Catalytic Technologies for CO Hydrogenation for the Production of Light Hydrocarbons and Middle Distillates
Abstract
1. Introduction
2. FTS Catalysts Design
2.1. Mechanism of Fischer–Tropsch Synthesis
2.2. Active Materials
2.3. Promoters
2.4. Support Materials
3. Recent Approaches
3.1. Hybrid Catalysts with Cracking Catalysts
3.2. Encapsuled Core–Shell Catalysts
3.3. Catalysts with Well Organized Size and Shape Active Material
3.4. Catalysts on Shape- and Size-Controlling Supports
3.5. Other Approaches
4. A State-of-Arts in South Korea
4.1. Zeolite Supported Catalyst
4.1.1. Dual-Bed Catalysts
4.1.2. Supported with ZSM-5 Focused Olefin Production
4.1.3. Paraffin Production
4.1.4. Process Design
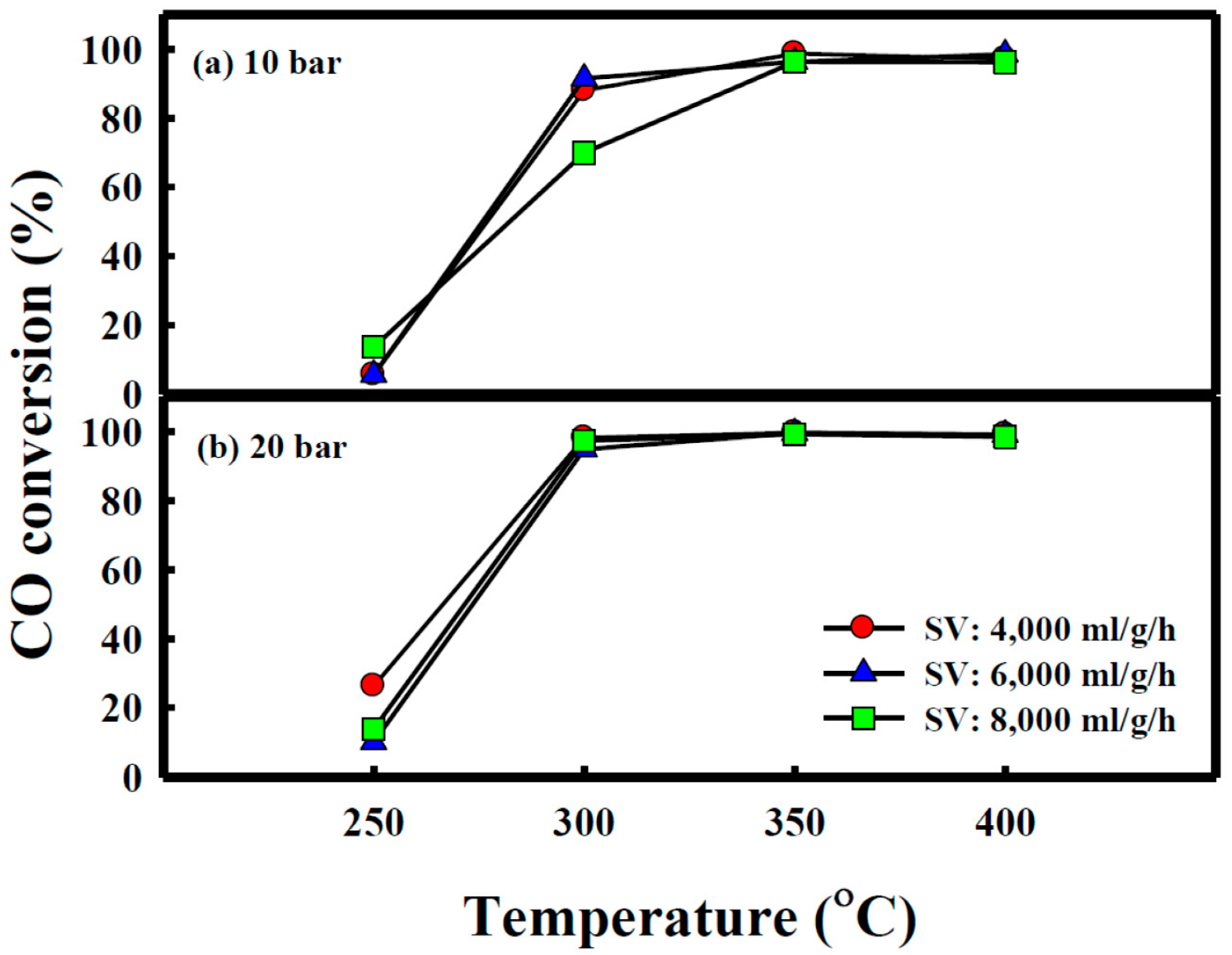
4.2. Light Hydrocarbon
4.2.1. Supported with Alumina or Silica Focused Olefin Production
4.2.2. Recent Advancements with Cracking Catalysts in South Korea
4.3. Middle Distillates Production
4.3.1. ZSM Supported Co-Based Catalyst
4.3.2. KIT-6 Supported Catalysts
4.4. Recent Trend for the Catalysts Design
5. Conclusions
Author Contributions
Funding
Conflicts of Interest
References
- Hernández, S.; Amin Farkhondehfal, M.; Sastre, F.; Makkee, M.; Saracco, G.; Russo, N. Syngas Production from Electrochemical Reduction of CO2: Current Status and Prospective Implementation. Green Chem. 2017, 19, 2326–2346. [Google Scholar] [CrossRef]
- de Smit, E.; Weckhuysen, B.M. The renaissance of iron-based Fischer–Tropsch synthesis: On the multifaceted catalyst deactivation behaviour. Chem. Soc. Rev. 2008, 37, 2758–2781. [Google Scholar] [CrossRef] [PubMed]
- Kim, H.S.; Kim, J.H.; Kang, S.H.; Ryu, J.H.; Yang, H.C.; Chung, D.Y. Recent trends for temperature control technology of catalytic reaction processes accompanied the exothermic reaction from syngas. J. Energy Clim. Chang. 2015, 10, 133–164. [Google Scholar]
- Schaidle, J.A.; Thompson, L.T. Fischer–Tropsch synthesis over early transition metal carbides and nitrides: CO activation and chain growth. J. Catal. 2015, 329, 325–334. [Google Scholar] [CrossRef]
- Turner, M.L.; Long, H.C.; Shenton, A.; Byers, P.K.; Maitlis, P.M. The Alkenyl Mechanism for Fischer-Tropsch Surface Methylene Polymerisation; the Reactions of Vinylic Probes with CO/H2 over Rhodium Catalyst. Chem. A Eur. J. 1995, 1, 549–556. [Google Scholar] [CrossRef]
- Donnelly, T.J.; Yates, I.C.; Satterfield, C.N. Analysis and prediction of product distributions of the Fischer-Tropsch synthesis. Energy Fuels 1988, 2, 734–739. [Google Scholar] [CrossRef]
- James, O.O.; Chowdhury, B.; Mesubi, M.A.; Maity, S. Reflections on the chemistry of the Fischer–Tropsch synthesis. RSC Adv. 2012, 2, 7347. [Google Scholar] [CrossRef]
- Bian, G.; Oonuki, A.; Koizumi, N.; Nomoto, H.; Yamada, M. Studies with a precipitated iron Fischer-Tropsch catalyst reduced by H2 or CO. J. Mol. Catal. A Chem. 2002, 186, 203–213. [Google Scholar] [CrossRef]
- Park, S.J. Fischer-Tropsch Synthesis on Fe-Cu-K/Zeolite for the Production of Light Olefins. Master. Thesis, Chungnam National University, Daejeon, Korea, 2009. [Google Scholar]
- Bartholomew, C.H.; Farrauto, R.J. Fundamentals of Industrial Catalytic Processes; John Wiley & Sons: Hoboken, NJ, USA, 2010. [Google Scholar]
- Ponec, V. Active centres for synthesis gas reactions. Catal. Today 1992, 12, 227–254. [Google Scholar] [CrossRef]
- Perego, C.; Bortolo, R.; Zennaro, R. Gas to liquids technologies for natural gas reserves valorization: The Eni experience. Catal. Today 2009, 142, 9–16. [Google Scholar] [CrossRef]
- James, O.O.; Mesubi, A.M.; Ako, T.C.; Maity, S. Increasing carbon utilization in Fischer–Tropsch synthesis using H2-deficient or CO2-rich syngas feeds. Fuel Process. Technol. 2010, 91, 136–144. [Google Scholar] [CrossRef]
- Jahangiri, H.; Bennett, J.; Mahjoubi, P.; Wilson, K.; Gu, S. A review of advanced catalyst development for Fischer–Tropsch synthesis of hydrocarbons from biomass derived syn-gas. Catal. Sci. Technol. 2014, 4, 2210–2229. [Google Scholar] [CrossRef]
- Schulz, H. Short history and present trends of Fischer–Tropsch synthesis. Appl. Catal. A Gen. 1999, 186, 3–12. [Google Scholar] [CrossRef]
