Previous Article in Journal
Generation of Natural-Language Explanations for Static-Analysis Warnings Using Single- and Multi-Objective Optimization
Previous Article in Special Issue
Curiosity-Driven Exploration in Reinforcement Learning: An Adaptive Self-Supervised Learning Approach for Playing Action Games
 
 
Font Type:
Arial Georgia Verdana
Font Size:
Aa Aa Aa
Line Spacing:
Column Width:
Background:
Article

Digital Transformation in Design Education: Exploring the Challenges and Opportunities in Jordanian Higher Education

by
Islam A. Alshafei
1,*,
Samah Mohammed AlDweik
2,
Mahmoud ali Hassouneh
3,
Hanan AbuKarki
4,
Abdellatif A. Jarrar
5 and
Qusai S. Mansour
6
1
Department of Architectural Engineering, Faculty of Engineering, Jerash University, Jerash 26150, Jordan
2
Faculty of Engineering and Design, Department of Interior Design, Middle East University, Amman 11831, Jordan
3
Faculty of Architecture and Design, Al-Ahliyya Amman University, Amman 19328, Jordan
4
Department of Interior Design, Faculty of Architecture & Design, Philadelphia University, P.O. Box 1, Amman 19392, Jordan
5
Applied Art Faculty, National University College of Technology, Amman 22110, Jordan
6
Faculty of Engineering and Design, Department of Graphic Design, Middle East University, Amman 11831, Jordan
*
Author to whom correspondence should be addressed.
Computers 2025, 14(12), 535; https://doi.org/10.3390/computers14120535 (registering DOI)
Submission received: 22 October 2025 / Revised: 27 November 2025 / Accepted: 2 December 2025 / Published: 5 December 2025

Abstract

In recent years, design education has experienced major changes as the number of digital tools and technologies has rapidly developed. Many design programs encounter difficulties in integrating these innovations, despite their potential benefits. In this research, the adoption of digital tools in the teaching of design in Jordanian universities is explored, focusing on the views of educators in relation to their use, the challenges associated with it, and the resultant effects on the pedagogical process. Faculty members working in various departments of design were surveyed gauging the frequency of usage of tools, their knowledge of new technologies, their perceptions of the potential results of an educational process, and the barriers that were met during the integration process. To guide the analysis, three theoretical frameworks were applied: the SAMR model of technology integration, Bloom’s Digital Taxonomy, and the Technology Acceptance Model (TAM). The findings reveal that while traditional tools like AutoCAD and Revit are predominantly used at the Substitution and Augmentation stages, emerging technologies such as VR/AR and AI show potential for higher-order integration. However, barriers related to ease of use and perceived usefulness limit their broader adoption. The study contributes to the understanding of digital transformation in design education and provides insights into the pedagogical implications for future curriculum development. The research highlights the need to invest more in the professional development of educators and to work more closely with the technological industry. The proposed implications of these insights concern the restructuring of design education to reflect the needs of the digital age and provide approaches to overcoming obstacles to the successful adoption of technology in teaching environments.

1. Introduction

Due to the rapid pace of change in technology, the studies of design are experiencing significant change in the digital era [1]. The introduction of digital tools and platforms into design education has radically changed the practices and methods of design learning and practice [2,3]. Evidence shows that digital transformation has significant implications for higher education, and specifically in design fields, it introduces opportunities and challenges in relation to curriculum development, pedagogy, and student engagement [4]. Additional studies show that digital technologies and approaches can efficiently improve design education, thus equipping students to work in a more digital, mobile job industry [5]. The other prominent point of this development relates to the changing pedagogical behavior of teachers and the increased interest in digital means of teaching and learning. This pattern shows how traditional design teaching methods are evolving with the rise in digital technologies, with research examining their potential future effects on design education and the broader professional landscape [6]. A review of the modern tendencies in design education also highlights the influence of software, digital fabrication, and collaborative tools on educators and learners as digital tools start becoming part of design practice [7,8]. Though these global observations exist, there is still a lack of research, especially of a regional nature, particularly in the case of Jordan. Jordanian universities, which are progressively prioritizing integration of technology in education, have not comprehensively explored the impact of digital transformation on design education in the country. The current paper focused on filling this gap by performing a survey of teachers at Jordanian universities in a bid to understand their perceptions, challenges, and plans in terms of integrating digital tools in design education.
This paper uses three established theoretical frameworks to inform the analysis and provide a more in-depth theoretical insight. The degree of technological integration is assessed through the use of the SAMR model [9], which is a continuum of tools that started with simple substitution and ended with transformational change in education. These tools create cognitive levels ranging from basic knowledge retrieval to creative design, and are used to evaluate the level of cognitive engagement created by each tool using Bloom’s Digital Taxonomy [10]. Lastly, the Technology Acceptance Model (TAM) [11] is utilized to examine the factors that determine the adoption of these tools with specific reference to the sense of ease of use and usefulness. The adoption of those theoretical models grounds this study in relevance to Human–Computer Interaction (HCI) and digital pedagogy, and through the implementation of these frameworks—crucial for understanding how digital tools are not merely adopted but integrated into pedagogical practices—it examines their role in supporting active learning, user engagement, and creativity, core tenets of HCI and modern educational technology, while offering a detailed report on the usage of digital tools in design learning, which also illustrates a descriptive and critical overview of the current situation of digital transformation in Jordan.

2. Literature Review

Over the past few years, there has been a growing appeal for using digital technologies in design education, partly because of the need for both educators and learners to stay abreast with an increasingly dynamic educational environment [12]. Online technologies like design software and group work platforms have transformed teaching and practice of design and created new possibilities and problems in education and learning [13]. An increasing number of studies are investigating these changes as a valuable source of information on how digital technologies may either support or disrupt learning [5,14,15].
The use of digital tools has significantly influenced the field of design education by making the process of learning more flexible and interactive [16]. The impact of digital technologies on the field of design education is proven in the studies, which affirm that the tools create a more adaptable and flexible environment of learning [17,18]. Researchers argue that digital technologies have the potential to promote different types of learning, as well as deliver instant feedback, and promote remote teamwork and individual creativity, as well as group problem-solving skills [18]. However, it is recommended that they should be used sparingly: digital tools may be integrated to an extent that will lead to the stifling of critical design thinking [19].
Recent research also highlights the importance of interactive learning environments in fostering the engagement and creativity of students [20]. By using digital tools like software for 3D modeling and collaborative tools, students demonstrate improved interest in learning and experience active exchange during the design process. Also, they explore the digital tools that refine their creative output [21], which demonstrates the need to not only use digital tools but also make sure that the usage of those digital tools facilitates peer interaction and exploration.
Online resources have also been found to be effective in augmenting collaborative work, which is an essential part of design procedures [22]. Education using digital technologies enables collaborative learning, such as cloud-based tools and digital sketching tools that enable real-time feedback and collaboration, irrespective of geographic location [23]. This kind of partnership cannot be avoided in dealing with sophisticated design issues because different perspectives would lead to more innovative ideas. These technologies require the educators as well as the students to become skilled in online communication and teamwork.
Research into the adoption of digital design tools in architectural education within the fields of interior design, architecture, and urban design has compared the conventional learning environment to the digital learning environment with references to the use of computer-aided design software (CAD software), 3D modeling software, and technologies of digital fabrication, like 3D printing and computer numeric control machining [24,25]. Digital tools not only sped up and improved the design process, but they also gave students more freedom to be creative by letting them rapidly construct prototypes and try new things [26]. REVIT is mostly used in building information modeling (BIM)-based processes and is especially applicable in large, data-intensive architectural projects. The software also gives special emphasis on interdisciplinary coordination, thus making it very essential in producing construction documentation [27]. Rhino, in turn, is more focused on complex geometric lines and parametric design; hence, it can afford a greater degree of creative freedom. This is particularly relevant to areas requiring the development of freeform forms, like industrial design and architecture [28]. These technologies bring numerous advantages; nevertheless, they encounter some limitations, such as the high cost and difficulty of obtaining the right tools and the long process of learning that comes with understanding how to use complicated software.
Many studies regarding how digital fabrication changes the way people learn about design have been conducted. This study examined the potential of digital fabrication tools, such as 3D printers and CNC machines, in enhancing the process of design education [29]. The digital tools and technologies have significantly altered the process of prototyping, which enables students to swiftly create physical models of their designs, evaluate their concepts, and implement modifications with greater ease [30]. Students learn more about how things fit together in space and how materials work when they can quickly see and test design ideas in the real world. This bridges the gap between theoretical learning and practical application [31].
A significant progression in design education is the increasing application of virtual reality (VR) and immersive technologies, alongside their integration into design curricula, particularly in spatial design and architecture [32]. VR environments let students interact with their designs in very realistic ways, which helps them comprehend scale, space, and how components are related in space [33]. VR tools give students a chance to explore their designs in a virtual world [11], which makes learning more interactive and helps them understand and solve problems better [34]. However, it is also noted that the high cost of VR technology and the need for specialized training can make it hard for many people to use it [35].
Along with the technological tools themselves, digital platforms that make it easier to learn and work together online are becoming more common in design education [36]. The role of online platforms in design education, especially in remote learning settings, is that they have made design education easier to access by letting students from different places work together on projects [37]. While digital platforms do offer more freedom, they also make it harder for students to connect and feel like they belong to a community [38].
Finally, digital narration is becoming an increasingly popular way to teach design [39], particularly through the use of digital visual narrative in teaching design, especially in architecture and interior design classes [40]. Using technology to communicate helps students share their design ideas and also improves their narrative abilities and creative skills. Students learn to think critically about how design elements and communication work together when they make digital stories [41]. This is an important skill in many design fields [42], where the success of digital narratives relies on instructors’ capacity to navigate students through the process and offer constructive feedback [43,44].
These studies show that digital technologies have a complicated effect on design education. There are a lot of good things about using them, like more freedom, creativity, and teamwork. However, some problems need to be fixed. These include making sure that everyone has equal access to digital tools, establishing the right balance between creativity and technical skill, and figuring out how to manage digital collaboration well. As digital tools keep changing, we need to do more research to find out how they impact design education in the long run and how to use them in class best [45,46,47,48].

3. Materials and Methods

3.1. Research Design

This study employed a survey-based research design to examine the integration of digital tools in architecture and interior design education at Jordanian universities. The primary objective was to ascertain the utilization of these tools by educators, their proficiency with them, and their impact on students’ creativity and engagement in learning. The methodological structure of the study is summarized in Figure 1.

3.2. Survey Objectives

  • Evaluation of the familiarity and frequency of use of various digital tools in design education.
  • Determine how people think these tools will affect teaching and learning outcomes.
  • Identify challenges in integrating these tools into curricula.
  • Examine the role of emerging technologies (e.g., AI, VR) in design education.

3.3. Survey Structure and Tool Selection

The survey was structured around eight categories of digital tools commonly used in design education and as prevalent in relevant reviewed studies:
  • CAD and BIM Software: Tools for architectural design and modeling (e.g., AutoCAD, Revit, Rhino).
  • Parametric and Algorithmic Design Software: Tools for generative and algorithmic design (e.g., Grasshopper, Dynamo, Houdini).
  • 3D Modeling and Rendering Tools: Tools for visualizing and rendering design concepts (e.g., Lumion, V-Ray, 3ds Max).
  • Digital Fabrication and Prototyping Tools: Tools for creating physical prototypes (e.g., 3D printers, CNC machines).
  • Virtual and Augmented Reality Tools: Tools for immersive and interactive design (e.g., Unreal Engine, Unity).
  • Collaborative Design and Communication Tools: Tools for teamwork and project management (e.g., Miro, Figma, Google Drive).
  • Image Editing and Post-Production Software: Tools for editing and presenting design visuals (e.g., Photoshop, Illustrator).
  • AI Tools for Design: AI-driven tools for design generation and editing (e.g., Runway ML, DALL·E).
Even though eight categories of digital tools are assessed in this study, the wide range is not accidental. The target is to acquire an entire picture of the current adoption of various technologies, such as the CAD/BIM software, newly developed applications, such as VR/AR, and AI usage in the design education in Jordan. This approach to the methodology allows visualizing the entire picture of the digital transformation instead of focusing on the specific tools. The patterns of comparison that arise between these categories provide an understanding of the maturity of the adoption of digital and the trends in pedagogy that can be observed within design programs.

3.4. Survey Design and Implementation

The survey used closed-ended questions with a Likert scale to measure:
  • Familiarity with the tools (Very Familiar, Somewhat Familiar, Not Familiar).
  • Usage frequency (Daily, Weekly, Monthly, Rarely).
  • Educational impact (Strongly Agree, Agree, Neutral, Disagree).
  • Challenges (e.g., software cost, lack of training, limited access to computers).
A total of 100 educators from 20 universities (both private and public) offering architecture and interior design programs participated, resulting in a 75% response rate.

3.5. Data Analysis

Data were analyzed using descriptive statistics (means and percentages) to
  • Identify the most commonly used tools across all categories.
  • Assess familiarity with each tool.
  • Evaluate the perceived educational impact of the tools.
  • Identify the challenges educators face in implementing these tools in their teaching.

3.6. Statistical Analysis for Significance

To assess the significance of differences across tool categories, the following statistical tests were performed:
  • Chi-Square Test of Independence: This test was used to assess whether there were significant differences in familiarity, usage frequency, and challenges across the eight tool categories.
    -
    Null Hypothesis (H0): There is no significant difference across the categories.
    -
    Alternative Hypothesis (H1): There is a significant difference across the categories.
    -
    Significance Level: A p-value < 0.05 was considered statistically significant, indicating a significant difference between tool categories.
2.
T-Test for Independent Samples: This test was used to compare the perceived educational impact between tool categories. It compared responses of “Strongly Agree” and “Agree” regarding educational impact, determining whether there were significant differences in perceptions of the tools’ educational value.
-
Null Hypothesis (H0): There is no significant difference in the educational impact between tool categories.
-
Alternative Hypothesis (H1): There is a significant difference in the educational impact between tool categories.
-
Significance Level: A p-value < 0.05 was used to assess statistical significance. If the p-value was below 0.05, the null hypothesis was rejected, indicating a significant difference in perceived educational impact across tool categories.

3.7. Data Collection and Grouping

The respondents were grouped based on
  • Faculty experience: 50% junior faculty (0–5 years) and 50% senior faculty (6+ years).
  • Discipline: 65% architecture faculty and 35% interior design faculty.
Furthermore, the data used in this study were fully anonymized and did not contain identifiable human subject information; therefore, informed consent was not required.

3.8. Statistical Software

Data analysis was conducted using SPSS (Statistical Package for the Social Sciences, version 30). The Chi-Square and T-tests were chosen due to their ability to analyze categorical and continuous data, respectively. For both tests, the threshold for statistical significance was set at a p-value < 0.05.

