Modulation of Leukemic Blasts into Dendritic Cells (DCleu) and Their Role in Predicting Survival in Patients with AML and MDS
Simple Summary
Abstract
1. Introduction
2. Material and Methods
2.1. Sample Collection and Preparation
2.2. Patients’ Characteristics and Definitions
2.3. Flow Cytometry
2.4. Cell Culture Experiments
2.5. Dendritic Cell Culture from PBMNCs and WB
2.6. Mixed Lymphocyte Cultures (MLC)
2.7. Cytotoxicity Fluorolysis Assay
2.8. Enzyme-Linked Immunosorbent Assay (ELISA)
2.9. Statistical Methods
3. Results
- 1.
- Blasts are regularly converted to DC/DCleu in the presence of standard DC/DCleu-generating protocols and Kits, leading to activated ne cells, after stimulation in T cell-enriched MLC
- 2.
- Functional analyses
- 2.1
- Higher probability of achieving blast lysis after DC/DCleu stimulated T cell enriched MLC
- 3.
- DC/DCleu, blast, T cell and cytokine profiles in correlation with anti-leukemic activity after MLC
- 4.
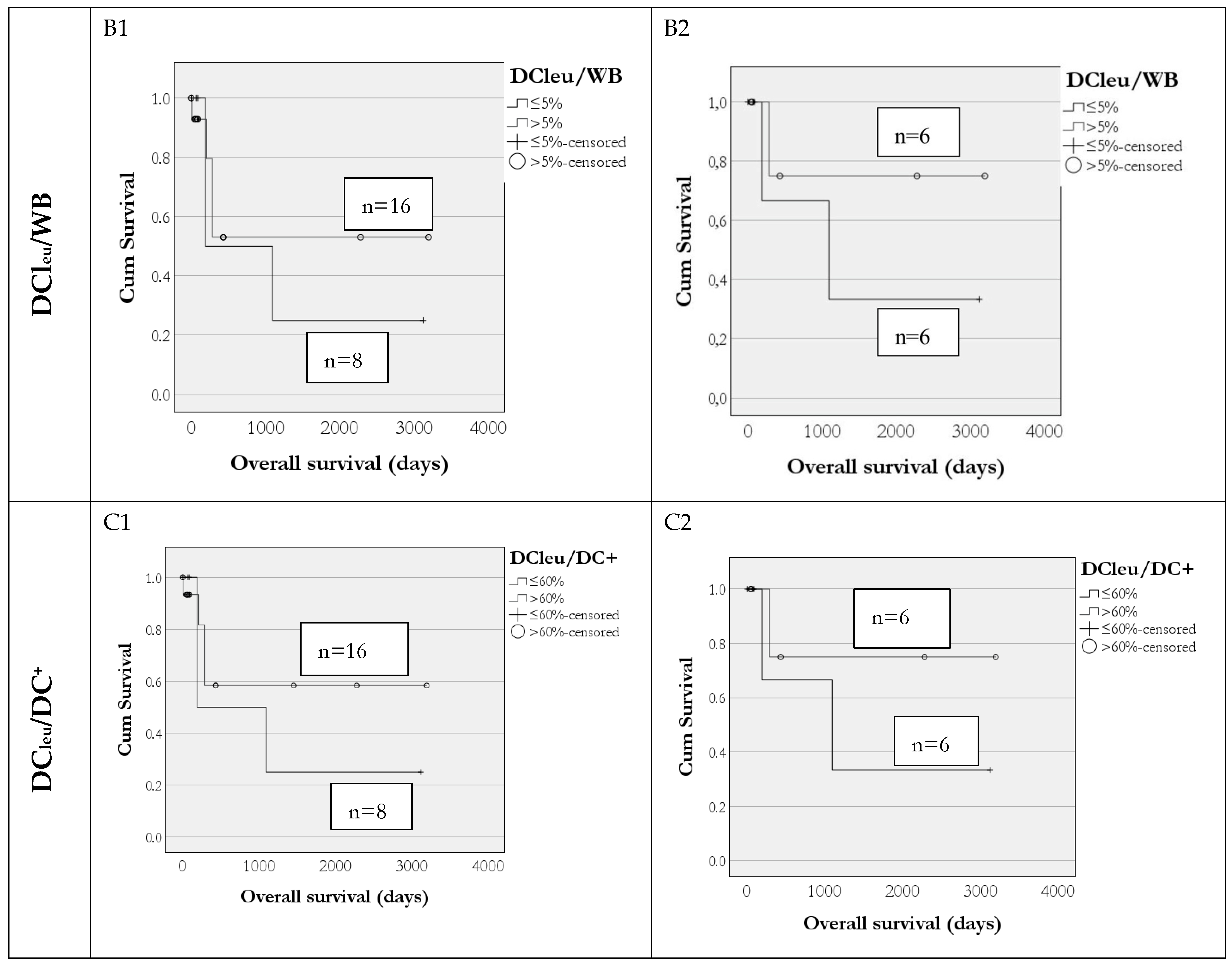
- Frequencies of generated DC/DCleu and resulting blast lytic activity as predictors for response to induction therapy and for overall survival in AML patients
4. Discussion
4.1. Generation of DC/DCleu and T Cell Activation
4.2. Cytokine Modulation by Kit Pretreatment
4.3. Improved Anti-Leukemic Activity Following DC/DCleu Stimulation
4.4. Correlation Analyses
4.5. Frequencies of Generated DC/DCleu and Achieved Blast Lytic Activity Can Predict Overall Survival
5. Conclusions
Supplementary Materials
Author Contributions
Funding
Institutional Review Board Statement
Informed Consent Statement
Data Availability Statement
Acknowledgments
Conflicts of Interest
References
- Shimony, S.; Stahl, M.; Stone, R.M. Acute myeloid leukemia: 2023 update on diagnosis, risk-stratification, and management. Am. J. Hematol. 2023, 98, 502–526. [Google Scholar] [CrossRef]
- Wachter, F.; Pikman, Y. Pathophysiology of Acute Myeloid Leukemia. Acta Haematol. 2024, 147, 229–246. [Google Scholar] [CrossRef]
- Heuser, M.; Ofran, Y.; Boissel, N.; Brunet Mauri, S.; Craddock, C.; Janssen, J.; Wierzbowska, A.; Buske, C. Acute myeloid leukaemia in adult patients: ESMO Clinical Practice Guidelines for diagnosis, treatment and follow-up. Ann. Oncol. 2020, 31, 697–712. [Google Scholar] [CrossRef]
- Dohner, H.; Wei, A.H.; Appelbaum, F.R.; Craddock, C.; DiNardo, C.D.; Dombret, H.; Ebert, B.L.; Fenaux, P.; Godley, L.A.; Hasserjian, R.P.; et al. Diagnosis and management of AML in adults: 2022 recommendations from an international expert panel on behalf of the ELN. Blood 2022, 140, 1345–1377. [Google Scholar] [CrossRef]
- Stone, R.M.; Mandrekar, S.J.; Sanford, B.L.; Laumann, K.; Geyer, S.; Bloomfield, C.D.; Thiede, C.; Prior, T.W.; Dohner, K.; Marcucci, G.; et al. Midostaurin plus Chemotherapy for Acute Myeloid Leukemia with a FLT3 Mutation. N. Engl. J. Med. 2017, 377, 454–464. [Google Scholar] [CrossRef] [PubMed]
- DiNardo, C.D.; Pratz, K.; Pullarkat, V.; Jonas, B.A.; Arellano, M.; Becker, P.S.; Frankfurt, O.; Konopleva, M.; Wei, A.H.; Kantarjian, H.M.; et al. Venetoclax combined with decitabine or azacitidine in treatment-naive, elderly patients with acute myeloid leukemia. Blood 2019, 133, 7–17. [Google Scholar] [CrossRef] [PubMed]
