Next Article in Journal
Graphene-Based Heterogeneous Catalysis: Role of Graphene
Next Article in Special Issue
Catalytic Technologies for CO Hydrogenation for the Production of Light Hydrocarbons and Middle Distillates
Previous Article in Journal
Relationship Between the Pore Structure of Mesoporous Silica Supports and the Activity of Nickel Nanocatalysts in the CO2 Reforming of Methane
Previous Article in Special Issue
Positive Effects of Impregnation of Fe-oxide in Mesoporous Al-Oxides on the Decontamination of Dimethyl Methylphosphonate
 
 
Font Type:
Arial Georgia Verdana
Font Size:
Aa Aa Aa
Line Spacing:
Column Width:
Background:
Review

Current Catalyst Technology of Selective Catalytic Reduction (SCR) for NOx Removal in South Korea

1
Plant Engineering Center, Institute for Advances Engineering (IAE), 175-28, 51, Goanro, Baegam-myeon, Cheoin-gu, Yongin-si 449-863, Gyeonggi, Korea
2
School of Chemical Engineering, Sungkyunkwan University (SKKU), 2066 Seobu-ro, Jangan-gu, Suwon 16419, Gyeonggi-do, Korea
*
Authors to whom correspondence should be addressed.
Catalysts 2020, 10(1), 52; https://doi.org/10.3390/catal10010052
Submission received: 27 November 2019 / Revised: 27 December 2019 / Accepted: 28 December 2019 / Published: 1 January 2020
(This article belongs to the Special Issue State-of-the-Art Catalytical Technology in South Korea)

Abstract

Recently, air pollution has worsened throughout the world, and as regulations on nitrogen oxides (NOx) are gradually tightened many researchers and industrialists are seeking technologies to cope with them. In order to meet the stringent regulations, research is being actively conducted worldwide to reduce NOx-causing pollution. However, different countries tend to have different research trends because of their regional and industrial environments. In this paper, the results of recent catalyst studies on NOx removal by selective catalytic reduction are reviewed with the sources and regulations applied according to the national characteristics of South Korea. Specifically, we emphasized the three major NOx emissions sources in South Korea such as plant, automobile, and ship industries and the catalyst technologies used.

1. Introduction

Climate change as a result of the promotion of industrialization and urbanization through economic growth around the world has increased awareness of the atmosphere. As a result, regulations are being tightened to release air pollutants to protect the air environment and the world faces mandatory challenges to reduce air pollutants [1,2,3,4,5,6].
Figure 1 shows the results of the measurement of particulate matter (PM 2.5) exposure concentration in Organization for Economic Cooperation and Development (OECD) countries in 2017. The average PM 2.5 concentration from Figure 1 was about 12.5 µg/m3, which actually exceeds the average value of 34%, and South Korea recorded the highest concentration of PM 2.5 [2].
The atmospheric condition of South Korea is threatened by the increase of high concentration of fine dust. In particular, in March 2019, Seoul’s monthly average PM 2.5 concentration reached its highest level since the observation, and an emergency reduction measure for high concentrations of fine dust was issued for seven consecutive days. With this issue, the human body is not only exposed to fine dust, but also crops and ecosystems and so on. A survey on the severity of fine dust among the people found that about 30% face very serious problems, and more than 60% are serious [3]. The public’s anxiety also seems to increase because fine dust, an air pollutant, is the most easily and frequently encountered part of life. In response to this anxiety, the government’s response is also strengthening in South Korea.
As a result of this, the world is working to reduce the substances that cause air pollution. BBC research predicts that the management market to reduce air pollution will grow by 2019, with DeNOx systems the highest growth rate of 6.3% (Table 1). This aims to prevent the generation of additional particulate matter through the secondary chemical reaction of precursor materials (SOx, NOx, etc.) as well as the direct release of particulate matter.
Nitrogen oxide (NOx) is one of the secondary sources of fine dust (components: 59.3% of sulphates, nitrates, etc., carbon and soot 16.8%, minerals 6.3%, and other substances 18.6%), which causes chemical reactions in the atmosphere. The air pollution process due to NOx is summarized in Figure 2. After reaction with water, NOx forms nitric acid in the atmosphere, causing acid rain, and in addition, photochemical smog, tropospheric ozone, and ozone layer destruction [1,5,6].
The causes of NOx emissions vary, so it is important to develop technologies to reduce NOx, taking into account the local and industrial characteristics of each country. In South Korea, fine dust concentration mainly result from the influence of neighboring countries [7]. However, in order to reduce air pollutants emitted according to the industrial characteristics of South Korea, it is necessary to solve the problem through technology development.
In this paper, we summarized the selective catalytic reduction (SCR) reaction that is commonly used and commercialized among many DeNOx technologies. In order to examine trends in NOx reduction technology in consideration of the regional and industrial characteristics of South Korea, the changes in emission and environmental regulations according to emission sources in South Korea are examined. Moreover, the SCR catalytic technologies for NOx removal in South Korea and the future research directions are discussed.

2. Selective Catalytic Reduction (SCR) for Nitrogen Oxide (NOx) Removal

There are several technologies under investigation to remove NOx, but the most standard removal of NOx is the SCR process [8]. The SCR process is one of catalytic reactions, where single metal oxide, mixed metal oxides and supported metal oxides, and pure or metal-exchanged zeolites catalysts are generally used to convert nitrogen oxides (NOx) into nitrogen molecule (N2) and water (H2O), which are harmless not only to human being but also the environment, by using suitable reducing agents such as ammonia, urea, hydrocarbon and hydrogen [9]. Although these reducing agents have their own advantages and disadvantages, they induce a strong decrease in the Gibbs free energy values. Likewise, the free energy values can be further reduced by the introduction of oxygen [10]. In order to protect the injected reducing agent, the SCR system is generally kept after a diesel oxidation catalytic bed. The reducing agents used for SCR process are summarized below with their mechanism.

2.1. Ammonia (NH3-SCR Process)

The most common SCR process is the use of ammonia (NH3) as the reducing agent. NH3-SCR process is already commercialized around the world including South Korea and has many advantages such as flexible operating temperature, excellent redox properties and high thermodynamic stability over other reducing agents [11]. NH3-SCR reaction may varies depending on the content of NO and NO2 in the NOx of the exhaust gas and the main chemical reactions in NH3-SCR process are given below [12]:
4NO + 4NH3 + O2 → 4N2 + 6H2O
2NO2 + 4NH3 + O2 → 3N2 + 6H2O
6NO + 4NH3 → 5N2 + 6H2O
6NO2 + 8NH3 → 7N2 + 12H2O
NO + NO2 + 2NH3 → 2N2 + 3H2O
Equations (1)–(5) are reactions of NH3 and NO and NO2 in the presence and absence of O2, respectively, that result in decomposition of NOx. The standard reaction is Equation (1), which occurs when NOx consists only of NO. If there is only NO2 in the exhaust gas, NH3 reacts as in Equation (4), which is generally a slow reaction. In the case of Equation (5), NOx substance is a fast reaction that occurs when NO and NO2 are mixed in equimolar.
Many researchers suggested that metal oxides-based catalysts having both Lewis and Brönsted acid sites are good for the NH3-SCR process [13]. NH3 can be adsorbed on Lewis and/or Brönsted acid sites of the metal oxides and intermediates like adsorbed NH3 or NH4+ formed on Brönsted acid sites which were reacted with NO through Langmuir–Hinshelwood (L-H) mechanism producing N2 and H2O. The physically adsorbed NO is oxidized by metal ions to form nitrate as shown in the following reaction pathway (Figure 3) [14,15].
The NH3-SCR reaction mechanism (Figure 4) was proposed by Liu et al. for the FeTiOx catalyst using different analytical techniques such as in-situ DRIFTS, transient response experiments and temperature programmed desorption of NH3 [16]. In more detail, Brönsted acid sites were higher than Lewis acid sites at 200 °C, whereas the former sites transformed into Lewis acid sites at >200 °C through dehydroxylation on FeTiOx. L–H mechanism is proposed at 200 °C (Figure 4A). NO oxidized into nitrate species on Fe3+ which was reacted with adjacent adsorbed NH3 species on Ti4+–OH Brönsted acid sites to intermediate species (like ammonium nitrate), followed by a subsequent reaction with NO to produce N2 and H2O. At high temperature, a typical Eley–Rideal (E–R) mechanism is proposed for NH3-SCR of NOx (Figure 4B). In this mechanism, Fe3+ firstly reduced to Fe2+, which then re-oxidized to Fe3+ by O2, to complete a redox cycle. In parallel, adsorbed NH3 species activated into −NH2 species by Fe3+ via dehydrogenation, which react with NO to form an intermediate (NH2NO), followed by a subsequent conversion into N2 and H2O.
Beside metal oxide catalysts, protonic and metal incorporated zeolites were also used for the NH3-SCR process whose reaction mechanism is explained well in a previous review paper [13]. For a representative reaction mechanism on zeolite-based catalysts, NH3-SCR reaction for NO/NO2 over a commercial Fe–ZSM-5 catalyst was shown in Figure 5. Results were demonstrated that the intermediates of NH4NO2 or NH4NO3 species, in which NH4NO2 decomposes to N2 and H2O. On the other hand, NH4NO3 can directly decomposed to generate N2O and H2O [17].
Although this NH3-SCR process is a well-established technology in the various parts of South Korea (for instance Pyeongtaek, Incheon and Ulsan) [18], the use of an expensive reductant, and transportation and storage of NH3, besides some toxic unwanted products, are problems related to the process [8,19].