- Khodakov, A.Y.; Chu, W.; Fongarland, P. Advances in the Development of Novel Cobalt Fischer−Tropsch Catalysts for Synthesis of Long-Chain Hydrocarbons and Clean Fuels. Chem. Rev. 2007, 107, 1692–1744. [Google Scholar] [CrossRef] [PubMed]
- Feyzi, M.; Irandoust, M.; Mirzaei, A.A. Effects of promoters and calcination conditions on the catalytic performance of iron–manganese catalysts for Fischer–Tropsch synthesis. Fuel Process. Technol. 2011, 92, 1136–1143. [Google Scholar] [CrossRef]
- Yang, Y.; Xiang, H.W.; Xu, Y.Y.; Bai, L.; Li, Y.W. Effect of potassium promoter on precipitated iron-manganese catalyst for Fischer–Tropsch synthesis. Appl. Catal. A Gen. 2004, 266, 181–194. [Google Scholar] [CrossRef]
- Ngantsoue-Hoc, W.; Zhang, Y.; O’Brien, R.J.; Luo, M.; Davis, B.H. Fischer−Tropsch synthesis: Activity and selectivity for Group I alkali promoted iron-based catalysts. Appl. Catal. A Gen. 2002, 236, 77–89. [Google Scholar] [CrossRef]
- Lohitharn, N.; Goodwin, J.G. Effect of K promotion of Fe and FeMn Fischer–Tropsch synthesis catalysts: Analysis at the site level using SSITKA. J. Catal. 2008, 260, 7–16. [Google Scholar] [CrossRef]
- Bai, L.; Xiang, H.; Li, Y.; Han, Y.; Zhong, B. Slurry phase Fischer–Tropsch synthesis over manganese-promoted iron ultrafine particle catalyst. Fuel 2002, 81, 1577–1581. [Google Scholar] [CrossRef]
- Liu, Y.; Teng, B.T.; Guo, X.H.; Li, Y.; Chang, J.; Tian, L.; Hao, X.; Wang, Y.; Xiang, H.W.; Xu, Y.Y.; et al. Effect of reaction conditions on the catalytic performance of Fe-Mn catalyst for Fischer-Tropsch synthesis. J. Mol. Catal. A Chem. 2007, 272, 182–190. [Google Scholar] [CrossRef]
- Lohitharn, N.; Goodwin, J.G. Impact of Cr, Mn and Zr addition on Fe Fischer–Tropsch synthesis catalysis: Investigation at the active site level using SSITKA. J. Catal. 2008, 257, 142–151. [Google Scholar] [CrossRef]
- Li, J.; Jacobs, G.; Zhang, Y.; Das, T.; Davis, B.H. Fischer–Tropsch synthesis: Effect of small amounts of boron, ruthenium and rhenium on Co/TiO2 catalysts. Appl. Catal. A Gen. 2002, 223, 195–203. [Google Scholar] [CrossRef]
- Das, T.K.; Jacobs, G.; Patterson, P.M.; Conner, W.A.; Li, J.; Davis, B.H. Fischer–Tropsch synthesis: Characterization and catalytic properties of rhenium promoted cobalt alumina catalysts. Fuel 2003, 82, 805–815. [Google Scholar] [CrossRef]
- Haddad, G.J.; Chen, B.; Goodwin, J.G., Jr. Characterization of La3+-Promoted Co/SiO2Catalysts. J. Catal. 1996, 160, 43–51. [Google Scholar] [CrossRef]
- Sartipi, S.; Makkee, M.; Kapteijn, F.; Gascon, J. Catalysis engineering of bifunctional solids for the one-step synthesis of liquid fuels from syngas: A review. Catal. Sci. Technol. 2014, 4, 893–907. [Google Scholar] [CrossRef]
- Jacobs, G.; Ma, W.; Davis, B. Influence of Reduction Promoters on Stability of Cobalt/g-Alumina Fischer-Tropsch Synthesis Catalysts. Catalysts 2014, 4, 49–76. [Google Scholar] [CrossRef]
- Soled, S.; Iglesia, E.; Fiato, R.A. Activity and selectivity control in iron catalyzed Fischer-Tropsch synthesis. Catal. Lett. 1991, 7, 271–280. [Google Scholar] [CrossRef]
- Raje, A.P.; O’Brien, R.J.; Davis, B.H. Effect of Potassium Promotion on Iron-Based Catalysts for Fischer–Tropsch Synthesis. J. Catal. 1998, 180, 36–43. [Google Scholar] [CrossRef]
- Dinse, A.; Aigner, M.; Ulbrich, M.; Johnson, G.R.; Bell, A.T. Effects of Mn promotion on the activity and selectivity of Co/SiO2 for Fischer–Tropsch Synthesis. J. Catal. 2012, 288, 104–114. [Google Scholar] [CrossRef]
- Moradi, G.R.; Basir, M.M.; Taeb, A.; Kiennemann, A. Promotion of Co/SiO2 Fischer–Tropsch catalysts with zirconium. Catal. Commun. 2003, 4, 27–32. [Google Scholar] [CrossRef]
- Chen, H.; Adesina, A.A. Improved alkene selectivity in carbon monoxide hydrogenation over silica supported cobalt-molybdenum catalyst. Appl. Catal. A Gen. 1994, 112, 87–103. [Google Scholar] [CrossRef]
- Jacobs, G.; Das, T.K.; Zhang, Y.; Li, J.; Racoillet, G.; Davis, B.H. Fischer–Tropsch synthesis: Support, loading, and promoter effects on the reducibility of cobalt catalysts. Appl. Catal. A Gen. 2002, 233, 263–281. [Google Scholar] [CrossRef]
- Jacobs, G.; Chaney, J.A.; Patterson, P.M.; Das, T.K.; Davis, B.H. Fischer–Tropsch synthesis: Study of the promotion of Re on the reduction property of Co/Al2O3 catalysts by in situ EXAFS/XANES of Co K and Re L III edges and XPS. Appl. Catal. A Gen. 2004, 264, 203–212. [Google Scholar] [CrossRef]