- Short, N.J.; Daver, N.; Dinardo, C.D.; Kadia, T.; Nasr, L.F.; Macaron, W.; Yilmaz, M.; Borthakur, G.; Montalban-Bravo, G.; Garcia-Manero, G.; et al. Azacitidine, Venetoclax, and Gilteritinib in Newly Diagnosed and Relapsed or Refractory FLT3-Mutated AML. J. Clin. Oncol. 2024, 42, 1499–1508. [Google Scholar] [CrossRef]
- Rambaldi, B.; Rizzuto, G.; Rambaldi, A.; Introna, M. Genetically modified and unmodified cellular approaches to enhance graft versus leukemia effect, without increasing graft versus host disease: The use of allogeneic cytokine-induced killer cells. Front. Immunol. 2024, 15, 1459175. [Google Scholar] [CrossRef] [PubMed]
- Socie, G.; Galimard, J.E.; Raffoux, E.; Itzykson, R.; Debureaux, P.E.; Michonneau, D.; Lengline, E.; Robin, M.; De Fontbrune, F.S.; Sebert, M.; et al. Allogeneic transplantation in acute myelogenous leukemia: A comprehensive single institution’s experience. Haematologica 2023, 108, 2369–2379. [Google Scholar] [CrossRef]
- Sweeney, C.; Vyas, P. The Graft-Versus-Leukemia Effect in AML. Front. Oncol. 2019, 9, 1217. [Google Scholar] [CrossRef] [PubMed]
- Boscaro, E.; Urbino, I.; Catania, F.M.; Arrigo, G.; Secreto, C.; Olivi, M.; D’Ardia, S.; Frairia, C.; Giai, V.; Freilone, R.; et al. Modern Risk Stratification of Acute Myeloid Leukemia in 2023: Integrating Established and Emerging Prognostic Factors. Cancers 2023, 15, 3512. [Google Scholar] [CrossRef]
- Li, Y.; Zhou, F. Efficacy of bone marrow transplantation in treating acute myeloid leukemia: A systematic review and meta-analysis. Am. J. Transl. Res. 2023, 15, 1–12. [Google Scholar]
- Gomez-Llobell, M.; Peleteiro Raindo, A.; Climent Medina, J.; Gomez Centurion, I.; Mosquera Orgueira, A. Immune Checkpoint Inhibitors in Acute Myeloid Leukemia: A Meta-Analysis. Front. Oncol. 2022, 12, 882531. [Google Scholar] [CrossRef]
- Khaldoyanidi, S.; Nagorsen, D.; Stein, A.; Ossenkoppele, G.; Subklewe, M. Immune Biology of Acute Myeloid Leukemia: Implications for Immunotherapy. J. Clin. Oncol. 2021, 39, 419–432. [Google Scholar] [CrossRef]
- Isidori, A.; Cerchione, C.; Daver, N.; DiNardo, C.; Garcia-Manero, G.; Konopleva, M.; Jabbour, E.; Ravandi, F.; Kadia, T.; Burguera, A.F.; et al. Immunotherapy in Acute Myeloid Leukemia: Where We Stand. Front. Oncol. 2021, 11, 656218. [Google Scholar] [CrossRef]
- Tabata, R.; Chi, S.; Yuda, J.; Minami, Y. Emerging Immunotherapy for Acute Myeloid Leukemia. Int. J. Mol. Sci. 2021, 22, 1944. [Google Scholar] [CrossRef] [PubMed]
- Venugopal, S.; Daver, N.; Ravandi, F. An Update on the Clinical Evaluation of Antibody-Based Therapeutics in Acute Myeloid Leukemia. Curr. Hematol. Malig. Rep. 2021, 16, 89–96. [Google Scholar] [CrossRef] [PubMed]
- Mardiana, S.; Gill, S. CAR T Cells for Acute Myeloid Leukemia: State of the Art and Future Directions. Front. Oncol. 2020, 10, 697. [Google Scholar] [CrossRef] [PubMed]
- Hu, Y.; Zhou, Y.; Zhang, M.; Zhao, H.; Wei, G.; Ge, W.; Cui, Q.; Mu, Q.; Chen, G.; Han, L.; et al. Genetically modified CD7-targeting allogeneic CAR-T cell therapy with enhanced efficacy for relapsed/refractory CD7-positive hematological malignancies: A phase I clinical study. Cell Res. 2022, 32, 995–1007. [Google Scholar] [CrossRef]
- Goel, H.; Rahul, E.; Gupta, A.K.; Meena, J.P.; Chopra, A.; Ranjan, A.; Hussain, S.; Rath, G.K.; Tanwar, P. Molecular update on biology of Wilms Tumor 1 gene and its applications in acute myeloid leukemia. Am. J. Blood Res. 2020, 10, 151–160. [Google Scholar]
