Next Article in Journal
Determining Resampling Ratios Using BSMOTE and SVM-SMOTE for Identifying Rare Attacks in Imbalanced Cybersecurity Data
Next Article in Special Issue
Classifying the Main Technology Clusters and Assignees of Home Automation Networks Using Patent Classifications
Previous Article in Journal
An Information Security Engineering Framework for Modeling Packet Filtering Firewall Using Neutrosophic Petri Nets
Previous Article in Special Issue
Rendezvous Based Adaptive Path Construction for Mobile Sink in WSNs Using Fuzzy Logic
 
 
Font Type:
Arial Georgia Verdana
Font Size:
Aa Aa Aa
Line Spacing:
Column Width:
Background:
Article

QoS-Aware and Energy Data Management in Industrial IoT

School of Computer Engineering, University of Science and Technology of Iran, Tehran 1684613114, Iran
*
Author to whom correspondence should be addressed.
Computers 2023, 12(10), 203; https://doi.org/10.3390/computers12100203
Submission received: 19 August 2023 / Revised: 19 September 2023 / Accepted: 22 September 2023 / Published: 10 October 2023

Abstract

:
Two crucial challenges in Industry 4.0 involve maintaining critical latency requirements for data access and ensuring efficient power consumption by field devices. Traditional centralized industrial networks that provide rudimentary data distribution capabilities may not be able to meet such stringent requirements. These requirements cannot be met later due to connection or node failures or extreme performance decadence. To address this problem, this paper focuses on resource-constrained networks of Internet of Things (IoT) systems, exploiting the presence of several more powerful nodes acting as distributed local data storage proxies for every IoT set. To increase the battery lifetime of the network, a number of nodes that are not included in data transmission or data storage are turned off. In this paper, we investigate the issue of maximizing network lifetime, and consider the restrictions on data access latency. For this purpose, data are cached distributively in proxy nodes, leading to a reduction in energy consumption and ultimately maximizing network lifetime. To address this problem, we introduce an energy-aware data management method (EDMM); with the goal of extending network lifetime, select IoT nodes are designated to save data distributively. Our proposed approach (1) makes sure that data access latency is underneath a specified threshold and (2) performs well with respect to network lifetime compared to an offline centralized heuristic algorithm.