- Morales, F.; de Groot, F.M.F.; Gijzeman, O.L.J.; Mens, A.; Stephan, O.; Weckhuysen, B.M. Mn promotion effects in Co/TiO2 Fischer–Tropsch catalysts as investigated by XPS and STEM-EELS. J. Catal. 2005, 230, 301–308. [Google Scholar] [CrossRef]
- Das, D.; Ravichandran, G.; Chakrabarty, D.K. Synthesis of light alkenes from syngas on silicalite-1 supported cobalt and cobalt-manganese catalysts. Appl. Catal. A Gen. 1995, 131, 335–345. [Google Scholar] [CrossRef]
- Lohitharn, N.; Goodwin, J.G.; Lotero, E. Fe-based Fischer–Tropsch synthesis catalysts containing carbide-forming transition metal promoters. J. Catal. 2008, 255, 104–113. [Google Scholar] [CrossRef]
- Jalama, K.; Coville, N.; Hildebrandt, D.; Glasser, D.; Jewell, L.; Anderson, J.; Taylor, S.; Enache, D.; Hutchings, G. Effect of the addition of Au on Co/TiO2 catalyst for the Fischer–Tropsch reaction. Top. Catal. 2007, 44, 129–136. [Google Scholar] [CrossRef]
- Tavasoli, A.; Irani, M.; Abbaslou, R.M.M.; Trépanier, M.; Dalai, A.K. Morphology and deactivation behaviour of Co-Ru/γ-Al2O3 Fischer-Tropsch synthesis catalyst. Can. J. Chem. Eng. 2008, 86, 1070–1080. [Google Scholar] [CrossRef]
- Li, J.; Corma, A.; Yu, J. Synthesis of new zeolite structures. Chem. Soc. Rev. 2015, 44, 7112–7127. [Google Scholar] [CrossRef]
- Xiong, H.; Zhang, Y.; Liew, K.; Li, J. Ruthenium promotion of Co/SBA-15 catalysts with high cobalt loading for Fischer–Tropsch synthesis. Fuel Process. Technol. 2009, 90, 237–246. [Google Scholar] [CrossRef]
- Wang, S.; Yin, Q.; Guo, J.; Ru, B.; Zhu, L. Improved Fischer–Tropsch synthesis for gasoline over Ru, Ni promoted Co/HZSM-5 catalysts. Fuel 2013, 108, 597–603. [Google Scholar] [CrossRef]
- Chan, F.L.; Tanksale, A. Review of recent developments in Ni-based catalysts for biomass gasification. Renew. Sustain. Energy Rev. 2014, 38, 428–438. [Google Scholar] [CrossRef]
- Reuel, R.C.; Bartholomew, C.H. Effects of support and dispersion on the CO hydrogenation activity/selectivity properties of cobalt. J. Catal. 1984, 85, 78–88. [Google Scholar] [CrossRef]
- Kreitman, K.M.; Baerns, M.; Butt, J.B. Manganese-oxide-supported iron Fischer-Tropsch synthesis catalysts: Physical and catalytic characterization. J. Catal. 1987, 105, 319–334. [Google Scholar] [CrossRef]
- Zwart, J.; Vink, J. Fischer-tropsch synthesis using zeolite-supported iron catalysts derived from iron carbonyl complexes. Appl. Catal. 1987, 33, 383–393. [Google Scholar] [CrossRef]
- Pham, H.N.; Viergutz, A.; Gormley, R.J.; Datye, A.K. Improving the attrition resistance of slurry phase heterogeneous catalysts. Powder Technol. 2000, 110, 196–203. [Google Scholar] [CrossRef]
- Khodakov, A.Y.; Griboval-Constant, A.; Bechara, R.; Villain, F. Pore-Size Control of Cobalt Dispersion and Reducibility in Mesoporous Silicas. J. Phys. Chem. B 2001, 105, 9805–9811. [Google Scholar] [CrossRef]
- Panpranot, J.; Goodwin, J.G.; Sayari, A. Synthesis and characteristics of MCM-41 supported CoRu catalysts. Catal. Today 2002, 77, 269–284. [Google Scholar] [CrossRef]
- Cagnoli, M.V.; Gallegos, N.G.; Alvarez, A.M.; Bengoa, J.F.; Yeramián, A.A.; Schmal, M.; Marchetti, S.G. Catalytic CO hydrogenation on potassic Fe/zeolite LTL. Appl. Catal. A Gen. 2002, 230, 169–176. [Google Scholar] [CrossRef]
- Soled, S.; Iglesia, E.; Fiato, R.; Baumgartner, J.; Vroman, H.; Miseo, S. Control of Metal Dispersion and Structure by Changes in the Solid-State Chemistry of Supported Cobalt Fischer–Tropsch Catalysts. Top. Catal. 2003, 26, 101–109. [Google Scholar] [CrossRef]
- Bahome, M.C.; Jewell, L.L.; Hildebrandt, D.; Glasser, D.; Coville, N.J. Fischer–Tropsch synthesis over iron catalysts supported on carbon nanotubes. Appl. Catal. A Gen. 2005, 287, 60–67. [Google Scholar] [CrossRef]
- Spadaro, L.; Arena, F.; Granados, M.L.; Ojeda, M.; Fierro, J.L.G.; Frusteri, F. Metal–support interactions and reactivity of Co/CeO2 catalysts in the Fischer–Tropsch synthesis reaction. J. Catal. 2005, 234, 451–462. [Google Scholar] [CrossRef]
- Tavasoli, A.; Sadagiani, K.; Khorashe, F.; Seifkordi, A.A.; Rohani, A.A.; Nakhaeipour, A. Cobalt supported on carbon nanotubes—A promising novel Fischer–Tropsch synthesis catalyst. Fuel Process. Technol. 2008, 89, 491–498. [Google Scholar] [CrossRef]