2.2. Urea (Urea-SCR Process)

To avoid handling hazardous and corrosive NH3, urea can be used as a reducing agent that is easy to handle as aqueous solutions (Iskan City of South Korea used 40% aqueous urea-based SCR technology [18]). Urea, a large-scale commodity chemical, was considered as an NH3 precursor for SCR technology. Generally, urea solution decomposes at elevated temperature to NH3 in the hot exhaust gas via two-step reactions as shown in the following Figure 6:
Also, as shown in Figure 7, the concept adopted by Kwangsung Co. Ltd. (Gimhae, Korea) for marine/offshore using urea-SCR system [21].
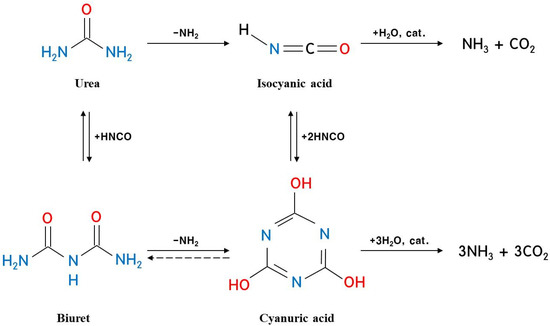
Figure 8 shows a urea decomposition reaction to ammonia and isocyanic acid (HNCO), which usually occurs under thermal reaction even without any catalysts [22], along with two byproducts namely biuret and cyanuric acid at moderate temperature of 300 °C. HNCO is a stable intermediate species in the gas phase but hydrolyzes to NH3 and CO2 on the TiO2/ZrO2-based SCR catalyst. Also, smaller amounts of undesired stable products, for instance ammelide, ammeline and melamine were formed by substitution of the OH groups of cyanuric acid with one, two and three NH3 groups respectively [23].
Different catalytic activities were observed with and without water on urea hydrolysis and thermolysis [24,25]. The order of catalyst activities according to the reaction is:
Urea thermolysis: TiO2 > H-ZSM-5 ≈ Al2O3 > ZrO2 > SiO2
Urea hydrolysis: ZrO2 > TiO2 > Al2O3 > H-ZSM-5 > SiO2
Although urea is non-toxic and cheaper than NH3, aqueous solution of urea is more difficult to dose and to mix with the exhaust gas than NH3 which make urea decompose incompletely and deactivate the SCR catalyst [22].

2.3. Hydrocarbon (HC-SCR Process)

Hydrocarbons added to or contained in emissions can also be used as an alternative reducing agents [26]. Hydrocarbons such as methane, propane and propene appear to have excellent catalytic activity, and in particular, the selectivity of nitrogen is excellent [9,10]. The main advantage is the use of a hydrocarbon gas or its mixture very similar to that found in exhausts besides low cost and feasibility. Generally, three major reaction steps are involved during the hydrocarbon-SCR (HC-SCR) process [27]. As shown below, (a) NO decompose into N2 (Equation (6)) and then hydrocarbons attack by the surface oxygen, or hydrocarbon oxidation to adjust the oxidation state of metal ion catalyst (Equation (7)), (b) the hydrocarbon intermediate (HC*) formed is able to reduce NOx selectively (Equations (8) and (9)), and (c) NO2, formed from NO and O2, reduced preferentially by hydrocarbon species to form N2 (Equations (10) and (11)).
(a) 2NO → N2 + 2O (ads)
HC + O (ads) → CO2 + H2O
(b) HC + O2 (or NOx) → HC* + CO2 + H2O
HC* + NOx → N2 + CO2 + H2O
(c) NO + 0.5O2 → NO2
HC + NO2 → N2 + CO2 + H2O
Zeolites containing a Modernite Framework Inverted (MFI) structure seems to be good for the HC-SCR process, although few studies on Ferrierite structure was also reported [19]. For instance, Mn-ZSM-5 and Fe-ZSM-5 were used to remove NOx with methane and propane as the reducing agents, respectively. Lobree et al. proposed a possible mechanism on Fe-ZSM-5 for the reduction of NO by propane (C3H8) in the presence of O2 (Figure 9) [28]. Fe2+ (actually Fe2+(OH)) reacts with O2 to form Fe3+(O2). NO is oxidized to NO2 which is then adsorbed on the Fe3+ catalysts surface, followed by reaction with propane. Intermediates of CN and NCO were formed from CxHyNO, of which CN react faster with NO2 to form N2 and carbon-containing combustion products via the oxidation or the hydrolysis reaction [9].
Some studies on alumina-based catalysts (Cu–Al2O3 and Ag–Al2O3) were also reported for the removal of NOx [29]. Nitrates obtained from NOx adsorbed on the Cu–Al2O3. The acetate species may form via the partial oxidation of propene (C3H6) with O2 and possibly with nitrates. The acetate formed acts as a surface reductant that reduces nitrates to N2 via the well-known possible CN and NCO intermediates (Figure 10) [30]. The different catalysts used and their deactivation phenomena for HC-SCR process can be found in a recent review article [10].

2.4. Hydrogen (H2-SCR Process)

Compared with the NH3-, urea- and HC-SCR processes, H2-SCR has attracted more attention for NOx removal. Hydrogen (H2), a clean environmental fuel, generates only water without inducing secondary pollutants such as CO2, after its combustion with air [31]. Hydrogen can be produced from the water–gas shift reaction (CO + H2O → CO2 + H2) in the realistic exhaust gas [32]. During the H2-SCR process, the main reactions that can occur are as follows [31]:
2NO + 4H2 + O2 → N2 + 4H2O
2NO + 3H2 + O2 → N2O + 3H2O
2NO + H2 → N2O+H2O
NO + 5/2H2 → NH3 + H2O
NO + 1/2O2 → NO2
H2 + 1/2O2 → H2O
Equation (12) is the most desired reaction as NO reacts with H2 to produce N2 and H2O. However, as per Equations (13) and (14), N2O produced as a byproduct during reactions of two NO molecules with three H2 molecules. NH3 and/or NH4+ species were considered as an important intermediate species (Equation (15)) for the H2-SCR reaction, although the presence of oxygen can inhibit its formation on selective catalysts [31,32]. Shibata et al. [33] used in-situ IR studies and found that the intensity of the NH4+ band on the Brönsted acid sites of Pt/MFI was closely related to the H2-SCR catalytic activity. However, NH4+ band intensity decreased quickly when the hydrogen gas supply was cut off, attributed that NH4+ species highly active with NO and O2. The NH4+ species likely to be formed between the reaction of adsorbed N, which was obtained from the dissociation of NO, and the active hydrogen on the Pt sites. The complete reaction scheme of H2-SCR over Pt/MFI is shown in Figure 11.
Pt and Pd metals show a high activity for H2-SCR at low temperature. The nature of supports and their intrinsic acidity greatly affect the activity of NOx reduction and selectivity to N2/N2O [34]. The details of the active metals, and their supports and degree of deactivation rate for H2-SCR were already covered in past review papers [31,32,34]. As far as we know, no South Korean industries have utilized both HC- and H2-SCR processes until now. However, with strict regulation by the government, we are anticipating some initiation from heavy industries of using those processes which will reduce unwanted pollutants such as CO2, a key greenhouse gas.

3. Recent SCR Technology Status for NOx Removal in South Korea

3.1. NOx Emission Sources

South Korea’s Clean Air Policy Support System (CAPSS) source classification system for nitrogen oxides (NOx) has been adopted based on the European CORINAIR Source Classification System (SNAP 97). The classification system has been changed to 13 major categories according to the NOx emission conditions in South Korea since 2007, and is summarized in Table 2 along with the source classification codes (SCC) and details for each item. Figure 12 shows the NOx emissions of South Korea from 2010 to 2016 according to the CAPSS source classification system [35]. As a result, total NOx emissions are estimated to increase by 31,183 tons per year from 1,061,210 ton/yr (2010) to 1,248,309 tons/yr (2016). According to the type of source, the results in 2016 show that the ratio of mobile pollutant sources (on-roads (07) and non-roads (08)) was the highest, accounting for 61% (89,000 tons), the largest increase in the last six years, which led to the increases of the total NOx emissions. NOx emitted through the combustion process (energy industry (01), non-industry (02), manufacturing industry (03)), which account for the second highest NOx emissions with about 33% of the total emissions, maintaining more than 400,000 tons annually. Other production processes (04), waste treatment (09) and cotton pollutants (11) produced approximately 78,000 tons of NOx, and no NOx emissions for SCC (05), (06), (10), and (12) were calculated. The results of NOx emissions discussed above are based on air pollutant classification, and when the NOx emissions are classified by different regions of South Korea, the order of the sources that emit the NOx may partially change. Therefore, Lim et al. [36] pointed out that there is a need for an efficient air-quality management policy, not a policy focused only on urban areas, because of regional differences in emission characteristics.

3.2. NOx Environmental Regulations

Regulations for NOx in South Korea follow the legislation amended by international organizations or the Korean Ministry of Environment. In general, fixed sources such as the chemical industry and power generation units have strong regional characteristics, so they follow emission allowances issued by environmental ministries in each country, but mobile sources (i.e., on-roads and non-roads vehicles) are not limited by the regulations of one country.
The Air Environment Conservation Act promulgated by the Ministry of Environment is followed for the fixed pollution sources. Recent revisions of regulations show a significant reduction in emission limits of NOx and SOx from 2020, as compared to 2019, as shown in Figure 13. Emission allowance standards applied to workplaces may vary depending on the nature of installed facilities. Under the current law, the NOx emission limit was 20–530 ppm, but according to the revised law from 2020, the value is strengthened about 28%. The details of DeNOx facilities and their fuel type can be found in Appendix 8 of the Enforcement Regulations of the Air Quality Conservation Act (Table 3). In addition, due to the higher NOx emission level than the actual allowance standard, the air emission control panel fixed the penalty amount of 2130 won/kg of NOx [37]. In South Korea, the regulations in plant industry (boilers and power generation) were established at 2000, though the regulations are gradually strengthened every year. For instance, the allowable concentration of NOx for power generation facilities (shown in Table 3) has been significantly reduced since 2015, which is more than twice the previous year’s limit of NOx emission.
Mobile pollution sources, namely on-road and non-road vehicles, are the largest producers of NOx emission in South Korea. Automobiles are mainly responsible for the on-road pollution sources, whereas ships are majorly contributors to the non-road pollution sources. The emission standards for automobiles and ships in South Korea are typically in accordance with international regulations specified by the United States (US) and Europe (Figure 14a,b). Regulations for automobiles are based on the Super Ultra-Low Emission Vehicle (SULEV) standard, which is the ultra-low emission vehicle standard for Californian gas emissions of gasoline and gas vehicles. This is the world’s strongest standard, aiming to reduce 90% of the existing models. In the case of diesel cars, the European Union’s standards are applied, which are in line with the recent rise in the regulatory level [37,38,39].
In 2000, the regulation standards of emission control from the United States and Europe were introduced to Korea, and they were applied almost similar to Korea since 2010. NOx emission regulations have been significantly strengthened since 2006, with the emission standards of vehicles classified as gasoline, liquefied petroleum gas (LPG) and diesel vehicles (Figure 14c). The certification test methods applied in the same New European Driving Cycle (NEDC) modes as Europe, starting with the introduction of Euro-3 in 2002 and the application of Euro-4 criteria in 2006 (Figure 15) [40].
In the case of regulations applied to ships, the total tonnage of ships that enter and leave in South Korean ports was increased to 5.6% in 2016 as compared to the previous years. Of the total, the portion of oceangoing ship amounts are 89% (Figure 16). Therefore, due to the nature of foreign ships that have to pass through various countries and international waters, the regulations on the emission of NOx for domestic ships also relate to international regulations.
As per Annex VI of the Convention on the Prevention of Marine Pollution (MARPOL), the Marine Environment Protection Committee (MEPC) of the International Maritime Organization (IMO) has applied the emission regulations of NO2 from diesel engines at international ports since 1 January 2000. The regulatory standard has been applied to reduce nitrogen oxide emissions by 78%, which may be less than 3.4 NOx g/kWh, or less than the amount emitted by the existing Tier II (Table 4 and Figure 17). In addition, according to the Annex VI of MARPOL, the North American and Caribbean waters are now designated as a nitrogen oxide control area and are considering further expansion to the North Sea and Baltic Sea [43].
In the case of the SCR system for NOx reduction, not only is the regulation different for each emission source but also the composition of exhaust gas is different. To remove NOx, the catalytic technology can be classified into three broad categories: environmental catalysts (to remove NOx emitted after chemical processes), automotive catalysts (to remove NOx from automotive exhaust gases), and marine catalysts (for NOx reduction in the marine industry). Therefore, the technology trends of South Korea responding to the tightened NOx emission regulations are summarized in the following section.