1. Introduction

One of the most important improvements in the recent technological universe is the IoT. The IoT involves connecting and integrating billions of smart devices and networks, such as wireless sensor networks (WSNs), to the internet. This creates networks that can share and interchange data to increase performance and, ultimately, individual interaction. IoT applications span a wide range of fields, including transportation, smart building control, energy management through smart meters, healthcare services, and home automation [1].
Industrial automation is currently undergoing a significant transformation, thanks to the advent of IoT technology in industrial applications. This transformation has become possible due to recent technological advancements that enable extensive and precise interconnectivity. Efforts to automate processes independently of continuous human intervention rely on the seamless flow of data between sensors, controllers, and actuators on a large scale. In recent times, the focus has been on developing and optimizing data interchange and distribution schemes within industrial structures. Data generated in this context are typically transmitted wirelessly to a central network controller. The controller then analyzes the received data and, when necessary, adjusts network pathways and data transfer mechanisms. This process not only optimizes resource allocation but also influences physical environments through actuator systems.
In industrial networks, topologies and connectivity can vary due to connection or sensor node defeats. Additionally, highly dynamic situations, where connection efficiency differs significantly from central scheduling calculations, may result in sub-optimal efficiency and possibly lead to the construction of non-guaranteed application needs. These dynamic network topologies can cause several nodes of industrial sensors to fail. The increase in systems that have batteries causes industrial networks to consume a lot of energy. Taking advantage of locally distributed computation exceeds what would normally be required [2].
In order to meet critical requirements, such as latency and network lifetime in industrial applications, data management should be based on a flexible and reliable architecture. Generating a large number of data was rarely investigated in the past and was less considered due to the problems that existed in the analysis of large volumes of data. But today, by using data management methods, this important issue can be addressed, and valuable information can be obtained in this field. It should be noted that for data management, data characteristics are investigated based on practical cases.
A large number of sensor nodes use batteries. Therefore, limiting the amount of energy in each node is one of the important challenges of industrial networks. One straightforward procedure involves delivering the packet to its destination with minimal power consumption. One popular solution involves using the shortest path with a connection cost that is the same as the energy required on every link to transmit the packet. Another method involves the maximization of network lifetime [3]. The definition of the lifetime of a WSN can vary, but it is often expressed as the elapsed time from when the first node loses power. The intended meaning of the sentence is to convey that the lifetime of a WSN can be defined in various ways. One possible definition is based on the time elapsed from the beginning of data distribution to the moment the first node in the network depletes its energy.
The model that is very common for data transfer in the industrial IoT is pub/sub [4]. The implementation of this model in industrial IoT may not be applicable due to high energy consumption and data access delay. To adopt the pub/sub industrial IoT, several papers are available that illustrate distributed methods. To explore the implementation of pub/sub mechanisms within industrial IoT contexts, numerous papers provide insights into distributed methodologies. Notable examples include [2,5,6], which collectively examine the utilization of specialized, high-capacity nodes for data storage. In these studies, the focus lies on employing select nodes with enhanced capabilities, setting them apart from standard nodes, to effectively manage and store data. In these works, several nodes that are more powerful and different from other nodes have been used to store data. Despite the outstanding works in the mentioned model, there are numerous areas ripe for development and progress; the research conducted is still in the early stages
The growth of IoT devices is leading to massive amounts of data that require low-latency access and processing from cloud data centers. This drives the need for efficient resource management and network optimization [7,8]. Battery-powered IoT devices, like sensors, have limited energy; thus, methods to reduce power consumption through scheduling, duty-cycling, and energy-harvesting are important [8,9]. For networks with many battery-constrained devices, like sensors, the lifetime is critical and can be extended through efficient protocols, scheduling, duty-cycling, and energy-harvesting techniques [7,9]. Energy-efficient distributed mobile data management is a promising approach that uses local proxies and network optimization to provide low-latency access while also saving energy [7,8,9].
This paper addresses strict latency requirements and introduces an energy-aware data management method (EDMM) that maximizes network lifetime designed to distribute and cache data at selected proxy nodes near sensors and actuators. This significantly reduces energy consumption, latency, and overhead, aligning with the principles of environmentally friendly industrial IoT practices. Dynamic node management strategies are incorporated, ensuring that nodes that are not actively involved in caching or communication are switched off to conserve energy resources. These innovations collectively pave the way for more responsive and efficient data management techniques in industrial IoT networks, aligning with the real-time demands of industrial applications.
In this article, the industrial IoT system, which consists of sensor and operator nodes, is considered. In the proposed model, data consumers are introduced as actuators and producers as sensors. Some intermediate nodes, which have different capabilities from other nodes, act as proxy nodes. The primary objective of this paper is to maximize the network’s lifetime, taking into account certain limitations to enhance the performance of the proposed strategy. Given the location of the proxy, the initially limited energy resources, the data request models, and the maximum latency, this goal is achieved. For better performance, the nodes that are not involved in the process are turned off. Data are also prioritized and some data are available faster than others; these data are known as urgent data. In this way, to check the latency requirements, the data are considered in two categories—urgent and normal data—and each node has its own latency threshold. We show that the proposed method (1) guarantees data access latency below a specified threshold and (2) performs well in terms of network lifetime when compared to an offline centralized heuristic algorithm.
The remainder of this article is as follows: We supply a summary overview of the literature review in Section 2. The introduction of the model system is presented in Section 3. We illustrate the proposed approach (EDMM) in Section 4. In Section 5, the performance evaluation and obtained results are mentioned. Finally, in Section 6, the article is concluded, and we present some intuitions for future schemes.