- Dacquin, J.; Dhainaut, J.; Duprez, D.; Royer, S.; Lee, A.F.; Wilson, K. An efficient route to highly organized, tunable macroporous-mesoporous alumina. J. Am. Chem. Soc. 2009, 131, 12896–12897. [Google Scholar] [CrossRef]
- Ghampson, I.T.; Newman, C.; Kong, L.; Pier, E.; Hurley, K.D.; Pollock, R.A.; Walsh, B.R.; Goundie, B.; Wright, J.; Wheeler, M.C.; et al. Effects of pore diameter on particle size, phase, and turnover frequency in mesoporous silica supported cobalt Fischer–Tropsch catalysts. Appl. Catal. A Gen. 2010, 388, 57–67. [Google Scholar] [CrossRef]
- Dhainaut, J.; Dacquin, J.; Lee, A.F.; Wilson, K. Hierarchical macroporous–mesoporous SBA-15 sulfonic acid catalysts for biodiesel synthesis. Green Chem. 2010, 12, 296. [Google Scholar] [CrossRef]
- Malek Abbaslou, R.M.; Soltan, J.; Dalai, A.K. Iron catalyst supported on carbon nanotubes for Fischer–Tropsch synthesis: Effects of Mo promotion. Fuel 2011, 90, 1139–1144. [Google Scholar] [CrossRef]
- Pirez, C.; Caderon, J.; Dacquin, J.; Lee, A.F.; Wilson, K. Tunable KIT-6 Mesoporous Sulfonic Acid Catalysts for Fatty Acid Esterification. ACS Catal. 2012, 2, 1607–1614. [Google Scholar] [CrossRef]
- Jung, J.; Kim, S.W.; Moon, D.J. Fischer–Tropsch Synthesis over cobalt based catalyst supported on different mesoporous silica. Catal. Today 2012, 185, 168–174. [Google Scholar] [CrossRef]
- Arsalanfar, M.; Mirzaei, A.A.; Bozorgzadeh, H.R.; Samimi, A.; Ghobadi, R. Effect of support and promoter on the catalytic performance and structural properties of the Fe–Co–Mn catalysts for Fischer–Tropsch synthesis. J. Ind. Eng. Chem. 2014, 20, 1313–1323. [Google Scholar] [CrossRef]
- Khodakov, A.Y. Fischer-Tropsch synthesis: Relations between structure of cobalt catalysts and their catalytic performance. Catal. Today 2009, 144, 251–257. [Google Scholar] [CrossRef]
- Fu, T.; Jiang, Y.; Lv, J.; Li, Z. Effect of carbon support on Fischer–Tropsch synthesis activity and product distribution over Co-based catalysts. Fuel Process. Technol. 2013, 110, 141–149. [Google Scholar] [CrossRef]
- Li, Y.; Wang, T.; Wu, C.; Li, H.; Qin, X.; Tsubaki, N. Gasoline-range hydrocarbon synthesis over Co/SiO2/HZSM-5 catalyst with CO2-containing syngas. Fuel Process. Technol. 2010, 91, 388–393. [Google Scholar] [CrossRef]
- Oh, J.; Bae, J.W.; Park, S.; Khanna, P.K.; Jun, K. Slurry-Phase Fischer–Tropsch Synthesis Using Co/γ-Al2O3, Co/SiO2 and Co/TiO2: Effect of Support on Catalyst Aggregation. Catal. Lett. 2009, 130, 403–409. [Google Scholar] [CrossRef]
- Soares, R.R.; Frydman, A.; Schmal, M. Effect of preparation method on 5% Co/Nb2O5 in Fischer-Tropsch Syntesis (FTS). Catal. Today 1993, 16, 361–370. [Google Scholar] [CrossRef]
- Bertella, F.; Concepción, P.; Martínez, A. TiO2 polymorph dependent SMSI effect in Co-Ru/TiO2 catalysts and its relevance to Fischer-Tropsch synthesis. Catal. Today 2017, 289, 181–191. [Google Scholar] [CrossRef]
- Jung, J.; Lee, J.; Choi, G.; Ramesh, S.; Moon, D.J. The characterization of micro-structure of cobalt on γ-Al2O3 for FTS: Effects of pretreatment on Ru–Co/γ-Al2O3. Fuel 2015, 149, 118–129. [Google Scholar] [CrossRef]
- Jung, J.S.; Choi, G.; Lee, J.S.; Moon, D.J. Microstructure of FTS studies over spherical Co/γ-Al2O3. Catal. Today 2015, 250, 102–114. [Google Scholar] [CrossRef]
- Kim, N.Y.; Jung, J.; Lee, J.S.; Yang, E.H.; Hong, G.H.; Lim, S.S.; Noh, Y.S.; Hodala, J.L.; Lee, K.Y.; Moon, D.J. Synthesis and characterization of Al-modified SBA-15 for Fischer–Tropsch synthesis (FTS) reaction. Res. Chem. Int. 2016, 42, 319–334. [Google Scholar] [CrossRef]
- Sun, B.; Yu, G.; Lin, J.; Xu, K.; Pei, Y.; Yan, S.; Qiao, M.; Fan, K.; Zhang, X.; Zong, B. A highly selective Raney Fe@HZSM-5 Fischer–Tropsch synthesis catalyst for gasoline production: One-pot synthesis and unexpected effect of zeolites. Catal. Sci. Technol. 2012, 2, 1625. [Google Scholar] [CrossRef]
- Bao, J.; Yang, G.; Okada, C.; Yoneyama, Y.; Tsubaki, N. H-type zeolite coated iron-based multiple-functional catalyst for direct synthesis of middle isoparaffins from syngas. Appl. Catal. A Gen. 2011, 394, 195–200. [Google Scholar] [CrossRef]
