Slice Function Placement Impact on the Performance of URLLC with Multi-Connectivity
Abstract
1. Introduction
- identify the different actors that have stakes in RAN resource allocation, their business relationships, and their ownership of slice and network functions,
- propose a placement for the intelligent entities that take decisions on traffic steering and resource allocation for all the involved actors,
- quantify the impact of the defined architectural options on the Quality of Service (QoS) in the practical case of redundant coverage of two RATs, and
- compare the performances of various scheduling policies for different architectural options.
2. Business Relationships and Service Level Agreements
2.1. Business Relationships between Actors
2.2. Service Level Agreements
3. RAN Resource Allocation and Traffic Steering
3.1. Slice Management Functions Description and Ownership
3.2. Resource Allocation in the New 5G Ecosystem
3.2.1. Resource Allocation from MSP Perspective
3.2.2. Resource Allocation from the Tenant Perspective
3.2.3. Resource Allocation from the InP Perspective
4. Impact of Placement of Intelligent Entities on Radio Resource Allocation for Slices
4.1. Intelligence Placed at a Shared RAN NSSMF
4.2. Intelligence Placed at the NSMF
- Long-term traffic steering with no redundancy: This entails a proportional division of the URLLC traffic, based on the base stations’ average capacities as estimated by the NSMF or as provided to the MSP by the RAN NSSMF of each InP.
- Long-term traffic steering with redundancy: In the absence of any information about the different base stations’ capacities, redundancy is a costly yet simple strategy that can be used to ensure reliability. This policy consists of systematically sending the arriving URLLC packets to both base stations. While packet redundancy can achieve high reliability as it enables the experience of minimum queuing latency between the BSs, it leads to the under-utilization of radio resources. The NSMF broadcasts the policy to the URLLC user equipment during the slice instantiation.
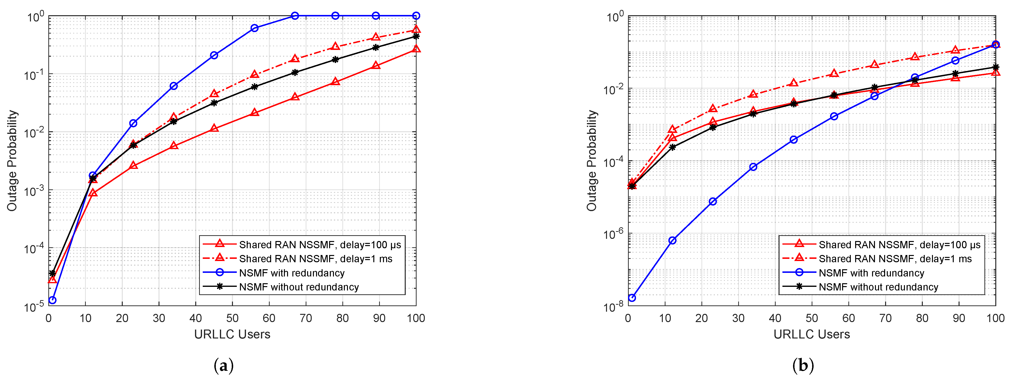
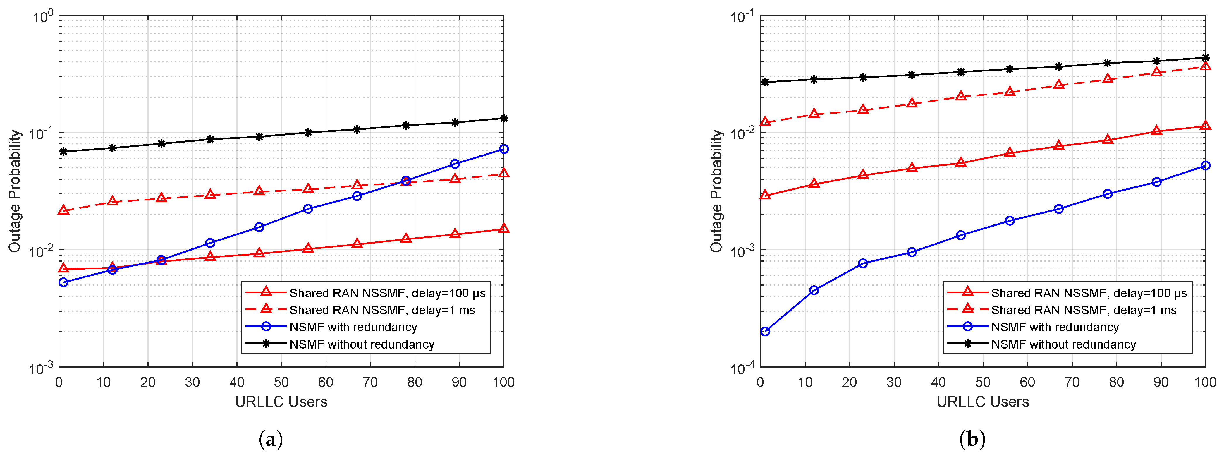
5. Performance Evaluation
5.1. System Model
- The decision in a shared RAN NSSMF: When the scheduling decision is taken at the RAN NSSMF level, the packet steering policy depends on the base station load. This scheme consists of sending the incoming URLLC packet to the queue with the smallest number of waiting packets. We consider two practical variants. The first assumes that the NSSMF knows the instantaneous load with a minimal control plane delay, set to 100 μs. The second case takes into account the control plane signaling delay equal to 1 ms in the numerical application. In other terms, the NSSMF relies on information reports sent by the BSs some time ago to make its decision.
