A New Scoring System Administered by Patients to Identify Moderate-to-Severe Chemotherapy-Induced Peripheral Neuropathy: Final Results of the NEURO-BREAC Trial
Simple Summary
Abstract
1. Introduction
2. Materials and Methods
2.1. Study Participants
2.2. Study Procedures
2.3. Statistical Considerations
2.4. Additional Analyses
3. Results
4. Discussion
Limitations
5. Conclusions
Author Contributions
Funding
Institutional Review Board Statement
Informed Consent Statement
Data Availability Statement
Conflicts of Interest
Abbreviations
| AUC | Area under the curve |
| BMI | Body-mass index |
| CIPN | Chemotherapy-induced peripheral neuropathy |
| EC | Epirubicin/cyclophosphamide |
| ETC | Epirubicin plus paclitaxel plus cyclophosphamide |
| NPV | Negative predictive value |
| PAC | Paclitaxel |
| Pembro | Pembrolizumab |
| PPV | Positive predictive value |
| ROC | Receiver operating characteristic |
| TCbHP | Docetaxel plus carboplatin plus trastuzumab plus pertuzumab |
| TNS | Total Neuropathy Score |
| UENS | Utah Early Neuropathy Scale |
References
- Leitlinienprogramm Onkologie (Deutsche Krebsgesellschaft, Deutsche Krebshilfe, AWMF). Früherkennung, Diagnostik, Therapie und Nachsorge des Mammakarzinoms; Langversion 5.0; AWMF-Registernummer: 032-045OL. 2025. Available online: https://www.leitlinienprogramm-onkologie.de/leitlinien/mammakarzinom/ (accessed on 21 January 2026).
- Staff, N.P.; Grisold, A.; Grisold, W.; Windebank, A.J. Chemotherapy-induced peripheral neuropathy: A current review. Ann. Neurol. 2017, 81, 772–781. [Google Scholar]
- Rahman, N.; Sukumar, J.; Lustberg, M.B. Chronic chemotherapy-induced peripheral neuropathy: Living with neuropathy during and after cancer treatments. Ann. Palliat. Med. 2025, 14, 196–216. [Google Scholar] [CrossRef] [PubMed]
- Kolb, N.A.; Smith, A.G.; Singleton, J.R.; Beck, S.L.; Stoddard, G.J.; Brown, S.; Mooney, K. The association of chemotherapy-induced peripheral neuropathy symptoms and the risk of falling. JAMA Neurol. 2016, 73, 860–866. [Google Scholar] [CrossRef] [PubMed]
- Visovsky, C.; Wodzinski, P.T.; Haladay, D.; Ji, M.; Coury, J. Fall risk associated with taxanes: Focus on chemotherapy-induced peripheral neuropathy. Semin. Oncol. Nurs. 2024, 40, 151687. [Google Scholar] [CrossRef] [PubMed]
- Bao, T.; Basal, C.; Seluzicki, C.; Li, S.Q.; Seidman, A.D.; Mao, J.J. Long-term chemotherapy-induced peripheral neuropathy among breast cancer survivors: Prevalence, risk factors, and fall risk. Breast Cancer Res. Treat. 2016, 159, 327–333. [Google Scholar]
- Misawa, S.; Denda, T.; Kodama, S.; Suzuki, T.; Naito, Y.; Kogawa, T.; Takada, M.; Hino, A.; Shiosakai, K.; Kuwabara, S. One-year incidence of chemotherapy-induced peripheral neuropathy in oxaliplatin- or taxane-based chemotherapy: A multicenter, prospective registry study (MiroCIP study). Expert Opin. Pharmacother. 2025, 26, 335–344. [Google Scholar]
- Gehr, N.L.; Timm, S.; Bennedsgaard, K.; Grosen, K.; Jakobsen, E.; Jensen, A.B.; Rønlev, J.D.; Knoop, A.S.; Finnerup, N.B.; Ventzel, L. Chronic chemotherapy-induced peripheral neuropathy and pain following paclitaxel versus docetaxel in breast cancer survivors: A cross-sectional study. Breast 2025, 80, 104424. [Google Scholar]
- National Institutes of Health; National Cancer Institute. Common Terminology Criteria for Adverse Events (CTCAE) Version 5.0; National Institutes of Health: Bethesda, MD, USA; National Cancer Institute: Rockville, MD, USA, 2017. Available online: https://ctep.cancer.gov/protocoldevelopment/electronic_applications/docs/ctcae_v5_quick_reference_5x7.pdf (accessed on 9 September 2025).