2. Literature Review

Related works for the current study are [5,10,11]. In these articles, the authors focus on how to place the proxy in the network. In these works, the delay of data access is investigated and analyzed in order to improve the efficiency of the suggested approaches. Maximizing network lifetime is considered in [5]. A limited number of edge nodes, which have distinct and more powerful abilities than other nodes, are introduced as proxy nodes. Among the other objectives in that article, the location of proxies, the limited energy resources that nodes have, and the maximum delay that can be tolerated by consumer nodes are looked at. To maximize the lifetime of the network, the authors prove that the investigated problem is NP-hard and should be investigated by heuristic algorithms. In their proposed method, the authors show that the access latency is lower than the threshold and even though the lifetime of the network in their proposed method is lower than the optimal method, the performance of this method is better. The authors in [5] only consider the paths that achieve the maximum delay limit;  all paths are not considered in this approach and the number of proxy nodes in the network is fixed.
In [10], the authors focus on energy consumption optimization. They consider the access latency, cache valency, and different data types in their investigation. In their proposed approach, energy consumption is considered in two ways, i.e., from the sensor to the proxy and from the proxy to the sensor. Regarding energy savings, some proxy nodes that are not involved in the process are turned off. In addition to considering proxies in the off mode, some data that are available more rapidly than others are designated as critical (urgent) data, and other data are designated as normal data. According to the data classification, the limits related to normal and critical data are separately considered; the limitation discussed in this article pertains to combined aspects of access latency. Moreover, along with the approach proposed by the authors, an algorithm based on ACS is also presented, and the meta-heuristic algorithm works like the optimal method in many cases. It should be noted that the proposed method is proven superior against corresponding methods based on different criteria, including energy consumption, access latency, and computing time. In [10], the authors do not consider the issue of maximizing the lifetime of the network and only focus on the optimization of energy consumption.
In [11], the authors consider a function that consists of the amount of energy consumption and access delay. This function includes the total energy consumption required to keep the nodes active and the energy consumption for data transfer, involving transmissions from the sensor to the proxy and from the proxy to the actuator. This function also includes data access latency. Their proposed method ensures the mean access latency remains below a predetermined maximum threshold, corresponding to data volume. The proposed strategy in [11] is similar to the strategy in [10], i.e., when increasing the efficiency of the proposed approach, data that are available faster are introduced as urgent data, and others are introduced as normal data. In this article, several proxy nodes are considered as idle (off). Finally, the proposed approach in 3 exhibits superior performance compared to similar and corresponding methods. The authors of [11] do not address the issue of maximizing network lifetime; their main goal is to reduce energy consumption.
In [12], the authors proposed new optimization formulas to maximize the network lifetime. Based on column generation, a method is provided to solve this type of optimization problem. In this article, the machine-to-machine connection is considered. In a machine-to-machine connection, sensor measurements are conducted within the network and are dispatched to various destinations through multi-part transmission. Since only a few configurations are used to maximize network lifetime, their proposed method is effective in practice. In addition to maximizing network lifetime, the authors provide upper and lower bands for their proposed formula. The authors do not address the issue of data access delay and do not pay attention to the role of proxy in the network.
The authors of [9] propose an energy-efficient resource management framework for software-defined data centers (SDDCs) to handle rapidly growing IoT and big data workloads. The consolidated model optimizes VM deployment and network bandwidth allocation to minimize energy consumption in SDDCs while guaranteeing quality of service. It uses a priority-aware heuristic approach based on weighted utility functions to select the best hosts and switches for allocating VMs and bandwidth for both critical and non-critical applications. The utility functions account for power consumption, resource utilization, and bandwidth usage. Experiments demonstrate that compared to existing schemes, the framework reduces the total energy consumption of SDDCs by 27.9%, with negligible quality of service violations of 0.33. The scheme is shown to be effective at improving energy efficiency in cloud data center resource management.
The authors of [8] propose an Internet of Things-based industrial data management framework with five layers: physical, network, middleware, database, and an application to efficiently collect and leverage massive, heterogeneous manufacturing data from smart devices on factory floors. The middleware layer collects, pre-processes, and aggregates real-time data using protocols like OPC-UA and provides modules for resources, events, data, and recovery management. A distributed database layer offers local storage prior to cloud transmission to avoid network delays. The application layer analyzes the data to gain insights into optimizing manufacturing processes, predicting maintenance, and driving smart factory decision-making. A case study with smart pumps demonstrates the framework’s ability to successfully acquire, manage, and convert real-time industrial big data at scale into useful information to improve factory operations and productivity.
The authors of [7] explore technological trends that drive the evolution of massive MIMO into the 6G era, including metasurface-enabled massive MIMO for enhanced beamforming and sensing, ultra-massive MIMO at THz frequencies (offering tremendous capacity along with design challenges), cell-free architectures to improve spectral and energy efficiency, the integration of AI for gains in resource allocation and channel estimation, adaptations like non-coherent demodulation for high-speed applications, and expanding the reach to non-terrestrial networks while managing large delays and losses. The survey examines how these advancements, including intelligent surfaces, new frequency bands, innovative architectures, AI, and expanding applications, are transforming massive MIMO capabilities to meet future demands, but also require solutions to new challenges around factors like beam management, interference, transport, and modeling, to fully unlock their potential in 6G and beyond.
In [6], the authors specify and select a limited set of proxy nodes to store the data required by the consumer nodes, striking a balance between threshold data access latency and choosing a low number of proxies. The selection of proxy nodes should ensure guaranteed maximum access latency for data delivery to the requesting nodes. Any node can potentially be selected as a proxy node, and if the selection of proxy nodes is conducted correctly, the authors’ goal of reducing access latency will be achieved. By minimizing the number of proxy nodes, the overall consumption of system resources is reduced. In this method, the average access latency is considered instead of the access latency of each node, and the maximization of network lifetime is not considered.
Standard WirelessHART uses graph routing to improve network reliability. The issue of network lifetime in graph routing is an important topic and has been focused on by many authors. The maximum lifetime of network WirelessHART under graph routing is mentioned in [13]; the authors prove that this problem is NP-hard and should be solved with the help of optimization algorithms. Therefore, in order to maximize the lifetime of WirelessHART networks, they introduce several algorithms. They show that the computation time required by greedy heuristics is greatly reduced, especially for WirelessHART networks, where graph roots may be computed often when network variations occur in open environments; thus, it is suitable and has good performance.
In [14], the authors develop their work from [5]. Considering the access delay, they attempt to increase network lifetime in industrial environments that have several hops. They prove that the problem is computationally complex and unsolvable; in order to solve the objective function, they design a one-step algorithm. Here, the authors use a fixed number consisting of proxy nodes and do not consider other modes of the proxy selection, such as whether the proxy nodes are on or off.
Sensor nodes in the WSN are nodes that have lower costs and less capability. However, they have the ability to work in environments that cannot be closed but cannot be transported in an effective manner. In [15], the authors propose a clustering technique to partition these nodes. In the clustering method, the cluster head must have special privileges, and the cluster heads are responsible for sending information to other nodes. In [15], the authors present a model for choosing the cluster head; the chosen method aims to maximize the lifetime of the network and optimize energy consumption. This method takes into account limitations, such as lower energy consumption and delay. The authors compare their proposed method with different algorithms and prove that this method exhibits superior performance. To achieve the article’s goal, the authors utilize all sensor nodes, with some nodes not considered to be off.