- The decision in a far NSMF: When the instantaneous load is not available as the decision is taken at the NSMF level, we consider two possible resource allocation schemes.
- Redundancy: Each incoming packet is independently duplicated in both queues to experience minimal queuing delay at the interface with the lowest load. This scheme does not require any prior knowledge of the radio access channel. Therefore, it does not entail substantial control plane information.
- Without redundancy: This corresponds to a probabilistic routing of URLLC packets based on a long-term policy sent by the NSMF. We implement an NSMF proportional traffic steering based on the bandwidth, which means that p of the traffic is sent over BS1 and over BS2, where
5.2. Bandwidth Reservation Case for an URLLC Slice
5.3. The Coexistence of eMBB and URLLC Slices
5.3.1. Variable URLLC Traffic with Fixed eMBB Traffic
5.3.2. Variable eMBB Traffic with Fixed URLLC Traffic
5.4. Case Study: A Smart Factory Served by Three BSs
6. Concluding Remarks
Author Contributions
Funding
Institutional Review Board Statement
Informed Consent Statement
Conflicts of Interest
References
- Chen, H.; Abbas, R.; Cheng, P.; Shirvanimoghaddam, M.; Hardjawana, W.; Bao, W.; Li, Y.; Vucetic, B. Ultra-Reliable Low Latency Cellular Networks: Use Cases, Challenges and Approaches. IEEE Commun. Mag. 2018, 56, 119–125. [Google Scholar] [CrossRef]
- 3GPP. Study on Communication for Automation in Vertical Domains; 3GPP TR 22.804 v16.3.0, Technical Report; 3rd Generation Partnership Project (3GPP); University of Nice Sophia Antipolis: Nice, France, 2020. [Google Scholar]
- NGMN. 5G E2E Technology to Support Verticals URLLC Requirements; NGMN Alliance: Frankfurt, Germany, 2019. [Google Scholar]
- Foukas, X.; Patounas, G.; Elmokashfi, A.; Marina, M.K. Network slicing in 5G: Survey and challenges. IEEE Commun. Mag. 2017, 55, 94–100. [Google Scholar] [CrossRef]
- Rost, P.; Mannweiler, C.; Michalopoulos, D.S.; Sartori, C.; Sciancalepore, V.; Sastry, N.; Holland, O.; Tayade, S.; Han, B.; Bega, D.; et al. Network slicing to enable scalability and flexibility in 5G mobile networks. IEEE Commun. Mag. 2017, 55, 72–79. [Google Scholar] [CrossRef]
- Zhou, X.; Li, R.; Chen, T.; Zhang, H. Network slicing as a service: Enabling enterprises’ own software-defined cellular networks. IEEE Commun. Mag. 2016, 54, 146–153. [Google Scholar] [CrossRef]
- Ordonez-Lucena, J.; Ameigeiras, P.; Lopez, D.; Ramos-Munoz, J.J.; Lorca, J.; Folgueira, J. Network slicing for 5G with SDN/NFV: Concepts, architectures, and challenges. IEEE Commun. Mag. 2017, 55, 80–87. [Google Scholar] [CrossRef]
- 3GPP. Summary of Rel-15 Work Items; 3GPP TR 21.915 v15.0.0, Technical Report; 3rd Generation Partnership Project (3GPP); University of Nice Sophia Antipolis: Nice, France, 2019. [Google Scholar]
- Elayoubi, S.E.; Jemaa, S.B.; Altman, Z.; Galindo-Serrano, A. 5G RAN Slicing for Verticals: Enablers and Challenges. IEEE Commun. Mag. 2019, 57, 28–34. [Google Scholar] [CrossRef]
- Sallent, O.; Perez-Romero, J.; Ferrus, R.; Agusti, R. On radio access network slicing from a radio resource management perspective. IEEE Wirel. Commun. 2017, 24, 166–174. [Google Scholar] [CrossRef]
- Ferrus, R.; Sallent, O.; Perez-Romero, J.; Agusti, R. On 5G radio access network slicing: Radio interface protocol features and configuration. IEEE Commun. Mag. 2018, 56, 184–192. [Google Scholar] [CrossRef]