3.9. Applying Widely Recognized Theoretical Frameworks

This study uses three theoretical frameworks, i.e., SAMR, Bloom’s Digital Taxonomy, and Technology Acceptance Model (TAM), to understand the integration of digital tools in design education. A detailed description of the operationalization of each framework in the context of the present investigation follows below.
  • The SAMR model (Substitution, Augmentation, Modification, and Redefinition) will be used to evaluate the level of technological integration that was demonstrated by the digital tools that were used for design education.
    -
    Procedure: Survey data will be analyzed, and each digital tool will be classified by one of the four SAMR stages. This classification will be based on the educators’ reports on the usage of the tools in their practices.
    -
    Substitution: Tools that replace conventional methods but do not change the education experience much.
    -
    Augmentation: Tools that offer improvements over traditional methods and, thus, functional enhancements that are added to the learning process.
    -
    Modification: Tools that allow for a great deal of redesign of learning tasks, thus enabling more creative and complex design work.
    -
    Redefinition: Tools that give rise to new tasks that are previously inconceivable and, thus, provide transformative learning experiences.
b.
Bloom’s Digital Taxonomy will be used to assess cognitive engagement promoted in each digital tool. The taxonomy outlines a hierarchy of cognitive skills from the lower-order to the higher-order thinking.
-
Procedure: For each tool, data will be surveyed to determine which cognitive levels are supported the most. Tools will be evaluated based on the types of tasks that they will allow students to do.
-
Lower-order cognitive tasks, such as Remembering and Applying, will be associated with tools that support basic design functions (e.g., AutoCAD).
-
Higher-order cognitive tasks that will be linked to tools that foster creativity and increased engagement with the design process (e.g., VR/AR).
c.
The Technology Acceptance Model will be used for the evaluation of perceived ease of use and perceived usefulness of each digital tool, as these perceptions impact the propensity to use the tools in educational settings.
-
Procedure: Respondents in the survey will be asked to rate each tool in terms of perceived ease of use and perceived usefulness. These ratings will then be analyzed to see which attributes—ease of use, usefulness, or both—are most important for adoption.
-
Perceived Ease of Use: How easy the educators feel the tool is to use, with little effort or special training required.
-
Perceived Usefulness: How much educators perceived that the use of the tool increased the effectiveness of teaching and student learning outcomes [9,10,11].

4. Results

The survey was completed by 100 respondents from 20 universities (both private and governmental) offering architecture and interior design programs. The data provides insights into how these tools are perceived and used in design education in Jordan. Taking into account that the number of universities contributing is 20 (13 with Architecture departments, 7 with Interior Design departments, and some universities offering both), the number of respondents per university was 5 respondents, bringing the total respondents participating in the study from the 20 universities to 100 respondents.

4.1. Data Analysis Results

The descriptive analysis Results Section is presented with the following structure for each of the eight categories:
  • Familiarity: Present the familiarity data, followed by the chart and its interpretation.
  • Usage Frequency: Present the usage frequency data, followed by the chart and its interpretation.
  • Educational Impact: Present the educational impact data, followed by the chart and its interpretation.
  • Challenges: Present the challenges data, followed by the chart and its interpretation.

4.1.1. Results Section for the First Category; CAD/BIM Tools

A.
Familiarity with CAD/BIM Tools, as shown in Table 1.
Results from this analysis show that AutoCAD and SketchUp have the highest familiarity, with 80% and 75% of respondents being very familiar with them, respectively. This indicates that these tools are well-established and commonly used in design education. While Revit and Archicad have lower familiarity levels (65% and 55%), suggesting that these tools are important but less universally recognized or adopted compared to AutoCAD. And finally, Rhino shows the lowest level of familiarity, with only 40% of respondents reporting high familiarity, possibly reflecting its more specialized use.
B.
Usage Frequency of CAD/BIM Tools, as shown in Table 2.
Results from this analysis show that SketchUp has the highest daily usage (60%), followed by AutoCAD (50%). These tools are used most frequently, suggesting their importance in daily design tasks. Revit shows moderate usage, with 25% of respondents using it daily and 40% using it weekly. This reflects its importance but indicates it may not be integrated into daily teaching. Meanwhile, Rhino and Archicad are used less frequently, with only 10% of respondents using Rhino daily. These tools are likely used for more specialized tasks and may require additional training or resources.
C.
Educational Impact of CAD/BIM Tools, as shown in Table 3.
Results from this analysis show that SketchUp has the highest positive impact, with 80% of educators strongly agreeing that it enhances student learning. Its ease of use and visualization capabilities make it an essential tool in design education. AutoCAD also shows a strong impact, with 70% strongly agreeing that it improves teaching and learning. Revit has a more mixed impact, with only 40% strongly agreeing. Given its complexity, educators may need more training to integrate it into teaching fully. And finally, Rhino shows a lower educational impact, with only 20% strongly agreeing. This could be due to its specialized nature and higher learning curve.
D.
Challenges in Using CAD/BIM Tools, as shown in Table 4.
Results from this analysis show that the most significant challenge reported for all tools is the high software cost (60%). This reflects the expensive licensing for professional design tools, which may limit access in educational institutions. Lack of training and limited access to computers were also significant barriers, especially for tools like Revit and Rhino that require specialized hardware and expertise. Technical difficulties were less common but still notable for tools like Rhino (35%) and Revit (30%), possibly indicating the complexity of these tools.
The following are the charts corresponding to the descriptive analysis for the Results Section for the first category, CAD/BIM tools, as shown in Figure 2.

4.1.2. Results Section for the Second Category; Parametric and Algorithmic Design Software

A.
Familiarity with Parametric and Algorithmic Design Software, as shown in Table 5.
Results from this analysis show that Grasshopper (for Rhino) has the highest familiarity, with 70% of respondents being very familiar with it. This is consistent with its widespread use in architectural and design education, especially in programs that focus on parametric design. Dynamo (for Revit) shows a moderate level of familiarity, with 50% of respondents reporting that they are very familiar with it. Dynamo is used in BIM workflows but is not as universally known as Grasshopper, reflecting its specialized application. Houdini and TouchDesigner have lower familiarity levels, with 30% and 20% of respondents being very familiar with them, respectively. These tools are more specialized for advanced design and animation, which may explain their lower adoption rate in standard design curricula.
B.
Usage Frequency of Parametric and Algorithmic Design Software, as shown in Table 6.
Results from this analysis show that Grasshopper is the most commonly used tool on a daily basis, with 40% of respondents using it regularly. This highlights Grasshopper’s importance in design education, particularly in courses focused on parametric design and computational design methods. Dynamo is used more moderately, with 20% of respondents using it daily. This suggests that while Dynamo is important in BIM environments, it may not be as frequently used as Grasshopper in non-BIM-focused design curricula. Houdini and TouchDesigner have much lower daily usage, with 10% and 5% of respondents using them daily, respectively. These tools are likely reserved for more advanced, specialized design courses and are not yet integrated into the core curriculum for most design programs.
C.
Educational Impact of Parametric and Algorithmic Design Software, as shown in Table 7.
Results from this analysis show that Grasshopper shows the strongest educational impact, with 60% of respondents strongly agreeing that it enhances teaching and learning. Its integration with Rhino allows for rapid design exploration and facilitates computational thinking, making it a powerful educational tool in design studios. Dynamo also shows a positive impact, with 40% of respondents strongly agreeing that it improves education. As a tool for integrating design and BIM workflows, it has a strong educational impact, particularly for students learning BIM processes. Houdini and TouchDesigner have lower perceived educational impact, with only 25% and 15% strongly agreeing, respectively. While these tools are powerful for 3D modeling and animation, they are more specialized and may not have widespread educational application in general design programs.
D.
Challenges in Using Parametric and Algorithmic Design Software, as shown in Table 8.
Results from this analysis shows that high software cost is the most common challenge, reported by 60% of respondents across all tools. This highlights the barrier that the high cost of professional-grade software (like Rhino, Revit, Houdini, etc.) can have in limiting access to these tools, especially in institutions with constrained budgets. Lack of training is the second most common challenge, with 55% of respondents citing it, particularly for more advanced tools like Houdini and TouchDesigner. This indicates that even when tools are available, educators may lack the resources or expertise to teach them effectively. Limited access to computers is also an important challenge, reported by 45% of respondents, reflecting the fact that some of these tools require significant computational power, which may not be available in all institutions. Technical difficulties are reported by 40% of respondents, particularly for TouchDesigner and Houdini, which may be more complex to use and integrate into educational curricula.
The following are the charts corresponding to the descriptive analysis for the Results Section for the Second Category, Parametric and Algorithmic Design Software, as shown in Figure 3.

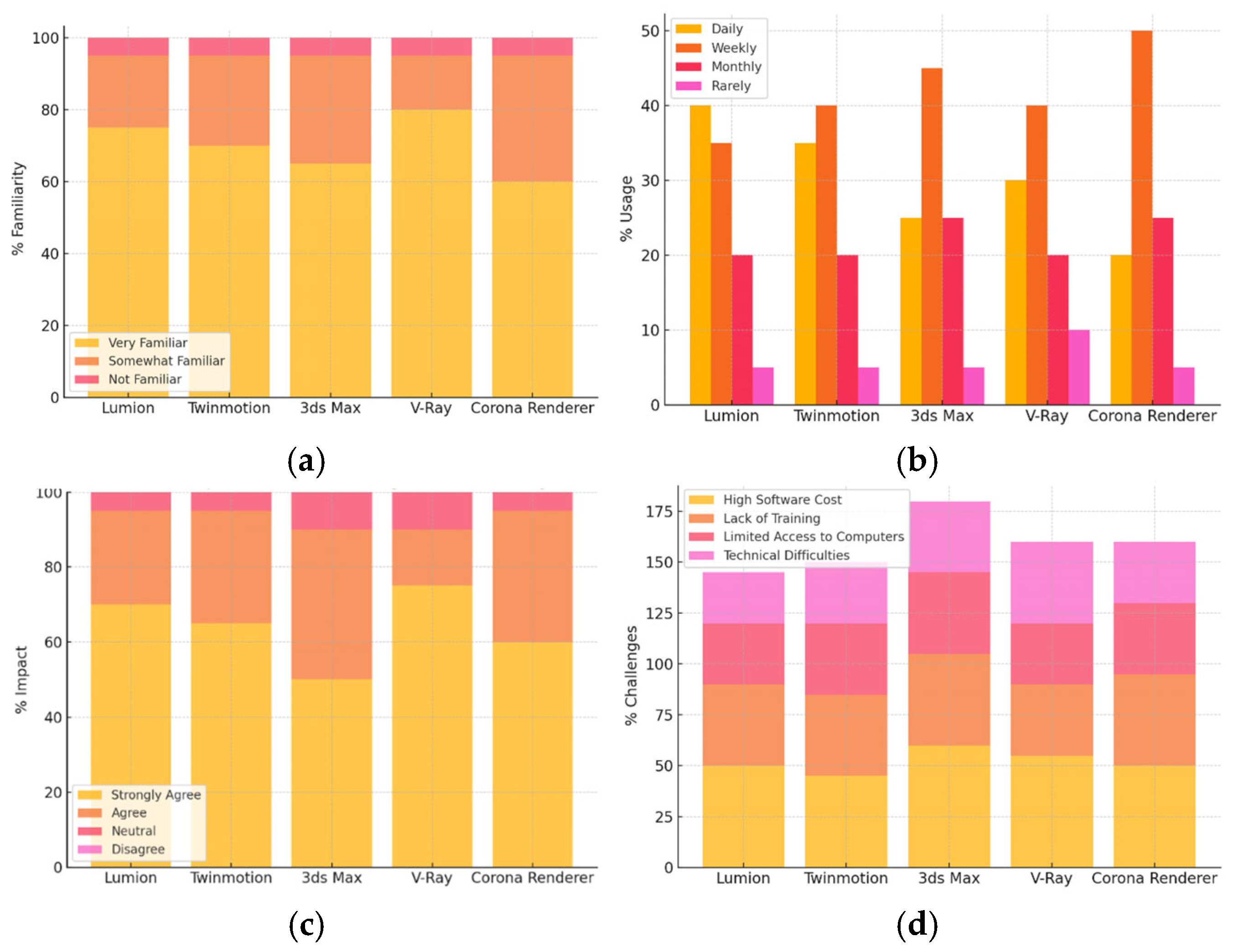
4.1.3. Results Section for the Third Category; 3D Modeling and Rendering Tools

A.
Familiarity with 3D Modeling and Rendering Tools, as shown in Table 9.
Results from this analysis show that V-Ray is the most familiar tool, with 80% of respondents reporting being very familiar with it. This reflects its widespread use in design education and industry for rendering purposes. Lumion and Twinmotion also have high familiarity rates, with 75% and 70% of respondents being very familiar, respectively. These tools are popular for their user-friendly interfaces and real-time rendering capabilities. 3ds Max shows moderate familiarity, with 65% reporting a high level of familiarity. While it is widely used in professional design settings, it may be less commonly incorporated into design education compared to tools like V-Ray. Corona Renderer has the lowest familiarity at 60%, though still relatively high. Its use in educational settings may be more recent or less prevalent than the other tools.
B.
Usage Frequency of 3D Modeling and Rendering Tools, as shown in Table 10.
The analysis shows that Lumion and Twinmotion have the highest percentage of daily usage, with 40 percent and 35 percent of the respondents, respectively, indicating that they use the tools daily. They are effective because of their fast-processing speeds and user-friendly interfaces, which ensure that realistic visualizations are produced. Three-de-eight-seo (3ds 3Ds Max) shows moderate usage or 25 percent of respondents; its relatively complex nature could restrict its ease of use in everyday classroom use by some individuals. The frequency of V-Ray and Corona Renderer is utilized at a lower rate on a daily basis, with the daily use reported at 30, indicating that people use it daily, and 20 say that they use it daily. These are also highly specialized applications, with the workflow of producing high-quality rendering often requiring more time and computation capacity to produce detailed visualization.
C.
Educational Impact of 3D Modeling and Rendering Tools, as shown in Table 11.
The same analytical framework reveals that V-Ray has an outstanding educational presence, with 75 percent of the respondents providing a high recommendation of effectiveness in the promotion of teaching and learning. The high fidelity and versatility of the tool make it a great asset in the design pedagogy. Lumion and Twinmotion also exhibit a high positive impact, with 70 percent and 65 percent of teachers confirming that they contribute to student learning, respectively. Their ability to provide real-time visualizations is particularly useful in enabling them to perform quick design iterations. Three-de-e-eight-seo is moderately positive; 50 percent of the respondents claim to agree with it strongly, but its complexity might require further training and practice, yet it provides advanced functionality to build complex 3D constructions. Corona Renderer has slightly less impact when compared to V-Ray, but is still positive, where 60 percent strongly agreed that it maximizes educational output. The high-quality design communication is supported by the photorealism of the tool.
D.
Challenges in Using 3D Modeling and Rendering Tools, as shown in Table 12.
Results from this analysis show that high software cost is the most significant challenge across all tools, with 60% of respondents reporting this challenge for 3ds Max. The high cost of professional software licenses is a common barrier to their widespread use in educational settings. Lack of training is also a notable challenge, particularly for tools like 3ds Max and Corona Renderer, where 45% of respondents report this barrier. This highlights the need for professional development and training to integrate these tools into curricula effectively. Limited access to computers is a challenge, especially for tools that require high-performance hardware, such as 3ds Max and V-Ray. Technical difficulties were less common but still notable, particularly for V-Ray, where 40% of educators reported challenges in handling the tool’s complex settings. The following are the charts corresponding to the descriptive analysis for the Results Section for the Third Category: 3D Modeling and Rendering Tools, as shown in the charts in Figure 4.