3. System Modeling

System modeling is a principal issue in studies of this nature and it needs to encompass various topics for a comprehensive understanding of what we have, what we present, and the preferences.
In fact, it is a basic concept that we need in order to evaluate past and present methods. Corresponding models should be presented and, accordingly, other related topics will be represented around them.
An industrial network can include three kinds of components: sensors, actuators, and central controllers, which are enumerated as corresponding components for traditional networks. The ordinary connection method of IIoT involves both pub and sub models. As an example of data sources, sensors can be defined and transmit data to a central controller; this component can store the data so that they are available to the actuators when they request it. In smart factories, where industrial network applications are subject to time constraints, access latency is of considerable importance, in accordance with caching relative data in the central controller from the consumers of actuators. Therefore, access latency is very important and requires special attention. On the one hand, the latency corresponds to data access and is important for numerous reasons, including the extensive distance between data and the central controller. On the other hand, the overhead surrounding the central controller can be attributed to the burden of highlighting, maintaining, and processing all network data through the central controller. Both traditional pub and sub models endure important and critical challenges concerning network lifetime, due to the vital energy consumption surrounding the central controller in addition to data path triangularization.
The elapsed time from the start of data distribution to the earliest node losing its energy is defined as the lifetime of the network. The purpose of this paper is to maximize the lifetime of the network. By considering all available and possible paths for the data if the proxies are certain, a path is chosen that leads to the maximization of the lifetime. In our proposed method, we also use the off and on properties of nodes and we consider off nodes that are not used in the path. To achieve the objective of the problem, for each piece of data, we identify the possible paths and select the paths that meet the maximum delay restriction. For every one of these paths, we calculate the energy discharge on the path nodes. Therefore, if that path is active, we determine the node in the path with the minimum remaining lifetime. Among all possible paths, we finally choose the path that leads to the maximum remaining lifetime. In particular, for every path, a node is considered to be the first to die in the network while that path is active; in this way, a path is selected wherein the nodes have the longest lifespan. In this article, the available data are prioritized and a group of data is considered urgent data. Urgent data are available to the consumer faster than other data, and the data access latency is analyzed in two separate groups of urgent and normal data. Since one of the goals of this plan is to reduce the data access latency, it is demonstrated that in the case of a semi-determined proxy, the amount of data access latency is reduced compared to a determined proxy; as a result, it improves network performance.
The models can be organized as follows. Their corresponding details are expressed below. In the model of the proposed system, internet devices of industrial objects are connected with each other, with the help of wireless communication links. We illustrate this in Figure 1. Some of the nodes in the network are producer nodes (sensors), some are consumer nodes (operators), and others are proxies.
In order to tackle the challenges mentioned earlier, we propose a system model, as depicted in Figure 1. In this model, certain components of the IIoT network act as proxy nodes, which are responsible for caching the data generated by the sensor nodes. This caching mechanism enables efficient data access. To ensure seamless data retrieval, each actuator is assigned to a suitable proxy node that holds the relevant cached data. By intelligently selecting proxy nodes and appropriately designating actuators to them, we guarantee that the data access latency remains below a predefined maximum threshold. This optimization not only improves performance but also minimizes the energy consumed during the data transmission between the sensor nodes and proxy nodes, as well as between the proxy nodes and actuators. A crucial element within our system model is the central controller, which assumes a managerial role by executing the EDMM. This scheme oversees the overall operation, coordination, and management of the network components, ensuring efficient data handling and resource allocation. Overall, our proposed system model, with its selection of proxy nodes, actuator assignments, and central controllers with the EDMM, aims to optimize data access latency and conserve energy in the industrial IoT environment.
All these nodes are connected to each other by means of communication links.
Suppose that G = ( V , E ) is as a graph of an industrial IoT network, where V denotes a set of nodes of a graph G and every node u ϵ V has a limited amount of energy that can be defined as E u . The network is able to characterize two kinds of nodes: resource-constrained sensors and data nodes in addition to potential proxy nodes that are placed in a set P. If P is the total number of proxy nodes, V is the number of nodes, and E p is the limited amount of energy of proxy p, then P V , | P | | V P | ,and E p E u , u ϵ V , p ϵ P . A node u ϵ V can propagate data utilizing appropriate industrial wireless technologies to nodes that are in the neighborhood N u . N u includes nodes ν ϵ V that satisfy γ . ρ u δ ( u , ν ) so that ρ u is the transportation limit area of node u, δ ( u , ν ) is the Euclidean interval among u and ν , and  γ is a neighborhood adjustment parameter, where 0 < γ 1 .
One essential aspect of industrial operations involves consumer access to data on demand (typically in a timely manner). A delivery system must ensure compliance with certain maximum data access latency constraints. l u ν is defined as a delay that includes one hop from u to ν . The latency resulting from multiple hops, achieved from u to p, is defined by L u p = l u ν 1 + + l ν i p + l p ν i + + l ν 1 u . It is shown in Figure 2.
The data access latency in Figure 2 is
L u p = l u ν 1 + l ν 1 ν 2 + l ν 2 p + l p ν 2 + + l ν 2 ν 1 + l ν 1 u .
Upon a requisition from c i , data piece D i is delivered from p through a (distinct) multi-hop path; the data access latency of c i can be defined by
L c i = l c i u + + l ν p + l p ν + + l u c i
Urgent data with high-priority data parts should be sent quickly. Therefore, we consider L max as the maximum tolerable delay for normal data and L max u as the maximum tolerable delay for urgent data, with  L max u < L max .
In some cases, data generation takes place in networks related to industrial processes. In general, data are divided into two groups: urgent data and normal data. Urgent data are data that are necessary to exist in the network. The data are introduced by D, where D = { D 1 , D 2 , , D m } . Any data piece can be defined by D i = ( s i , c i , u i , r i ) , where s i ϵ V is the source of D i , c i ϵ V is the consumer of D i , r i represents the data production rate of D i , where i = 1 , 2 , , m and m is the number of data.
Given this constraint and the constraints that we will demonstrate in the following, the main aim for each data source, s i , is the proxy recognition p, where the relevant data should be cached, for the purpose of maximizing the lifetime of the network. For the following topics, we are going to provide a suitable showcase for our main problem, i.e., the maximization issue. The purpose of modeling is to progress, and decisions should be made corresponding to our model representation Decision-making will be given in the next subsection.