- Colvin, L.A. Chemotherapy-induced peripheral neuropathy (CIPN): Where are we now? Pain 2019, 160, S1–S10. [Google Scholar]
- Hershman, D.L.; Lacchetti, C.; Dworkin, R.H.; Lavoie Smith, E.M.; Bleeker, J.; Cavaletti, G.; Chauhan, C.; Gavin, P.; Lavino, A.; Lustberg, M.B.; et al. Prevention and management of chemotherapy-induced peripheral neuropathy in survivors of adult cancers: American Society of Clinical Oncology clinical practice guideline. J. Clin. Oncol. 2014, 32, 1941–1967. [Google Scholar] [CrossRef]
- Loprinzi, C.L.; Lacchetti, C.; Bleeker, J.; Cavaletti, G.; Chauhan, C.; Hertz, D.L.; Kelley, M.R.; Lavino, A.; Lustberg, M.B.; Paice, J.A.; et al. Prevention and management of chemotherapy-induced peripheral neuropathy in survivors of adult cancers: ASCO guideline update. J. Clin. Oncol. 2020, 38, 3325–3348. [Google Scholar] [CrossRef]
- Smith, E.M.; Pang, H.; Cirrincione, C.; Fleishman, S.; Paskett, E.D.; Ahles, T.; Bressler, L.R.; Fadul, C.E.; Knox, C.; Le-Lindqwister, N.; et al. Effect of duloxetine on pain, function, and quality of life among patients with chemotherapy-induced painful peripheral neuropathy: A randomized clinical trial. JAMA 2013, 309, 1359–1367. [Google Scholar] [CrossRef] [PubMed]
- Desforges, A.D.; Hebert, C.M.; Spence, A.L.; Reid, B.; Dhaibar, H.A.; Cruz-Topete, D.; Cornett, E.M.; Kaye, A.D.; Urits, I.; Viswanath, O. Treatment and diagnosis of chemotherapy-induced peripheral neuropathy: An update. Biomed. Pharmacother. 2022, 147, 112671. [Google Scholar] [CrossRef] [PubMed]
- Eckhoff, L.; Knoop, A.; Jensen, M.B.; Ewertz, M. Persistence of docetaxel-induced neuropathy and impact on quality of life among breast cancer survivors. Eur. J. Cancer 2015, 51, 292–300. [Google Scholar] [CrossRef] [PubMed]
- Mustafa Ali, M.; Moeller, M.; Rybicki, L.; Moore, H.C.F. Long-term peripheral neuropathy symptoms in breast cancer survivors. Breast Cancer Res. Treat. 2017, 166, 519–526. [Google Scholar] [CrossRef]
- Trinh, T.; Au, K.; Krishnan, A.V.; Timmins, H.C.; Li, T.; Grimison, P.; Goldstein, D.; Park, S.B. Comparison of nab-paclitaxel, paclitaxel, and oxaliplatin-induced peripheral neuropathy: A cross-sectional cohort study. Acta Oncol. 2025, 64, 527–533. [Google Scholar] [CrossRef]
- Singleton, J.R.; Bixby, B.; Russell, J.W.; Feldman, E.L.; Peltier, A.; Goldstein, J.; Howard, J.; Smith, A.G. The Utah Early Neuropathy Scale: A sensitive clinical scale for early sensory predominant neuropathy. J. Peripher. Nerv. Syst. 2008, 13, 218–227. [Google Scholar] [CrossRef]
- Bjørnkaer, A.; Gaist, L.M.; Holbech, J.V.; Gaist, D.; Wirenfeldt, M.; Sindrup, S.H.; Krøigård, T. Corneal confocal microscopy in small and mixed fiber neuropathy-Comparison with skin biopsy and cold detection in a large prospective cohort. J. Peripher. Nerv. Syst. 2023, 28, 664–676. [Google Scholar] [CrossRef]
- Moraitis, A.M.; Rose, N.B.; Johnson, A.F.; Dunston, E.R.; Garrido-Laguna, I.; Hobson, P.; Barber, K.; Basen-Engquist, K.; Coletta, A.M. Feasibility and acceptability of an mHealth, home-based exercise intervention in colorectal cancer survivors: A pilot randomized controlled trial. PLoS ONE 2023, 18, e0287152. [Google Scholar] [CrossRef]
- Abuzinadah, A.R.; Alrawaili, M.S.; Alshareef, A.A.; Alkully, H.S.; Milyani, H.; Alamri, B.; Alshora, W.; Bamaga, A.K. Values and diagnostic accuracy of sensory nerve action potentials in control participants and participants with diabetes with and without clinical diabetic neuropathy, based on neuropathy scale measurements. Brain Behav. 2024, 14, e3423. [Google Scholar] [CrossRef]