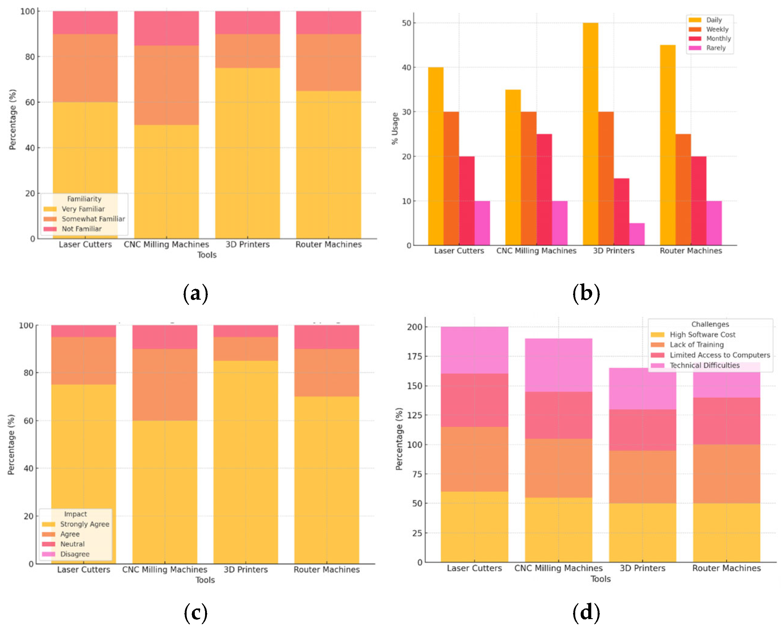
4.1.4. Results Section for the Fourth Category; Digital Fabrication and Prototyping Tools

A.
Familiarity with Digital Fabrication and Prototyping Tools, as shown in Table 13.
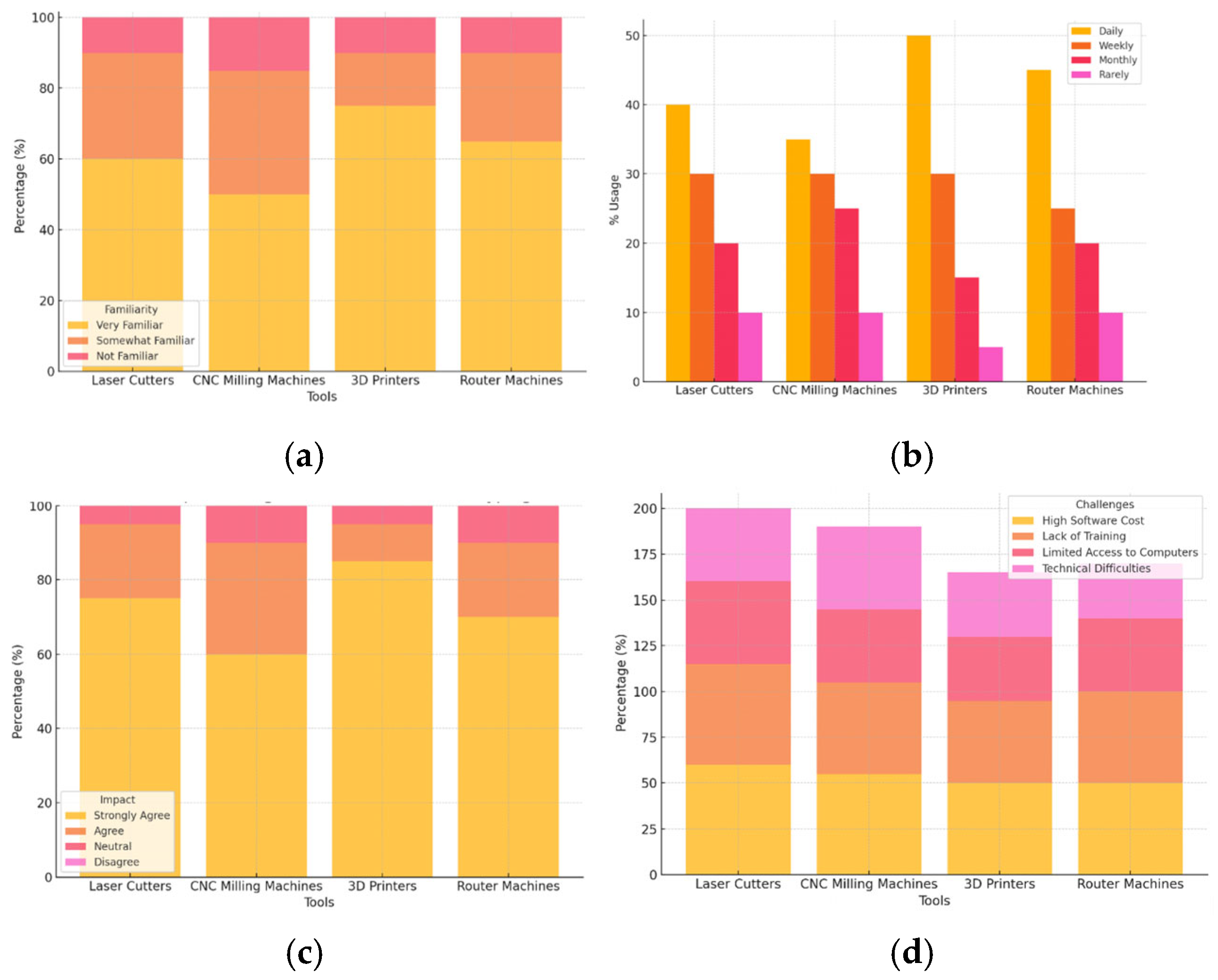
Regarding familiarity, the 3D printers have the most recognition, with 75% of respondents indicating high familiarity. This tool is widely used in academic and professional environments to prototype quickly and is becoming a part of design courses. The moderate familiarity is reached by laser cutters and router machines, which have the reported levels of 60 and 65%, respectively; these tools are predominantly used in the production of precise and detailed models, albeit with specialized knowledge. CNC milling machines are the least familiar, with 50% of the participants reporting a high familiarity. Although they are common in industrial and architectural fabrication, they are also not as commonly used in design education programs as 3D printers.
B.
Usage Frequency of Digital Fabrication and Prototyping Tools, as shown in Table 14.
Daily use analysis shows that 3D printers are the most used, with 50% of the respondents reporting daily usage. This trend indicates increased accessibility and teaching integration of 3D printing in design education for rapid prototyping. Laser cutters and router machines also demonstrate moderate usage with 40% and 45 percent daily use, respectively; these tools are necessary to make precise fabrication but are not used as often as 3D printers. CNC milling machines show the lowest usage per day, with 35 percent of the participants using the machines weekly, which indicates that their application is more associated with sophisticated fabrication operations than everyday teaching.
C.
Educational Impact of Digital Fabrication and Prototyping Tools, as shown in Table 15.
The last evaluation of educational impact signifies that the role of 3D printers has the strongest impact, with 85% of the respondents strongly supporting this as a tool to enhance teaching and learning. This was influenced by their versatility and continued spread to design education. Laser cutters and router machines also exhibit a positive effect, with 75% and 70% of respondents saying that the tools have improved learning outcomes, respectively. These tools are essential for accuracy work and may significantly enliven practical designing experiences. The influence of CNC milling machines is somewhat more uneven, with 60% of the respondents strongly agreeing that the machines might help in enhancing education, reflecting a more specialized use in the wider education spectrum.
D.
Challenges in Using Digital Fabrication and Prototyping Tools, as shown in Table 16.
The results show that high software cost is the main bottleneck in all digital fabrication tools, with laser cutters (60%) and CNC milling machines (55%) being the most vulnerable. Next in line is the lack of training, especially among laser cutters (55%) and CNC milling machines (50%), which demonstrates the need to have specific knowledge. Limited access to computing facilities affects all devices, but with a significant effect on 3D printers (35%), this further intensifies the need to have high-performance hardware. Although the technical complications are less common, they are still consequential, especially the router machines (30%), with the lowest rate of occurrence. The leading barriers that hinder the successful implementation of these technologies into design pedagogy include cost, training, and availability of resources, collectively.
The following are the charts corresponding to the descriptive analysis for the Results Section for the Fourth Category, Digital Fabrication and Prototyping Tools, as shown in Figure 5.

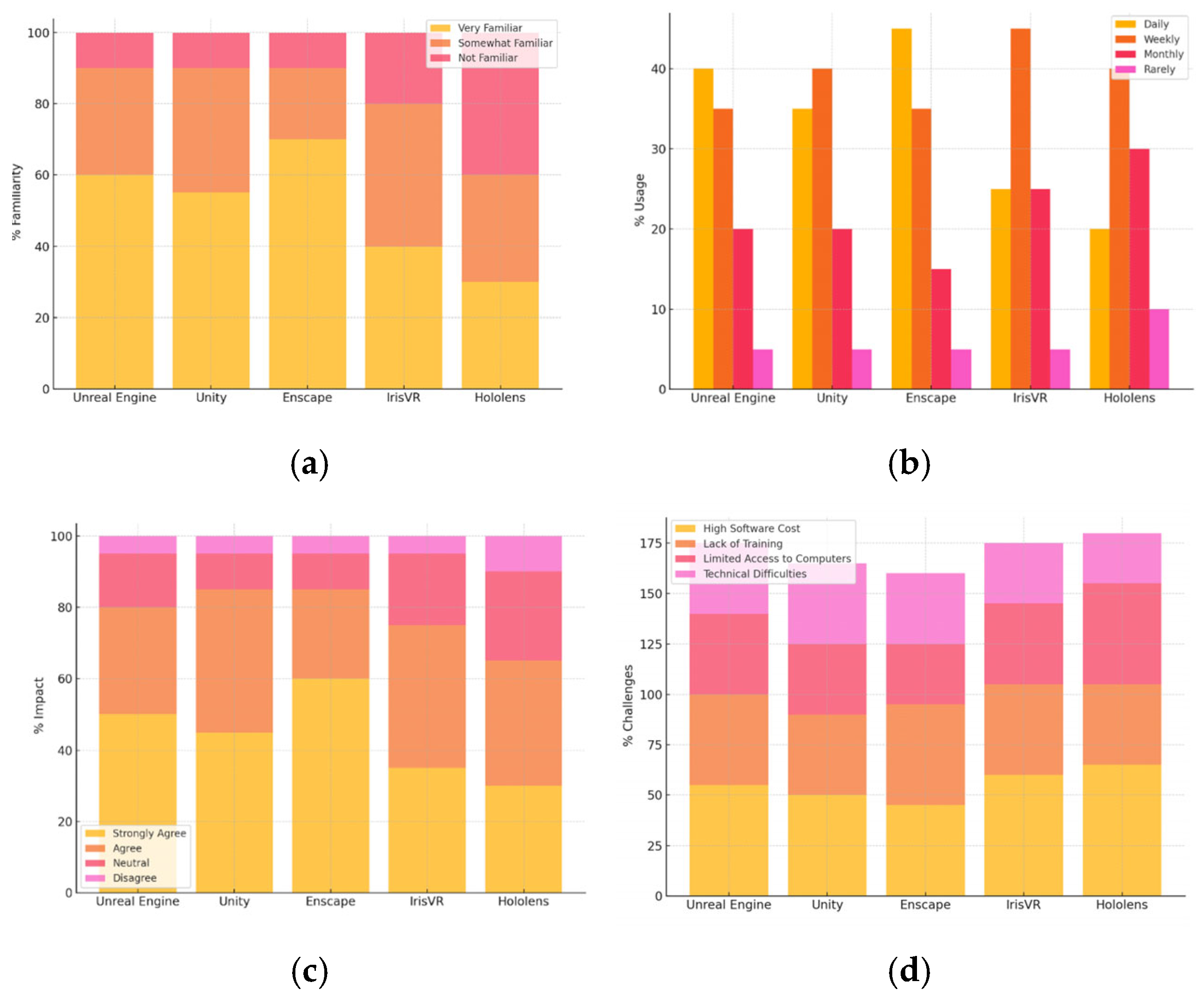
4.1.5. Results Section for the Fifth Category; Virtual and Augmented Reality Tools

A.
Familiarity with Virtual and Augmented Reality Tools, as shown in Table 17.
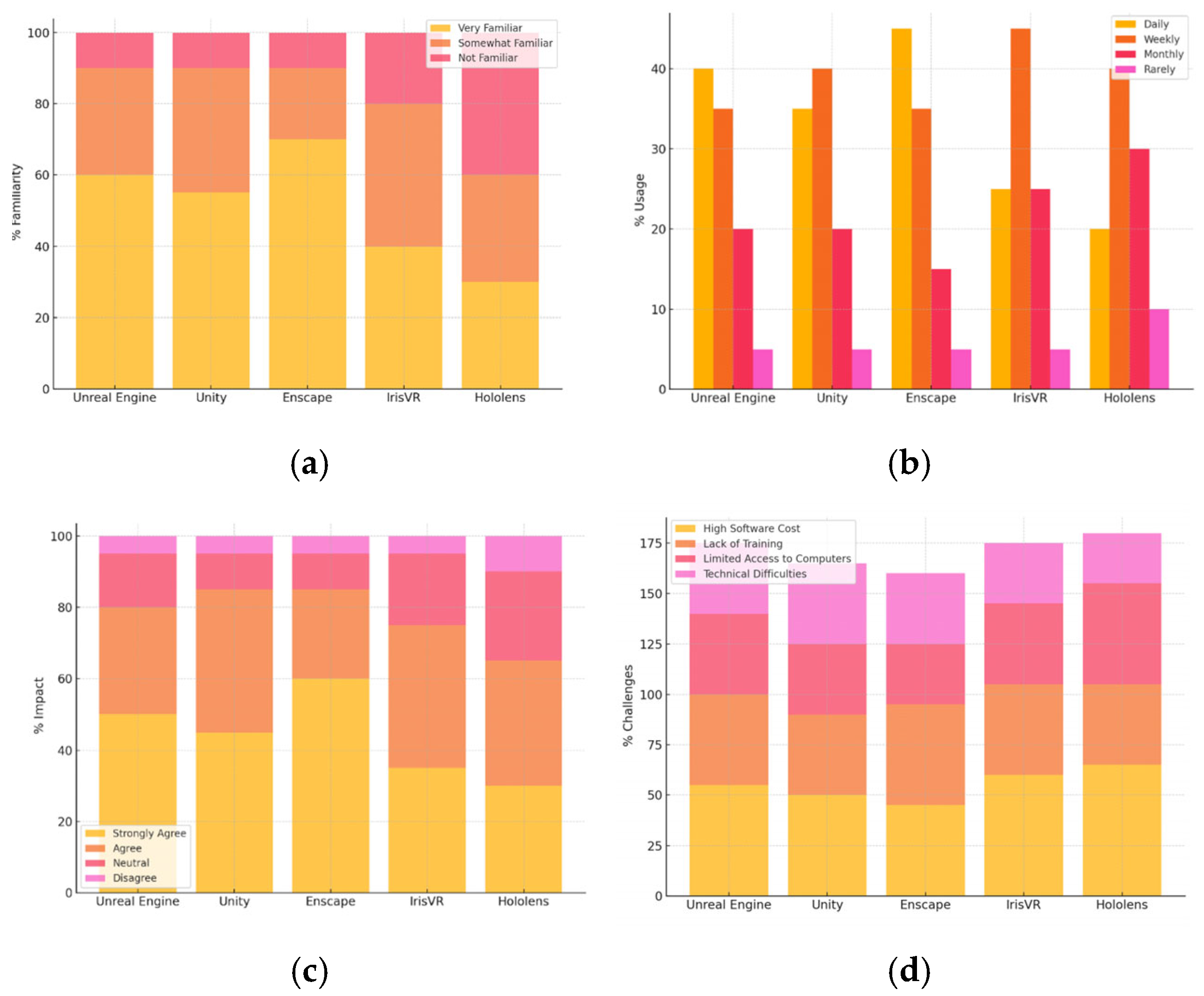
Results from this analysis show that Enscape is the most familiar tool, with 70% of respondents being very familiar with it. It is widely used in design education for immersive visualizations. Unreal Engine and Unity also have a strong familiarity rate of 60% and 55%, respectively. These tools are well-known for their interactive and immersive capabilities in design education. IrisVR and Hololens have lower familiarity levels, with 40% and 30% of respondents being very familiar. These tools are more specialized and may not yet be integrated into the core curricula of many design programs.
B.
Usage Frequency of Virtual and Augmented Reality Tools, as shown in Table 18.
Results from this analysis show that Enscape has the highest daily usage at 45%, followed by Unreal Engine and Unity at 40% and 35%, respectively. These tools are frequently used in design studios for immersive visualizations. IrisVR and Hololens are used less frequently, with 25% and 20% using them daily, indicating that these tools might be more specialized or used in specific courses. IrisVR and Hololens show relatively high weekly usage, with 45% and 40% using them regularly, indicating that they are still being integrated into the curriculum but with moderate frequency.
C.
Educational Impact of Virtual and Augmented Reality Tools, as shown in Table 19.
Results from this analysis show that Enscape has the highest positive impact, with 60% of educators strongly agreeing that it enhances teaching and learning. Its real-time rendering capabilities make it a powerful tool for design education. Unreal Engine and Unity also show strong educational impact, with 50% and 45% of educators strongly agreeing. These tools support immersive and interactive learning experiences. IrisVR and Hololens show a more mixed impact, with 35% and 30% strongly agreeing. While these tools are impactful for certain educational contexts, their specialized nature might limit their widespread application.
D.
Challenges in Using Virtual and Augmented Reality Tools, as shown in Table 20.
Results from this analysis show that high software cost is the most significant challenge across all tools, with 65% of respondents citing it for Hololens and 60% for IrisVR. The high cost of VR/AR hardware and software licenses is a common barrier in educational settings. Lack of training is also a major issue, with 50% of respondents citing it for Enscape. This suggests a need for more professional development and resources to fully integrate these tools into design education. Limited access to computers is a significant challenge, particularly for Hololens, with 50% of respondents indicating this as a barrier. VR/AR tools often require high-performance computers or specialized hardware, which may not be available in all institutions. Technical difficulties were reported by 35% of respondents for Unreal Engine and Unity, indicating that while these tools offer great potential, they may require more technical expertise to integrate into the curriculum effectively.
The following are the charts corresponding to the descriptive analysis for the Results Section for the Fifth Category, Virtual and Augmented Reality Tools, as shown in Figure 6.