- Guarnera, L.; Bravo-Perez, C.; Visconte, V. Immunotherapy in Acute Myeloid Leukemia: A Literature Review of Emerging Strategies. Bioengineering 2023, 10, 1228. [Google Scholar] [CrossRef]
- Motallebzadeh Khanmiri, J.; Alizadeh, M.; Esmaeili, S.; Gholami, Z.; Safarzadeh, A.; Khani-Eshratabadi, M.; Baghbanzadeh, A.; Alizadeh, N.; Baradaran, B. Dendritic cell vaccination strategy for the treatment of acute myeloid leukemia: A systematic review. Cytotherapy 2024, 26, 427–435. [Google Scholar] [CrossRef]
- Weinstock, M.; Rosenblatt, J.; Avigan, D. Dendritic Cell Therapies for Hematologic Malignancies. Mol. Ther. Methods Clin. Dev. 2017, 5, 66–75. [Google Scholar] [CrossRef] [PubMed]
- Anguille, S.; Willemen, Y.; Lion, E.; Smits, E.L.; Berneman, Z.N. Dendritic cell vaccination in acute myeloid leukemia. Cytotherapy 2012, 14, 647–656. [Google Scholar] [CrossRef]
- Van Acker, H.H.; Versteven, M.; Lichtenegger, F.S.; Roex, G.; Campillo-Davo, D.; Lion, E.; Subklewe, M.; Van Tendeloo, V.F.; Berneman, Z.N.; Anguille, S. Dendritic Cell-Based Immunotherapy of Acute Myeloid Leukemia. J. Clin. Med. 2019, 8, 579. [Google Scholar] [CrossRef] [PubMed]
- Palomares, F.; Pina, A.; Dakhaoui, H.; Leiva-Castro, C.; Munera-Rodriguez, A.M.; Cejudo-Guillen, M.; Granados, B.; Alba, G.; Santa-Maria, C.; Sobrino, F.; et al. Dendritic Cells as a Therapeutic Strategy in Acute Myeloid Leukemia: Vaccines. Vaccines 2024, 12, 165. [Google Scholar] [CrossRef]
- Van de Velde, A.L.; Berneman, Z.N.; Van Tendeloo, V.F. Immunotherapy of hematological malignancies using dendritic cells. Bull. Cancer 2008, 95, 320–326. [Google Scholar] [CrossRef]
- Subklewe, M.; Geiger, C.; Lichtenegger, F.S.; Javorovic, M.; Kvalheim, G.; Schendel, D.J.; Bigalke, I. New generation dendritic cell vaccine for immunotherapy of acute myeloid leukemia. Cancer Immunol. Immunother. 2014, 63, 1093–1103. [Google Scholar] [CrossRef] [PubMed]
- Kremser, A.; Dressig, J.; Grabrucker, C.; Liepert, A.; Kroell, T.; Scholl, N.; Schmid, C.; Tischer, J.; Kufner, S.; Salih, H.; et al. Dendritic cells (DCs) can be successfully generated from leukemic blasts in individual patients with AML or MDS: An evaluation of different methods. J. Immunother. 2010, 33, 185–199. [Google Scholar] [CrossRef]
- Amberger, D.C.; Doraneh-Gard, F.; Gunsilius, C.; Weinmann, M.; Mobius, S.; Kugler, C.; Rogers, N.; Bock, C.; Kodel, U.; Werner, J.O.; et al. PGE(1)-Containing Protocols Generate Mature (Leukemia-Derived) Dendritic Cells Directly from Leukemic Whole Blood. Int. J. Mol. Sci. 2019, 20, 4590. [Google Scholar] [CrossRef] [PubMed]
- Schwepcke, C.; Klauer, L.K.; Deen, D.; Amberger, D.C.; Fischer, Z.; Doraneh-Gard, F.; Gunsilius, C.; Hirn-Lopez, A.; Kroell, T.; Tischer, J.; et al. Generation of Leukaemia-Derived Dendritic Cells (DC(leu)) to Improve Anti-Leukaemic Activity in AML: Selection of the Most Efficient Response Modifier Combinations. Int. J. Mol. Sci. 2022, 23, 8333. [Google Scholar] [CrossRef]
- Sato, M.; Takayama, T.; Tanaka, H.; Konishi, J.; Suzuki, T.; Kaiga, T.; Tahara, H. Generation of mature dendritic cells fully capable of T helper type 1 polarization using OK-432 combined with prostaglandin E(2). Cancer Sci. 2003, 94, 1091–1098. [Google Scholar] [CrossRef] [PubMed]