Decision Problem

As mentioned previously, we should deal with the problem of what we can do. Clearly, our decision should be made and our constraints should be highlighted and explained. Regarding decision-making, many related issues are better clarified and understood. Meanwhile, there are numerous constraints that must be accepted, and considering such items, we want to choose the best options. However, the choice must be optimized and have at least one preference due to the other items. For the following sub-section, we will prove suitable decision constraints and their related decision-making procedures to achieve our goal. Further topics and complimentary topics will be presented.
Suppose that there is a set of deployed proxies p for a provided network G = ( V , E ) . Two situations are considered for each P: active (that is, communicating or caching) and idle. In the idle mode, P is ON but its internal storage is not in use and refuses to participate in sending or receiving data. Therefore, e p o n denotes the energy costs of activating node P as a proxy node. Energy consumption costs can be defined by ε u ν for every u , ν ϵ V.
The aim is to maximize network lifetime, which can be challenging in industrial IoT. Consequently, the time span from the initiation of data distribution to the moment when the first node in the network depletes its energy is defined as the lifetime of the network. To construct the objective function that maximizes the lifetime of the network, we present the decision variables, x u ν i , which keep the essential information about the transport of the data pieces across the edges of the graph. In particular, x u ν i = 1 when an edge ( u , ν ) is activated for the data piece D i . We denote a u ν = i = 1 m r i x u ν i as the sum of the data rate of ( u , ν ) . All a u ν is defined by x = [ a u ν ] . According to the above statements, the lifetime of node u ϵ V is given by
T u ( X ) = E u e u o n ν ϵ N u ( a u ν ε u ν + ( i = 1 m x u ν i ) )
The original objective function for this study, which can be enumerated as network lifetime, can be formulated as follows:
T ( X ) = min u ϵ V { T u ( X ) | ν ϵ N u x u ν i > 0 }

4. Energy-Aware Data Management Method

The first problem is to find suitable objective issues that can be regarded in the decision-making process and formulation of our constraints. Among the different subjects, energy is one of the most important, applicable, and interesting topics to deal with. The energy is of interest in both internal and existing problems. There is an interest in minimizing internal energy consumption, in direct contrast to maximizing the available external energy. Having information about energy enables us to design a decision problem that can be useful in data management, utilizing energy amounts and energy-aware concepts. To address this, an energy-aware data management strategy, encompassing both theoretical and applied topics, will be presented. Methods for resolving these concerns are also discussed.
Here, we introduce the EDMM method that chooses proxy nodes from set P. This strategy simultaneously divides them into data pieces, to maximize network lifetime. In the same direction, we take into account the access delay and storage capacitance. We propose an algorithm to solve our problem of maximizing the lifetime in the network.
m a x : T ( X )
s . t . L c i . x p c i i ( 1 u i ) L max + u i L max u d i ϵ D , p ϵ P
p ϵ P x p ν i 1 i
υ ϵ V ( x u ν i x ν u i ) = 0 u ϵ V s i , c i
υ ϵ V ( x s i ν i x ν s i i ) = 1 s i ϵ V
υ ϵ V ( x c i ν i x ν c i i ) = 1 c i ϵ V
ν ϵ V i ε u ν r i x u ν i E u u ϵ V
υ ϵ V x u ν i 1 u ϵ V , i
x u ν i ϵ { 0 , 1 }
The constraints mentioned are briefly stated. Constraint (4) ensures that neither normal nor urgent data can exceed the latency thresholds. Constraint (5) ensures that one or more proxies are involved in the distribution of the data pieces. Data flow conservation is assured according to constraints (6)–(8) for all nodes. Regarding constraints (9), it is clear that the total energy consumption related to each node u will not exceed the primary level E u . In the following, constraint (10) is able to make sure that any data piece is propagated from u through just one edge ( u , ν ) . Variables x u ν i (11) are set to be integers that are understood based on the formulation of the problem.
For better understanding, the procedure algorithm will be presented. According to this algorithm, the strategy can be completely executed. The input and output can be clearly found, allowing us to base our intuition on the results Algorithm 1 demonstrates the procedure for finding our problem, which is obtained using the CPLEX tool.
Algorithm 1 EDMM.
network graph G ( V , E ) , set of data pieces D, energy of an active node e o n , limited energy node E u , energy consumption costs ε u ν , L max , and  L max u For all d i ϵ D
For all p ϵ P
D ← Sort D from highest to the lowest r i
T u ( X ) Compute the lifetime by Equation (2)
X← Proxy for every data piece maximizing the objective function
X