- Elayoubi, S.E.; Brown, P.; Deghel, M.; Galindo-Serrano, A. Radio Resource Allocation and Retransmission Schemes for URLLC Over 5G Networks. IEEE J. Sel. Areas Commun. 2019, 37, 896–904. [Google Scholar] [CrossRef]
- Pijnappel, T.R.; Borst, S.C.; Whiting, P.A. Joint Scheduling of Low-Latency and Best-Effort Flows in 5G Wireless Networks. In Proceedings of the 2020 18th International Symposium on Modeling and Optimization in Mobile, Ad Hoc, and Wireless Networks (WiOPT), Volos, Greece, 15–19 June 2020; pp. 1–8. [Google Scholar]
- Chagdali, A.; Elayoubi, S.E.; Masucci, A.M.; Simonian, A. Performance of URLLC Traffic Scheduling Policies with Redundancy. In Proceedings of the 2020 32nd International Teletraffic Congress (ITC 32), Osaka, Japan, 22–24 September 2020; pp. 55–63. [Google Scholar] [CrossRef]
- Chagdali, A.; Elayoubi, S.E.; Masucci, A.M. Impact of Slice Function Placement on the Performance of URLLC with Redundant Coverage. In Proceedings of the 2020 16th International Conference on Wireless and Mobile Computing, Networking and Communications (WiMob), Thessaloniki, Greece, 12–14 October 2020; pp. 1–6. [Google Scholar] [CrossRef]
- Pujol, F.; Elayoubi, S.E.; Markendahl, J.; Salahaldin, L. Mobile telecommunications ecosystem evolutions with 5G. Commun. Strateg. 2016, 102, 109–130. [Google Scholar]
- View on 5G Architecture (Version 2.0); 5G PPP Architecture Working Group; European Commission: Brussels, Belgium, 2017.
- Francescon, A.; Baggio, G.; Fedrizzi, R.; Ferrusy, R.; Ben Yahiaz, I.G.; Riggio, R. X–MANO: Cross–domain management and orchestration of network services. In Proceedings of the 2017 IEEE Conference on Network Softwarization (NetSoft), Bologna, Italy, 3–7 July 2017; pp. 1–5. [Google Scholar] [CrossRef]
- Habibi, M.A.; Han, B.; Nasimi, M.; Schotten, H.D. The structure of service level agreement of slice-based 5G network. arXiv 2018, arXiv:1806.10426. [Google Scholar]
- 3GPP. Technical Specification Group Services and System Aspects; Management and Orchestration; Provisioning; 3GPP TS 28.531 v16.9.0, Techical Spec.; 3rd Generation Partnership Project (3GPP); University of Nice Sophia Antipolis: Nice, France, 2021. [Google Scholar]
- Gligoroski, D.; Kralevska, K. Expanded Combinatorial Designs as Tool to Model Network Slicing in 5G. IEEE Access 2019, 7, 54879–54887. [Google Scholar] [CrossRef]
- Samdanis, K.; Costa-Perez, X.; Sciancalepore, V. From network sharing to multi-tenancy: The 5G network slice broker. IEEE Commun. Mag. 2016, 54, 32–39. [Google Scholar] [CrossRef]
- Caballero, P.; Banchs, A.; De Veciana, G.; Costa-Perez, X. Network Slicing Games: Enabling Customization in Multi-Tenant Mobile Networks. IEEE/ACM Trans. Netw. 2019, 27, 662–675. [Google Scholar] [CrossRef]
- Caballero, P.; Banchs, A.; De Veciana, G.; Costa-Pérez, X.; Azcorra, A. Network slicing for guaranteed rate services: Admission control and resource allocation games. IEEE Trans. Wirel. Commun. 2018, 17, 6419–6432. [Google Scholar] [CrossRef]
- 3GPP. Access to the 3GPP 5G Core Network (5GCN) via Non-3GPP Access Networks (N3AN); 3GPP TS 24.502 V16.2.0, Tech. Spec.; 3rd Generation Partnership Project (3GPP); University of Nice Sophia Antipolis: Nice, France, 2019. [Google Scholar]
- Ji, H.; Park, S.; Yeo, J.; Kim, Y.; Lee, J.; Shim, B. Ultra-reliable and low-latency communications in 5G downlink: Physical layer aspects. IEEE Wirel. Commun. 2018, 25, 124–130. [Google Scholar] [CrossRef]
- ITU-R. Minimum Requirements Related to Technical Performance for IMT-2020 Radio Interface(s); Technical Report; International Telecommunication Union: Geneva, Switzerland, 2017. [Google Scholar]