3.3. Research Trends of SCR Catalysts for DeNOx

3.3.1. Power Plants

In power plants, an increase of DeNOx catalyst layer is directly proportional to the efficiency of nitrogen oxide removal. The power plants of South Korea are removing nitrogen oxides in the exhaust gas using SCR method. Most SCR plant units are often designed to be equipped with four-layer catalysts, though only two layers are now filled with catalyst to satisfy the emission criteria. A four-layer SCR catalytic system also displayed a good efficiency for removal of NOx. However, they suffered a pressure drop, due to additional catalytic layers, which increased not only the overall cost of the DeNOx process but also the ammonia distribution in the nozzle of ammonia injection facility [44].
According to the Korea Electric Power Exchange’s statistics in 2018, the capacity of thermal power plants using gas and coal as raw materials accounts for about 69% of the total capacity (Table 5). While the number of thermal power generators using gas and coal as raw materials, accounting for 73% of the total number of main power generators. With this power industry environment, the thermal power has a higher number of operating days as compared to other sources of power generation, especially 81.53% for coal-fired power generation (Table 6) [45].
The exhaust gas treatment facility of coal-fired power generation requires stable performance for a long period of time. In order to preserve long-term stability, the presence of proper catalysts in coal-fired power-generating SCR facilities is highly recommended. Therefore, long-term stability of operation is required for catalyst injection into power-generating SCR facilities. In addition, for boilers used in thermal power generation, the temperature of the boiler exhaust is higher than 500 °C which is enough to operate any catalyst. However, due to its higher temperature, the SCR catalyst may deactivate during long-term operation. Therefore, since 2000s, when SCR facilities were supplied to South Korea, various studies have been conducted for stable operation of the SCR catalyst.
The catalysts used in the SCR process are V2O5-WO3 (or MoO3)/TiO2 have honeycomb and plate type structures (Figure 18). In particular, the V2O5-WO3 (or MoO3)/TiO2 monolith catalyst of the honeycomb type has been consistently used as it has advantages such as high heat and mass transfer rates besides high contact area [46].
Looking at the amount of installation of SCR catalyst in South Korea in 2015 (Table 7), the subsidiary power plant of the Korea Electric Power Corporation (KEPCO) is approximately 21,758 m3, and third-party power plant usage is estimated to be around 4786 m3. The total use of SCR catalyst for domestic power plants and incinerators is roughly around 26,660 m3 [47].
Huang et al., according to V2O5 content, investigated the thermal behavior of V2O5/TiO2 catalyst. They changed the pretreatment temperature of the catalyst from 250 to 500 °C. Through this experiment, they reported that at temperatures above 400 °C the phase transition of V2O5 occurred and condensation caused the decrease of the specific surface area (Figure 19) and hence of the catalytic activity [48].
Cha et al. investigated the thermal deactivation characteristics of V2O5-WO3/TiO2 catalyst of plate-type. They reported that when the catalyst calcined at temperatures above 600 °C, the NOx conversion rate was dramatically reduced (Figure 20). The XRD analysis results showed that the crystalline structure of TiO2 changed from anatase to rutile, and the surface area and the contribution of the catalyst was significantly reduced at those temperatures due to the formation of CaWO4 and TiO2 crystals, which were confirmed by scanning electron microscope (SEM) images (Figure 21) [49].
Nam et al. conducted a study on the high-temperature SCR reaction using W/TiO2 catalyst. They found that TiO2 alone showed a conversion rate of NOx of less than 50% at temperatures above 500 °C. However, addition of W with 13 wt% into TiO2 showed an increased SCR efficiency, but more than 13 wt% content of W on TiO2 led to lower efficiency. W(13)/TiO2(B) (where W content is 13 wt% and B = pure anatase) catalyst was pretreated at 600 °C and then loaded SCR reaction operated at 500 °C and 550 °C. The catalytic activity was stable even after more than 900 h (Figure 22) [50].
Except for liquefied natural gas (LNG), most fossil fuels contain significant amount of sulfur dioxide within the exhaust gas after combustion of these fuels. SO2 may be oxidized into SO3 in the presence of catalysts, which converted again into SO4 species on the catalyst surface. The new species formed inhibits the catalytic active sites, or SO42− species may be combined with NH4+ to create salt, NH4HSO4. This salt also made it possible to cover the catalyst active species, and thus greater catalytic deactivation was observed in the presence of SO2 [51].
Lee et al. carried out studies to enhance SCR reactivity in the presence of SO2 on the V/TiO2 catalyst. They showed different SCR conversion rates and SO2 durability results depending on the vanadium content. The NOx conversion was increased by increasing the vanadium amount (from 0.5 to 3.0 wt%) on TiO2, whereas the relative activity for SCR of NOx in the presence of SO2 followed an opposite trend (Figure 23). They have also tested the relative activity for SCR after the addition of 5 wt% W into the optimized V[2]/TiO2 (i.e., V[2]W[5]/TiO2) catalyst which displayed an improved performance of NOx in the presence of SO2 500 ppm (Figure 24a) [52]. It was observed from SO2-Temperature Programed Desorption (TPD) (Figure 24b) that the desorption peak was shifted to lower temperature on V[2]W[5]/TiO2 catalyst as compared with that of W-free catalyst (V[2]/TiO2).
Park et al. found that over 90% of catalytic activity was recovered when spent catalyst was washed by acidic solution in the field regeneration of SCR waste catalyst, and the concentration of acidic solution was 3~5 M (Figure 25). When the acidity of the solution exceeds the optimal point, the dissolution effects of the impurity component deposited on the catalyst surface that caused the catalyst deactivation. Moreover, the leaching rate of vanadium and tungsten, which are the main active components, increases and eventually lead to catalyst deactivation [53].
Despite many efforts being made to increase the life and stability of the SCR catalysts, they have a limited life depending on the operation conditions applied. The life of the catalyst used in the NH3-SCR process is usually 3–5 years depending on the operating conditions of catalyst at each process site. In addition, only a few years ago, the activity of the SCR catalyst, which markedly deteriorated and reached the end of its life, was mostly treated by reclaiming the waste. Although research is being conducted worldwide to regenerate and use it, the currently studied regeneration method is to desorb the catalyst from the reactor and transport it to a regeneration plant to regenerate the degraded catalyst. In order to retain the original activity of the degraded catalyst, acid is used to remove the adsorbed coke and other particulate matters on the surface of the catalyst which was generally reported to be a time-consuming process [53].

3.3.2. Car Engines

Hydrocarbons, carbon monoxide and nitrogen oxides emitted by gasoline engines can be reduced by using three-way catalysts. Diesel engines also emit those reducing gases, although they need to be operated in excess oxygen environments. Due to the dominant concentration of reducing agents such as hydrocarbons and carbon monoxide in the exhaust gas, which actually need to be reduced to N2 from NOx, they reacted with excess oxygen. The diesel engine produces higher emissions of particle matter (PM) and NOx than gasoline engines [54]. In South Korea, diesel oxidation catalyst (DOC) and diesel particulate filter (DPF) were used to reduce the NOx as per the Euro-5 regulation. However, Euro-6 regulations, which applied from 2015, require a separate technology called SCR to reduce NOx as the emission volume of NOx is significantly strengthened, compared to Euro-5 (Figure 15). The reduction technique of NOx can be divided into two methods such as pre-processing technology (engine application technology, where both fuel and oxygen ratio adjust within engine) and post-processing technology (actual SCR catalytic technology) [54].
Among the post-processing technologies, the lean NOx trap (LNT) and SCR are the representative technologies that reduce nitrogen oxides. Urea-SCR is the most excellent device for removing NOx by spraying urea solution into the exhaust pipe to create ammonia by thermal hydrolysis (Figure 7). However, it should be considered that the system is complex and has problems such as low efficiency at low temperatures, the generation of solid byproducts and the use of low-grade elements, etc. These problems can be avoided by uniform mixing of the urea solution [55]. The driving characteristics of the vehicle cause a sudden change in engine load, resulting in different exhaust gas temperatures and concentrations of NOx (Figure 26 and Figure 27) [56].
The most likely and effective deployment of the current vehicle SCR system is in the order of DOC and DPF followed by SCR. The SCR catalyst will also be exposed to high temperature exhausts during the forced regeneration of DPF PM combustion [57]. V2O5/WO/TiO2 catalysts, widely used in plant industries, show excellent efficiency in the range of 300–400 °C, but the reaction activity and selectivity are significantly reduced at low temperature (below 200 °C) and high temperature (above 400 °C) [58]. The Cu-ZSM-5, a typical example of non-V2O5 based catalytic system, has also received an attention due to its fast rate of NO decomposition [59].
The vanadium catalyst generally used in the SCR process has a low deactivation at moderate reaction temperature even in the presence of sulfur, although the catalyst deactivated at high temperature. By contrast, the adsorption amount of ammonia is excellent on the zeolite catalysts in the wide reaction temperature range, but sulfur resistance is low. Han et al. investigated the performance of the catalyst to overcome the shortcomings of vanadium catalyst and zeolite catalyst and maximize the catalyst life time as well as catalytic activity. They reported high temperature stability from the Fe-zeolite catalyst and sulfur resistance from the V2O5 catalytic system (Figure 28). Both the catalyst stability and sulfur resistance were enhanced when V2O5 was loaded into the Fe-zeolite catalyst (Figure 29) [60].
Huang et al. investigated the NH3-SCR catalytic reaction on the zeolite catalyst with different structures. In more detail, using commercial zeolite catalyst (Clariant Co., Ltd. Daegu, Korea), they exchanged cations such as Cu and Fe to BEA (zeolite β) and MFI (ZSM-5) respectively. The BEA exchanged with Cu ions displayed a greater low temperature activity, and thus higher NO conversion rate than Fe exchanged on MFI. Furthermore, as shown Figure 30, NH3 desorption peaks of BEA zeolite (B) was greatly influenced by the type of ion exchange metal ions rather than the structure of the zeolite’s structure [61].
In another research, Seo studied the iron exchanged with Cu, Co, Ni, Mn, and Co in the zeolite, and investigated catalytic performance of DeNOx. Also, the effects of the catalyst were investigated by adding some cations like Ba, K and Ca to the Cu-zeolite catalyst. The researcher reported that Cu and Mn showed a high NOx conversion at low reaction temperature of 200 °C (Figure 31). The Ba-modified zeolite showed a high activity at 500 °C, as compared with that of K- and Ca-modified catalysts, by inhibiting the agglomeration of Cu particles on the zeolite catalyst (Figure 32) [62].
In the case of the direct ammonia-injection SCR system, the solid phase ammonia storage material is heated to generate ammonia gas, a reducing agent, and sprayed directly into the exhaust pipe in a gaseous phase. There is no discharge of solid byproducts, and the shape of the exhaust system required for uniform mixing of reducing agent is relatively free. In addition, since a series of processes such as thermal decomposition and hydrolysis are not required in low-temperature areas, which is advantageous in terms of reactivity and efficiency, this technique could be applied in the future [55].
The characteristics of NOx reduction rate, reaction rate, and ammonia slip of ammonia gas injection system were evaluated by Jung et al. via preparing ammonia gas injection system, which can replace the existing urea-SCR, using low temperature Cu-ZSM-5 catalyst. They reported that, unlike the urea solution, the response rate of ammonia gas was significantly improved due to the injection of reducing agents, with less stable adsorbed-phase occurring in the SCR catalyst (Figure 33) [63].

