–2237. [Google Scholar] [CrossRef]
- Zassinovich, G.; Bettella, R.; Mestroni, G.; Bresciani-Pahor, N.; Geremia, S.; Randaccio, L. Enantioselective hydrogen transfer reactions from propan-2-ol to ketones catalyzed by pentacoordinate iridium(I) complexes with chiral Schiff bases. J. Organomet. Chem. 1989, 370, 187–202. [Google Scholar] [CrossRef]
- Petra, D.G.I.; Kamer, P.C.J.; Speck, A.L.; Schoemaker, H.E.; Van Leeuwen, P.W.N.M. Aminosulf(ox)ides as Ligands for Iridium(I)-Catalyzed Asymmetric Transfer Hydrogenation. J. Org. Chem. 2000, 65, 3010–3017. [Google Scholar] [CrossRef]
- Handgraaf, J.W.; Reek, J.H.N.; Meijer, E.J. Iridium (I) versus ruthenium (II). A computational study of the transition metal catalyzed transfer hydrogenation of ketones. Organometallics 2003, 22, 3150–3157. [Google Scholar] [CrossRef]
- Pàmies, O.; Bäckvall, J.-E. Studies on the Mechanism of Metal-Catalyzed Hydrogen Transfer from Alcohols to Ketones. Chem. Eur. J. 2001, 7, 5052–5058. [Google Scholar] [CrossRef]
- Samec, J.S.M.; Bäckvall, J.-E.; Andersson, P.G.; Brandt, P. Mechanistic aspects of transition metal-catalyzed hydrogen transfer reactions. Chem. Soc. Rev. 2006, 35, 237–248. [Google Scholar] [CrossRef] [PubMed]
- Haack, K.J.; Hashiguchi, S.; Fujii, A.; Ikariya, T.; Noyori, R. The Catalyst Precursor, Catalyst, and Intermediate in the RuII-Promoted Asymmetric Hydrogen Transfer between Alcohols and Ketones. Angew. Chem. Int. Ed. Engl. 1997, 36, 285. [Google Scholar] [CrossRef]
- Ikariya, T.; Murata, K.; Noyori, R. Bifunctional transition metal-based molecular catalysts for asymmetric syntheses. Org. Biomol. Chem. 2006, 393–406. [Google Scholar] [CrossRef] [PubMed]
- Hounjet, L.J.; Ferguson, M.J.; Cowie, M. Phosphine–Amido Complexes of Ruthenium and Mechanistic Implications for Ketone Transfer Hydrogenation Catalysis. Organometallics 2011, 30, 4108–4114. [Google Scholar] [CrossRef]
- Hashiguchi, S.; Fujii, A.; Takehara, J.; Ikariya, T.; Noyori, R. Asymmetric transfer hydrogenation of aromatic ketones catalyzed by chiral ruthenium (II) complexes. J. Am. Chem. Soc. 1995, 117, 7562–7563. [Google Scholar] [CrossRef]
- Noyori, R.; Hashiguchi, S. Asymmetric transfer hydrogenation catalyzed by chiral ruthenium complexes. Acc. Chem. Res. 1997, 30, 97–102. [Google Scholar] [CrossRef]
- Noyori, R.; Yamakawa, M.; Hashiguchi, S. Metal− ligand bifunctional catalysis: a nonclassical mechanism for asymmetric hydrogen transfer between alcohols and carbonyl compounds. J. Org. Chem. 2001, 66, 7931–7944. [Google Scholar] [CrossRef]
- Giboulot, S.; Baldino, S.; Ballico, M.; Nedden, H.G.; Zuccaccia, D.; Baratta, W. Cyclometalated dicarbonyl ruthenium catalysts for transfer hydrogenation and hydrogenation of carbonyl compounds. Organometallics 2018, 37, 2136–2146. [Google Scholar] [CrossRef]
- Sun, R.; Chu, X.; Zhang, S.; Li, T.; Wang, Z.; Zhu, B. Synthesis, Structure, Reactivity, and Catalytic Activity of Cyclometalated (Phosphine)-and (Phosphinite) ruthenium Complexes. Eur. J. Inorg. Chem. 2017, 3174–3183. [Google Scholar] [CrossRef]
- Hey, D.A.; Fischer, P.J.; Baratta, W.; Kühn, F.E. Ru(O2CCF3)2(PPh3)2 and ruthenium phosphine complexes bearing fluoroacetate ligands: synthesis, characterization and catalytic activity. Dalton Trans. 2019, 48, 4625–4635. [Google Scholar] [CrossRef]
- Giboulot, S.; Comuzzi, C.; Del Zotto, A.; Figliolia, R.; Lippe, G.; Lovison, D.; Strazzolini, P.; Susmel, S.; Zangrando, E.; Zuccaccia, D.; et al. Preparation of monocarbonyl ruthenium complexes bearing bidentate nitrogen and phosphine ligands and their catalytic activity in carbonyl compound reduction. Dalton Trans. 2019, 48, 12560–12576. [Google Scholar] [CrossRef] [PubMed]
- Zhang, S.; Baratta, W. Synthesis of Pincer Ruthenium RuCl(CNN)(PP) Catalysts from [RuCl(μ-Cl)(η6-p-cymene)]2. Organometallics 2013, 32, 3339–3342. [Google Scholar] [CrossRef]
- Zhang, S.; Baldino, S.; Baratta, W. Synthesis of [RuX(CO)(dppp)(NN)] Cl (X= H, Cl; NN= en, ampy) Complexes and Their Use as Catalysts for Transfer Hydrogenation. Organometallics 2013, 32, 5299–5304. [Google Scholar] [CrossRef]
- For the TH with 2-propanol see: Baldino, S.; Facchetti, S.; Zanotti-Gerosa, A.; Nedden, H.G.; Baratta, W. ChemCatChem 2016, 8, 2279–2288.