4.1.6. Results Section for the Sixth Category; Image Editing and Post-Production Tools

A.
Familiarity with Image Editing and Post-Production Software, as shown in Table 21.
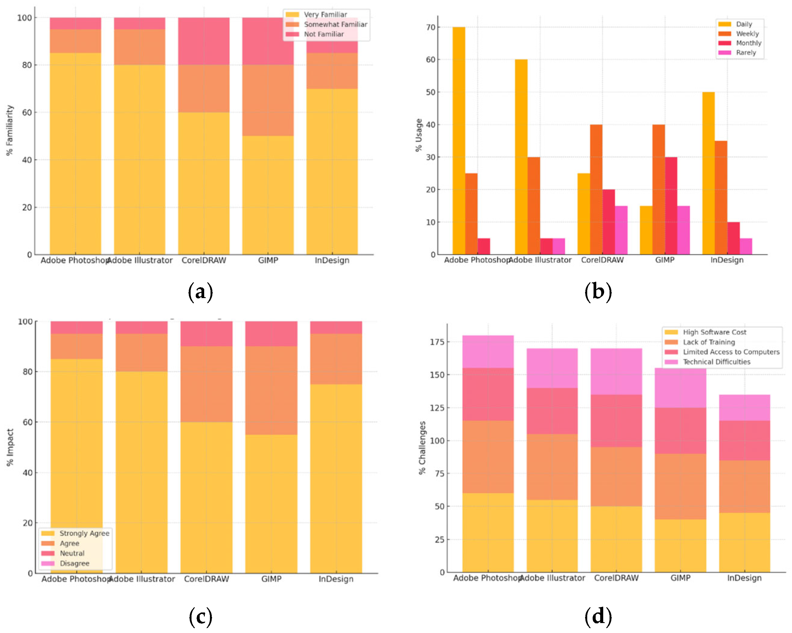
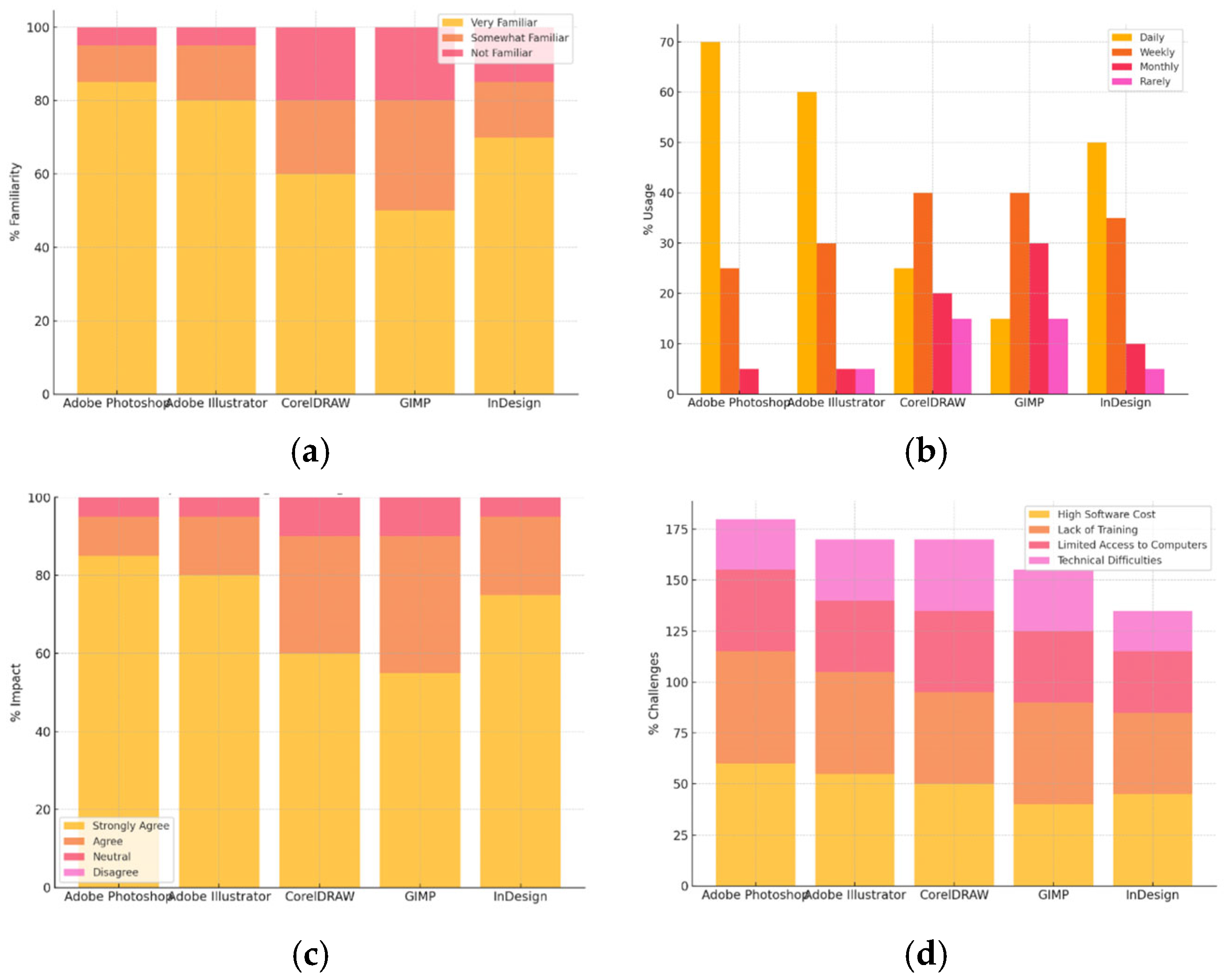
Results from this analysis show that Adobe Photoshop is the most familiar tool, with 85% of respondents being very familiar with it. This reflects its widespread use in both professional design and educational settings for editing and enhancing visual content. Adobe Illustrator follows closely, with 80% of respondents being very familiar, confirming its significant role in vector graphic design. InDesign also shows high familiarity at 70%, as it is essential for layout design and final presentation work. CorelDRAW and GIMP have lower familiarity rates, with 60% and 50%, respectively, but still indicate solid usage in certain educational contexts, particularly in open-source environments (GIMP) and in traditional design settings (CorelDRAW).
B.
Usage frequency of Image Editing and Post-Production Software, as shown in Table 22.
The results of this survey show that 70% of the people who answered use Adobe Photoshop every day. This shows that it is an important part of design education for things like editing images, changing the way they look, and making them look better. Adobe Illustrator is also used a lot every day, at 60%, which makes sense because it is important for making designs and illustrations. Half of the people who answered said they use InDesign every day, which shows how important it is for layout and presentation design. CorelDRAW and GIMP are used less often every day, with 25% and 15% of users, respectively. However, both tools are still used a lot, especially in some specialized design courses or for open-source projects.
C.
Educational Impact of Image Editing and Post-Production Software, as shown in Table 23.
Results from this analysis show that Adobe Photoshop has the highest educational impact, with 85% of educators strongly agreeing that it enhances teaching and learning. Its role in image manipulation, retouching, and creating design assets makes it indispensable in design education. Adobe Illustrator follows closely, with 80% of respondents strongly agreeing about its positive impact, highlighting its effectiveness in vector-based graphic design. InDesign also has a strong educational impact, with 75% of respondents strongly agreeing that it helps in layout design and final presentation work. CorelDRAW and GIMP show moderate educational impact, with 60% and 55% strongly agreeing, indicating their relevance in some design curricula, particularly in more traditional or open-source contexts.
D.
Challenges in Using Image Editing and Post-Production Software, as shown in Table 24.
Results from this analysis show that high software cost is the most significant challenge for all tools, particularly for Adobe Photoshop and Illustrator, with 60% and 55% of respondents reporting it. The high cost of licensing for these industry-standard tools can be a barrier in educational environments, especially in institutions with limited budgets. Lack of training is a notable issue, reported by 55% of respondents for Photoshop and 50% for Illustrator, indicating that educators may need more professional development or resources to teach these tools effectively. Limited access to computers is a challenge for all tools, particularly for Photoshop, Illustrator, and CorelDRAW, where 40% to 60% of respondents reported this issue. These tools often require high-performance computers, which may not be available in all institutions. Technical difficulties were less common but still notable, especially for CorelDRAW and GIMP, where 35% and 30% of respondents cited this barrier. These issues may be related to compatibility or software setup.
The following are the charts corresponding to the descriptive analysis for the Results Section for the Sixth Category, Image Editing and Post-Production Tools, as shown in Figure 7.

4.1.7. Results Section for the Seventh Category; Collaborative Design and Communication Tools

A.
Familiarity with Collaborative Design and Communication Tools, as shown in Table 25.
The familiarity data show a relatively high recognition of Google Drive (80%) and Trello (70%) as well-established tools in design education. In contrast, tools like Figma and Slack are moderately familiar but not as universally used.
B.
Usage frequency of Collaborative Design and Communication Tools, as shown in Table 26.
The usage frequency data indicate that Google Drive is used most frequently (60% daily), followed by Trello (50%). However, tools like Miro and Figma are used less frequently.
C.
Educational Impact of Collaborative Design and Communication Tools, as shown in Table 27.
The educational impact data show a positive effect across all tools, with Google Drive and Trello leading in strong agreement for enhancing teaching and learning.
D.
Challenges in Using Collaborative Design and Communication Tools, as shown in Table 28.
The most common challenge faced across all tools is a lack of training, followed by high software costs. The following are the charts corresponding to the descriptive analysis for the Results Section for the Seventh Category, Collaborative Design and Communication Tools, as shown in Figure 8.