- Yang, G.; He, J.; Yoneyama, Y.; Tan, Y.; Han, Y.; Tsubaki, N. Preparation, characterization and reaction performance of H-ZSM-5/cobalt/silica capsule catalysts with different sizes for direct synthesis of isoparaffins. Appl. Catal. A Gen. 2007, 329, 99–105. [Google Scholar] [CrossRef]
- Yang, G.; He, J.; Zhang, Y.; Yoneyama, Y.; Tan, Y.; Han, Y.; Vitidsant, T.; Tsubaki, N. Design and Modification of Zeolite Capsule Catalyst, A Confined Reaction Field, and its Application in One-Step Isoparaffin Synthesis from Syngas. Energy Fuels 2008, 22, 1463–1468. [Google Scholar] [CrossRef]
- Yang, G.; He, J.; Yoneyama, Y.; Tan, Y.; Han, Y.; Tsubaki, N. Design of a zeolite capsule catalyst by controlling the support size for the direct synthesis of isoparaffin. Res. Chem. Intermed. 2008, 34, 771–779. [Google Scholar] [CrossRef]
- Calderone, V.R.; Shiju, N.R.; Curulla-Ferré, D.; Chambrey, S.; Khodakov, A.; Rose, A.; Thiessen, J.; Jess, A.; Rothenberg, G. De Novo Design of Nanostructured Iron-Cobalt Fischer-Tropsch Catalysts. Angew. Chem. Int. Ed. 2013, 52, 4397–4401. [Google Scholar] [CrossRef]
- Jin, Y.; Yang, R.; Mori, Y.; Sun, J.; Taguchi, A.; Yoneyama, Y.; Abe, T.; Tsubaki, N. Preparation and performance of Co based capsule catalyst with the zeolite shell sputtered by Pd for direct isoparaffin synthesis from syngas. Appl. Catal. A Gen. 2013, 456, 75–81. [Google Scholar] [CrossRef]
- Xie, R.; Li, D.; Hou, B.; Wang, J.; Jia, L.; Sun, Y. Silylated Co3O4-m-SiO2 catalysts for Fischer–Tropsch synthesis. Catal. Commun. 2011, 12, 589–592. [Google Scholar] [CrossRef]
- Haghtalab, A.; Mosayebi, A. Co@Ru nanoparticle with core–shell structure supported over γ-Al2O3 for Fischer–Tropsch synthesis. Int. J. Hydrogen Energy 2014, 39, 18882–18893. [Google Scholar] [CrossRef]
- Lin, Q.; Zhang, Q.; Yang, G.; Chen, Q.; Li, J.; Wei, Q.; Tan, Y.; Wan, H.; Tsubaki, N. Insights into the promotional roles of palladium in structure and performance of cobalt-based zeolite capsule catalyst for direct synthesis of C5–C11 iso-paraffins from syngas. J. Catal. 2016, 344, 378–388. [Google Scholar] [CrossRef]
- Yang, G.; Tan, Y.; Han, Y.; Qiu, J.; Tsubaki, N. Increasing the shell thickness by controlling the core size of zeolite capsule catalyst: Application in iso-paraffin direct synthesis. Catal. Commun. 2008, 9, 2520–2524. [Google Scholar] [CrossRef]
- XU, K.; CHENG, Y.; SUN, B.; PEI, Y.; YAN, S.R.; QIAO, M.H.; ZHANG, X.X.; ZONG, B.N. Fischer-Tropsch Synthesis over Skeletal Co@HZSM-5 Core-Shell Catalysts. Acta Phys. Chim. Sin. 2015, 31, 1137–1144. [Google Scholar] [CrossRef]
- Mosayebi, A.; Haghtalab, A. The comprehensive kinetic modeling of the Fischer-Tropsch synthesis over Co@Ru/γ-Al2O3 core-shell structure catalyst. Chem. Eng. J. 2015, 259, 191. [Google Scholar] [CrossRef]
- Parlett, C.M.A.; Wilson, K.; Lee, A.F. Hierarchical porous materials: Catalytic applications. Chem. Soc. Rev. 2013, 42, 3876–3893. [Google Scholar] [CrossRef] [PubMed]
- Bezemer, G.L.; Bitter, J.H.; Kuipers, H.P.C.E.; Oosterbeek, H.; Holewijn, J.E.; Xu, X.; Kapteijn, F.; van Dillen, A.J.; de Jong, K.P. Cobalt Particle Size Effects in the Fischer−Tropsch Reaction Studied with Carbon Nanofiber Supported Catalysts. J. Am. Chem. Soc. 2006, 128, 3956–3964. [Google Scholar] [CrossRef] [PubMed]
- Liu, J.X.; Wang, P.; Xu, W.; Hensen, E.J. Particle Size and Crystal Phase Effects in Fischer-Tropsch Catalysts. Engineering 2017, 3, 467–476. [Google Scholar] [CrossRef]
- Chen, W.; Lin, T.; Dai, Y.; An, Y.; Yu, F.; Zhong, L.; Li, S.; Sun, Y. Recent advances in the investigation of nanoeffects of Fischer-Tropsch catalysts. Catal. Today 2018, 311, 8–22. [Google Scholar] [CrossRef]
- Parlett, C.M.A.; Bruce, D.W.; Hondow, N.S.; Lee, A.F.; Wilson, K. Support-Enhanced Selective Aerobic Alcohol Oxidation over Pd/Mesoporous Silicas. ACS Catal. 2011, 1, 636–640. [Google Scholar] [CrossRef]
- Xiong, H.; Jewell, L.L.; Coville, N.J. Shaped Carbons As Supports for the Catalytic Conversion of Syngas to Clean Fuels. ACS Catal. 2015, 5, 2640–2658. [Google Scholar] [CrossRef]
- Motchelaho, M.A.M.; Xiong, H.; Moyo, M.; Jewell, L.L.; Coville, N.J. Effect of acid treatment on the surface of multiwalled carbon nanotubes prepared from Fe–Co supported on CaCO3: Correlation with Fischer–Tropsch catalyst activity. J. Mol. Catal. A Chem. 2011, 335, 189–198. [Google Scholar] [CrossRef]