3.3.3. Marine Engines

The generation of nitrogen oxides and power supply for ships results from the internal combustion engines of ships. The exhaust emission characteristics of a heavy-duty diesel engine with real time analysis are shown in Figure 34 [64]. Since engine optimization alone does not satisfy Tier III’s regulatory parameters on the reduction of nitrogen oxide emissions, the development of ship’s exhaust gas post-processing device has become required to satisfy the enhanced emissions regulations of IMO [65].
Most diesel engines for propulsion use a 2-stroke engine that is simple in structure and has good momentum. Diesel engines for power generation are mainly used with 4-stroke engines [66]. However, unlike automobile engines which have a temperature of 300 to 400 °C, the 2-stroke diesel engine for ships only has a temperature of 200 to 300 °C, making it difficult for the SCR system to be applied to the system [65].
In addition, the catalyst used in the ship SCR process built within the ship, so the vibration resistance to withstand the internal engine, operation, and vibration caused by waves must be considered. Great importance should be given to the prevention of catalyst poisoning and the formation of ammonium bisulfate in the presence of SO2 [67]. In order to solve this problem, various catalysts having nitrogen oxide reduction performance suitable for ship SCR process environment have been studied.
Kwon et al. studied the low temperature SCR reaction on Mn/TiO2 catalyst using various commercial TiO2 as supports (Figure 35). They reported that low MnOx surface density caused by high dispersion manganese oxides increased low-temperature SCR activity besides lowering the reduction temperature (from MnO2 to Mn2O3) of surface MnOx on TiO2 [68].
As shown in Figure 36, Kang et al. investigated the NOx reduction rate using the single Cu and Mn oxide, and Cu-Mn mixed oxides catalyst. The presence of small amounts of copper oxide showed 100% NOx conversion compared with single metal oxide catalysts such as CuO and MnOx at wide temperature range (323–473 K) [69].
Ship diesel fuel contains sulfur (Table 8), which will go through the combustion process and form SO2, which is a known catalytic poisoning gas for the active species of the SCR catalysts. In more detail, SO2 is the biggest problem for cold NH3-SCR catalysts [70]. Many research efforts have been made to reduce the poisoning of SCR catalyst in the presence of sulfur.
Ha et al. investigated the effects of moisture and SO2 in gases (5% H2O and 100 ppm SO2) on the selective catalytic recuperative activity of NO at low temperatures on Fe/zeolite catalyst. Additives such as Mn, Zr, and Ce were added into Fe/zeolite catalysts to check their catalytic efficacy. The NO conversion rate of Fe/BEA catalyst was reduced to 47% at 200 °C, which slightly increased to 53% on the MnFe/BEA in the presence of moisture and SO2. The modified catalyst also displayed a greater stable activity than the Fe/BEA catalyst. Mn showed the effect of increasing the dispersion on Fe as compared to that of Zr and Ce, and also preventing the formation of a valuable aggregate of Fe [72].
Using the Cu-chabazite SCR catalyst, Nam investigated the effect of reducing nitrogen oxides by SO2 poisoning at low temperatures between 150 and 300 °C. The researcher was able to measure NOx reduction for two hours at 150 °C, and then again at the same temperature for another two hours. Although the reduction rate of NOx was reduced by 50% compared to the new one, it was reported that the higher temperature near to 300 °C, the effect of sulfur poisoning was almost eliminated [73].
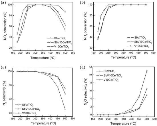
Lee et al. [74] investigated the effect of ceria loading over Sb-V2O5/TiO2 catalyst for the selective catalytic reduction of NOx by NH3. The V2O5-Ce/TiO2 and Sb-V2O5-Ce/TiO2 catalysts were prepared by incipient wetness co-impregnation of vanadia and antimony on the pre-prepared CeO2/TiO2 support, which was synthesized by deposition precipitation method by hydrolysis with ammonium hydroxide. The addition of 10% ceria to Sb-V2O5/TiO2 significantly enhanced the total acidity and redox properties, and thus the NOx conversion as well as N2 selectivity (>95%) at wide temperature range of 220–500 °C (Figure 37). The X-ray diffraction (XRD) results indicated the active components of Sb and V were homogeneously dispersed over CeO2/TiO2. The results of NO and SO2 TPD of 10% ceria-loaded Sb-V2O5/TiO2 catalyst showed enhancement of NO adsorption and SO2 inhibition properties, which is thought to play a significant role in the long-term stability of the catalyst during an SO2 on–off study for 38 h at 240 °C.
To investigate the effect of pore structure of TiO2 on sulfur poisoning, Youn et al. studied 5 wt% V2O5 supported on the two types of TiO2 (VT) having distinctive pore, mesopore (DT-51) and micropore (microporous TiO2) structures for selective catalytic reduction of NOx with NH3 (NH3 SCR). The catalyst prepared by the wet impregnation method of vanadium solution on TiO2. During the SCR reaction in the presence of SO2 for 12 h, 5 wt% VT (DT-51) showed more drastic decrease in activity than 5 wt% VT (micro). They reported that a larger amount of SO2 was desorbed over the DT-51 catalyst used during the temperature-programmed decomposition with the elemental analysis. The 5 wt% VT (micro) having V=O bonds that showed stronger sulfur resistance, but 5 wt% VT (DT-51) having V–O–V bonds that lost their activity more severely than the former. They also summarized that the different vanadium species on the pore structure of TiO2 have a significant effect on the sulfur poisoning during SCR reaction [75].

4. Conclusions

In this paper, we reviewed the results of the selective catalytic reduction (SCR) process to remove nitrogen oxide (NOx), an air pollutant, in South Korea. Plant industry, car engines and marine engines are the main NOx producers. The technologies used to reduce the NOx emission are summarized in the following section.
Power plants: in the case of power plants, steady operating performance is required among SCR catalytic performances. Coal-fired power plants generate the high-temperature along with exhaust gases, which may deactivate and inhibit the stable operation of the SCR catalyst. Therefore, the SCR technology is focused on the identification of the direction of increasing the catalyst stability at high temperature operation for large-scale equipment. In South Korea, power plants under KEPCO account for about 81% SCR catalytic system for fixed pollutants. Therefore, SCR catalyst research on fixed pollutants has been conducted in response to the requirements of the power plant. On the other hand, thermal power plant is responsible for 69% of power generation, of which about 46% is fueled by coal. Therefore, SCR catalysts for fixed pollutants are being studied to reflect the characteristics of coal-fired power plants. As of 2015, the regulation of nitrogen oxide emission for these fixed sources has been greatly strengthened, so it is required to increase the reduction rate of nitrogen oxides in SCR units. In recent years, research has been conducted to improve the economy and reduce waste of power plants by regenerating large amounts of deactivated catalysts obtained from thermal power plants.
Car engines: automobile engines are divided into gasoline engines and diesel engines. There are differences in the composition of air pollutants (gasoline: hydrocarbons, carbon monoxide, nitrogen oxides/diesel: oxygen, nitrogen oxides, oxidizing substances), which are emitted from them. Three-way catalytic gasoline engines (number of SCR units; lower oxygen conditions rarely used) and diesel engines (exist always oxygen) are two separate device technologies. In particular, in the case of diesel engine, the generation of NOx is high due to the combustion characteristic of excessive oxidizing agent, and thus, SCR technology for automobiles is mainly focused and researched on diesel engine. In South Korea’s automobile industry, the regulation of nitrogen oxides from diesel engines is adopted from European emission regulations, and the introduction of these regulations has led to the need for automotive SCR devices. The emission regulation is applied regardless of the load of the diesel engine, so the ability to remove NOx in the low-temperature zone, which is the initial starting point of the vehicle, is required. In addition, due to particle matter (PM) regulation, the diesel particle filter (DPF) is mounted on the vehicle in which high-temperature exhaust gases are generated. Therefore, SCR catalytic technology is suitable to be installed after the DPF device so that the catalytic system can remove NOx in the low-temperature region and also resist the heat generated during the high temperature exhaust gas. In this regard, automotive SCR catalysts have also been studied in response to this demand. In addition, the research on SCR catalysts by direct injection of ammonia is required in the future, which may provide a high performance NOx removal, according to the Real Driving Emission (RDE) measurement method.
Marine engines: SCR denitrification catalysts are generally used in marine engines. The exhaust gas temperature of ship engine is below 300 °C, so the catalyst should be active in the low-temperature range. The proportion of international ships arrival or passing through the area of seas in between countries contribute larger emissions of NOx than Korean domestic ships. The capacity of international ships is also very high as compared to domestic ones and, therefore, they emit higher amounts of NOx. These ships are required to comply with international regulations centered on IMO rather than domestic regulations. Since 2016, the IMO’s regulation of nitrogen oxides has been greatly strengthened to Tier III, which requires the introduction of additional SCR facilities for exhaust gas to reduce nitrogen oxides through optimization of existing combustion conditions and engine technology. Accordingly, domestic SCR catalysts for ships have also been revived to meet these demands, and research on SCR catalysts for ship engines is currently underway. In particular, the fuel for ships is high in sulfur content and exhaust gases are generated even at low-temperature due to low load operation. Therefore, SCR catalysts targeting domestic ships are also being studied for catalysts having activity against low temperature SCR reaction and poison resistance to sulfur.
Many efforts have been made to develop South Korea’s own technology to reduce the amount of nitrogen oxide. We hope that the SCR technology developed will definitely have a positive impact on air pollution.