4.1.8. Results Section for the Eighth Category: AI Tools for Design Generation, Editing, and Automation Tools

A.
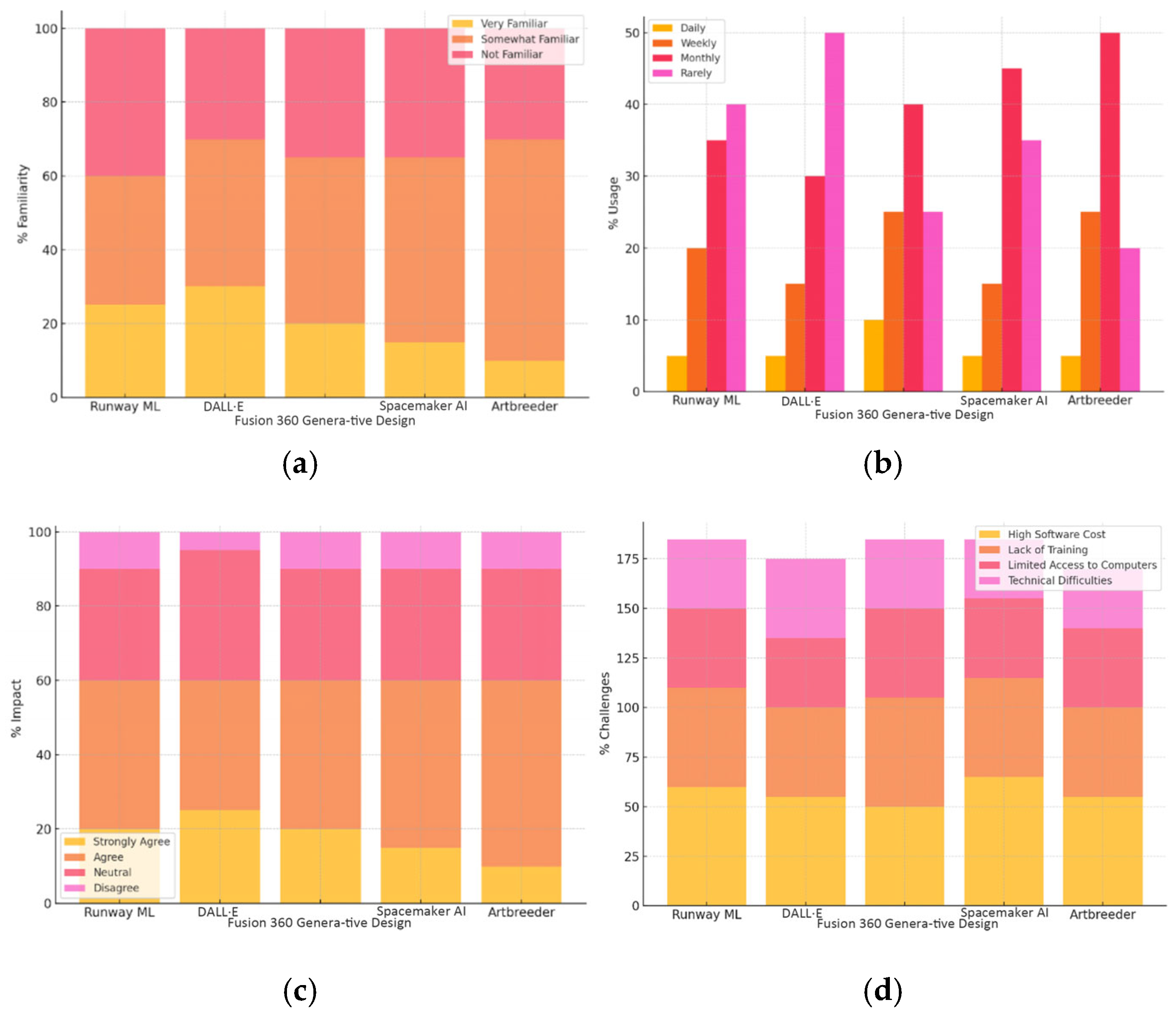
Familiarity with AI Tools for Design Generation, Editing, and Automation, as shown in Table 29.
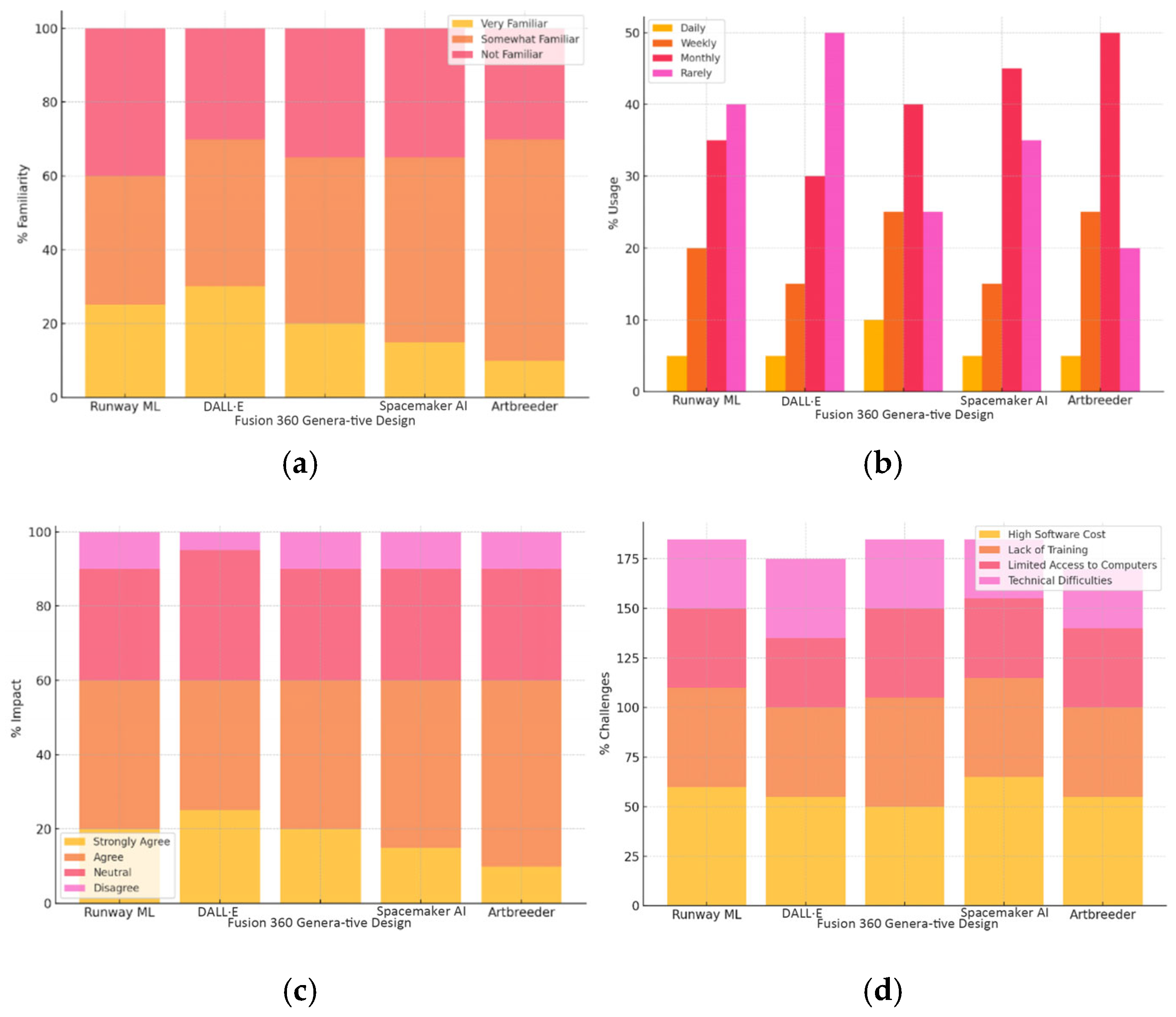
Results from this analysis show that DALL·E has the highest familiarity, with 30% of respondents being very familiar with it. As an AI tool focused on generating images from text descriptions, it has made a significant impact in creative fields. Runway ML follows closely with 25% familiarity, indicating its growing presence in design education for AI-driven design generation. Fusion 360 Generative Design has 20% familiarity, which reflects its more specialized application in engineering and architecture design. Spacemaker AI and Artbreeder have lower familiarity rates, with 15% and 10%, respectively, indicating that these tools are still relatively niche in the design education sector.
B.
Usage Frequency of AI Tools for Design Generation, Editing, and Automation, as shown in Table 30.
Results from this analysis show that Fusion 360 Generative Design has the highest daily usage at 10%, suggesting it is utilized in more specialized courses focusing on generative design and parametric modeling. Runway ML and DALL·E are used more on a monthly or rarely basis, with 35% and 30% of respondents using them monthly, indicating that while these tools are seen as valuable, they may not yet be integrated into day-to-day curricula. Spacemaker AI and Artbreeder show lower daily usage, with only 5% using them regularly, but both tools are utilized in more advanced or experimental contexts.
C.
Educational Impact of AI Tools for Design Generation, Editing, and Automation, as shown in Table 31.
Results from this analysis show that DALL·E has the strongest perceived educational impact, with 25% of educators strongly agreeing that it enhances teaching and learning, particularly in creative and conceptual design contexts. Runway ML also shows a positive impact, with 20% of respondents strongly agreeing that it improves education. As an AI platform for creative applications, it has a unique role in generating design ideas. Fusion 360 Generative Design and Spacemaker AI show a moderate impact, with 20% of educators strongly agreeing on their educational value. These tools are highly specialized and used for specific applications in generative and architectural design. Artbreeder has the lowest educational impact but still shows some potential, with 10% of educators strongly agreeing about its usefulness in design education.
D.
Challenges in Using AI Tools for Design Generation, Editing, and Automation, as shown in Table 32.
Results from this analysis show that high software cost is the primary challenge for all tools, with 65% of respondents reporting it for Spacemaker AI and 60% for Runway ML. These tools require expensive licenses or high-performance hardware, which may not be available in all institutions. Lack of training is also a common issue, especially for tools like Fusion 360 Generative Design and Runway ML, with 50% and 55% of respondents highlighting the need for more resources to teach these tools effectively. Limited access to computers is another barrier, particularly for more resource-intensive tools like Spacemaker AI and Fusion 360 Generative Design, where high-performance hardware is required. Technical difficulties are a moderate concern, with 35% of respondents reporting challenges in using these tools effectively.
The following are the charts corresponding to the descriptive analysis for the Results Section for the Eighth Category, AI Tools for Design Generation, Editing, and Automation Tools, as shown in Figure 9.

4.2. Statistical Analysis

4.2.1. Hypothesis 1 (Chi-Square Test for Familiarity, Usage Frequency, and Challenges)

  • Null Hypothesis (H0): There is no significant difference in familiarity, usage frequency, and challenges across the eight tool categories.
  • Alternative Hypothesis (H1): There is a significant difference in familiarity, usage frequency, and challenges across the eight tool categories.
A.
Familiarity Across Categories, as shown in Table 33, Figure 10.
Statistical analysis highlights how Parametric and Algorithmic Design tools show significant differences in familiarity, with a p-value of 3.71 × 10−15, indicating much lower familiarity compared to other categories like CAD and BIM Software and Image Editing tools.
B.
Usage Frequency Across Categories, as shown in Table 34, Figure 11.
Statistical analysis highlights how Parametric and Algorithmic Design tools have a significant difference in usage frequency (p-value = 1.40 × 10−25), with these tools used much less frequently than tools like CAD and BIM Software and Image Editing.
C.
Challenges Across Categories, as shown in Table 35, Figure 12.
Statistical analysis highlights that no significant differences were found in the challenges faced by faculty across tool categories (p-value = 1.0). Challenges such as high software costs, lack of training, and limited access to computers are common across all categories.

4.2.2. Hypothesis 2 (T-Test for Educational Impact)

  • Null Hypothesis (H0): There is no significant difference in the educational impact between tool categories.
  • Alternative Hypothesis (H1): There is a significant difference in educational impact between tool categories.
-
Educational Impact Across Categories, as shown in Table 36, Figure 13.
Statistical analysis highlights how Parametric and Algorithmic Design tools show a significant difference in educational impact (p-value = 0.0034), with CAD and BIM software and image editing tools having higher educational impact than specialized tools like AI Tools.

4.2.3. Interpreting Results to Hypotheses

The Chi-Square analysis showed a statistically significant difference between Parametric and Algorithmic Design tools and more conventional tools, such as CAD and BIM software (p = 3.71 × 10−15). This finding suggests that Parametric and Algorithmic Design tools are felt to be less familiar among the participants. Furthermore, the same analysis showed a significant decrease in the frequency of usage of these tools with respect to the other categories, with a p-value of 0.84. Although participants see Parametric and Algorithmic Design tools as valuable, the extent to which they can be integrated into daily instructional practices is limited. No significant differences were found between tool categories in terms of challenges reported, with barriers such as high cost of software and a lack of training being reported across all types of tools (p = 1.0).
The data only partially confirm Hypothesis 1. Significant variations in terms of both familiarity and frequency of use are apparent for the Parametric and Algorithmic Design tools compared to other digital instruments. However, the lack of substantial differences in perceived challenges between tool categories indicates that some general challenges, mainly financial constraints and a lack of training, apply to all digital tools. These results highlight the need for focused interventions to increase familiarity with and use of advanced design tools.
The independent samples T-test showed a significant difference in perceived educational impact between Parametric and Algorithmic Design tools and other categories of software (p = 0.0034). Consequently, participants described a higher level of educational influence of Parametric and Algorithmic Design tools compared to more traditional tools such as CAD, BIM, and image-editing software. In contrast, other categories, such as VR/AR and AI-based design tools, did not show substantial differences in perceived educational impact; a lot of these tools were reported to be infrequently used and very specialized.
As far as Hypothesis 2 is concerned, the results are somewhat supported. Parametric and Algorithmic Design tools provide tremendous educational results, fitting their claimed role in developing higher-order cognitive processes as defined in Bloom’s Digital Taxonomy. Nonetheless, the educational impact of specialized tools (e.g., AI and VR/AR) seems to be in its infancy, with little adaptation to the core curricular settings. The results indicate that although these tools are promising, their widespread use and perceived educational benefits are emergent in relation to design education in Jordan.
In summary, the statistical analyses support that familiarity and frequency of use are quite different across categories of digital tools, with Parametric and Algorithmic Design tools having lower degrees of both. Simultaneously, the educational effect of these same tools is far greater than that of more traditional software. However, challenges related to adoption, especially high cost and inadequate training, are consistent across all categories, not differing significantly and thus represent universal barriers that need to be addressed in order to encourage more widespread incorporation of digital tools into design education. The summary is shown in Table 37.

4.3. Theoretical Framework Analysis

4.3.1. Application of the SAMR Model

The integration of digital tools into design education follows a systematic progression as outlined by the SAMR model (Substitution, Augmentation, Modification, and Redefinition). Conventional instruments, like AutoCAD and SketchUp, largely occupy the Substitution and Augmentation tiers. At the same time, more advanced technologies that are based on VR/AR and artificial intelligence AI, AI-based design tools have the theoretical ability to reach the Modification and Redefinition phases, though their practical implementation is sparse. SAMR categorizations are summarized in Table 38.
The empirical evaluation of digital tools shows that AutoCAD and SketchUp are substitution tools (replacing manual drafting processes with digital processes), and Revit enhances these processes by integrating the building information modeling (BIM) process. More sophisticated platforms, such as Grasshopper and Dynamo, go beyond the basic substitution and allow for dynamic and parametric designs, placing them in the Augmentation and Modification categories of the SAMR model.

4.3.2. Application of Technology Acceptance Model (TAM)

The Technology Acceptance Model was used to explain the relationships in the use of digital tools, perceived ease of use (PEOU), perceived usefulness (PU), and uptake of digital tools. Instruments that provide more usability and have explicit educational advantages are more likely to be adopted by end-users. TAM regression analysis results are shown in Table 39.
Results obtained from the TAM framework show that tools such as AutoCAD and SketchUp have both high ease of use and appreciable usefulness, hence yielding high adoption rates by students and faculty. On the other hand, VR/AR and AI-based tools face adoption barriers that can be attributed to their low perceived ease of use, which is a constraint in their widespread implementation, despite any perceived usefulness.

4.3.3. Application of Bloom’s Digital Taxonomy

Based on Bloom’s Digital Taxonomy, the tools were assessed on the cognitive engagement work they enable, from the lower end of thinking skills (application and understanding) to the higher end (analysis and creation). Results are shown in Table 40.
The application of Bloom’s Taxonomy shows that using tools such as AutoCAD and Revit mainly uses the lower order of the thinking cycle (applying and understanding), while using tools such as Grasshopper and VR/AR use the higher-order thinking skills of analysis and creation. This highlights the potential of innovative digital tools to promote critical thinking and creative problem-solving.

5. Discussion

This study explored the integration of digital tools in design education in Jordanian universities, focusing on how educators use these tools, their familiarity with them, and the perceived educational impact. The findings indicate a strong reliance on traditional tools like AutoCAD and SketchUp, along with emerging technologies such as parametric design software and virtual reality (VR), albeit with varying levels of familiarity, usage frequency, and perceived impact.

5.1. Familiarity with Digital Tools

The results showed that some tools are already well-known in design education. For example, AutoCAD (80%) and SketchUp (75%) are very familiar to teachers, which is in line with trends around the world. Because they have been around for so long in the industry, these tools are essential for both architectural and interior design education. This finding corroborates previous studies, which underscores the essential function of CAD tools in equipping students for practical design applications [25]. But Rhino and Archicad had lower familiarity rates, which means that their use in design education in Jordan is still growing. These tools are becoming more popular, but many people think they are too specialized and need more training to use them well.
This is in line with notions focusing on how specialized tools, like Rhino and Archicad, are not often included in the curricula [24,26]. Grasshopper for Rhino (70%) and Dynamo for Revit (50%) were two more advanced tools that people were somewhat familiar with. This is in line with studies highlighting that Parametric and Algorithmic Design tools are becoming more common in design education but still have problems with teacher expertise and fitting into the curriculum [26,29,30,31]. Houdini and TouchDesigner exhibited even lesser familiarity, indicating that these tools remain marginal within mainstream design education, a finding corroborated by previous studies on interactive design environments [46,48].

5.2. Usage Frequency and Educational Impact

SketchUp and AutoCAD were the most popular tools, with 60% of respondents saying they used SketchUp every day. This frequency shows that it has a user-friendly interface and can be used for a wide range of design tasks. This supports previous ideas that stress the importance of easy-to-use tools in encouraging daily design practices [45]. On the other hand, only 10% of respondents used Rhino every day, which shows how hard it is to use these more advanced tools in everyday teaching.
The educational effects of these tools were different as well. SketchUp had the most positive effect, with 80% of people strongly agreeing that it helps with teaching. Aligning with studies focusing on how the tools that are easy to use, like SketchUp, are important for encouraging creativity and getting students involved [19,34]. People had mixed feelings about tools like AutoCAD and Revit, but they were still seen as good. The problems with Revit, especially its complicated interface, are that while BIM tools have great potential, they need a lot of training and adjustment to work well in schools [8,17,18].
The parametric and algorithmic tools (like Grasshopper and Dynamo) were used less often, but they did have a moderate effect on learning. This indicates that although educators recognize their potential, these tools are predominantly utilized in advanced or specialized courses. The results support notions that 3D printers and CNC milling machines are good for making prototypes, but their high cost and the fact that they are hard to learn make them hard to use by a lot of people [24].