| Acronym | Definition |
|---|---|
| 3GPP | Third Generation Partnership Project |
| 5G | Fifth generation of wireless networks |
| BBU | Baseband Units |
| BS | Base Station |
| CN | Core Network |
| CSMF | Communication Service Management Function |
| eMBB | Enhanced Mobile Broadband |
| InP | Infrastructure Provider |
| KPI | Key Performance Indicator |
| MANO | Management and Network Orchestration |
| MCS | Modulation and Coding Schemes |
| MSP | Mobile Service Provider |
| MVNO | Mobile Virtual Network Operator |
| NF | Network Function |
| NFV | Network Function Virtualization |
| NR | New Radio |
| NSaaS | Network Slicing as a Service |
| NSI | Network Slice Instance |
| NSMF | Network Slice Management Function |
| NSSI | Network Slice Subnet Instance |
| NSSMF | Network Slice Subnet Management Function |
| OTT | Over-The-Top |
| PNF | Physical Network Function |
| PNF | Physical Network Function |
| QoS | Quality of Service |
| RAN | Radio Access Network |
| RAT | Radio Access Technology |
| RRM | Radio Resource Management |
| SDN | Software-Defined Network |
| SLA | Service Level Agreement |
| UE | User Equipment |
| URLLC | Ultra-reliable and Low-Latency Communications |
| VNF | Virtual Network Function |
| Function | Location | Functionality | Owner | Autonomy |
|---|---|---|---|---|
| UE scheduler | UE | Dispatches UE traffic to access points | Vertical | Applies policies specified by the vertical |
| BS scheduler | Base station | Allocates time/frequency resources to UEs | InP | Applies policies specified by the InP |
| NSSMF | RAN (e.g., Cloud RAN) | Orchestrates RAN resource allocation to slices | InP | Defines policies for the InP base stations |
| NSMF | MSP management server | Defines traffic steering policies for the slice | MSP | Defines MSP policies |
| CSMF | Tenant management entity | Updates slice requirements and SLAs | Tenant | Defines tenant policies and needs |
| (e.g., application Server) |
| Simulation Parameters | Value |
|---|---|
| URLLC packet size | 32 bytes |
| eMBB packet size | 1500 bytes |
| Control plane reports | 100 s, 1 ms |
| Latency threshold | ms |
| URLLC packet generation per user | 100 packets/s |
| URLLC Spectral efficiency | bits/Hz/s |
| eMBB spectral efficiency | 9 bits/Hz/s [27] |
Publisher’s Note: MDPI stays neutral with regard to jurisdictional claims in published maps and institutional affiliations. |
© 2021 by the authors. Licensee MDPI, Basel, Switzerland. This article is an open access article distributed under the terms and conditions of the Creative Commons Attribution (CC BY) license (https://creativecommons.org/licenses/by/4.0/).
Share and Cite
Chagdali, A.; Elayoubi, S.E.; Masucci, A.M. Slice Function Placement Impact on the Performance of URLLC with Multi-Connectivity. Computers 2021, 10, 67. https://doi.org/10.3390/computers10050067
Chagdali A, Elayoubi SE, Masucci AM. Slice Function Placement Impact on the Performance of URLLC with Multi-Connectivity. Computers. 2021; 10(5):67. https://doi.org/10.3390/computers10050067
Chicago/Turabian StyleChagdali, Abdellatif, Salah Eddine Elayoubi, and Antonia Maria Masucci. 2021. "Slice Function Placement Impact on the Performance of URLLC with Multi-Connectivity" Computers 10, no. 5: 67. https://doi.org/10.3390/computers10050067
APA StyleChagdali, A., Elayoubi, S. E., & Masucci, A. M. (2021). Slice Function Placement Impact on the Performance of URLLC with Multi-Connectivity. Computers, 10(5), 67. https://doi.org/10.3390/computers10050067