Author Contributions

H.-S.K., S.K. and J.K. jointly collected the literatures and equally contributed for this review paper. S.-H.K. and J.-H.K. help for some data collection. J.-H.R. and J.-W.B. revised the draft and supervised the work. All authors have read and agreed to the published version of the manuscript.

Funding

This work was supported by Korea Institute of Energy Technology Evaluation and Planning (KETEP) under the “Energy Efficiency and Resources Programs” (Project No. 20181110100320) of the Ministry of Knowledge Economy, Republic of Korea.

Conflicts of Interest

The authors declare no conflict of interest.

References

  1. Skalska, K.; Miller, J.S.; Ledakowicz, S. Trends in NOx abatement: A review. Sci. Total Environ. 2010, 408, 3976–3989. [Google Scholar] [CrossRef] [PubMed]
  2. Organisation for Economic Co-operation and Development (OECD). Air Quality and Health: Exposure to PM2.5 Fine Particles—Countries and Regions; OECD: Paris, France, 2018. [Google Scholar]
  3. Ministry of Environment. News Release. 2018. Available online: http://me.go.kr/home/web/board/list.do?menuId=286&boardMasterId=1&boardCategoryId=39 (accessed on 1 November 2019).
  4. Rajasekaran, S. Air Pollution Control Equipment: Technologies and Global Markets; BCC Research: Wellesley, MA, USA, 2015. [Google Scholar]
  5. Oh, I.; Yoo, W.J.; Yoo, Y. Impact and Interactions of Policies for Mitigation of Air Pollutants and Greenhouse Gas Emissions in Korea. Int. J. Environ. Res. Public Health 2019, 16, 1161. [Google Scholar] [CrossRef] [PubMed]
  6. The Ministry of Environment. If you know right, you can see. Fine dust, what is it? The Ministry of Environment: Sejong-si, Korea, 2016; ISBN 978-89-93652-27-7.
  7. Kim, H.C.; Kim, S.; Kim, B.U.; Jin, C.S.; Hong, S.; Park, R.; Son, S.W.; Bae, C.; Bae, M.; Song, C.K.; et al. Recent increase of surface particulate matter concentrations in the Seoul Metropolitan Area, Korea. Sci. Rep. 2017, 7, 4710–4716. [Google Scholar] [CrossRef] [PubMed]
  8. Tripathi, G.; Dhar, A.; Sadiki, A. Recent Advancements in After-Treatment Technology for Internal Combustion Engines—An Overview. In Advances in Internal Combustion Engine Research; Springer: Singapore, 2018; pp. 159–179. ISBN 978-981-10-7574. [Google Scholar]
  9. Fu, M.; Li, C.; Lu, P.; Qu, L.; Zhang, M.; Zhou, Y.; Yu, M.; Fang, Y. A review on selective catalytic reduction of NOx by supported catalysts at 100–300 °C—Catalysts, mechanism, kinetics. Catal. Sci. Technol. 2014, 4, 14–25. [Google Scholar] [CrossRef]
  10. Mrad, R.; Aissat, A.; Cousin, R.; Courcot, D.; Siffert, S. Catalysts for NOx selective catalytic reduction by hydrocarbons (HC-SCR). Appl. Catal. A Gen. 2015, 504, 542–548. [Google Scholar] [CrossRef]
  11. Damma, D.; Ettireddy, P.R.; Reddy, B.M.; Smirniotis, P.G. A Review of Low Temperature NH3-SCR for Removal of NOx. Catalysts 2019, 9, 349. [Google Scholar] [CrossRef]
  12. Kim, J.I.; Chang, I.G.; Seon, C.Y. Process Design and Performance Test of the SCR Pilot Plant. Clean Technol. 2003, 9, 71–79. [Google Scholar]
  13. Li, J.; Chang, H.; Ma, L.; Hao, J.; Yang, R.T. Low-temperature selective catalytic reduction of NOx with NH3 over metal oxide and zeolite catalysts-A review. Catal. Today 2011, 175, 147–156. [Google Scholar] [CrossRef]
  14. Ramis, G.; Yi, L.; Busca, G.; Turco, M.; Kotur, E.; Willey, R.J. Adsorption, Activation, and Oxidation of Ammonia over SCR Catalysts. J. Catal. 1995, 157, 523–535. [Google Scholar] [CrossRef]
  15. Chen, T.; Guan, B.; Lin, H.; Zhu, L. In situ DRIFTS study of the mechanism of low temperature selective catalytic reduction over manganese-iron oxides. Chin. J. Catal. 2014, 35, 294–301. [Google Scholar] [CrossRef]
  16. Liu, F.; He, H.; Zhang, C.; Shan, W.; Shi, X. Mechanism of the selective catalytic reduction of NOx with NH3 over environmental-friendly iron titanate catalyst. Catal. Today 2011, 175, 18–25. [Google Scholar] [CrossRef]
  17. Grossale, A.; Nova, I.; Tronconi, E.; Chatterjee, D.; Weibel, M. The chemistry of the NO/NO2–NH3 “fast” SCR reaction over Fe-ZSM5 investigated by transient reaction analysis. J. Catal. 2008, 256, 312–322. [Google Scholar] [CrossRef]
  18. De-NOx SCR SYSTEM PaNOxTM. Available online: http://www.worldpanasia.com/japan/catalog/PANOx%20CATALOG.pdf (accessed on 1 November 2019).
  19. Pârvulescu, V.I.; Grange, P.; Delmon, B. Catalytic removal of NO. Catal. Today 1998, 46, 233–316. [Google Scholar] [CrossRef]
  20. Park, H.S.; Lee, S.J.; Hong, J.G. The Spray Characteristics of Twin Fluid Nozzle on Urea-SCR. In Proceedings of the ICFMCE 2017, Dubai, UAE, 24–26 November 2017. [Google Scholar]
  21. SCR SYSTEM. Available online: http://www.ikwangsung.com/scr-scrubber/scr-system/#tab-1-2 (accessed on 1 November 2019).
  22. Peitz, D.; Bernhard, A.; Kröcher, O. Ammonia Storage and Release in SCR Systems for Mobile Applications; Springer: New York, NY, USA, 2014; Chapter 16. [Google Scholar]
  23. Bernhard, A.M.; Peitz, D.; Elsener, M.; Wokaun, A.; Kröcher, O. Hydrolysis and thermolysis of urea and its decomposition byproducts biuret, cyanuric acid and melamine over anatase TiO2. Appl. Catal. B Environ. 2012, 115–116, 129–137. [Google Scholar] [CrossRef]
  24. Bernhard, A.M.; Peitz, D.; Elsener, M.; Schildhauer, T.; Kröcher, O. Catalytic urea hydrolysis in the selective catalytic reduction of NOx: Catalyst screening and kinetics on anatase TiO2 and ZrO2. Catal. Sci. Technol. 2013, 3, 942–951. [Google Scholar] [CrossRef]
  25. Bernhard, A.M.; Peitz, D.; Elsener, M.; Kröcher, O. Quantification of gaseous urea by FTIR spectroscopy and its application in catalytic urea thermolysis. Top. Catal. 2013, 56, 130–133. [Google Scholar] [CrossRef]
  26. Iwamoto, M.; Yahiro, H. Novel catalytic decomposition and reduction of NO. Catal. Today 1994, 22, 5–18. [Google Scholar] [CrossRef]
  27. Iwamoto, M. Heterogeneous catalysis for removal of NO in excess oxygen. Progress in 1994. Catal. Today 1996, 29, 29–35. [Google Scholar] [CrossRef]
  28. Lobree, L.J.; Hwang, I.C.; Reimer, J.A.; Bell, A.T. An in situ infrared study of NO reduction by C3H8 over Fe-ZSM-5. Catal. Lett. 1999, 63, 233–240. [Google Scholar] [CrossRef]
  29. Satsuma, A.; Shimizu, K.I. In situ FT/IR study of selective catalytic reduction of NO over alumina-based catalysts. Prog. Energy Combust. Sci. 2003, 29, 71–84. [Google Scholar] [CrossRef]
  30. Shimizu, K.; Kawabata, H.; Maeshima, H.; Satsuma, A.; Hattori, T. Intermediates in the Selective Reduction of NO by Propene over Cu-Al2O3 Catalysts: Transient in-Situ FTIR Study. J. Phys. Chem. B 2000, 104, 2885–2893. [Google Scholar] [CrossRef]
  31. Liu, Z.; Li, J.; Woo, S.I. Recent Advances in the Selective Catalytic Reduction of NOx by Hydrogen in the Presence of Oxygen. Energy Environ. Sci. 2012, 5, 8799–8814. [Google Scholar] [CrossRef]
  32. Hu, Z.; Yang, R.T. 110th Anniversary: Recent Progress and Future Challenges in Selective Catalytic Reduction of NO by H2 in the Presence of O2. Ind. Eng. Chem. Res. 2019, 58, 10140–10153. [Google Scholar] [CrossRef]
  33. Shibata, J.; Hashimoto, M.; Shimizu, K.; Yoshida, H.; Hattori, T.; Satsuma, A. Factors controlling activity and selectivity for SCR of NO by hydrogen over supported platinum catalysts. J. Phys. Chem. B 2004, 108, 18327–18335. [Google Scholar] [CrossRef]
  34. Hamada, H.; Haneda, M. A review of selective catalytic reduction of nitrogen oxides with hydrogen and carbon monoxide. Appl. Catal. A Gen. 2012, 421–422, 1–13. [Google Scholar] [CrossRef]
  35. National Institute of Environmental Research. National Air Pollutants Emission Service. Available online: http://airemiss.nier.go.kr/mbshome/mbs/airemiss/index.do (accessed on 1 November 2019).
  36. Lim, J.H.; Kwak, K.K.; Kim, J.; Jang, Y.K. Analysis of Annual Emission Trends of Air Pollutants by Region. J. Korean Soc. Atmos. Environ. 2018, 34, 76–86. [Google Scholar] [CrossRef]
  37. Ministry of Environment of South Korea. Car Emission Grade. Available online: https://emissiongrade.mecar.or.kr/www/main.do (accessed on 1 November 2019).
  38. Eom, M.D. The Next Term’s Laws in Relation to the Exhaust Emission Standard in Domestic Vehicles. KSAE 2012, 34, 74–77. [Google Scholar]
  39. Powertrain, Worldwide Emission Standards and Related Regulations. Available online: https://www.continental-automotive.com/getattachment/8f2dedad-b510-4672-a005-3156f77d1f85/EMISSIONBOOKLET_2019.pdf (accessed on 1 November 2019).
  40. National Institute of Environmental Research. A Study on the Evaluation System Introduction of Real Driving Emission for Light-duty Vehicles; NIER-2014-051; National Institute of Environmental Research: Incheon-si, Korea, 2014; pp. 1–59. [Google Scholar]
  41. Lee, C.B. Vehicles and Emission. KSAE 2018, 4, 40–42. [Google Scholar]
  42. Ministry of Oceans and Fisheries. Statistics of Vessels Arriving at Korean Posts by Weight Class. Available online: http://www.mof.go.kr/statPortal/main/portalMain.do (accessed on 1 November 2019).
  43. Ministry of Trade, Industry and Energy. A Study on the Trends of the Environmental/Safety Regulations International Maritime Organization and Their Countermeasures; Ministry of Trade, Industry and Energy: Sejong-si, Korea, 2017; pp. 1–285.
  44. Cheon, S.N. Status and Reduction of Fine Dust Emission from Thermal Power Plant. Korean Inst. Electr. Eng. 2018, 67, 9–16. [Google Scholar]
  45. Electric Power Statistics Information System: South Korea. Report of Power Equipment Shutdown Statistics; Korea Power Exchange: Naju-si, Korea, 2018; pp. 1–81. Available online: http://epsis.kpx.or.kr/epsisnew/selectEkifBoardList.do?menuId=090144&boardId=003144 (accessed on 1 November 2019).
  46. Joshi, S.Y.; Harold, M.P.; Balakotaiah, V. Overall mass transfer coefficients and controlling regimes in catalytic monoliths. Chem. Eng. Sci. 2010, 65, 1729–1747. [Google Scholar] [CrossRef]
  47. Na, W.J.; Bang, J.S.; Park, H.K. Remanufacturing Technology and Market Situation of Used SCR Catalyst. KIC News 2017, 20, 19–25. [Google Scholar]
  48. Hwang, T.S.; Park, M.K.; Rhee, Y.W.; Woo, H.G. A Study on the Activity of V2O5/TiO2 Catalyst for NOx Removal. J. Korean Ind. Eng. Chem. 2003, 14, 202–207. [Google Scholar]
  49. Cha, J.S.; Park, J.W.; Jeong, B.; Kim, H.D.; Park, S.S.; Shin, M.C. Thermal Deactivation of Plate-type V2O5-WO3/TiO2 SCR Catalyst. Appl. Chem. Eng. 2017, 28, 576–580. [Google Scholar]