5.3. Challenges in Digital Tool Integration

The high cost of software was the biggest problem in all categories, especially for programs like Revit, Rhino, and Houdini. This finding is also discussed in relevant studies of how digital tools can be expensive for schools, especially in developing countries. Also, a lack of training and limited access to computers were common problems that made integration less effective, especially in making use of the collaboration platforms [22,23,36]. Studies also stress the need for professional development and better infrastructure, saying that these problems must be solved in order to get the most out of digital tools in design education [17,47,48].
The study interestingly found that AI tools for design generation, like Runway ML and DALL·E, were less well-known and used, but they showed promise for having an impact on education. This means that AI tools are still new to design education, but they could be very useful for creative purposes. Previous studies also highlight how digital storytelling and AI can improve design communication and creative thinking [39,40].

5.4. Implications for Design Education in Jordan

The results of this study give us useful information about how well digital tools are being used in design education in Jordan. Even though people know how important digital tools are, they are hard to use together because of things like cost, lack of resources, and the need for more training. These challenges are similar to those found in studies of design education in other parts of the world. Previous studies stress the need to get around technical and infrastructure problems so that digital tools can be used effectively [38].
According to the study, new technologies, especially artificial intelligence (AI) and virtual reality (VR), are promising, but they demand more serious attention to the curriculum design and training of educators. With the introduction of new technologies, their implementation has to be pedagogically sound, and teachers have to undergo constant professional development in order to make sure they are used correctly [32,33,35].
On the whole, the introduction of digital tools into the design education in Jordan is on the way to positive changes; however, the problems of costliness, the lack of access to resources, and the lack of training are still present. Challenges such as more institutional backing, cooperation with the technological industry, and increased teacher education are critical to unlock the full potential of digital tools in teaching, learning, and creativity in design education.

5.5. Critical Interpretation (Frameworks)

The results of this study give indisputable proof that, although digital tools have been introduced in the field of design education in Jordan, their utilization has mostly remained confined to the Substitution and Augmentation stages of the SAMR model. These levels indicate that the tools are mostly used to replace the old methods (e.g., AutoCAD as a replacement for hand-drawn designs) or for adding to the current ones (e.g., Revit as an addition of building information modeling functionalities to architectural designs). This observation is consistent with the current trend of what we see in other countries, where digital tools are still considered as adjuncts of traditional pedagogical methods rather than as transformative agents.
-
SAMR Model: Limited Transformation of Learning Processes
The SAMR model has been a useful tool to understand the integration of technology in design education. It shows that, although the use of tools like AutoCAD and SketchUp is widespread, for the most part, they still exist in the Substitution stage. These tools have a great deal to offer in terms of efficiency and precision, but they do not fundamentally change the way that students conceptualize design. Conversely, those instruments like Grasshopper and Revit, moving into the stage of Augmentation, increase the ability of students to interact with design data in more sophisticated ways without, at this point, redefining the overall learning experience. Technology like VR/AR and AI based applications that have the potential to reach the Modification and Redefinition stages have the potential to provide immersive and generative design experiences, but the adoption of these technological solutions is limited.
The outcomes support the idea that, while these tools have the potential to revolutionize design education, based on theoretical frameworks such as SAMR, it is clear that the comprehensive transformation has not yet occurred. The use of tools is often embedded in traditional, non-transformative ways. VR/AR and AI tools, although very promising in their transformation potential, are still in the early stages of adoption. Barriers to widespread utilization—including complexity and hardware requirements—agree with the results of previous studies of technology adoption in education, where the process of change is often slow and uneven.
-
TAM: Ease of Use and Usefulness are Key Barriers
According to the Technology Acceptance Model (TAM), the perceived ease of use (PEOU) and perceived usefulness (PU) of tools are the major factors affecting the adoption of tools. The present findings lend support to this, with AutoCAD, SketchUp, and image editing tools having high adoption rates due to their perceived ease of use and utility in the design process. In contrast, more complex devices such as VR/AR, as well as AI-based design platforms, face challenges with respect to low perceived ease of use, which is due to their technical complexity and high learning curve, notwithstanding their high potential usefulness towards fostering creativity and interactivity.
The challenges of adopting VR/AR and AI tools can be explained to a large extent using the TAM framework, which argues that a tool is not only required to be useful but also easy to use. The complexity and barriers to learning inherent in these advanced technologies prevent their uptake, as is reflected in their low adoption rates. This is a great dismay to design education, as such tools are considered to be very useful but underutilized due to perceived difficulties in mastery and lack of immediate usefulness.
-
Bloom’s Digital Taxonomy: Engaging Away and Adopting Tools
The use of Bloom’s Digital Taxonomy further emphasizes the possibilities for the use of VR/AR and AI tools to engage students in higher-order thinking. Instruments like Grasshopper and Revit support the application and understanding of design concepts, whereas advanced tools lead students to generate and analyze a new design solution. The data shows that AI platforms like Runway ML and DALL-E make it easier for students to create new ideas for designs with AI that allow them to think about things they have never considered before. Similarly to this, VR/AR tools have the ability to create immersive experiences, where students are able to analyze and manufacture in virtual spaces, signaling a shift in cognitive engagement to higher-order thinking.
Nonetheless, adoption of these tools still faces limitations due to the difficulty in finding effective ways of using them and the unfamiliarity with their immediate benefits. TAM results indicate ease of use and perceived usefulness as critical to adoption. Bloom’s Digital Taxonomy, however, suggests that even high cognitive engagement potential cannot overcome usability and perceived utility barriers prior to comprehensive integration into design education as a realization.
-
Implications of Design Education
The findings imply the suggestion that, despite there being a high potential for VR/AR and AI to revolutionize design education, integration of these tools is currently hindered by both technical and pedagogical challenges. From an SAMR perspective, the transformation of design education is still in its early stages, and the majority of tools are still in the Substitution and Augmentation categories. This means that even though digital tools make the learning experience better, they have not yet radically changed the engagement of students with design.
From a TAM standpoint, it is important to reduce barriers such as ease of use and perceived usefulness for the successful adoption of more advanced tools. Educators and institutions, therefore, need to provide specific training, ongoing support, and the necessary infrastructure to increase accessibility and utility to learners.
Finally, within the context of Bloom’s Digital Taxonomy, it is apparent that VR/AR and AI tools have the potential to engage students at elevated cognitive levels. However, widespread utilization will require overcoming current barriers to adoption, including technical complexity and the fact that, for students, there is no immediate utility. Such tools could help enable more in-depth involvement and creative exploration, and thus, higher-order thinking skills such as analyzing, creating, and evaluating, which are important for the future of design education.

6. Conclusions

This paper has explored the use of digital tools in architectural and interior design education at universities in Jordan and has explored the familiarity of educators with these tools, patterns of their use, perceived educational effects, and the barriers faced to their use. The findings reveal that the adoption of digital tools in design education follows a predictable pattern, aligned with HCI principles of usability and user experience. The results show that tools like AutoCAD and SketchUp are more widely adopted because they are perceived as easier to use and fit into the established pedagogical framework of active learning and constructionist approaches, as opposed to other tools like Rhino, Revit, and parametric design software that are not as often used in the daily teaching practice. Additionally, new platforms are not utilized in the classroom, such as AI-based design systems and VR. Newer tools, like AI and VR, face barriers of complexity and perceived lack of immediate usefulness, which aligns with TAM’s emphasis on perceived ease of use and perceived usefulness. These tools, while offering transformational potential, are still at the Substitution and Augmentation stages of the SAMR model, and future development in digital pedagogy will require educators to adopt a more constructivist approach to teaching these advanced technologies. Software cost is still a significant barrier to the wider use of tools, and additional training and access to high-performance computing are factors that hinder these tools. Even with such challenges, most respondents consider digital tools in a positive light with regard to learning outcomes, particularly SketchUp, AutoCAD, and 3D modeling and rendering programs like Lumion and V-, ray, which are seen to support student learning and creativity.

6.1. Key Findings

  • Knowledge and Application: AutoCAD and SketchUp represent the most accepted and common types of traditional tools, and Rhino and parametric design software are less well-known and utilized.
  • Educational Effect: SketchUp and AutoCAD are generally thought to be the most effective when used in education, especially to provide interest and creativity to students, but Rhino and advanced AI tools produce more mixed outcomes.
  • Challenges: The biggest problems that make it hard to use digital tools well in design education are issues such as high software costs, a lack of training, and not being able to obtain the right hardware.

6.2. Limitations

Despite the contributions the study offers, it does have several methodological limitations. First, the relatively small sample size of Jordanian universities limits the generalizability of the findings to broader, more diverse educational settings. Additionally, the regional focus on Jordan may not fully reflect the digital transformation trends in other countries or educational systems. Therefore, future studies should aim to include a larger and more diverse sample, potentially extending beyond the regional context to compare digital tool integration across different cultures and institutional structures.

6.3. Recommendations

  • Curriculum Integration: The curriculum would have to include higher technology tools like Rhino, Revit, and AI-design platforms, which should be presented to the students of architecture and interior design in such a way that they could understand and use them.
  • Professional Development: Universities ought to fund training to enhance the level of expertise of the educators on emerging digital tools, which they might have to do through an agreement with the industry stakeholders to bridge the knowledge gap.
  • Resource Allocation: Organizations might overcome the cost constraints by obtaining software licenses, the search for open-source options, or industry partnerships.
  • Technical Infrastructure: Schools have to invest in the modernization of computer labs and provide students with powerful computers that can run sophisticated software, especially those applications in digital creation and VR/AR.
  • Exploiting Emerging Tools: The study proposes strategies to improve design education in the future [49]. The paper suggests that future development of design education must involve an increased focus on the integration of technologies, including augmented reality (AR), virtual reality (VR), and AI design generators. Research and faculty development in these areas will be critical in the development of interesting and thought-provoking learning environments.

6.4. Theoretical Implications for Future Research

The utilization of the SAMR framework, Bloom’s Digital Taxonomy, and the Technology Acceptance Model provides a powerful framework within the frames of which the phases of the digital tool adoption in the design education might be viewed. These theoretical models are largely consistent with the empirical findings, which show that despite the fact that Jordanian design education is becoming more integrated with the use of digital tools, it is still mostly in the Substitution and Augmentation levels, with little progression to the Modification and Redefining levels, which the SAMR model postulates. The contribution adds to the expanding body of knowledge on the digital transformation of higher education; however, more studies are needed to study the influence of emerging technologies and their roles in advancing design education to new levels of transformation. Future research needs to consider the efficacy of virtual reality, augmented reality, and artificial intelligence technology to develop and nurture higher-order cognitive abilities as well, as per the taxonomy created by Bloom.

Author Contributions

Conceptualization, I.A.A.; methodology, S.M.A.; software, M.a.H.; validation, H.A.; formal analysis, M.a.H. and A.A.J.; investigation, All Authors; resources, S.M.A. and H.A.; data curation, M.a.H. and A.A.J.; writing—original draft preparation, I.A.A.; writing—review and editing, Q.S.M.; visualization, A.A.J.; supervision, I.A.A.; funding acquisition, H.A. All authors have read and agreed to the published version of the manuscript.

Funding

This research received no external funding.

Informed Consent Statement

The data used in this study were fully anonymized and do not contain identifiable human subject information; therefore, informed consent was not required.

Data Availability Statement

The authors received no external support for this study. All data and materials are contained within the manuscript.

Acknowledgments

The authors would like to thank their affiliated institutions, Jerash Private University, Middle East University, Amman Al-Ahliyya University, and Philadelphia University, for their support.

Conflicts of Interest

The authors declare no conflicts of interest.