- Elbashir, N.O.; Bukur, D.B.; Durham, E.; Roberts, C.B. Advancement of Fischer-Tropsch synthesis via utilization of supercritical fluid reaction media. AIChE J. 2010, 56, 997–1015. [Google Scholar] [CrossRef]
- Fan, L.; Fujimoto, K. Fischer–Tropsch synthesis in supercritical fluid: Characteristics and application. Appl. Catal. A Gen. 1999, 186, 343–354. [Google Scholar] [CrossRef]
- Méndez, C.I.; Ancheyta, J.; Trejo, F. Modeling of Catalytic Fixed-Bed Reactors for Fuels Production by Fischer–Tropsch Synthesis. Energy Fuels 2017, 31, 13011–13042. [Google Scholar] [CrossRef]
- Park, J.; Lee, Y.; Jun, K.; Bae, J.W.; Viswanadham, N.; Kim, Y.H. Direct conversion of synthesis gas to light olefins using dual bed reactor. J. Ind. Eng. Chem. 2009, 15, 847–853. [Google Scholar] [CrossRef]
- Kang, S.H.; Bae, J.W.; Prasad, P.S.; Jun, K.W. Fischer–Tropsch Synthesis Using Zeolite-supported Iron Catalysts for the Production of Light Hydrocarbons. Catal. Lett. 2008, 125, 264–270. [Google Scholar] [CrossRef]
- Kang, S.H.; Bae, J.W.; Woo, K.J.; Prasad, P.S.; Jun, K.W. ZSM-5 supported iron catalysts for Fischer–Tropsch production of light olefin. Fuel Process. Technol. 2010, 91, 399–403. [Google Scholar] [CrossRef]
- Cheon, J.; Kang, S.; Bae, J.; Park, S.; Jun, K.; Murali Dhar, G.; Lee, K. Effect of Active Component Contents to Catalytic Performance on Fe-Cu-K/ZSM5 Fischer-Tropsch Catalyst. Catal. Lett. 2010, 134, 233–241. [Google Scholar] [CrossRef]
- Bae, J.W.; Park, S.; Kang, S.; Lee, Y.; Jun, K.; Rhee, Y. Effect of Cu content on the bifunctional Fischer–Tropsch Fe–Cu–K/ZSM5 catalyst. J. Ind. Eng. Chem. 2009, 15, 798–802. [Google Scholar] [CrossRef]
- Kim, J.H.; Kim, H.S.; Oh, S.C.; Ryu, J.H.; Kang, S.H. Catalyst for Synthesizing Synthetic Natural Gas and Manufacturing Method for High Calorific Synthetic Natural Gas Using the Same. Korea Patent No. 10-2017-0181241, 17 December 2017. [Google Scholar]
- Kim, J.H.; Kim, H.S.; Ryu, J.H.; Kang, S.H.; Lee, S.C.; Chae, H.J.; Jo, S.B.; Kim, T.Y. Method for Preparing Synthetic Natural Gas Using Co-Fe-Ni-based Catalyst. Korea Patent No. 10-2018-0169727, 26 December 2018. [Google Scholar]
- Kang, S.H.; Ryu, J.H.; Kim, J.H.; Seo, S.J.; Yoo, Y.D.; Prasad, P.S.S.; Lim, H.J.; Byun, C.D. Co-methanation of CO and CO2 on the NiX-Fe1−X/Al2O3 catalysts; effect of Fe contents. Korean J. Chem. Eng. 2011, 28, 2282–2286. [Google Scholar] [CrossRef]
- Lee, Y.; Lee, K. Effect of surface composition of Fe catalyst on the activity for the production of high-calorie synthetic natural gas (SNG). Korean J. Chem. Eng. 2017, 34, 320–327. [Google Scholar] [CrossRef]
- Jo, S.B.; Chae, H.J.; Kim, T.Y.; Kim, J.W.; Kim, J.C.; Lee, S.C.; Lee, C.H.; Oh, J.U.; Kang, S.; Jeong, M. Selective CO hydrogenation over bimetallic Co-Fe catalysts for the production of light paraffin hydrocarbons (C2–C4): Effect of H2/CO ratio and reaction temperature. Catal. Commun. 2018, 117, 74–78. [Google Scholar] [CrossRef]
- Jo, S.B.; Kim, T.Y.; Lee, C.H.; Woo, J.H.; Chae, H.J.; Kang, S.; Kim, J.W.; Lee, S.C.; Kim, J.C. Selective CO Hydrogenation Over Bimetallic Co-Fe Catalysts for the Production of Light Paraffin Hydrocarbons (C2–C4): Effect of Space Velocity, Reaction Pressure and Temperature. Catalysts 2019, 9, 779. [Google Scholar] [CrossRef]
- Bukur, D.B.; Lang, X.; Nowicki, L. Comparative Study of an Iron Fischer−Tropsch Catalyst Performance in Stirred Tank Slurry and Fixed-Bed Reactors. Ind. Eng. Chem. Res. 2005, 44, 6038–6044. [Google Scholar] [CrossRef]
- Kang, S.; Woo, K.; Jun, K.; Kang, Y. Hydrogenation of CO on supported cobalt γ-Al2O3 catalyst in fixed bed and slurry bubble column reactors. Korean J. Chem. Eng. 2009, 26, 1533–1538. [Google Scholar] [CrossRef]
- Kamm, B.; Kamm, M. Das Konzept der Bioraffinerie—Produktion von Plattformchemikalien und Finalprodukten. Chem. Ing. Tech. 2007, 79, 592–603. [Google Scholar] [CrossRef]
- Rahimpour, M.R.; Elekaei, H. A comparative study of combination of Fischer–Tropsch synthesis reactors with hydrogen-permselective membrane in GTL technology. Fuel Process. Technol. 2009, 90, 747–761. [Google Scholar] [CrossRef]
- Lee, Y.; Park, J.; Jun, K.; Bae, J.; Viswanadham, N. Enhanced Production of C2–C4 Olefins Directly from Synthesis Gas. Catal. Lett. 2008, 126, 149–154. [Google Scholar] [CrossRef]