- Bronge, W.; Lindholm, B.; Elmståhl, S.; Siennicki-Lantz, A. Epidemiology and functional impact of early peripheral neuropathy signs in older adults from a general population. Gerontology 2024, 70, 257–268. [Google Scholar] [CrossRef]
- Cornblath, D.R.; Chaudhry, V.; Carter, K.; Lee, D.; Seysedadr, M.; Miernicki, M.; Joh, T. Total neuropathy score: Validation and reliability study. Neurology 1999, 53, 1660–1664. [Google Scholar] [CrossRef]
- Cavaletti, G.; Jann, S.; Pace, A.; Plasmati, R.; Siciliano, G.; Briani, C.; Cocito, D.; Padua, L.; Ghiglione, E.; Manicone, M.; et al. Multi-center assessment of the Total Neuropathy Score for chemotherapy-induced peripheral neurotoxicity. J. Peripher. Nerv. Syst. 2006, 11, 135–141. [Google Scholar] [CrossRef] [PubMed]
- Cavaletti, G.; Frigeni, B.; Lanzani, F.; Piatti, M.; Rota, S.; Briani, C.; Zara, G.; Plasmati, R.; Pastorelli, F.; Caraceni, A.; et al. The Total Neuropathy Score as an assessment tool for grading the course of chemotherapy-induced peripheral neurotoxicity: Comparison with the National Cancer Institute-Common Toxicity Scale. J. Peripher. Nerv. Syst. 2007, 12, 210–215. [Google Scholar] [CrossRef] [PubMed]
- Velasco, R.; Argyriou, A.A.; Cornblath, D.R.; Bruna, P.; Alberti, P.; Rossi, E.; Merkies, I.S.J.; Psimaras, D.; Briani, C.; Lalisang, R.I.; et al. Repurposing chemotherapy-induced peripheral neuropathy grading. Eur. J. Neurol. 2024, 31, e16457. [Google Scholar] [CrossRef] [PubMed]
- Bardram, J.E.; Westermann, M.; Makulec, J.G.; Ballegaard, M. The Neuropathy Tracker-A mobile health application for ambulatory and self-administred assessment of neuropathy. PLoS Digit. Health 2025, 4, e0000725. [Google Scholar] [CrossRef]
- Madsen, A.E.K.; Normann Haverberg, M.J.; Bardram, J.E.; Ballegaard, M. Smartphone-based patient self-assessment of neuropathy grade: A validation study of the neuropathy tracker alignment with clinical tests. BMJ Neurol. Open. 2025, 7, e001350. [Google Scholar] [CrossRef]
- Rades, D.; Streubel, M.K.; Doehring, L.; Rody, A.; Ballegaard, M. Identification of chemotherapy-induced peripheral neuropathy-a self-administered scoring system tested in breast cancer survivors: Protocol of the NEURO-BREAC trial. J. Pers. Med. 2025, 15, 554. [Google Scholar] [CrossRef]
- Rades, D.; Bartscht, T.; Rody, A.; Yu, N.Y.; Ballegaard, M. Chemotherapy-induced moderate to severe peripheral neuropathy in patients receiving adjuvant radiotherapy for breast cancer. Anticancer Res. 2025, 45, 2123–2135. [Google Scholar] [CrossRef]
- Rades, D.; Bartscht, T.; Rody, A.; Ballegaard, M. Associations between chemotherapy-induced peripheral neuropathy and distress in patients assigned to adjuvant irradiation for non-metastatic breast cancer. J. Pers. Med. 2025, 15, 248. [Google Scholar] [CrossRef]
- Ferraris, V.A. Commentary. Should we rely on receiver operating characteristic curves? From submarines to medical tests, the answer is a definite maybe! J. Thorac. Cardiovasc. Surg. 2019, 157, 2354–2355. [Google Scholar] [CrossRef]
- Schrepp, M.; Hinderks, A.; Thomaschewski, J. Applying the user experience questionnaire (UEQ) in different evaluation scenarios. In International Conference of Design, User Experience, and Usability; Marcus, A., Ed.; Springer International Publishing: Cham, Switzerland, 2014; pp. 383–392. [Google Scholar]
- UEQ. User Experience Questionnaire. Available online: https://www.ueq-online.org (accessed on 21 January 2026).