References

  1. Bajúzová, M.; Hrmo, R. Digital Tools in Education: The Impact of Digital Tools in Education on Students’ Creativity. RE SOURCE 2024, 4–18. [Google Scholar] [CrossRef]
  2. Ngongpah, G.; Oni, O.Y. Exploring the Impact of Digital Technologies in Education: A Comprehensive Review. Asian J. Educ. Soc. Stud. 2025, 51, 1254–1264. [Google Scholar] [CrossRef]
  3. Assali, I.; Alaali, A. Integrating Technology into Interior Design Education: A Paradigm Shift in Teaching and Learning. In Board Diversity and Corporate Governance; CSR, Sustainability, Ethics & Governance; Springer: Cham, Switzerland, 2024; pp. 565–576. [Google Scholar] [CrossRef]
  4. Lyu, Y.; Chi, T.; Zheng, X. Digital Transformation of Design Education in Chinese Universities: Trends, Challenges, and Opportunities. SHS Web Conf. 2024, 181, 04037. [Google Scholar] [CrossRef]
  5. Timotheou, S.; Miliou, O.; Dimitriadis, Y.; Sobrino, S.V.; Giannoutsou, N.; Cachia, R.; Monés, A.M.; Ioannou, A. Impacts of Digital Technologies on Education and Factors Influencing Schools’ Digital Capacity and Transformation: A Literature Review. Educ. Inf. Technol. 2023, 28, 6695–6726. [Google Scholar] [CrossRef]
  6. Altınay, Z.; Sharma Ghai, A.; Sharma, R.C.; Baştaş, M.; Jasola, S.; Dağlı, G.; Kohli, D. Embracing Digital Transformation in Learning Organizations Using Blended Learning for Academic Excellence. Pak. J. Life Soc. Sci. 2024, 22, 6754–6762. [Google Scholar] [CrossRef]
  7. Douligeris, C.; Seralidou, E. Contemporary Collaborative Trends and Their Effect in Education. In Proceedings of the 2017 IEEE Global Engineering Education Conference (EDUCON), Athens, Greece, 25–28 April 2017; pp. 395–403. [Google Scholar] [CrossRef]
  8. Meirbekov, A.; Maslova, I.; Gallyamova, Z. Digital Education Tools for Critical Thinking Development. Think. Ski. Creat. 2022, 44, 101023. [Google Scholar] [CrossRef]
  9. Puentedura, R.R. SAMR: Getting to Transformation. Retrieved May 2013, 31, 265–283. [Google Scholar]
  10. Anderson, L.; Krathwohl, D. A Taxonomy for Learning, Teaching, and Assessing: A Revision of Bloom’s Taxonomy of Educational Objectives: Complete Edition; Longman: Harlow, England, 2001. [Google Scholar]
  11. Abukarki, H.J. Beyond Preservation: A Survey of the Role of Virtual Reality in Experiencing and Understanding Historical Architectural Spaces. Buildings 2025, 15, 1531. [Google Scholar] [CrossRef]
  12. Junk, S.; Matt, R. New Approach to Introduction of 3D Digital Technologies in Design Education. Procedia CIRP 2015, 36, 35–40. [Google Scholar] [CrossRef]
  13. Ng, W. New Digital Technology in Education: Conceptualizing Professional Learning for Educators. New Digit. Technol. Educ. Conceptualizing Prof. Learn. Educ. 2015, 1–226. [Google Scholar] [CrossRef]
  14. Taylor, M.; Fudge, A.; Mirriahi, N.; De Laat, M. Use of Digital Technology in Education: Literature Review; South Australian Department for Education on behalf of The Centre for Change and Complexity in Learning, The University of South Australia: Adelaide, Australia, 2021. [Google Scholar]
  15. Pinto, M.; Leite, C.; Pinto, M.; Leite, C. Digital Technologies in Support of Students Learning in Higher Education: Literature Review. Digit. Educ. Rev. 2020, 343–360. [Google Scholar] [CrossRef]
  16. Renkl, A.; Atkinson, R.K. Interactive Learning Environments: Contemporary Issues and Trends. An Introduction to the Special Issue. Educ. Psychol. Rev. 2007, 19, 235–238. [Google Scholar] [CrossRef]
  17. Fenwick, T.; Edwards, R. Exploring the Impact of Digital Technologies on Professional Responsibilities and Education. Eur. Educ. Res. J. 2016, 15, 117–131. [Google Scholar] [CrossRef]
  18. Condruz-Bacescu, M. The Impact of Digital Technologies on Learning. Conf. Proc. Elearning Softw. Educ. Else 2019, 15, 57–63. [Google Scholar]
  19. Qureshi, M.I.; Khan, N.; Raza, H.; Imran, A.; Ismail, F.; BiS, U. Digital Technologies in Education 4.0. Does It Enhance the Effectiveness of Learning? Int. J. Interact. Mob. Technol. 2021, 15, 31–47. [Google Scholar] [CrossRef]
  20. Mubarok, I.Z.; Iriana, S. The Role of Ict in Creating Interactive Learning and Fostering Student Creativity: A Literature Review. Al-Irsyad J. Educ. Sci. 2025, 4, 156–168. [Google Scholar] [CrossRef]
  21. Navas Romero, C. Herramientas Digitales Intuitivas: Impulsando La Participación y La Creatividad En La Educación Superior. Eur. Public Soc. Innov. Rev. 2025, 10, 1–17. [Google Scholar] [CrossRef]
  22. Kaya, C.; Kara, S.; Author, C. The Impact of Collaboration Tools on Student Learning Outcomes. J. Int. Inspire Educ. Technol. 2025, 4, 66–76. [Google Scholar] [CrossRef]
  23. Diaconescu, A. Digital Tools in the Educational Environment Empower Student Collaboration. A Study Case in Higher Education. Res. Educ. 2024, 77–102. [Google Scholar] [CrossRef]
  24. Paes, D.; Arantes, E.; Irizarry, J. Immersive Environment for Improving the Understanding of Architectural 3D Models: Comparing User Spatial Perception between Immersive and Traditional Virtual Reality Systems. Autom. Constr. 2017, 84, 292–303. [Google Scholar] [CrossRef]
  25. Salih, S.A.; Alzamil, W.; Ajlan, A.; Azmi, A.; Ismail, S. Typology of Informal Learning Spaces (ILS) in Sustainable Academic Education: A Systematic Literature Review in Architecture and Urban Planning. Sustainability 2024, 16, 5623. [Google Scholar] [CrossRef]
  26. Soomro, S.A.; Casakin, H.; Georgiev, G.V. Sustainable Design and Prototyping Using Digital Fabrication Tools for Education. Sustainability 2021, 13, 1196. [Google Scholar] [CrossRef]
  27. Abdirad, H.; Dossick, C.S. BIM Curriculum Design in Architecture, Engineering, and Construction Education: A Systematic Review. J. Inf. Technol. Constr. ITcon 2016, 21, 251. [Google Scholar]
  28. Canizares, G. Taming the Rhinoceros: A Brief History of a Ubiquitous Tool. Perspect. Archit. Urban. 2024, 1, 100020. [Google Scholar] [CrossRef]
  29. Lorenzo, C. Improving Learning Process Through Digital Fabrication Technologies. In EDULEARN17 Proceedings, Proceedings of the 9th International Conference on Education and New Learning Technologies, Barcelona, Spain, 3–5 July 2017; IATED: Valencia, Spain, 2017; Volume 1, pp. 6069–6076. [Google Scholar] [CrossRef]
  30. Verner, I.; Merksamer, A. Digital Design and 3D Printing in Technology Teacher Education. Procedia CIRP 2015, 36, 182–186. [Google Scholar] [CrossRef]
  31. Chong, S.; Pan, G.T.; Chin, J.; Show, P.L.; Yang, T.C.K.; Huang, C.M. Integration of 3D Printing and Industry 4.0 into Engineering Teaching. Sustainability 2018, 10, 3960. [Google Scholar] [CrossRef]
  32. Sirror, H.; Abdelsattar, A.; Dwidar, S.; Derbali, A. A Review on Virtual Reality for Architecture Education. In Proceedings of the 11th Annual International Conference on Industrial Engineering and Operations Management, Virtual, 7–11 March 2021. [Google Scholar]
  33. Ibrahim, A.; Al-Rababah, A.I.; Bani Baker, Q. Integrating Virtual Reality Technology into Architecture Education: The Case of Architectural History Courses. Open House Int. 2021, 46, 498–509. [Google Scholar] [CrossRef]
  34. Amir Hossain Maghool, S.; Hossein Moeini, S.; Arefazar, Y. An Educational Application Based on Virtual Reality Technology for Learning Architectural Details: Challenges and Benefits. Archnet-IJAR Int. J. Archit. Res. 2018, 12, 246–272. [Google Scholar] [CrossRef]
  35. Evans, L. Barriers to VR Use in HE. In Proceedings of the VR/AR in Higher Education Conference, Swansea, UK, 12 September 2018; pp. 3–13. [Google Scholar] [CrossRef]
  36. Decuypere, M.; Grimaldi, E.; Landri, P. Introduction: Critical Studies of Digital Education Platforms. Crit. Stud. Educ. 2021, 62, 1–16. [Google Scholar] [CrossRef]
  37. Vidal, I.M.G. Architectures of Contemporary Digital Platforms in Education: Analysis of Exclusion Processes. Univers. Access Inf. Soc. 2023, 22, 1445–1453. [Google Scholar] [CrossRef] [PubMed]
  38. Mahmoud Saleh, M.; Abdelkader, M.; Sadek Hosny, S. Architectural Education Challenges and Opportunities in a Post-Pandemic Digital Age. Ain Shams Eng. J. 2023, 14, 102027. [Google Scholar] [CrossRef]
  39. Thompson Long, B.; Hall, T. Educational Narrative Inquiry through Design-Based Research: Designing Digital Storytelling to Make Alternative Knowledge Visible and Actionable. Ir. Educ. Stud. 2018, 37, 205–225. [Google Scholar] [CrossRef]
  40. Özeren, E.B. Integration of Digital Storytelling into Architectural Education: Exploration of Conceptual Understanding. Buildings 2025, 15, 1826. [Google Scholar] [CrossRef]
  41. Yazicioglu, D.A. The Integration of Interior Architecture Education with Digital Design Approaches. Online Submiss. 2011, 8, 637–658. [Google Scholar]
  42. Dwiek, S.A.; Bast, S.A. The Application of Machine Learning in Inner Built Environment: Scientometric Analysis, Limitations, and Future Directions. Front. Built Env. 2024, 10, 1413153. [Google Scholar] [CrossRef]
  43. Amro, D.K.; Dawoud, H. Influencing Factors of Spatial Ability for Architecture and Interior Design Students: A Fuzzy DEMATEL and Interpretive Structural Model. Buildings 2024, 14, 2934. [Google Scholar] [CrossRef]
  44. Malkani, K.; Madhukaillya, R. Need for Including Visual Narratives as a Method of Interior Design Process. Smart Innov. Syst. Technol. 2023, 346, 713–723. [Google Scholar] [CrossRef]
  45. Meskhi, B.; Ponomareva, S.; Ugnich, E. E-Learning in Higher Inclusive Education: Needs, Opportunities and Limitations. Int. J. Educ. Manag. 2019, 33, 424–437. [Google Scholar] [CrossRef]
  46. Zaman, M.; Javeed, F.; Asghar, Q. Investigating Autonomy and Limitations of the Digital Design Process in an Architectural Studio. Pak. J. Soc. Sci. 2024, 44, 717–729. [Google Scholar] [CrossRef]
  47. Arafat, M. Limitations of the Digital Learning Tools of the 21st Century. Actual Probl. Syst. Educ. Gen. Second. Educ. Inst. Pre-Univ. Train. High. Educ. Inst. 2022, 1, 133–142. [Google Scholar] [CrossRef]
  48. Życzkowska, K.; Szakajło, K. Architectural Education and Digital Tools: The Challenges and Opportunities. World Trans. Eng. Technol. Educ. 2019, 17, 326–331. [Google Scholar]
  49. Nahar, K.M.O.; Abu Shquier, M.M.; Alsmadi, I. Students Performance between Classical and Online Education: A Comparative Study. Int. J. Contin. Eng. Educ. Life Long. Learn. 2016, 26, 359–371. [Google Scholar] [CrossRef]
Figure 1. Methodological structure of the study (authors).
Figure 1. Methodological structure of the study (authors).
Computers 14 00535 g001
Figure 2. (a): Familiarity, (b): usage frequency, (c): educational impact, and (d): challenges in using CAD/BIM tools (authors).
Figure 2. (a): Familiarity, (b): usage frequency, (c): educational impact, and (d): challenges in using CAD/BIM tools (authors).
Computers 14 00535 g002
Figure 3. (a): Familiarity, (b): usage frequency, (c): educational impact, and (d): challenges in using Parametric and Algorithmic Design Software (authors).
Figure 3. (a): Familiarity, (b): usage frequency, (c): educational impact, and (d): challenges in using Parametric and Algorithmic Design Software (authors).
Computers 14 00535 g003
Figure 4. (a): Familiarity, (b): usage frequency, (c): educational impact, and (d): challenges in using 3D Modeling and Rendering Tools (authors).
Figure 4. (a): Familiarity, (b): usage frequency, (c): educational impact, and (d): challenges in using 3D Modeling and Rendering Tools (authors).
Computers 14 00535 g004
Figure 5. (a): Familiarity, (b): usage frequency, (c): educational impact, and (d): challenges in using Digital Fabrication and Prototyping Tools (authors).
Figure 5. (a): Familiarity, (b): usage frequency, (c): educational impact, and (d): challenges in using Digital Fabrication and Prototyping Tools (authors).
Computers 14 00535 g005
Figure 6. (a): Familiarity, (b): usage frequency, (c): educational impact, and (d): challenges in using Virtual and Augmented Reality Tools (authors).
Figure 6. (a): Familiarity, (b): usage frequency, (c): educational impact, and (d): challenges in using Virtual and Augmented Reality Tools (authors).
Computers 14 00535 g006
Figure 7. (a): Familiarity, (b): Usage Frequency, (c): Educational Impact, and (d): Challenges of Image Editing and Post-Production Tools (authors).
Figure 7. (a): Familiarity, (b): Usage Frequency, (c): Educational Impact, and (d): Challenges of Image Editing and Post-Production Tools (authors).
Computers 14 00535 g007
Figure 8. (a): Familiarity, (b): usage frequency, (c): educational impact, and (d): challenges in using Collaborative Design and Communication Tools (authors).
Figure 8. (a): Familiarity, (b): usage frequency, (c): educational impact, and (d): challenges in using Collaborative Design and Communication Tools (authors).
Computers 14 00535 g008
Figure 9. (a): Familiarity, (b): usage frequency, (c): educational impact, and (d): challenges in using AI Tools for Design Generation, Editing, and Automation (authors).
Figure 9. (a): Familiarity, (b): usage frequency, (c): educational impact, and (d): challenges in using AI Tools for Design Generation, Editing, and Automation (authors).
Computers 14 00535 g009
Figure 10. Familiarity with digital tools across all categories. (authors).
Figure 10. Familiarity with digital tools across all categories. (authors).
Computers 14 00535 g010
Figure 11. Usage frequency of digital tools across all categories (authors).
Figure 11. Usage frequency of digital tools across all categories (authors).
Computers 14 00535 g011
Figure 12. Challenges of digital tools across all categories (authors).
Figure 12. Challenges of digital tools across all categories (authors).
Computers 14 00535 g012
Figure 13. Educational impact of digital tools across all categories (authors).
Figure 13. Educational impact of digital tools across all categories (authors).
Computers 14 00535 g013
Table 1. Familiarity with CAD/BIM tools (authors).
Table 1. Familiarity with CAD/BIM tools (authors).
ToolVery Familiar (%)Somewhat Familiar (%)Not Familiar (%)
AutoCAD80155
Revit652510
Rhino403525
Archicad553015
SketchUp75205
Table 2. Usage frequency of CAD/BIM tools (authors).
Table 2. Usage frequency of CAD/BIM tools (authors).
ToolDaily (%)Weekly (%)Monthly (%)Rarely (%)
AutoCAD5030155
Revit25402510
Rhino10254025
Archicad30352015
SketchUp6025105
Table 3. Educational impact of CAD/BIM tools (authors).
Table 3. Educational impact of CAD/BIM tools (authors).
ToolStrongly Agree (%)Agree (%)Neutral (%)Disagree (%)
AutoCAD7020100
Revit40351510
Rhino20304010
Archicad5030155
SketchUp801550
Table 4. Challenges in using CAD/BIM tools (authors).
Table 4. Challenges in using CAD/BIM tools (authors).
ChallengeAutoCAD (%)Revit (%)Rhino (%)Archicad (%)SketchUp (%)
High Software Cost6060605040
Lack of Training or Expertise5555506035
Limited Access to Computers4545454030
Technical Difficulties3030352520
Table 5. Familiarity with Parametric and Algorithmic Design Software (authors).
Table 5. Familiarity with Parametric and Algorithmic Design Software (authors).
ToolVery Familiar (%)Somewhat Familiar (%)Not Familiar (%)
Grasshopper (Rhino)702010
Dynamo (Revit)503515
Houdini304030
TouchDesigner205030
Table 6. Usage frequency of Parametric and Algorithmic Design Software (authors).
Table 6. Usage frequency of Parametric and Algorithmic Design Software (authors).
ToolDaily (%)Weekly (%)Monthly (%)Rarely (%)
Grasshopper (Rhino)40302010
Dynamo (Revit)20403010
Houdini10304020
TouchDesigner5205025
Table 7. Educational impact of Parametric and Algorithmic Design Software (authors).
Table 7. Educational impact of Parametric and Algorithmic Design Software (authors).
ToolStrongly Agree (%)Agree (%)Neutral (%)Disagree (%)
Grasshopper (Rhino)6030100
Dynamo (Revit)4040155
Houdini25402510
TouchDesigner15453010
Table 8. Challenges in using Parametric and Algorithmic Design Software (authors).
Table 8. Challenges in using Parametric and Algorithmic Design Software (authors).
ChallengeGrasshopper (%)Dynamo (%)Houdini (%)TouchDesigner (%)
High Software Cost60605550
Lack of Training55556050
Limited Access to Computers45454030
Technical Difficulties40404535
Table 9. Familiarity with 3D Modeling and Rendering Tools (authors).
Table 9. Familiarity with 3D Modeling and Rendering Tools (authors).
ToolVery Familiar %Somewhat Familiar %Not Familiar %
Lumion75205
Twinmotion70255
3ds Max65305
V-Ray80155
Corona Renderer60355
Table 10. Usage frequency of 3D Modeling and Rendering Tools (authors).
Table 10. Usage frequency of 3D Modeling and Rendering Tools (authors).
ToolDaily (%)Weekly (%)Monthly (%)Rarely (%)
Lumion4035205
Twinmotion3540205
3ds Max2545255
V-Ray30402010
Corona Renderer2050255
Table 11. Educational impact of 3D Modelling and Rendering Tools (authors).
Table 11. Educational impact of 3D Modelling and Rendering Tools (authors).
ToolStrongly Agree (%)Agree (%)Neutral (%)Disagree (%)
Lumion702550
Twinmotion653050
3ds Max5040100
V-Ray7515100
Corona Renderer603550
Table 12. Challenges in using 3D Modeling and Rendering Tools (authors).
Table 12. Challenges in using 3D Modeling and Rendering Tools (authors).
ChallengeLumion %Twinmotion %3ds Max %V-Ray %Corona Renderer %
High Software Cost5045605550
Lack of Training4040453545
Limited Access to Computers3035403035
Technical Difficulties2530354030
Table 13. Familiarity with Digital Fabrication and Prototyping Tools (authors).
Table 13. Familiarity with Digital Fabrication and Prototyping Tools (authors).
ToolVery Familiar %Somewhat Familiar %Not Familiar %
Laser Cutters603010
CNC Milling Machines503515
3D Printers751510
Router Machines652510
Table 14. Usage frequency of Digital Fabrication and Prototyping Tools (authors).
Table 14. Usage frequency of Digital Fabrication and Prototyping Tools (authors).
ToolDaily (%)Weekly (%)Monthly (%)Rarely (%)
Laser Cutters40302010
CNC Milling Machines35302510
3D Printers5030155
Router Machines45252010
Table 15. Educational impact of Digital Fabrication and Prototyping Tools (authors).
Table 15. Educational impact of Digital Fabrication and Prototyping Tools (authors).
ToolStrongly Agree %Agree %Neutral %Disagree %
Laser Cutters752050
CNC Milling Machines6030100
3D Printers851050
Router Machines7020100
Table 16. Challenges in using Digital Fabrication and Prototyping Tools(authors).
Table 16. Challenges in using Digital Fabrication and Prototyping Tools(authors).
ChallengeLaser Cutters %CNC Milling Machines %3D Printers %Router Machines %
High Software Cost60555050
Lack of Training55504550
Limited Access to Computers45403540
Technical Difficulties40453530
Table 17. Familiarity with Virtual and Augmented Reality Tools (authors).
Table 17. Familiarity with Virtual and Augmented Reality Tools (authors).
ToolVery Familiar %Somewhat Familiar %Not Familiar %
Unreal Engine603010
Unity553510
Enscape702010
IrisVR404020
Hololens303040
Table 18. Usage frequency of Virtual and Augmented Reality Tools (authors).
Table 18. Usage frequency of Virtual and Augmented Reality Tools (authors).
ToolDaily (%)Weekly (%)Monthly (%)Rarely (%)
Unreal Engine4035205
Unity3540205
Enscape4535155
IrisVR2545255
Hololens20403010
Table 19. Educational Impact of Virtual and Augmented Reality Tools (authors).
Table 19. Educational Impact of Virtual and Augmented Reality Tools (authors).
ToolStrongly Agree (%)Agree (%)Neutral (%)Disagree (%)
Unreal Engine5030155
Unity4540105
Enscape6025105
IrisVR3540205
Hololens30352510
Table 20. Challenges in Using Virtual and Augmented Reality Tools (authors).
Table 20. Challenges in Using Virtual and Augmented Reality Tools (authors).
ChallengeUnreal Engine (%)Unity (%)Enscape (%)IrisVR (%)Hololens (%)
High Software Cost5550456065
Lack of Training4540504540
Limited Access to Computers4035304050
Technical Difficulties3540353025
Table 21. Familiarity with Image Editing and Post-Production Software (authors).
Table 21. Familiarity with Image Editing and Post-Production Software (authors).
ToolVery Familiar %Somewhat Familiar %Not Familiar %
Adobe Photoshop85105
Adobe Illustrator80155
CorelDRAW602020
GIMP503020
InDesign701515
Table 22. Usage frequency of Image Editing and Post-Production Software (authors).
Table 22. Usage frequency of Image Editing and Post-Production Software (authors).
ToolDaily (%)Weekly (%)Monthly (%)Rarely (%)
Adobe Photoshop702550
Adobe Illustrator603055
CorelDRAW25402015
GIMP15403015
InDesign5035105
Table 23. Educational Impact of Image Editing and Post-Production Software (authors).
Table 23. Educational Impact of Image Editing and Post-Production Software (authors).
ToolStrongly Agree (%)Agree (%)Neutral (%)Disagree (%)
Adobe Photoshop851050
Adobe Illustrator801550
CorelDRAW6030100
GIMP5535100
InDesign752050
Table 24. Challenges in Using Image Editing and Post-Production Software (authors).
Table 24. Challenges in Using Image Editing and Post-Production Software (authors).
ChallengeAdobe Photoshop %Adobe Illustrator %CorelDRAW %GIMP %InDesign %
High Software Cost6055504045
Lack of Training5550455040
Limited Access to Computers4035403530
Technical Difficulties2530353020
Table 25. Familiarity with Collaborative Design and Communication Tools (authors).
Table 25. Familiarity with Collaborative Design and Communication Tools (authors).
ToolVery Familiar (%)Somewhat Familiar (%)Not Familiar (%)
Miro652510
Figma603010
Trello702010
Slack553510
Google Drive80155
Table 26. Usage frequency of Collaborative Design and Communication Tools (authors).
Table 26. Usage frequency of Collaborative Design and Communication Tools (authors).
ToolDaily (%)Weekly (%)Monthly (%)Rarely (%)
Miro3540205
Figma3050155
Trello5035105
Slack4045105
Google Drive6030100
Table 27. Educational Impact of Collaborative Design and Communication Tools (authors).
Table 27. Educational Impact of Collaborative Design and Communication Tools (authors).
ToolStrongly Agree (%)Agree (%)Neutral (%)Disagree (%)
Miro603550
Figma554050
Trello653050
Slack5040100
Google Drive752050
Table 28. Challenges in Using Collaborative Design and Communication Tools (authors).
Table 28. Challenges in Using Collaborative Design and Communication Tools (authors).
ChallengeMiro (%)Figma (%)Trello (%)Slack (%)Google Drive (%)
High Software Cost3040302520
Lack of Training4035403025
Limited Access to Computers2520252015
Technical Difficulties2025201510
Table 29. Familiarity with AI Tools for Design Generation, Editing, and Automation (authors).
Table 29. Familiarity with AI Tools for Design Generation, Editing, and Automation (authors).
ToolVery Familiar %Somewhat Familiar %Not Familiar (%)
Runway ML253540
DALL·E304030
Fusion 360 Generative Design204535
Spacemaker AI155035
Artbreeder106030
Table 30. Usage frequency of AI Tools (authors).
Table 30. Usage frequency of AI Tools (authors).
ToolDaily (%)Weekly (%)Monthly (%)Rarely (%)
Runway ML5203540
DALL·E5153050
Fusion 360 Generative Design10254025
Spacemaker AI5154535
Artbreeder5255020
Table 31. Educational impact of AI Tools (authors).
Table 31. Educational impact of AI Tools (authors).
ToolStrongly Agree %Agree %Neutral %Disagree %
Runway ML20403010
DALL·E2535355
Fusion 360 Generative Design20403010
Spacemaker AI15453010
Artbreeder10503010
Table 32. Challenges in using AI Tools for Design Generation, Editing, and Automation (authors).
Table 32. Challenges in using AI Tools for Design Generation, Editing, and Automation (authors).
ChallengeRunway ML %DALL·E %Fusion 360 Generative Design %Spacemaker AI %Artbreeder %
High Software Cost6055506555
Lack of Training5045555045
Limited Access to Computers4035454040
Technical Difficulties3540353030
Table 33. Familiarity with digital tools across all categories (authors).
Table 33. Familiarity with digital tools across all categories (authors).
CategoryVery Familiar (%)Somewhat Familiar (%)Not Familiar (%)Significance (p-Value)Significant?
CAD and BIM Software80155-No
Parametric and Algorithmic Design6030103.71 × 10−15Yes
3D Modeling and Rendering Tools75205 No
Digital Fabrication and Prototyping652510 No
Virtual and Augmented Reality Tools504010 No
Collaborative Design and Communication70255 No
Image Editing and Post-Production85105 No
AI Tools for Design Generation403030 No
Table 34. Usage frequency of digital tools across all categories (authors).
Table 34. Usage frequency of digital tools across all categories (authors).
CategoryDaily (%)Weekly (%)Monthly (%)Rarely (%)Significance (p-Value)Significant?
CAD and BIM Software5030155-No
Parametric and Algorithmic Design204030101.40 × 10−25Yes
3D Modeling and Rendering Tools4035205 No
Digital Fabrication and Prototyping3040255 No
Virtual and Augmented Reality Tools25353010 No
Collaborative Design and Communication5035105 No
Image Editing and Post-Production702550 No
AI Tools for Design Generation10254025 No
Table 35. Challenges of digital tools across all categories (authors).
Table 35. Challenges of digital tools across all categories (authors).
ChallengeCAD and BIM Software (%)Parametric and Algorithmic Design (%)3D Modeling and Rendering Tools (%)Digital Fabrication and Prototyping (%)Virtual and Augmented Reality (%)Collaborative Design (%)Image Editing (%)AI Tools for Design Generation (%)Significance (p-Value)Significant?
High Software Cost60605060654560601.0No
Lack of Training55554050505055501.0No
Limited Access to Computers45453040504040451.0No
Technical Difficulties30402535403025351.0No
Table 36. Educational impact of digital tools across all categories (authors).
Table 36. Educational impact of digital tools across all categories (authors).
CategoryStrongly Agree (%)Agree (%)Neutral (%)Disagree (%)Significance (p-Value)Significant?
CAD and BIM Software7020100-No
Parametric and Algorithmic Design50351050.0034Yes
3D Modeling and Rendering Tools6030100 No
Digital Fabrication and Prototyping5535100 No
Virtual and Augmented Reality Tools4535155 No
Collaborative Design and Communication653050 No
Image Editing and Post-Production851050 No
AI Tools for Design Generation20403010 No
Table 37. Summary of statistical tests and results for hypotheses (authors).
Table 37. Summary of statistical tests and results for hypotheses (authors).
HypothesisStatistical Testp-ValueConclusion
Hypothesis 1 (Familiarity): Significant difference in familiarityChi-Square3.71 × 10−15Reject H0, significant difference
Hypothesis 1 (Usage Frequency): Significant difference in usage frequencyChi-Square0.84Fail to reject H0, no significant difference
Hypothesis 1 (Challenges): Significant difference in challengesChi-Square1.0Fail to reject H0, no significant difference
Hypothesis 2 (Educational Impact): Significant difference in educational impactT-Test0.0034Reject H0, significant difference
Table 38. SAMR categorization summary (Authors).
Table 38. SAMR categorization summary (Authors).
Digital Tool CategorySAMR StageExplanation
CAD And BIM SoftwareSubstitution/AugmentationThese tools replace traditional design methods (e.g., hand-drawing) and enhance workflows, particularly with BIM in Revit.
Parametric and Algorithmic Design Software Augmentation/ModificationThese tools introduce parametric design, transforming how designs are created, from simple adjustments to highly dynamic models.
3D Modeling and Rendering Tools Substitution/AugmentationThese tools replace traditional rendering and visualization techniques, offering more efficient ways to visualize complex designs.
Digital Fabrication Tools Augmentation3D printers and CNC machines allow for physical models to be produced more accurately and quickly, adding value to the prototyping process.
VR/AR Tools Modification/RedefinitionThese immersive technologies enable interactive and experiential design exploration, redefining how students interact with their designs.
Collaborative Tools AugmentationThese tools enhance the collaborative design process, enabling real-time communication and collaboration across different teams and locations.
Image Editing Tools Substitution/AugmentationThese tools replace manual design processes and offer advanced editing features, facilitating rapid iteration and refinement of visual designs.
AI Tools for Design Generation RedefinitionThese tools redefine how designs are generated, utilizing AI to create innovative and novel solutions, automating tasks traditionally performed manually.
Table 39. Regression analysis results for TAM (authors).
Table 39. Regression analysis results for TAM (authors).
Digital Tool CategoryPEOU PU Adoption Rate
CAD and BIM Software HighHighHigh
Parametric and Algorithmic Design Software ModerateHighModerate
3D Modeling and Rendering Tools ModerateHighHigh
Digital Fabrication Tools ModerateHighModerate
VR/AR Tools LowHighLow
Collaborative Tools HighHighHigh
Image Editing Tools HighHighHigh
AI Tools LowHighLow
Table 40. Cognitive engagement levels by tool (authors).
Table 40. Cognitive engagement levels by tool (authors).
Digital Tool CategoryBloom’s LevelCognitive Engagement
CAD and BIM SoftwareApply/UnderstandSupports practical application of design principles and understanding of technical concepts.
Parametric and Algorithmic Design SoftwareAnalyze/CreateEncourages analysis of design relationships and creation of complex parametric models.
3D Modeling and Rendering ToolsApply/CreateFacilitates applying visualization techniques and creating realistic design representations.
Digital Fabrication ToolsApplyHelps students apply design concepts to physical models, reinforcing spatial understanding.
VR/AR ToolsAnalyze/CreateEngages students in analyzing and creating immersive design environments for interactive learning.
Collaborative ToolsApply/AnalyzePromotes collaboration and problem-solving, enhancing the design analysis process.
Image Editing ToolsApply/CreateEnables students to apply creative techniques and produce refined visual outputs.
AI ToolsCreateFosters creative design generation through AI-based tools, allowing new approaches to design creation.
Disclaimer/Publisher’s Note: The statements, opinions and data contained in all publications are solely those of the individual author(s) and contributor(s) and not of MDPI and/or the editor(s). MDPI and/or the editor(s) disclaim responsibility for any injury to people or property resulting from any ideas, methods, instructions or products referred to in the content.