- For the TH with formate sources see: Baldino, S.; Facchetti, S.; Zanotti-Gerosa, A.; Nedden, H.G.; Baratta, W. Chemoselective Transfer Hydrogenation of Aldehydes with HCOONH4 Catalyzed by RuCl(CNNPh)(PP) Pincer Complexes. ChemCatChem 2016, 8, 3195–3198. [Google Scholar]
- Baratta, W.; Ballico, M.; Baldino, S.; Chelucci, G.; Herdtweck, E.; Siega, K.; Magnolia, S.; Rigo, P. New Benzo[h]quinoline-Based Ligands and their Pincer Ru and Os Complexes for Efficient Catalytic Transfer Hydrogenation of Carbonyl Compounds. Chem. Eur. J. 2008, 14, 9148–9160. [Google Scholar] [CrossRef]
- Carriedo, G.A.; Crochet, P.; García Alonso, F.J.; Gimeno, J.; Presa-Soto, A. Synthesis and Catalytic Activity of (η6-p-Cymene)(phosphane)ruthenium(II) Complexes Supported on Poly(biphenoxyphosphazene) or Chiral Poly(binaphthoxyphosphazene) Copolymers. Eur. J. Inorg. Chem. 2004, 3668–3674. [Google Scholar] [CrossRef]
- Grabulosa, A.; Mannu, A.; Alberico, E.; Denurra, S.; Gladiali, S.; Muller, G. Neutral η6-arene ruthenium complexes with monodentate P-donor ligands: Activation in the transfer hydrogenation reaction. J. Mol. Catal. A Chem. 2012, 49, 363–364. [Google Scholar]
- Angurell, I.; Muller, G.; Rocamora, M.; Rossell, O.; Seco, M. Single and double metallic layer-containing ruthenium dendrimers. Synthesis and catalytic properties. Dalton Trans. 2004, 2450–2457. [Google Scholar] [CrossRef]
- Wang, L.; Yang, Q.; Fu, H.-Y.; Chen, H.; Yuan, M.-L.; Li, R.-X. Ru–η6-benzene–phosphine complex-catalyzed transfer hydrogenation of ketones. Appl. Organometal. Chem. 2011, 25, 626–631. [Google Scholar] [CrossRef]
- Grabulosa, A.; Mannu, A.; Mezzetti, A.; Muller, G. Neutral p-cymene ruthenium complexes with P-stereogenic monophosphines. New catalytic precursors in enantioselective transfer hydrogenation and cyclopropanation. J. Organomet. Chem. 2012, 696, 4221–4228. [Google Scholar] [CrossRef]
- Aznar, R.; Grabulosa, A.; Mannu, A.; Muller, G.; Sainz, D.; Moreno, V.; Font-Bardia, M.; Calvet, T.; Lorenzo, J. [RuCl2(η6-p-cymene)(P*)] and [RuCl2(κ-P*-η6-arene)] Complexes Containing P-Stereogenic Phosphines. Activity in Transfer Hydrogenation and Interactions with DNA. Organometallics 2013, 32, 2344–2362. [Google Scholar] [CrossRef]
- Clavero, P.; Grabulosa, A.; Rocamora, M.; Muller, G.; Font-Bardia, M. Ruthenium complexes of P-stereogenic phosphines with a heterocyclic substituent. Dalton Trans. 2016, 45, 8513–8531. [Google Scholar] [CrossRef] [PubMed]
- Clavero, P.; Grabulosa, A.; Font-Bardia, M.; Muller, G. P-Stereogenic monophosphines with the 2-p-terphenylyl and 1-pyrenyl substituents. Application to Pd and Ru asymmetric catalysis. Journal of Mol. Catal A: Chem. 2014, 391, 183–190. [Google Scholar] [CrossRef]
- Navarro, M.; Vidal, D.; Clavero, P.; Grabulosa, A.; Muller, G. Mild Photochemical Tethering of [RuCl2(η6-arene)P*] Complexes with P-Stereogenic 2-Biphenylylphosphines. Organometallics 2015, 34, 973–994. [Google Scholar] [CrossRef]
- Grabulosa, A. Chapter 5 (Evans method), Chapter 4 (Jugé-Stephan). In P-Stereogenic Ligands in Enantioselective Catalysis; RSC Publishing: Cambridge, UK, 2010. [Google Scholar]