  50. Nam, K.B.; Kang, Y.S.; Hong, S.C. A Study on the Reaction Characteristics and Efficiency Improvement of High-temperature SCR Catalyst. Appl. Chem. Eng. 2015, 26, 666–673. [Google Scholar] [CrossRef][Green Version]
  51. Ha, H.P.; Maddigapu, P.R.; Pullur, A.K.; Lee, K.J.; Jung, S.H. SO2 resistant antimony promoted V2O5/TiO2 catalyst for NH3-SCR of NOx at low temperatures. Appl. Catal. B Environ. 2008, 78, 301–308. [Google Scholar]
  52. Lee, S.H.; Seo, J.U.; Byeon, S.G.; Hong, S.C. SCR Reaction Activity and SO2 Durability Enhancement in Accordance with Manufacturing Conditions of the V/TiO2 Catalysts. Clean Technol. 2016, 22, 114–121. [Google Scholar] [CrossRef][Green Version]
  53. Park, H.K.; Jun, M.K.; Kim, M.C. A Study on the In situ Regeneration Effects of Commercial Deactivated SCR Catalyst. J. Korean Soc. Environ. Eng. 2012, 34, 664–670. [Google Scholar] [CrossRef]
  54. Kim, E.S. Catalytic DeNOx Technologies for Diesel Engine. Auto J. 2013, 35, 34–38. [Google Scholar]
  55. Lee, K.B.; Oh, K.C.; Kim, T.B.; Kwon, H.S. Analysis of Control Region and NOx Reduction Characteristics of NH3 Direct Injection System (ASDS), and Urea-SCR System. In Proceedings of the KSAE 2017 Annual Spring Conference, Jeju-si, Korea, 18–20 May 2017; Volume 5, pp. 234–237. [Google Scholar]
  56. Roh, H.G.; Lee, D.J.; Lee, C.S. Effect of Injection Strategy on the Exhaust Emission and Performance Characteristics of a Light-duty Diesel Engine. Trans. KSAE 2011, 19, 99–105. [Google Scholar]
  57. Lee, K.W.; Kang, J.H.; Jo, C.H. Diesel SCR Development to Meet US Tier2 Bin5 Emission Regulation. Trans. KSAE 2011, 19, 98–104. [Google Scholar]
  58. Chen, L.; Li, J.; Ge, M. Promotional Effect of Ce-doped V2O5-WO3/TiO2 with Low Vanadium Loading for Selective Catalytic Reduction of NOx by NH3. J. Phys. Chem. C 2009, 113, 21177–21184. [Google Scholar] [CrossRef]
  59. Iwamoto, M.; Yahiro, H.; Tanda, K.; Mizuno, N.; Mine, Y.; Kagawa, S. Removal of Nitrogen Monoxide through a Novel Catalytic Process. 1. Decomposition on Excessively Copper Ion Exchanged ZSM-5 Zeolites. J. Phys. Chem. 1991, 95, 3727–3730. [Google Scholar] [CrossRef]
  60. Han, J.U.; Kim, J.W.; Kim, D.H.; Kim, E.S.; Han, H.S. Advanced SCR Catalyst for Diesel Engines with Improved Sulfur Durability and NH3 Efficiency. In Proceedings of the KSAE 2014 Annual Spring Conference, Busan-si, Korea, 30 May 2014; Volume 5, pp. 304–308. [Google Scholar]
  61. Hwang, I.H.; Lee, J.H.; Kim, H.S.; Jeong, Y.I. The Effects of Zeolite Structure and Ion-exchange Material on NH3-SCR Reaction. Trans. KSAE 2014, 22, 135–141. [Google Scholar] [CrossRef][Green Version]
  62. Seo, C.K. Effect of Containing Promoter on SCR Catalysts. J. Korea Acad.-Ind. Coop. Soc. 2018, 19, 474–481. [Google Scholar]
  63. Jung, W.S.; Lee, S.W.; Park, S.W. A Feasibility Study of Using Ammonia gas reductant in SCR device. In Proceedings of the KSAE 2016 Annual Spring Conference, Jeju-si, Korea, 19–21 May 2016; Volume 5, pp. 186–189. [Google Scholar]
  64. Lee, H.M.; Park, R.E. Exhaust Emission Characteristics from Heavy-duty Diesel Engine applicable to Prime Propulsion Engine for Marine Vessels. J. Korean Soc. Mar. Eng. 2012, 36, 484–489. [Google Scholar] [CrossRef]
  65. Park, Y.Y.; Song, H.C.; Ahn, G.J.; Shim, C.S. Preliminary Study on Factor Technology of Selective Catalytic Reduction System in Marine Diesel Engine. J. Navig. Port Res. 2016, 40, 173–181. [Google Scholar] [CrossRef]
  66. Park, J.B. A Study on the Comparison Characteristics for Medium Sized 2-stroke and 4-stroke Marine Diesel Engines. Master’s Thesis, National Korea Maritime & Ocean University, Busan, South Korea, 2004. [Google Scholar]
  67. Jeong, G.Y.; Park, C.D.; Im, B.J.; Bae, J.U. Ship SCR Domestic and Overseas Status and Market Trend. State Art Rep. 2012, 24, 18–26. [Google Scholar]
  68. Kwon, D.W.; Choi, H.J.; Park, K.H.; Hong, S.C. A Study on Characterization for Low Temperature SCR Reaction by Mn/TiO2 Catalysts with Using a Various Commercial TiO2 Support. Appl. Chem. Eng. 2012, 23, 190–194. [Google Scholar]
  69. Kang, M.; Park, E.D.; Kim, J.M.; Yie, J.E. Cu-Mn mixed oxides for low temperature NO reduction with NH3. Catal. Today 2006, 111, 236–241. [Google Scholar] [CrossRef]
  70. Chang, H.; Li, J.; Yuan, J.; Chen, L.; Dai, Y.; Arandiyan, H.; Xu, J.; Hao, J. Ge, Mn-Doped CeO2-WO3 Catalysts for NH3-SCR of NOx: Effects of SO2 and H2 Regeneration. Catal. Today 2013, 201, 139–144. [Google Scholar] [CrossRef]
  71. Lee, H.M.; Park, R.E. Emission Prediction from Naval Ship Main Propulsive Diesel Engine under Steady Navigation. J. Korean Soc. Mar. Eng. 2012, 36, 788–793. [Google Scholar] [CrossRef]
  72. Ha, H.J.; Choi, J.H.; Han, J.D. The Effect of Promoter on the SO2-resistance of Fe/zeolite Catalysts for Selective Catalytic Reduction of NO with Ammonia. Clean Tech. 2015, 21, 153–163. [Google Scholar] [CrossRef]
  73. Nam, J.G. A study of NOx performance for Cu-chabazite SCR catalysts by Sulfur poisoning and desulfation. J. Korean Soc. Mar. Eng. 2013, 37, 855–861. [Google Scholar] [CrossRef]
  74. Lee, K.J.; Kumar, P.A.; Maqbool, M.S.; Rao, K.N.; Song, K.H.; Ha, H.P. Ceria added Sb-V2O5/TiO2 catalysts for low temperature NH3 SCR: Physico-chemical properties and catalytic activity. Appl. Catal. B Environ. 2013, 142–143, 705–717. [Google Scholar] [CrossRef]
  75. Youn, S.; Song, I.; Lee, H.; Cho, S.J.; Kim, D.H. Effect of pore structure of TiO2 on the SO2 poisoning over V2O5/TiO2 catalyst for selective catalytic reduction of NOx with NH3. Catal. Today 2018, 303, 19–24. [Google Scholar] [CrossRef]
Figure 1. Concentration of PM 2.5 as per the Organization for Economic Cooperation and Development (OECD) countries in 2017 (Units: µg/m3).
Figure 1. Concentration of PM 2.5 as per the Organization for Economic Cooperation and Development (OECD) countries in 2017 (Units: µg/m3).
Catalysts 10 00052 g001
Figure 2. (a) PM 2.5 formation (b) atmospheric NOx reactions [1].
Figure 2. (a) PM 2.5 formation (b) atmospheric NOx reactions [1].
Catalysts 10 00052 g002
Figure 3. General reaction pathway for ammonia selective catalytic reduction (NH3-SCR) on metal oxide catalysts. (Reprinted with permission form [15]. Copyright (2011) Elsevier).
Figure 3. General reaction pathway for ammonia selective catalytic reduction (NH3-SCR) on metal oxide catalysts. (Reprinted with permission form [15]. Copyright (2011) Elsevier).
Catalysts 10 00052 g003
Figure 4. Representative NH3-SCR mechanisms over FeTiOx catalyst at low (a) and high (b) temperatures. (Reprinted with permission form [16]. Copyright (2011) Elsevier).
Figure 4. Representative NH3-SCR mechanisms over FeTiOx catalyst at low (a) and high (b) temperatures. (Reprinted with permission form [16]. Copyright (2011) Elsevier).
Catalysts 10 00052 g004
Figure 5. Proposed reaction scheme for NO and NO2 NH3-SCR over commercial Fe–ZSM-5. (Reprinted with permission form [17]. Copyright (2008) Elsevier).
Figure 5. Proposed reaction scheme for NO and NO2 NH3-SCR over commercial Fe–ZSM-5. (Reprinted with permission form [17]. Copyright (2008) Elsevier).
Catalysts 10 00052 g005
Figure 6. General reaction pathway for urea-SCR process [20].
Figure 6. General reaction pathway for urea-SCR process [20].
Catalysts 10 00052 g006
Figure 7. Conceptual design of Kwangsung Co. Ltd. for marine/offshore using urea-SCR process [21].
Figure 7. Conceptual design of Kwangsung Co. Ltd. for marine/offshore using urea-SCR process [21].
Catalysts 10 00052 g007
Figure 8. Reaction scheme for urea decomposition, including the two byproducts biuret and cyanuric acid [22].
Figure 8. Reaction scheme for urea decomposition, including the two byproducts biuret and cyanuric acid [22].
Catalysts 10 00052 g008
Figure 9. Proposed mechanism for the reduction of NO by propane (C3H8) over Fe-ZSM-5. (Reprinted with permission form [28]. Copyright (1999) Elsevier).
Figure 9. Proposed mechanism for the reduction of NO by propane (C3H8) over Fe-ZSM-5. (Reprinted with permission form [28]. Copyright (1999) Elsevier).
Catalysts 10 00052 g009
Figure 10. Proposed mechanism of C3H6-SCR over Cu-Al2O3 catalysts [30].
Figure 10. Proposed mechanism of C3H6-SCR over Cu-Al2O3 catalysts [30].
Catalysts 10 00052 g010
Figure 11. Proposed reaction scheme for H2-SCR over Pt/Modernite Framework Inverted (MFI) catalyst [33].
Figure 11. Proposed reaction scheme for H2-SCR over Pt/Modernite Framework Inverted (MFI) catalyst [33].
Catalysts 10 00052 g011
Figure 12. NOx emission sources in South Korea from 2010 to 2016 [35].
Figure 12. NOx emission sources in South Korea from 2010 to 2016 [35].
Catalysts 10 00052 g012
Figure 13. General air pollutants with emission standards in South Korea.
Figure 13. General air pollutants with emission standards in South Korea.
Catalysts 10 00052 g013
Figure 14. NOx Emission standard of on-road vehicles on worldwide (a,b) and South Korea (c) [37,38,39].
Figure 14. NOx Emission standard of on-road vehicles on worldwide (a,b) and South Korea (c) [37,38,39].
Catalysts 10 00052 g014
Figure 15. NOx emission standard for lightweight diesel vehicles in South Korea [41].
Figure 15. NOx emission standard for lightweight diesel vehicles in South Korea [41].
Catalysts 10 00052 g015
Figure 16. Status of ship entry and exit in South Korea [42].
Figure 16. Status of ship entry and exit in South Korea [42].
Catalysts 10 00052 g016
Figure 17. The status of NOx and SOx emission limitation [43].
Figure 17. The status of NOx and SOx emission limitation [43].
Catalysts 10 00052 g017
Figure 18. General types of SCR catalyst [47].
Figure 18. General types of SCR catalyst [47].
Catalysts 10 00052 g018
Figure 19. Effect of catalyst sintering temperature on specific surface area: (■) 0 wt%, (●) 1.0 wt%, (○) 3.0 wt%, (▼) 5.0 wt% and (▽) 10.0 wt% with V2O5 content in the catalyst [48].
Figure 19. Effect of catalyst sintering temperature on specific surface area: (■) 0 wt%, (●) 1.0 wt%, (○) 3.0 wt%, (▼) 5.0 wt% and (▽) 10.0 wt% with V2O5 content in the catalyst [48].
Catalysts 10 00052 g019
Figure 20. NOx conversion of plate type SCR catalyst at different calcination temperature [49].
Figure 20. NOx conversion of plate type SCR catalyst at different calcination temperature [49].
Catalysts 10 00052 g020
Figure 21. Microstructure of catalysts surface at different calcination temperature: (a) new, (b) T-600, (c) T-700, (d) T-800 [49].
Figure 21. Microstructure of catalysts surface at different calcination temperature: (a) new, (b) T-600, (c) T-700, (d) T-800 [49].
Catalysts 10 00052 g021