Share and Cite

MDPI and ACS Style

Alshafei, I.A.; AlDweik, S.M.; Hassouneh, M.a.; AbuKarki, H.; Jarrar, A.A.; Mansour, Q.S. Digital Transformation in Design Education: Exploring the Challenges and Opportunities in Jordanian Higher Education. Computers 2025, 14, 535. https://doi.org/10.3390/computers14120535

AMA Style

Alshafei IA, AlDweik SM, Hassouneh Ma, AbuKarki H, Jarrar AA, Mansour QS. Digital Transformation in Design Education: Exploring the Challenges and Opportunities in Jordanian Higher Education. Computers. 2025; 14(12):535. https://doi.org/10.3390/computers14120535

Chicago/Turabian Style

Alshafei, Islam A., Samah Mohammed AlDweik, Mahmoud ali Hassouneh, Hanan AbuKarki, Abdellatif A. Jarrar, and Qusai S. Mansour. 2025. "Digital Transformation in Design Education: Exploring the Challenges and Opportunities in Jordanian Higher Education" Computers 14, no. 12: 535. https://doi.org/10.3390/computers14120535

APA Style

Alshafei, I. A., AlDweik, S. M., Hassouneh, M. a., AbuKarki, H., Jarrar, A. A., & Mansour, Q. S. (2025). Digital Transformation in Design Education: Exploring the Challenges and Opportunities in Jordanian Higher Education. Computers, 14(12), 535. https://doi.org/10.3390/computers14120535

Note that from the first issue of 2016, this journal uses article numbers instead of page numbers. See further details here.

Article Metrics

Article metric data becomes available approximately 24 hours after publication online.
Back to TopTop