5. Performance Evaluation

In this section, the performances of the presented model are tested and the corresponding results are evaluated. The processes were executed according to software procedures, and the related steps will be clearly defined. As it seems logical, firstly, we focus on setting the parameters and assigning their initial values. The analysis topics are then presented and the corresponding sensitivity analysis is explained. In addition, complementary algorithms, analyses, and comprehensive discussions will be covered. The advantages of our method will be clearly expressed in both algorithmic and software outputs. MATLAB is the software utilized in this part, and the corresponding results along with their detailed discussions can be found in this section.
Considering various network scales, we are going to demonstrate the efficiency of the proposed method, which we denote as EDMM, via an extensive assessment. Furthermore, we will compare the given strategy with the presented approach [5]. The analytical behaviors of the given model are based on the optimization issues by the CPLEX solver utilizing a MATLAB simulator.

5.1. Parameter Settings

The first step in evaluating the performance of our algorithm involves establishing initial values to enable the running of the algorithm. The initial parameters play an important role in the sensitivity analysis. It is better to choose them appropriately so that we can evaluate the performances and behaviors of the presented strategy. The choice of the initial parameter is expressed and further concepts are discussed.
In this part, a real application problem will be discussed. Consider the Inria Lille - Nord Europe, which hosts an Euratech testbed, consisting of a showroom and 224 nodes, as arranged below: A total of 2 horizontal forms are placed in a grid constitution of 5 × 19 nodes and 34 nodes are affixed to the wall, 0.60 m away from it. For our current purpose and to consider a plausible indoor industrial topology, we will consider 18 of the testbed nodes; this selection results in node distances ranging between 1.2 and 1.7 m. Assuming different existence power levels, we aim for a transmission power of 3 m, with γ = 0.6 ; this results in an average neighborhood consisting of five neighboring nodes, on average, where ν ϵ N u and where d ( u . ν ) 2 [5]. The proportion of data varies from 10% to 50% regarding the number of nodes. For any status, 50% of the data are categorized as urgent, and the remainder is designated as normal.
For the present examination, we utilize the WSN430 data that are provided in [5]. These data are mote-constructed data featuring a low-power MSP430-based structure equipped with standard sensors Further information can be found in [16]. It is worth mentioning that these data also engage with the IEEE 802.15.4 radio interface at 2.4 GHz. The antenna TX power has been set at 25 dBm, in alignment with the CC2420 antenna data [16]. We obtain our favorite scope, ρ u = 3 m. The corresponding nodes have a maximum capacity of 830 mAh at 3.7 V and are battery-operated. Further facts and pieces of information that are based on simulation studies are revealed in Table 1.