- Klauer, L.K.; Schutti, O.; Ugur, S.; Doraneh-Gard, F.; Amberger, D.C.; Rogers, N.; Kramer, D.; Rank, A.; Schmid, C.; Eiz-Vesper, B.; et al. Interferon Gamma Secretion of Adaptive and Innate Immune Cells as a Parameter to Describe Leukaemia-Derived Dendritic-Cell-Mediated Immune Responses in Acute Myeloid Leukaemia in vitro. Transfus. Med. Hemotherapy 2022, 49, 44–61. [Google Scholar] [CrossRef] [PubMed]
- Klauer, L.K.; Rejeski, H.A.; Ugur, S.; Rackl, E.; Abdulmajid, J.; Fischer, Z.; Pepeldjiyska, E.; Frischhut, A.; Schmieder, N.; Volker, A.; et al. Leukemia-Derived Dendritic Cells Induce Anti-Leukemic Effects Ex Vivo in AML Independently of Patients’ Clinical and Biological Features. Int. J. Mol. Sci. 2025, 26, 1700. [Google Scholar] [CrossRef]
- Neame, P.B.; Soamboonsrup, P.; Browman, G.P.; Meyer, R.M.; Benger, A.; Wilson, W.E.; Walker, I.R.; Saeed, N.; McBride, J.A. Classifying acute leukemia by immunophenotyping: A combined FAB-immunologic classification of AML. Blood 1986, 68, 1355–1362. [Google Scholar] [CrossRef] [PubMed]
- Unterfrauner, M.; Rejeski, H.A.; Hartz, A.; Bohlscheid, S.; Baudrexler, T.; Feng, X.; Rackl, E.; Li, L.; Rank, A.; Filippini Velazquez, G.; et al. Granulocyte-Macrophage-Colony-Stimulating-Factor Combined with Prostaglandin E1 Create Dendritic Cells of Leukemic Origin from AML Patients’ Whole Blood and Whole Bone Marrow That Mediate Antileukemic Processes after Mixed Lymphocyte Culture. Int. J. Mol. Sci. 2023, 24, 17436. [Google Scholar] [CrossRef]
- Li, L.; Reinhardt, P.; Schmitt, A.; Barth, T.F.; Greiner, J.; Ringhoffer, M.; Dohner, H.; Wiesneth, M.; Schmitt, M. Dendritic cells generated from acute myeloid leukemia (AML) blasts maintain the expression of immunogenic leukemia associated antigens. Cancer Immunol. Immunother. 2005, 54, 685–693. [Google Scholar] [CrossRef]
- Luciano, M.; Krenn, P.W.; Horejs-Hoeck, J. The cytokine network in acute myeloid leukemia. Front. Immunol. 2022, 13, 1000996. [Google Scholar] [CrossRef] [PubMed]
- Singh, S.; Anshita, D.; Ravichandiran, V. MCP-1: Function, regulation, and involvement in disease. Int. Immunopharmacol. 2021, 101, 107598. [Google Scholar] [CrossRef]
- Lu, B.; Rutledge, B.J.; Gu, L.; Fiorillo, J.; Lukacs, N.W.; Kunkel, S.L.; North, R.; Gerard, C.; Rollins, B.J. Abnormalities in monocyte recruitment and cytokine expression in monocyte chemoattractant protein 1-deficient mice. J. Exp. Med. 1998, 187, 601–608. [Google Scholar] [CrossRef]
- Ikeda, T.; Sato, K.; Kuwada, N.; Matsumura, T.; Yamashita, T.; Kimura, F.; Hatake, K.; Ikeda, K.; Motoyoshi, K. Interleukin-10 differently regulates monocyte chemoattractant protein-1 gene expression depending on the environment in a human monoblastic cell line, UG3. J. Leukoc. Biol. 2002, 72, 1198–1205. [Google Scholar] [CrossRef] [PubMed]
- Trinchieri, G. Interleukin-10 production by effector T cells: Th1 cells show self control. J. Exp. Med. 2007, 204, 239–243. [Google Scholar] [CrossRef]
- Mumm, J.B.; Emmerich, J.; Zhang, X.; Chan, I.; Wu, L.; Mauze, S.; Blaisdell, S.; Basham, B.; Dai, J.; Grein, J.; et al. IL-10 elicits IFNγ-dependent tumor immune surveillance. Cancer Cell 2011, 20, 781–796. [Google Scholar] [CrossRef]
- Jankovic, D.; Kugler, D.G.; Sher, A. IL-10 production by CD4+ effector T cells: A mechanism for self-regulation. Mucosal Immunol. 2010, 3, 239–246. [Google Scholar] [CrossRef]