- Kang, S.; Bae, J.W.; Cheon, J.; Lee, Y.; Lee, D.; Ha, K.; Jun, K.; Kim, B. Catalytic performance on iron-based Fischer–Tropsch catalyst in fixed-bed and bubbling fluidized-bed reactor. Appl. Catal. B Environ. 2011, 103, 169–180. [Google Scholar] [CrossRef]
- Hong, J.; Hwang, J.S.; Jun, K.; Sur, J.C.; Lee, K. Deactivation study on a coprecipitated Fe-Cu-K-Al catalyst in CO2 hydrogenation. Appl. Catal. A Gen. 2001, 218, 53–59. [Google Scholar] [CrossRef]
- Jun, K.; Roh, H.; Kim, K.; Ryu, J.; Lee, K. Catalytic investigation for Fischer–Tropsch synthesis from bio-mass derived syngas. Appl. Catal. A Gen. 2004, 259, 221–226. [Google Scholar] [CrossRef]
- Kang, S.; Bae, J.W.; Sai Prasad, P.S.; Park, S.; Woo, K.; Jun, K. Effect of Preparation Method of Fe–based Fischer–Tropsch Catalyst on their Light Olefin Production. Catal. Lett. 2009, 130, 630–636. [Google Scholar] [CrossRef]
- Kang, S.; Koo, H.M.; Kim, A.R.; Lee, D.; Ryu, J.; Yoo, Y.D.; Bae, J.W. Correlation of the amount of carbonaceous species with catalytic performance on iron-based Fischer–Tropsch catalysts. Fuel Process. Technol. 2013, 109, 141–149. [Google Scholar] [CrossRef]
- Kang, S.; Ryu, J.; Kim, J.; Sai Prasad, P.; Bae, J.; Cheon, J.; Jun, K. ZSM-5 Supported Cobalt Catalyst for the Direct Production of Gasoline Range Hydrocarbons by Fischer–Tropsch Synthesis. Catal. Lett. 2011, 141, 1464–1471. [Google Scholar] [CrossRef]
- Kang, S.; Ryu, J.; Kim, J.; Jang, I.H.; Kim, A.R.; Han, G.Y.; Bae, J.W.; Ha, K. Role of ZSM5 Distribution on Co/SiO2 Fischer–Tropsch Catalyst for the Production of C5–C22 Hydrocarbons. Energy Fuels 2012, 26, 6061–6069. [Google Scholar] [CrossRef]
- Kang, S.; Ryu, J.; Kim, J.; Kim, H.; Lee, C.; Lee, Y.; Jun, K. Fischer-Tropsch Synthesis of the Promoted Co/ZSM-5 Hybrid Catalysts for the Production of Gasoline Range Hydrocarbons. Mod. Res. Catal. 2014, 3, 99–106. [Google Scholar] [CrossRef][Green Version]
- Ryu, J.; Kang, S.; Kim, J.; Lee, Y.; Jun, K. Fischer-Tropsch synthesis on Co-Al2O3-(promoter)/ZSM5 hybrid catalysts for the production of gasoline range hydrocarbons. Korean J. Chem. Eng. 2015, 32, 1993–1998. [Google Scholar] [CrossRef]
- Kang, S.; Ryu, J.; Kim, J.; Kim, H.; Yang, H.C.; Chung, D.Y. Catalytic Performance for Hydrocarbon Production from Syngas on the Promoted Co-Based Hybrid Catalysts; Influence of Pt Contents. Bull. Chem. React. Eng. Catal. 2017, 12, 452–459. [Google Scholar] [CrossRef]
- Cho, J.M.; Lee, S.R.; Sun, J.; Tsubaki, N.; Jang, E.J.; Bae, J.W. Highly Ordered Mesoporous Fe2O3–ZrO2 Bimetal Oxides for an Enhanced CO Hydrogenation Activity to Hydrocarbons with Their Structural Stability. ACS Catal. 2017, 7, 5955–5964. [Google Scholar] [CrossRef]
- Cho, J.M.; Han, G.Y.; Jeong, H.; Roh, H.; Bae, J.W. Effects of ordered mesoporous bimodal structures of Fe/KIT-6 for CO hydrogenation activity to hydrocarbons. Chem. Eng. J. 2018, 354, 197–207. [Google Scholar] [CrossRef]
- Park, Y.M.; Lee, D.H.; Lee, Y.J.; Roh, H.S.; Chung, C.H.; Wook Bae, J. Ordered Mesoporous Co3O4−Al2O3 Binary Metal Oxides for CO Hydrogenation to Hydrocarbons: Synergy Effects of Phosphorus Modifier for an Enhanced Catalytic Activity and Stability. ChemCatChem 2019, 11, 1707–1721. [Google Scholar] [CrossRef]
- Cho, J.M.; Kasipandi, S.; Park, Y.M.; Bae, J.W. Spatially confined cobalt nanoparticles on zirconium phosphate-modified KIT-6 for an enhanced stability of CO hydrogenation to hydrocarbons. Fuel 2019, 239, 547–558. [Google Scholar] [CrossRef]
- Choi, S.; Xie, S.; Shao, M.; Odell, J.H.; Lu, N.; Peng, H.; Protsailo, L.; Guerrero, S.; Park, J.; Xia, X.; et al. Synthesis and characterization of 9 nm Pt-Ni octahedra with a record high activity of 3.3 A/mg(Pt) for the oxygen reduction reaction. Nano Lett. 2013, 13, 3420–3425. [Google Scholar] [CrossRef] [PubMed]
- Park, J.; Kanti Kabiraz, M.; Kwon, H.; Park, S.; Baik, H.; Choi, S.; Lee, K. Radially Phase Segregated PtCu@PtCuNi Dendrite@Frame Nanocatalyst for the Oxygen Reduction Reaction. ACS Nano 2017, 11, 10844–10851. [Google Scholar] [CrossRef] [PubMed]






























| Promoter (2 wt%) | CO Conversion (%) | Product Selectivity (%) | ||||
|---|---|---|---|---|---|---|