5.2. Analysis

The second item that we investigate revolves around performing a comprehensive analysis of the efficacy of our proposed model We will present three figures to help elucidate the behaviors of our model.
To improve our evaluation, we compare EDMM with the approach presented in [5], where the authors introduced an offline centralized heuristic algorithm to assess their PDD. We compare EDMM and PDD, focusing on various evaluation criteria, such as network lifetime and access latency.
Network lifetime: We run the proposed approach (EDMM) in the network and consider c i and r i , as they increase from 1 to 8; the results are compared with an offline centralized heuristic algorithm (PDD). We illustrate the comparison in Figure 3. It is evident that an increase in the number of consumers results in a reduction in network lifetime. It is obvious that the EDMM is more efficient in comparison with PDD and the lifetime of the network obtained through method EDMM is longer than the PDD method.
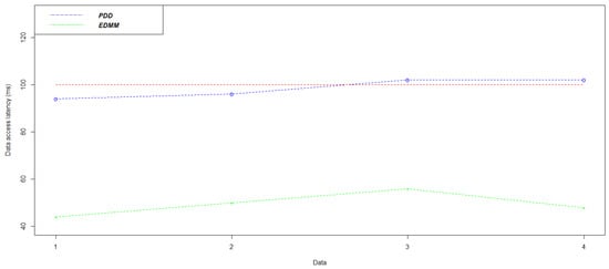
Data access delay: Data access delay has been studied and is determined by evaluating all consumers present in a network. The measure can be defined by the individual demands of the consumers to the related proxies that store their data, and it refers to asynchronous latency. For both urgent and normal data, EDMM ensures that the access latency is consistently below their corresponding maximum latency thresholds The EDMM ensures that, in this case, access latency remains below their corresponding maximum latency thresholds for both urgent and normal items. In this regard, and for a comparative illustration, the comparison between latency and urgent data can be found, respectively, in Figure 4 and Figure 5. These figures show that the amount is divided fifty-fifty between these data. The urgent access latency and urgent data are compared in Figure 4. Accordingly, access latency is lower than 100 ms, and it is recognized for urgent data as the maximum latency threshold. It can be highlighted that our method, named EDMM, consistently remains below the maximum threshold for urgent data in all cases. Meanwhile, the alternative strategy, PDD, is unable to achieve the same. Finally, provide a measure combining both normal and urgent latency, termed as the total data access latency, where their rate of combination is equal. For a comprehensive and collaborative showcase of this statement, see Figure 5. The red line for both Figure 4 and Figure 5 is the normal level for comparison with others.

6. Conclusions

In this paper, we present an energy-aware data management method (EDMM). In this method, a set of IoT nodes is chosen to store data in a distributed manner to maximize network lifetime. In addition, for the purpose of increasing battery lifetime, several nodes that do not participate in data transmission or storage are considered to be idle or off. The data available in the network are divided into two groups: urgent data and normal data. Accordingly, the access latency will be different for each group. Therefore, the maximum latency is considered for two groups, and the maximum latency for urgent data and normal data should not exceed the average latency of data access from these two thresholds. We illustrate that the proposed approach (1) ensures data access latency remains below a specified threshold, and (2) exhibits commendable network lifetime performance in comparison to an offline centralized heuristic algorithm. The maximum lifetime of the network in both directions, from the producer node to the proxy node and also from the proxy node to the consumer node, can be explored as future goals. It is also possible to consider the maximum lifetime of the network and to improve the issue; machine learning and deep learning mechanisms can also be used.

Author Contributions

The authors confirm their contribution to the paper as follows: study conception and design: Y.A.; data collection: Y.A.; analysis and interpretation of results: Y.A. and Z.M.; draft manuscript preparation: Y.A. and Z.M. All authors reviewed the results and approved the final version of the manuscript.

Funding

This research received no external funding.

Data Availability Statement

Not applicable.

Conflicts of Interest

The authors declare no conflict of interest.