- Yoshimura, T. The chemokine MCP-1 (CCL2) in the host interaction with cancer: A foe or ally? Cell. Mol. Immunol. 2018, 15, 335–345. [Google Scholar] [CrossRef]
- O’Connor, T.; Heikenwalder, M. CCL2 in the Tumor Microenvironment. Adv. Exp. Med. Biol. 2021, 1302, 1–14. [Google Scholar] [CrossRef] [PubMed]
- Hassin, D.; Garber, O.G.; Meiraz, A.; Schiffenbauer, Y.S.; Berke, G. Cytotoxic T lymphocyte perforin and Fas ligand working in concert even when Fas ligand lytic action is still not detectable. Immunology 2011, 133, 190–196. [Google Scholar] [CrossRef]
- Rauf, A.; Khatri, M.; Murgia, M.V.; Saif, Y.M. Fas/FasL and perforin-granzyme pathways mediated T cell cytotoxic responses in infectious bursal disease virus infected chickens. Results Immunol. 2012, 2, 112–119. [Google Scholar] [CrossRef] [PubMed]
- Burgoyne, P.; Hayes, A.J.; Cooper, R.S.; Le Brocq, M.L.; Hansell, C.A.; Campbell, J.D.; Graham, G.J. CCR7(+) dendritic cells sorted by binding of CCL19 show enhanced Ag-presenting capacity and antitumor potency. J. Leukoc. Biol. 2022, 111, 1243–1251. [Google Scholar] [CrossRef]
- Randolph, G.J.; Angeli, V.; Swartz, M.A. Dendritic-cell trafficking to lymph nodes through lymphatic vessels. Nat. Rev. Immunol. 2005, 5, 617–628. [Google Scholar] [CrossRef] [PubMed]
- Platt, A.M.; Randolph, G.J. Dendritic cell migration through the lymphatic vasculature to lymph nodes. Adv. Immunol. 2013, 120, 51–68. [Google Scholar] [CrossRef] [PubMed]
- Westermann, F.; Kube, D.; Haier, B.; Bohlen, H.; Engert, A.; Zuehlsdorf, M.; Diehl, V.; Tesch, H. Interleukin 10 inhibits cytokine production of human AML cells. Ann. Oncol. 1996, 7, 397–404. [Google Scholar] [CrossRef] [PubMed]
- Sanchez-Correa, B.; Bergua, J.M.; Campos, C.; Gayoso, I.; Arcos, M.J.; Banas, H.; Morgado, S.; Casado, J.G.; Solana, R.; Tarazona, R. Cytokine profiles in acute myeloid leukemia patients at diagnosis: Survival is inversely correlated with IL-6 and directly correlated with IL-10 levels. Cytokine 2013, 61, 885–891. [Google Scholar] [CrossRef] [PubMed]
- Atzler, M.; Baudrexler, T.; Amberger, D.C.; Rogers, N.; Rabe, A.; Schmohl, J.; Wang, R.; Rank, A.; Schutti, O.; Hirschbuhl, K.; et al. In Vivo Induction of Leukemia-Specific Adaptive and Innate Immune Cells by Treatment of AML-Diseased Rats and Therapy-Refractory AML Patients with Blast Modulating Response Modifiers. Int. J. Mol. Sci. 2024, 25, 13469. [Google Scholar] [CrossRef] [PubMed]
- Filippini Velazquez, G.; Anand, P.; Abdulmajid, J.; Feng, X.; Weller, J.F.; Hirschbuhl, K.; Schmetzer, H.; Schmid, C. Clinical stabilization of a highly refractory acute myeloid leukaemia under individualized treatment with immune response modifying drugs by in vivo generation of dendritic cells of leukaemic origin (DCleu) and modulation of effector cells and immune escape mechanisms. Biomark. Res. 2025, 13, 104. [Google Scholar] [CrossRef]






| Standard DC/DCleu-Generating Protocols Used for the Generation of DC/DCleu from PBMNCs | ||||
|---|---|---|---|---|
| Composition | Mode of Action | Culture Time (d) | References | |
| MCM Mimic (MCM) | GM-CSF IL-4 FL IL-6 IL-1ß PGE2 | Cytokine-driven DC/DCleu differentiation; PGE2 increases the frequencies of matured DC/DCleu (expressing CCR7+) | 10–14 | [29] |