Figure 22. The effect of thermal aged on NOx conversion over W [13]/TiO2(B) (Reaction condition: NOx: 400 ppm, NH3/NOx: 1.0, O2: 8 vol%, H2O: 8 vol%, Space velocity (S.V): 60,000 h−1) [50].
Figure 22. The effect of thermal aged on NOx conversion over W [13]/TiO2(B) (Reaction condition: NOx: 400 ppm, NH3/NOx: 1.0, O2: 8 vol%, H2O: 8 vol%, Space velocity (S.V): 60,000 h−1) [50].
Catalysts 10 00052 g022
Figure 23. (a) Effect of vanadium contents of V[x]/TiO2 catalysts on NOx conversion (reaction conditions: NO: 748 ppm, NO2: 55 ppm, O2: 3%, H2O: 6%, NH3/NOx: 1.0, S.V: 60,000 h−1). (b) Relative activity in the present of SO2 for the SCR of NO by NH3 with V[x]/TiO2 catalysts [52].
Figure 23. (a) Effect of vanadium contents of V[x]/TiO2 catalysts on NOx conversion (reaction conditions: NO: 748 ppm, NO2: 55 ppm, O2: 3%, H2O: 6%, NH3/NOx: 1.0, S.V: 60,000 h−1). (b) Relative activity in the present of SO2 for the SCR of NO by NH3 with V[x]/TiO2 catalysts [52].
Catalysts 10 00052 g023
Figure 24. (a) Relative activity in the present of SO2 for the SCR of NO by NH3 with V[2]/TiO2 and V[2]/W[5]/TiO2 catalyst(reaction conditions: reaction temperature: 250 °C, NO: 748 ppm, NO2: 55 ppm, O2: 3%, H2O: 6%, SO2: 500 ppm, NH3/NOx: 1.0, S.V: 60,000 h−1) (b) SO2-TPD pattern of V[2]/TiO2 and V[2]/W[5]/TiO2 catalysts. [52].
Figure 24. (a) Relative activity in the present of SO2 for the SCR of NO by NH3 with V[2]/TiO2 and V[2]/W[5]/TiO2 catalyst(reaction conditions: reaction temperature: 250 °C, NO: 748 ppm, NO2: 55 ppm, O2: 3%, H2O: 6%, SO2: 500 ppm, NH3/NOx: 1.0, S.V: 60,000 h−1) (b) SO2-TPD pattern of V[2]/TiO2 and V[2]/W[5]/TiO2 catalysts. [52].
Catalysts 10 00052 g024
Figure 25. Conversion rate of NO over the prepared catalysts with sulfuric + nitric acid solution washing as a function of reaction temperature (space velocity = 6000 h−1, NO/NH3 ratio = 1:1, O2 = 3.6 %(v/v), NO = 300 ppm, SO2 = 400 ppm) [53].
Figure 25. Conversion rate of NO over the prepared catalysts with sulfuric + nitric acid solution washing as a function of reaction temperature (space velocity = 6000 h−1, NO/NH3 ratio = 1:1, O2 = 3.6 %(v/v), NO = 300 ppm, SO2 = 400 ppm) [53].
Catalysts 10 00052 g025
Figure 26. Comparisons of injection strategy of exhaust gas temperature [56].
Figure 26. Comparisons of injection strategy of exhaust gas temperature [56].
Catalysts 10 00052 g026
Figure 27. Effect of injection strategy on Soot and NOx emissions [56].
Figure 27. Effect of injection strategy on Soot and NOx emissions [56].
Catalysts 10 00052 g027
Figure 28. Comparison of DeNOx activity of SCR-A catalyst which was combined with V2O5/TiO2 and Fe-zeolite [60].
Figure 28. Comparison of DeNOx activity of SCR-A catalyst which was combined with V2O5/TiO2 and Fe-zeolite [60].
Catalysts 10 00052 g028
Figure 29. Steady-state engine test results at 225 °C before and after 4 g/L sulfation [60].
Figure 29. Steady-state engine test results at 225 °C before and after 4 g/L sulfation [60].
Catalysts 10 00052 g029
Figure 30. NH3-TPD curves of CuB and FeB [61].
Figure 30. NH3-TPD curves of CuB and FeB [61].
Catalysts 10 00052 g030
Figure 31. Conversion rate according to kind of transition metal [62].
Figure 31. Conversion rate according to kind of transition metal [62].
Catalysts 10 00052 g031
Figure 32. Conversion rate according to NOx storage material [62].
Figure 32. Conversion rate according to NOx storage material [62].
Catalysts 10 00052 g032
Figure 33. NOx reduction rate vs. time. Operating at 1500 rev/min, bmp 2 bar, (a) urea-SCR, (b) NH3-SCR.
Figure 33. NOx reduction rate vs. time. Operating at 1500 rev/min, bmp 2 bar, (a) urea-SCR, (b) NH3-SCR.
Catalysts 10 00052 g033
Figure 34. Exhaust emission characteristics of heavy-duty diesel engine: (a) real-time ECS (European Steady-State Cycle) test mode, (b) real-time NOx emission characteristics [64].
Figure 34. Exhaust emission characteristics of heavy-duty diesel engine: (a) real-time ECS (European Steady-State Cycle) test mode, (b) real-time NOx emission characteristics [64].
Catalysts 10 00052 g034
Figure 35. The effect of reaction temperature on NOx conversion over 10-Mn/TiO2 catalysts (NOx: 200 ppm, NH3/NOx: 1.0, O2: 8%, S.V: 60,000 h−1) [68].
Figure 35. The effect of reaction temperature on NOx conversion over 10-Mn/TiO2 catalysts (NOx: 200 ppm, NH3/NOx: 1.0, O2: 8%, S.V: 60,000 h−1) [68].
Catalysts 10 00052 g035
Figure 36. NOx conversions over Cu0.01Mn0.25 and Cu0.01Mn0.50 catalysts calcined at 623, 723 and 823 K. Reactants: 500 ppm NO, 500 ppm NH3, 5 vol% O2 in N2, S.V: 30,000 h−1. (Reprinted with permission form [69]. Copyright (2006) Elsevier).
Figure 36. NOx conversions over Cu0.01Mn0.25 and Cu0.01Mn0.50 catalysts calcined at 623, 723 and 823 K. Reactants: 500 ppm NO, 500 ppm NH3, 5 vol% O2 in N2, S.V: 30,000 h−1. (Reprinted with permission form [69]. Copyright (2006) Elsevier).
Catalysts 10 00052 g036
Figure 37. Activity of SbV/TiO2, SbV10Ce/TiO2 and V10Ce/TiO2 samples calcined at 500 °C under H2O and SO2 (A) NOx conversion (B) NH3 conversion (C) N2 selectivity and (D) N2O selectivity. (Reaction conditions: [NOx] = [NH3] = 800 ppm, [O2] = 3 vol%, [H2O] = 6 vol%, [SO2] = 800 ppm, N2 balance, S.V = 60,000 h−1). (Reprinted with permission form [74]. Copyright (2013) Elsevier).
Figure 37. Activity of SbV/TiO2, SbV10Ce/TiO2 and V10Ce/TiO2 samples calcined at 500 °C under H2O and SO2 (A) NOx conversion (B) NH3 conversion (C) N2 selectivity and (D) N2O selectivity. (Reaction conditions: [NOx] = [NH3] = 800 ppm, [O2] = 3 vol%, [H2O] = 6 vol%, [SO2] = 800 ppm, N2 balance, S.V = 60,000 h−1). (Reprinted with permission form [74]. Copyright (2013) Elsevier).
Catalysts 10 00052 g037
Table 1. Recent history on global air pollution control equipment market by product type ($ millions).
Table 1. Recent history on global air pollution control equipment market by product type ($ millions).
Type2012201320142019CAGR *%
2014–2019
Flue gas desulfurization14,882.115,523.116,850.221,573.05.1
Electrostatic precipitators11,781.112,152.912,512.315,893.14.9
DeNOx systems10,482.011,089.912,538.317,044.06.3
Fabric filters10,139.410,478.511,685.415,101.65.3
Scrubbers4284.84324.14245.75230.34.3
Others2877.62985.13106.33594.73.0
Total54,447.056,553.660,938.278,436.75.2
* CAGR: Component Annual Growth Rate.
Table 2. Categories of NOx emission sources in South Korea [35].
Table 2. Categories of NOx emission sources in South Korea [35].
SCCMajor Categories of Emission SourcesDetails
(01)Energy industrial combustionPublic and private power generation facilities, district heating facilities, oil-refining facilities
(02)Non-industrial combustionCommercial and public institutions, residential facilities, agriculture, livestock and fisheries facilities
(03)Manufacturing combustionCombustion facilities, furnaces, etc.
(04)Production processPetroleum products, industry, steelmaking, inorganic chemicals manufacturing, organic chemicals manufacturing, wood, pulp manufacturing, food and beverage processing, other manufacturing
(05)Energy transport and storagegasoline supply
(06)Use of organic solventsPainting facilities, washing facilities, laundry facilities, other organic solvents
(07)On-road vehiclesPassenger cars, taxis, vans, buses, vans, special vehicles, motorcycles
(08)Non-road vehiclesRailway, ship, aviation, agricultural machinery, construction equipment
(09)Waste incinerationIncineration, other waste disposal
(10)Agriculture
(11)Other sourcesOther things
(12)Scattering dustdust road, construction activity
(13)Bio-combustion
SCC: Source Classification Codes.
Table 3. The standard for the emission of NOx in South Korea.
Table 3. The standard for the emission of NOx in South Korea.
FacilityFuel TypeInstallation PeriodNOx Emission Standard [ppm]
BoilerLiquid (1)~2001.06.30130
2001.07.01~2014.12.3170
2015.01.01~50
Solid~2007.01.31120
2007.02.01~70
Gas (1)~2014.12.31150
2015.01.01~40
Power generationLiquid (2)~2001.06.30530
2001.07.01~2014.12.31270
2015.01.01~90
Solid (3)~1996.06.3070
1996.07.01~2014.12.3150
2015.01.01~15
Gas (4)~2001.06.3080
2001.07.01~2014.12.3150
2015.01.01~20
Source: Clean Air Conservation Act (Article 16 Appendix 8) in South Korea. (1) For the case of evaporation rate is over the 40 tons/h or calorific quantity is over the 24,760 kcal/h. (2) For case of internal combustion engine for power generation (diesel). (3) For the case of generation capacity is over the 100 MW. (4) For the case of the internal combustion engine for power generation (include gas turbine).
Table 4. The status of emission regulations of NOx in the Convention on the Prevention of Marine Pollution (MARPOL).
Table 4. The status of emission regulations of NOx in the Convention on the Prevention of Marine Pollution (MARPOL).
Period~2000.01.012011.01.01~2015.12.312016.01.01~
ClassificationRPM (n)Tier ITier IITier III
Outside ECAn < 13017.014.4
130 ≤ n < 200045.0 × n (−0.2)44.0 × n (−0.23)
2000 ≤ n9.87.7
ECA (North America, Puerto Rico, Virgin island)n < 13017.014.43.4
130 ≤ n < 200045.0 × n (−0.2)44.0 × n (−0.23)9.0 × n (−0.2)
2000 ≤ n9.87.72.0
Table 5. Status of main power generator in South Korea [45].
Table 5. Status of main power generator in South Korea [45].
ClassificationThe Capacity of Facility [MW]Number of Generator
Nuclear21,85023
Coal35,40861
Gas37,837236
Water628257
Oil410431
Total105,481408
Table 6. Rate of operation by power generator in South Korea [45].
Table 6. Rate of operation by power generator in South Korea [45].
ClassificationTotalNuclearCoalGasWaterOil
201470.01%82.39%90.07%61.53%20.32%27.81%
201566.85%84.82%90.33%48.82%16.12%38.02%
201667.80%81.26%87.54%49.85%26.86%48.52%
201765.33%73.82%85.44%50.32%30.66%31.95%
201863.98%65.31%81.53%55.16%37.68%26.39%
Table 7. The status of installed SCR catalyst in South Korea (2015) [47].
Table 7. The status of installed SCR catalyst in South Korea (2015) [47].
ClassificationCat. TypeTotal Amount of Installed SCR Catalysts [m3]
KEPCO and SubsidiaryHoney comb6462
Plate13,125
Corrugate2171
Other company-4786
Incineration plant-95
Total 26,660
Table 8. Properties of diesel fuel used in Korea naval vessels [71].
Table 8. Properties of diesel fuel used in Korea naval vessels [71].
ItemsStandardsResultsTest Methods
Flash point (°C)40~63.0KSM ISO 2719:2003
Viscosity (40 °C, mm2/s)1.5~6.03.301KSM ISO 3104:2008
Sulfur (%)~1.00.028KSM ISO 8754:2003
Cetane number40~53.0KSM ISO 4264:2003
Density@15 °C (kg/m3)815–85584.6KSM ISO 12185:2003