References

  1. Da Xu, L.; He, W.; Li, S. Internet of things in industries: A survey. IEEE Trans. Ind. Inform. 2014, 10, 2233–2243. [Google Scholar]
  2. Raptis, T.P.; Passarella, A.; Conti, M. Distributed path reconfiguration and data forwarding in industrial IoT networks. In Proceedings of the International Conference on Wired/Wireless Internet Communication, Boston, MA, USA, 18–20 June 2018; Springer: Berlin/Heidelberg, Germany, 2018; pp. 29–41. [Google Scholar]
  3. Shah-Mansouri, V.; Wong, V.W. Distributed maximum lifetime routing in wireless sensor networks based on regularization. In Proceedings of the IEEE GLOBECOM 2007-IEEE Global Telecommunications Conference, Washington, DC, USA, 26–30 November 2007; IEEE: New York, NY, USA, 2007; pp. 598–603. [Google Scholar]
  4. Salman, T.; Jain, R. A survey of protocols and standards for internet of things. arXiv 2019, arXiv:1903.11549. [Google Scholar] [CrossRef]
  5. Raptis, T.P.; Passarella, A.; Conti, M. Maximizing industrial IoT network lifetime under latency constraints through edge data distribution. In Proceedings of the 2018 IEEE Industrial Cyber-Physical Systems (ICPS), Saint Petersburg, Russia, 15–18 May 2018; IEEE: New York, NY, USA, 2018; pp. 708–713. [Google Scholar]
  6. Raptis, T.P.; Passarella, A.; Conti, M. Performance analysis of latency-aware data management in industrial IoT networks. Sensors 2018, 18, 2611. [Google Scholar] [CrossRef] [PubMed]
  7. Huo, Y.; Lin, X.; Di, B.; Zhang, H.; Hernando, F.J.L.; Tan, A.S.; Mumtaz, S.; Demir, O.T.; Chen-Hu, K. Technology Trends for Massive MIMO towards 6G. Sensors 2023, 23, 6062. [Google Scholar] [CrossRef] [PubMed]
  8. Saqlain, M.; Piao, M.; Shim, Y.; Lee, J.Y. Framework of an IoT-based industrial data management for smart manufacturing. J. Sens. Actuator Netw. 2019, 8, 25. [Google Scholar] [CrossRef]
  9. Kaur, K.; Garg, S.; Kaddoum, G.; Bou-Harb, E.; Choo, K.K.R. A big data-enabled consolidated framework for energy efficient software defined data centers in IoT setups. IEEE Trans. Ind. Inform. 2019, 16, 2687–2697. [Google Scholar] [CrossRef]
  10. Ghaderi, A.; Movahedi, Z. An energy-efficient data management scheme for industrial IoT. Int. J. Commun. Syst. 2022, e5167. [Google Scholar] [CrossRef]
  11. Ghaderi, A.; Movahedi, Z. Joint Latency and Energy-aware Data Management Layer for Industrial IoT. In Proceedings of the 2022 8th International Conference on Web Research (ICWR), Tehran, Iran, 11–12 May 2022; IEEE: New York, NY, USA, 2022; pp. 70–75. [Google Scholar]
  12. Fitzgerald, E.; Pióro, M.; Tomaszewski, A. Network lifetime maximization in wireless mesh networks for machine-to-machine communication. Ad Hoc Netw. 2019, 95, 101987. [Google Scholar] [CrossRef]
  13. Wu, C.; Gunatilaka, D.; Saifullah, A.; Sha, M.; Tiwari, P.B.; Lu, C.; Chen, Y. Maximizing network lifetime of WirelessHART networks under graph routing. In Proceedings of the 2016 IEEE First International Conference on Internet-of-Things Design and Implementation (IoTDI), Berlin, Germany, 4–8 April 2016; IEEE: New York, NY, USA, 2016; pp. 176–186. [Google Scholar]
  14. Raptis, T.P.; Passarella, A.; Conti, M. Distributed data access in industrial edge networks. IEEE J. Sel. Areas Commun. 2020, 38, 915–927. [Google Scholar] [CrossRef]
  15. Dattatraya, K.N.; Rao, K.R. Hybrid based cluster head selection for maximizing network lifetime and energy efficiency in WSN. J. King Saud-Univ.-Comput. Inf. Sci. 2022, 34, 716–726. [Google Scholar] [CrossRef]
  16. Instruments, T. CC2420 Datasheet, 2.4 GHz IEEE 802.15.4/ZigBee-Ready RF Transceiver. Available online: https://www.datasheetarchive.com/datasheet?id=66183dbafa491d9516661fe05ea7917183615d&type=P&term=cc2420 (accessed on 19 August 2023).
Figure 1. The proposed system model.
Figure 1. The proposed system model.
Computers 12 00203 g001
Figure 2. Data access delay. (a) Data request, (b) Data delivery.
Figure 2. Data access delay. (a) Data request, (b) Data delivery.
Computers 12 00203 g002
Figure 3. Network lifetime.
Figure 3. Network lifetime.
Computers 12 00203 g003
Figure 4. Urgent data access latency.
Figure 4. Urgent data access latency.
Computers 12 00203 g004
Figure 5. Overall data access latency.
Figure 5. Overall data access latency.
Computers 12 00203 g005
Table 1. Experimental parameters.
Table 1. Experimental parameters.
ParameterValue
Topology
(2D grid)2.4 m × 6.0 m
Number of nods18
|p|different numbers
|s|, and |c|different numbers
Hardware
MCUMSP430
AntennaCC2420
Max. battery capacity830 mAh, 3.7 V
E u , and  E p 0–1, 3 Wh
Transmission power−25 dBm
Energy of keeping the active node ( e o n )6 mW
Time
One-hope latency ( l ( h ) )28 ms
( L max ) for normal120
( L max ) for urgent100
Data
(D)10–45% of |V|
(u) 50 % of (D)
Data piece generation rate r i 1–8 D i / s
Data piece size9 bytes
Disclaimer/Publisher’s Note: The statements, opinions and data contained in all publications are solely those of the individual author(s) and contributor(s) and not of MDPI and/or the editor(s). MDPI and/or the editor(s) disclaim responsibility for any injury to people or property resulting from any ideas, methods, instructions or products referred to in the content.

Share and Cite

MDPI and ACS Style

Abdullah, Y.; Movahedi, Z. QoS-Aware and Energy Data Management in Industrial IoT. Computers 2023, 12, 203. https://doi.org/10.3390/computers12100203

AMA Style

Abdullah Y, Movahedi Z. QoS-Aware and Energy Data Management in Industrial IoT. Computers. 2023; 12(10):203. https://doi.org/10.3390/computers12100203

Chicago/Turabian Style

Abdullah, Yarob, and Zeinab Movahedi. 2023. "QoS-Aware and Energy Data Management in Industrial IoT" Computers 12, no. 10: 203. https://doi.org/10.3390/computers12100203

APA Style

Abdullah, Y., & Movahedi, Z. (2023). QoS-Aware and Energy Data Management in Industrial IoT. Computers, 12(10), 203. https://doi.org/10.3390/computers12100203

Note that from the first issue of 2016, this journal uses article numbers instead of page numbers. See further details here.

Article Metrics

Back to TopTop