| Calcium ionophore (Ca) | A23187 | DC/DCleu differentiation bypassing the standard DC/DCleu generation; A23187 induces maturation | 3–4 | [29] |
| Picibanil (Pici) | GM-CSF IL-4 Picibanil (OK-432) PGE2 | Cytokine-driven DC/DCleu differentiation including ‘danger signaling’: lysis products from Streptococcus pyogenes and PGE2 stimulate DC/DCleu differentiation and maturation | 9–11 | [29,32] |
| Interferon (INTRON) | GM-CSF Picibanil (OK-432) PGE2 TNF-α IFN-α | Cytokine-driven DC/DCleu differentiation | 10–12 | [29] |
| Kits used for the generation of DC/DCleu from WB | ||||
| Kit A | GM-CSF TNF-α | 7–10 | [31] | |
| Kit C | GM-CSF PGE2 | 7–10 | [31] | |
| Kit D | GM-CSF Picibanil (OK-432) PGE2 | 7–10 | [31] | |
| Kit E | GM-CSF IFN-α | 7–10 | [31] | |
| Kit F | GM-CSF A23187 | 7–10 | [31] | |
| Kit I | GM-CSF Picibanil (OK-432) | 7–10 | [31] | |
| Kit K | GM-CSF PGE2 | 7–10 | [30,31] | |
| Kit M | GM-CSF PGE1 | 7–10 | [30,31] | |
| Pat. | Age at Dgn./Sex | FAB Type | Blast Phenotype (CD) | IC-Blasts, % | ELN-Risk | T Cell Source | Response to Therapy |
|---|---|---|---|---|---|---|---|
| Patients at First Diagnosis (n = 32) | |||||||
| 407 | 72/m | AML M5 | 65, 13, 33 | 70 | Int | Autologous | NR |
| 436 | 67/f | AML M4 | 34, 56, 33, 13, 15, 65 | 45 | Int | Autologous | NR |
| 518 | 55/m | AML M2 | 34, 117, 13 | 86 | Int | Autologous | R |
| 546 | 39/m | AML M2 | 34, 117, 65, 15 | 50 | Fav | Autologous | R |
| 561 | 43/m | AML M2 | 117, 65, 15 | 65 | Adv | Autologous | R |
| 618 | 65/m | MDS RAEB II | 117, 33 | 35 | Adv | Autologous | R |
| 748 | 66/m | AML M2 | 34, 117, 33 | 32 | Int | Autologous | NR |
| 757 | 63/f | AML M4 | 34, 117, 33 | 46 | Adv | Autologous | R |
| 820 | 48/m | AML-M2 | 34, 117, 33, 13 | 53 | Int | Autologous | R |
| 824 | 70/m | AML M1/M2 | 34, 7, 13 | 68 | Adv | Autologous | R |
| 837 | 69/m | AML M2 | 34, 117, 33, 13 | 39 | Int | Autologous | R |
| 898 | 47/f | AML M1 | 117, 33 | 87 | Int | Autologous | R |
| 948 | 42/f | AML M5 | 15, 65, 4, 33 | 34 | Adv | Autologous | R |
| 1144 | 32/m | AML M1 | 34, 117, 56, 33, 13, 19 | 82 | Fav | Autologous | R |
| 1194 | 72/m | n.d. | 34, 117, 33 | 30 | Adv | Autologous | R |
| 1196 | 39/f | sMDS RAEB | 117, 33 | 8 | Int | Autologous | R |
| 1201 | 60/f | AML-M5 | 15, 64, 65, 13, 14, 4, 56 | 41 | Fav | Autologous | R |
| 1226 | 69/m | n.d. | 117, 34, 33 | 65 | Adv | Autologous | NR |
| 1245 | 48/f | AML M5 | 15, 56, 65, 33 | 12 | Adv | Autologous | R |
| 1251 | 82/m | AML M4/5 | 64, 13, 33, 65, 56, 4 | 67 | n.d. | Autologous | NR |
| 1255 | 58/m | AML M4 | 34, 56, 117, 33 | 15 | Int | Autologous | R |
| 1280 | 27/m | AML M0 | 34, 117, 33 | 88 | Adv | Autologous | R |
| 1285 | 56/f | AML M4 | 34, 117, 33, 13, 65 | 40 | n.d. | Autologous | R |
| 1292 | 44/f | AML M2 | 34, 117, 33, 13 | 70 | Fav | Autologous | R |
| 1300 | 24/f | AML M1 | 34, 117, 13, 33, 65 | 64 | Int | Autologous | R |
| 1306 | 42/m | MDS RAEB2 | 34, 117, 33 | 11 | Fav | Autologous | NR |
| 1331 | 45/f | AML M1 | 34, 13, 33, 4, 7 | 60 | Int | Autologous | R |
| 1335 | 76/f | n.d. | 34, 117, 33 | 86 | Int | Autologous | NR |
| 1345 | 85/m | AML M1 | 117, 33, 13 | 96 | Int | Autologous | n.d. |
| 1350 | 75/m | n.d. | 34, 33, 117 | 17 | Adv | Autologous | NR |
| 1353 | 70/m | AML M2 | 34, 117, 33, 13 | 63 | Adv | Autologous | NR |