| CH4 | C2–C4 | C5–C9 | C10+ | CO2 | ||
| Zn | 34.1 | 22.3 | 46.0 | 14.4 | 6.5 | 10.8 |
| Rb | 28.7 | 24.5 | 32.8 | 21.1 | 9.4 | 12.2 |
| Cs | 38.4 | 21.1 | 41.7 | 15.4 | 11.7 | 10.1 |
| K | 43.8 | 16.4 | 51.7 | 14.4 | 9.2 | 8.3 |
| Ce | 32.5 | 25.1 | 37.2 | 18.1 | 8.2 | 11.4 |
| Reaction conditions: H2/CO = 2, GHSV = 1200 h−1, P = 1 atm and 250 °C | ||||||
| Catalysts | Reaction Temperature (°C) | Hydrocarnon Selectivity (%) | ||
|---|---|---|---|---|
| CH4 | C2–C4 | C5+ | ||
| 5Co/γ-Al2O3 | 220 | 24.06 | 51.59 | 24.33 |
| 230 | 24.47 | 50.12 | 25.39 | |
| 5Co-0.55Ru/γ-Al2O3 | 220 | 13.43 | 33.00 | 53.55 |
| 230 | 13.12 | 32.24 | 54.62 | |
| 5Co-1.25Ru/γ-Al2O3 | 220 | 13.31 | 27.93 | 58.75 |
| 230 | 12.49 | 26.21 | 61.28 | |
| 5Co-2.14Ru/γ-Al2O3 | 220 | 11.48 | 22.43 | 66.07 |
| 230 | 11.20 | 21.90 | 66.88 | |
| 5Co-3.33Ru/γ-Al2O3 | 220 | 17.02 | 15.08 | 67.94 |
| 230 | 16.86 | 17.94 | 68.27 | |
| 5Co-5Ru/γ-Al2O3 | 220 | 18.37 | 13.75 | 67.86 |
| 230 | 17.86 | 13.36 | 68.76 | |
| Catalysts | Support Type and Property | FTS Conditions | Reaction Parameter | Performance | |
|---|---|---|---|---|---|
| Reduction | Reaction | ||||
| Fe/CB | Columbia, T-10157 | 400 °C | 0.1 MPa, 275 °C, H2: CO = 1–9 | porosity, stability | X = N.A., S5+ = 2–10% |
| Fe/CB | SA = 763 m2/g | 300 °C, 0.5 MPa | 260–280 °C, 20 MPa, H2/CO = 1 | support effect, ozone treatment | X = 40–80%, S5+ = 60–80% |
| Fe/CB | Vulcan 3 (SA = 56 m2/g) | 400 °C | 275 °C, 101 kPa, H2/CO = 3 | dispersion effect | X = 2.8–3.9%, S5+ = 5–12% |
| Ru/CB | V3G (62 m2/g) | 400 °C | 190–250 °C 101 kPa H2/CO = 3 | selectivity, interaction | X = 1.5–4.5%, S5+ < 1% |
| Fe/AC | from olive pits | 400 °C | 0.1 MPa, 275 °C, H2/CO = 3 | porosity, stability | X = 2–27%, S5+ = 2–10% |
| Fe-K/AC Fe-Cu/AC | Sigma-Aldrich | 400 °C, 0.5 MPa | 280 °C, 300 psig, H2/CO = 0.9 | Cu promoter effect | X = 28–85%, S5+ = 50–61% |
| Fe-Mo-Cu-K/AC | from peat, generic, wood, pecan, walnut | 400 °C, 0.5 MPa | 290 °C, 300 psig, H2/CO = 0.9 | K promoter, AC nature effects | X = 29–97%, S5+ = 16–62% |
| Fe/AC | SA = 1170 m2/g | 300 °C, 0.5 MPa | 260–280 °C, 2.0 MPa, H2/CO = 1 | support effect, ozone treatment | X = 40–80%, S5+ = 60–80% |
| Co/AC | N.A. | 400 °C | 220–250 °C, 2–4 MPa, H2/CO = 1.0–2.5 | Product, distribution, kinetics | X = 10–54%, S5+ = N.A. |
| Zr-Co/AC La-Zr-Co/AC | SA = 1068.7 m2/g PV = 0.65 cm3/g | 400 °C | 250 °C, 2.5 MPa, H2/CO = 2 | Lanthanum, promoter | X = 49–93%, S5+ = 63–75% |
| ZSM-5-Fe/AC | Norit SX Ultra (Sigma-Aldrich) | 1 atm, 400 °C | 280–320 °C, 300 psig, H2/CO = 1 | zeolite promoter | X = 70–90%, S5+ = N.A |
| Fe-Cu-K/AC | Sigma-Aldrich | 0.5 MPa, 400 °C | 310–320 °C, 2.2 MPa, H2/CO = 0.9 | Mo promoter, reducibility | X = N.A., S5+ = 39–52% |
© 2020 by the authors. Licensee MDPI, Basel, Switzerland. This article is an open access article distributed under the terms and conditions of the Creative Commons Attribution (CC BY) license (http://creativecommons.org/licenses/by/4.0/).
Share and Cite
Chae, H.J.; Kim, J.-H.; Lee, S.C.; Kim, H.-S.; Jo, S.B.; Ryu, J.-H.; Kim, T.Y.; Lee, C.H.; Kim, S.J.; Kang, S.-H.; et al. Catalytic Technologies for CO Hydrogenation for the Production of Light Hydrocarbons and Middle Distillates. Catalysts 2020, 10, 99. https://doi.org/10.3390/catal10010099
Chae HJ, Kim J-H, Lee SC, Kim H-S, Jo SB, Ryu J-H, Kim TY, Lee CH, Kim SJ, Kang S-H, et al. Catalytic Technologies for CO Hydrogenation for the Production of Light Hydrocarbons and Middle Distillates. Catalysts. 2020; 10(1):99. https://doi.org/10.3390/catal10010099
Chicago/Turabian StyleChae, Ho Jin, Jin-Ho Kim, Soo Chool Lee, Hyo-Sik Kim, Seong Bin Jo, Jae-Hong Ryu, Tae Young Kim, Chul Ho Lee, Se Jeong Kim, Suk-Hwan Kang, and et al. 2020. "Catalytic Technologies for CO Hydrogenation for the Production of Light Hydrocarbons and Middle Distillates" Catalysts 10, no. 1: 99. https://doi.org/10.3390/catal10010099
APA StyleChae, H. J., Kim, J.-H., Lee, S. C., Kim, H.-S., Jo, S. B., Ryu, J.-H., Kim, T. Y., Lee, C. H., Kim, S. J., Kang, S.-H., Kim, J. C., & Park, M.-J. (2020). Catalytic Technologies for CO Hydrogenation for the Production of Light Hydrocarbons and Middle Distillates. Catalysts, 10(1), 99. https://doi.org/10.3390/catal10010099