Share and Cite

MDPI and ACS Style

Kim, H.-S.; Kasipandi, S.; Kim, J.; Kang, S.-H.; Kim, J.-H.; Ryu, J.-H.; Bae, J.-W. Current Catalyst Technology of Selective Catalytic Reduction (SCR) for NOx Removal in South Korea. Catalysts 2020, 10, 52. https://doi.org/10.3390/catal10010052

AMA Style

Kim H-S, Kasipandi S, Kim J, Kang S-H, Kim J-H, Ryu J-H, Bae J-W. Current Catalyst Technology of Selective Catalytic Reduction (SCR) for NOx Removal in South Korea. Catalysts. 2020; 10(1):52. https://doi.org/10.3390/catal10010052

Chicago/Turabian Style

Kim, Hyo-Sik, Saravanan Kasipandi, Jihyeon Kim, Suk-Hwan Kang, Jin-Ho Kim, Jae-Hong Ryu, and Jong-Wook Bae. 2020. "Current Catalyst Technology of Selective Catalytic Reduction (SCR) for NOx Removal in South Korea" Catalysts 10, no. 1: 52. https://doi.org/10.3390/catal10010052

APA Style

Kim, H.-S., Kasipandi, S., Kim, J., Kang, S.-H., Kim, J.-H., Ryu, J.-H., & Bae, J.-W. (2020). Current Catalyst Technology of Selective Catalytic Reduction (SCR) for NOx Removal in South Korea. Catalysts, 10(1), 52. https://doi.org/10.3390/catal10010052

Note that from the first issue of 2016, this journal uses article numbers instead of page numbers. See further details here.

Article Metrics

Back to TopTop