| 1356 | 26/m | AML/ALL | 34, 19, 65 | 80 | Adv | Autologous | NR |
| Patients with persisting disease (n = 3) | |||||||
| 502 | 41/m | AML M4eo | 34, 117, 65, 33, 13, 15 | 66 | Adv | Autologous | R |
| 1024 | 39/m | AML M2 | 34, 117, 33 | 30 | Int | Autologous | R |
| 1165 | 59/m | n.d. | 34, 117, 33, 13 | 46 | Int | Autologous | R |
| Patients at relapse (n = 19) | |||||||
| 458 | 50/f | AML M4 | 34, 38, 117, 33, 14, 64 | 38 | Autologous | R | |
| 481 | 66/f | AML M4–M5 | 34, 117, 33, 13, 15, 56, 19 | 93 | Autologous | R | |
| 545 | 44/f | AML M1 | 117, 34, 33 | 87 | Autologous | NR | |
| 584 | 51/f | AML M1 | 117, 13, 33 | 91 | Autologous | R | |
| 652 | 66/m | AML M1 | 34, 33, 13 | 88 | Autologous | NR | |
| 655 | 65/f | AML M2 | 34, 117, 33 | 20 | Autologous | R | |
| 914 | 69/m | AML M4 | 34, 33, 13, 15, 64, 14 | 43 | Autologous | NR | |
| 984 | 63/m | AML M2 | 34, 117, 13, 33 | 42 | Autologous | NR | |
| 998 | 67/m | AML M5 | 117, 34, 64, 4 | 91 | Autologous | R | |
| 1011 | 57/f | AML M1 | 117, 34, 33, 4 | 61 | Autologous | R | |
| 1017 | 69/m | AML M4 | 34, 117, 33 | 44 | Autologous | R | |
| 1206 | 73/f | AML M2 | 117, 33, 15, 64 | 42 | Autologous | NR | |
| 1231 | 46/f | AML M1 | 117, 56, 33 | 55 | Autologous | R | |
| 1243 | 35/m | AML M2 | 34, 117, 33, 13, 2 | 33 | Autologous | R | |
| 1303 | 64/f | AML M4 | 56, 33, 14, 65, 4 | 79 | Autologous | R | |
| 1330 | 73/f | AML M4 | 34, 33 | 92 | Autologous | NR | |
| 1376 | 53/f | AML M2 | 34, 117, 33 | 61 | Autologous | NR | |
| 1386 | 58/m | n.d. | 34, 117, 65, 33, 13 | 80 | Autologous | NR | |
| 1388 | 40/f | AML M3 | 34/117, 33, 13 | 47 | Autologous | NR | |
| Patients atrelapse after HSCT (n = 25) | |||||||
| 419 | 68/f | AML M1 | 34, 117, 33, 15 | 94 | After HSCT | R | |
| 428 | 59/f | AML M4 | 34, 117, 33 | 35 | After HSCT | NR | |
| 453 | 59/f | AML M1 | 34, 117, 33, 13 | 81 | After HSCT | NR | |
| 460 | 36/m | AML M0 | 56, 13, 33, 65, 15, 7 | 60 | After HSCT | NR | |
| 466 | 61/f | AML M6 | 34, 117, 65, 33, 13 | 52 | After HSCT | NR | |
| 478 | 25/f | AML M0 | 34, 117, 56, 33, 13 | 33 | After HSCT | R | |
| 483 | 33/m | AML M1 | 34, 117, 65, 33, 15 | 88 | After HSCT | NR | |
| 538 | 12/m | AML M0 | 34, 65, 33 | 90 | After HSCT | NR | |
| 565 | 68/f | AML M5 | 34, 65, 33, 13, 15 | 29 | After HSCT | NR | |
| 610 | 5/f | AML M1 | 34, 117, 4, 33 | 80 | After HSCT | NR | |
| 763 | 39/f | AML M0 | 34, 117, 65, 33 | 52 | After HSCT | R | |
| 767 | 58/f | AML M1 | 34, 117, 65, 33, 13 | 95 | After HSCT | NR | |
| 818 | 40/f | AML M0 | 34, 117, 65, 33 | 91 | After HSCT | NR | |
| 853 | 34/m | AML M0 | 34, 117, 33, 71 | 89 | After HSCT | NR | |
| 880 | 27/m | AML M4 | 34, 117, 33, 15 | 95 | After HSCT | R | |
| 938 | 59/f | AML M4 | 34, 117, 33, 15 | 34 | After HSCT | NR | |
| 980 | 40/f | AML M0 | 34, 33, 13 | 82 | After HSCT | R | |
| 1001 | 60/f | AML M4 | 34, 117, 33 | 35 | After HSCT | NR | |
| 1143 | 60/f | n.d. | 117, 34, 3, 19 | 24 | After HSCT | NR | |
| 1222 | 41/m | AML M1 | 33, 34, 117, 56 | 60 | After HSCT | NR | |
| 1286 | 27/m | AML M5 | 34, 117, 33 | 23 | After HSCT | NR | |
| 1307 | 54/m | n.d. | 34, 33, 13, 65, 15, 19 | 48 | After HSCT | NR | |
| 1369 | 27/m | AML M0 | 34, 117, 33 | 70 | After HSCT | NR | |
| 1375 | 47/f | AML M5 | 34, 15, 33, 117 | 70 | After HSCT | NR | |