- Chaplin, A.B.; Dyson, P.J. Catalytic Activity of Bis-phosphine Ruthenium(II)−Arene Compounds: Chemoselective Hydrogenation and Mechanistic Insights. Organometallics 2007, 26, 4357–4360. [Google Scholar] [CrossRef]
- Chaplin, A.B.; Dyson, P.J. Catalytic Activity of Bis-phosphine Ruthenium (II)− Arene Compounds: Structure− Activity Correlations. Organometallics 2007, 26, 2447–2455. [Google Scholar] [CrossRef]
- Dinda, S.; Sebastian, K.L.; Samuelson, A.G. Mechanistic Aspects of Nucleophilic Substitution at Half-Sandwich Metal Complexes. Organometallics 2010, 29, 6209–6218. [Google Scholar] [CrossRef]
- De Pasquale, J.; Kumar, M.; Zeller, M.; Papish, E.T. Variations on an NHC theme: which features enhance catalytic transfer hydrogenation with ruthenium complexes? Organometallics 2013, 32, 966–979. [Google Scholar] [CrossRef]
- Brissos, R.F.; Clavero, P.; Gallen, A.; Grabulosa, A.; Barrios, L.A.; Caballero, A.B.; Korrodi-Gregório, L.; Pérez-Tomás, R.; Muller, G.; Soto-Cerrato, V.; et al. Highly cytotoxic ruthenium (II)-arene complexes from bulky 1-pyrenylphosphane ligands. Inorg. Chem. 2018, 57, 14786–14797. [Google Scholar] [CrossRef]
- Štefane, B.; Požgan, F. Homogenous, asymmetric hydrogenation and transfer hydrogenation. In Hydrogenation; Karamé, L., Ed.; BoD–Books on Demand: Norderstedt, Germany, 2012. [Google Scholar]
- Aydemir, M.; Ocak, Y.S.; Rafikova, K.; Kystaubayeva, N.; Kayan, C.; Zazybin, A.; Ok, F.; Baysal, A.; Temel, H. Rhodium-catalyzed transfer hydrogenation with aminophosphines and analysis of electrical characteristics of rhodium (I) complex/n-Si heterojunctions. Appl. Organomet. Chem. 2014, 28, 396–404. [Google Scholar] [CrossRef]
- Aydemir, M.; Meric, N.; Kayan, C.; Ok, F.; Baysal, A. Rhodium-catalyzed transfer hydrogenation with functionalized bis (phosphino) amine ligands. Inorg. Chim. Acta 2013, 398, 1–10. [Google Scholar] [CrossRef]
- Kayan, C.; Meric, N.; Aydemir, M.; Baysal, A.; Elma, D.; Ak, B.; Sahin, E.; Gürbüz, N.; Ozdemir, I. Ruthenium, rhodium and iridium complexes of the furfuryl-2-(N-diphenylphosphino) methylamine ligand: Molecular structure and catalytic activity. Polyhedron 2012, 42, 142–148. [Google Scholar] [CrossRef]
- Aydemir, M.; Baysal, A.; Meric, N.; Kayan, C.; Gümgüm, B.; Ozkar, S.; Sahin, E. Organometallic ruthenium, rhodium and iridium complexes containing a P-bound thiophene-2-(N-diphenylphosphino)-methylamine ligand: Synthesis, molecular structure and catalytic activity. J. Organomet. Chem. 2011, 696, 2584–2588. [Google Scholar] [CrossRef]
- Mannu, A.; Vlahopoulou, G.; Kubis, C.; Drexler, H.-J. Synthesis and characterization of [Rh (PP)(PP)] X complexes (PP = DPPE or DPPP, X= Cl− or BF4−). Phosphine exchange and reactivity in transfer hydrogenation conditions. J. Organomet. Chem. 2019, 885, 59–64. [Google Scholar] [CrossRef]
- James, B.R.; Mahajan, D. Bis(ditertiaryphosphine) complexes of rhodium(I). Synthesis, spectroscopy, and activity for catalytic hydrogenation. Can. J. Chem. 1979, 57, 180–187. [Google Scholar] [CrossRef]
- Du Bois, D.L.; Blake, D.M.; Miedaner, A.; Curtis, C.J.; Du Bois, M.R.; Franz, J.A.; Linehan, J.C. Hydride Transfer from Rhodium Complexes to Triethylborane. Organometallics 2006, 25, 4414–4419. [Google Scholar] [CrossRef]