| 1387 | 73/m | AML M4 | 117, 33, 13 | 85 | After HSCT | n.d. | |
| Subtypes of DC/DCleu | ||||
|---|---|---|---|---|
| Name of Subgroup | Referred to | Surface Marker | Abbreviation | Reference |
| Leukemic blasts | WB/PBMNC | Bla+ (CD34, CD117, CD65, CD15) | Bla+/WB Bla+/PBMNC | [29] |
| Dendritic cells | WB/PBMNC | DC+ (CD1b, CD40, CD80, CD83, CD86, CD206) | DC+/WB DC+/PBMNC | [29] |
| Leukemia-derived DC | WB/PBMNC | DC+Bla+ | DCleu/WB DCleu/PBMNC | [29] |
| DCleu in DC fraction | DC+ | DC+Bla+ | DCleu/DC+ | [29] |
| DCleu in leukemic blast fraction (converted DCleu) | Bla+ | DC+Bla+ | DCleu/Bla+ | [29] |
| Mature DC | DC+ | DC+CD197+ | DCmat/DC+ | [29] |
| Viable DC after cultus | DC+ | 7AAD−DC+ | DCvia/DC+ | [29] |
| Proliferating leukemic blasts | Bla+ | Bla+DC−CD71+ | Blaprol-CD71/Bla | [33] |
| Proliferating leukemic blasts | Bla+ | Bla+DC−ipo38+ | Blaprol-ipo38/Bla | [33] |
| Subtypes of immune reactive cells for MLC | ||||
| CD3+ pan-T cells | WB | CD3+ | T cells | [34] |
| CD4+ T cells | CD3+ | CD4+CD3+ | CD4+ T cells | [34] |
| CD8+ Tells | CD3+ | CD8+CD3+ | CD8+ T cells | [34] |
| Early proliferating T cells | CD3+ | CD69+CD3+ | Tprol-early | [34] |
| Late proliferating T cells | CD3+ | CD71+CD3+ | Tprol-late | [34] |
Disclaimer/Publisher’s Note: The statements, opinions and data contained in all publications are solely those of the individual author(s) and contributor(s) and not of MDPI and/or the editor(s). MDPI and/or the editor(s) disclaim responsibility for any injury to people or property resulting from any ideas, methods, instructions or products referred to in the content. |
© 2026 by the authors. Licensee MDPI, Basel, Switzerland. This article is an open access article distributed under the terms and conditions of the Creative Commons Attribution (CC BY) license.
Share and Cite
Amberger, D.C.; Fischer, Z.; Deen, D.; Hirn-Lopez, A.; Plett, C.; Rabe, A.; Schwepcke, C.; Ugur, S.; Klauer, L.K.; Ansprenger, C.; et al. Modulation of Leukemic Blasts into Dendritic Cells (DCleu) and Their Role in Predicting Survival in Patients with AML and MDS. Cancers 2026, 18, 847. https://doi.org/10.3390/cancers18050847
Amberger DC, Fischer Z, Deen D, Hirn-Lopez A, Plett C, Rabe A, Schwepcke C, Ugur S, Klauer LK, Ansprenger C, et al. Modulation of Leukemic Blasts into Dendritic Cells (DCleu) and Their Role in Predicting Survival in Patients with AML and MDS. Cancers. 2026; 18(5):847. https://doi.org/10.3390/cancers18050847
Chicago/Turabian StyleAmberger, Daniel Christoph, Zuzana Fischer, Diana Deen, Anika Hirn-Lopez, Caroline Plett, Alexander Rabe, Christoph Schwepcke, Selda Ugur, Lara Kristina Klauer, Christian Ansprenger, and et al. 2026. "Modulation of Leukemic Blasts into Dendritic Cells (DCleu) and Their Role in Predicting Survival in Patients with AML and MDS" Cancers 18, no. 5: 847. https://doi.org/10.3390/cancers18050847
APA StyleAmberger, D. C., Fischer, Z., Deen, D., Hirn-Lopez, A., Plett, C., Rabe, A., Schwepcke, C., Ugur, S., Klauer, L. K., Ansprenger, C., Liepert, A., Freudenreich, M., Schmid, C., & Schmetzer, H. M. (2026). Modulation of Leukemic Blasts into Dendritic Cells (DCleu) and Their Role in Predicting Survival in Patients with AML and MDS. Cancers, 18(5), 847. https://doi.org/10.3390/cancers18050847