- Mansel, S.M. Catalytic applications of small bite-angle diphosphorus ligands with single-atom linkers. Dalton Trans. 2017, 46, 15157–15174. [Google Scholar] [CrossRef]
- Bays, J.T.; Priyadershani, N.; Jeletic, M.S.; Hulley, E.B.; Miller, D.L.; Linehan, J.C.; Shaw, W.J. The Influence of the Second and Outer Coordination Spheres on Rh(diphosphine)2CO2 Hydrogenation Catalysts. ACS Catal. 2014, 4, 3663–3670. [Google Scholar] [CrossRef]
- Dorta, R.; Shimon, L.; Milstein, D. Rhodium complexes with chiral counterions: achiral catalystsin chiral matrices. J. Organomet. Chem. 2004, 689, 751–758. [Google Scholar] [CrossRef]
- van der Broeke, J.; Lutz, M.; Kooijman, H.; Spek, A.L.; Deelman, B.-J.; van Koten, G. Increasing the Lipophilic Character of Tetraphenylborate Anions through Silyl Substituents. Organometallics 2011, 20, 2114–2117. [Google Scholar] [CrossRef]
- Anderson, M.P.; Pignolet, L.H. Rhodium complexes of 1,4-bis(diphenylphosphino)butane. Crystal and molecular structures of [Rh(dppb)2]BF4.cntdot.C4H10O and [Rh(cod)(dppb)]BF4. Inorg. Chem. 1981, 20, 4101–4107. [Google Scholar] [CrossRef]
- Alberico, E.; Möller, S.; Horstmann, M.; Drexler, H.-J.; Heller, D. Activation, Deactivation and Reversibility Phenomena in Homogeneous Catalysis: A Showcase Based on the Chemistry of Rhodium/Phosphine Catalysts. Catalysts 2019, 581. [Google Scholar] [CrossRef]
- Meißner, A.; Alberico, E.; Drexler, H.-J.; Baumann, W.; Heller, D. Rhodium diphosphine complexes: a case study for catalyst activation and deactivation. Catal. Sci. Technol. 2014, 4, 3409–3425. [Google Scholar] [CrossRef]
- Mannu, A.; Drexler, H.-J.; Thede, R.; Ferro, M.; Baumann, W.; Rüger, J.; Heller, D. Oxidative addition of CH2Cl2 to neutral dimeric rhodium diphosphine complexes. J. Organomet. Chem. 2018, 871, 178–184. [Google Scholar] [CrossRef]
- Mannu, A.; Ferro, M.; Möller, S.; Heller, D. Monomerisation of [Rh2(1, 3-bis-(diphenylphosphino)-propane)2(μ2-Cl)2] detected by pulsed gradient spin echo spectroscopy and 31P NMR monitoring of metathesis experiments. J. Chem. Res. 2018, 42, 402–404. [Google Scholar] [CrossRef]
- Baráth, E. Hydrogen Transfer Reactions of Carbonyls, Alkynes, and Alkenes with Noble Metals in the Presence of Alcohols/Ethers and Amines as Hydrogen Donors. Catalysts 2018, 8, 671. [Google Scholar] [CrossRef]
- Ajjou, A.N.; Pinet, J.-L. The biphasic transfer hydrogenation of aldehydes and ketones with isopropanol catalyzed by water-soluble rhodium complexes. J. Mol. Catal. A Chem. 2004, 214, 203–206. [Google Scholar] [CrossRef]
- Kathó, A.; Szatmári, I.; Papp, G.; Joó, F. Effect of 2-propanol on the transfer hydrogenation of aldehydes by aqueous sodium formate using a rhodium(i)-sulfonated triphenylphosphine catalyst. Chimia 2015, 69, 339–344. [Google Scholar] [CrossRef]
- Joó, F.; Bényei, A. Biphasic reduction of unsaturated aldehydes to unsaturated alcohols by ruthenium complex-catalyzed hydrogen transfer. J. Organomet. Chem. 1989, 363, C19–C21. [Google Scholar] [CrossRef]
© 2020 by the authors. Licensee MDPI, Basel, Switzerland. This article is an open access article distributed under the terms and conditions of the Creative Commons Attribution (CC BY) license (http://creativecommons.org/licenses/by/4.0/).



