- Rades, D.; Zwaan, I.; Schepers-von Ohlen, D.; Bohnet, S.; Janssen, S.; Koeck, J.; Domschikowski, J.; Kristiansen, C.; Duma, M.N.; Keerl, S.; et al. Development of a scoring instrument for identification of pneumonitis in older lung cancer patients after radiotherapy (POLCAR): A protocol for a prospective trial. Cancers 2025, 17, 807. [Google Scholar] [CrossRef] [PubMed]
- DeLong, E.R.; DeLong, D.M.; Clarke-Pearson, D.L. Comparing the areas under two or more correlated receiver operating characteristic curves: A nonparametric approach. Biometrics 1988, 44, 837–845. [Google Scholar] [CrossRef] [PubMed]
- Quasthoff, S.; Hartung, H.P. Chemotherapy-induced peripheral neuropathy. J. Neurol. 2002, 249, 9–17. [Google Scholar] [CrossRef] [PubMed]
- Lixian, S.; Xiaoqian, Y.; Luyan, G.; Lizhi, Z.; Rui, D.; Hongyue, Y.; Caijie, Z.; Fenghui, Y. Risk factors of paclitaxel-induced peripheral neuropathy in patients with breast cancer: A prospective cohort study. Front. Oncol. 2024, 14, 1327318. [Google Scholar] [CrossRef]
- Hiramoto, S.; Asano, H.; Miyamoto, T.; Takegami, M.; Kawabata, A. Risk factors and pharmacotherapy for chemotherapy-induced peripheral neuropathy in paclitaxel-treated female cancer survivors: A retrospective study in Japan. PLoS ONE 2021, 16, e0261473. [Google Scholar] [CrossRef]
- Liang, C.; Zhang, Y.; Chen, Q.Y.; Chen, W.F.; Chen, M.Z. Risk factors for taxane-induced peripheral neuropathy in patients with breast cancer. Asia Pac. J. Clin. Oncol. 2024, 20, 220–227. [Google Scholar] [CrossRef]
- Li, R.L.; Bai, L.X.; Liu, Y.; Yang, A.L.; Chen, L.; Zhao, F.Y.; Zhang, L.; Liu, J.E. Profiles of chemotherapy-induced peripheral neuropathy in breast cancer patients undergoing taxane-based chemotherapy: A latent class analysis. Eur. J. Oncol. Nurs. 2025, 74, 102758. [Google Scholar] [CrossRef]
- Sánchez-Barroso, L.; Apellaniz-Ruiz, M.; Gutiérrez-Gutiérrez, G.; Santos, M.; Roldán-Romero, J.M.; Curras, M.; Remacha, L.; Calsina, B.; Calvo, I.; Sereno, M.; et al. Concomitant medications and risk of chemotherapy-induced peripheral neuropathy. Oncologist 2019, 24, e784–e792. [Google Scholar] [CrossRef]
- Lee, K.T.; Bulls, H.W.; Hoogland, A.I.; James, B.W.; Colon-Echevarria, C.B.; Jim, H.S.L. Chemotherapy-induced peripheral neuropathy (CIPN): A narrative review and proposed theoretical model. Cancers 2024, 16, 2571. [Google Scholar] [CrossRef]
- Song, S.J.; Min, J.; Suh, S.Y.; Jung, S.H.; Hahn, H.J.; Im, S.A.; Lee, J.Y. Incidence of taxane-induced peripheral neuropathy receiving treatment and prescription patterns in patients with breast cancer. Support. Care Cancer 2017, 25, 2241–2248. [Google Scholar] [CrossRef]
- Ghoreishi, Z.; Keshavarz, S.; Asghari Jafarabadi, M.; Fathifar, Z.; Goodman, K.A.; Esfahani, A. Risk factors for paclitaxel-induced peripheral neuropathy in patients with breast cancer. BMC. Cancer 2018, 18, 958. [Google Scholar] [CrossRef]
- Wiranata, J.A.; Astari, Y.K.; Ucche, M.; Hutajulu, S.H.; Paramita, D.K.; Sulistyoningrum, D.C.; Siswohadiswasana, Y.; Asmedi, A.; Hardianti, M.S.; Taroeno-Hariadi, K.W.; et al. Predictive factors of chemotherapy-induced peripheral neuropathy in breast cancer: A decision tree model approach. JCO Glob. Oncol. 2024, 10, e2400160. [Google Scholar] [CrossRef]
- Greenlee, H.; Hershman, D.L.; Shi, Z.; Kwan, M.L.; Ergas, I.J.; Roh, J.M.; Kushi, L.H. BMI, lifestyle factors and taxane-Induced neuropathy in breast cancer patients: The pathways study. J. Natl. Cancer Inst. 2016, 109, djw206. [Google Scholar] [CrossRef]
- Zhi, W.I.; Dreyfus, N.; Lessing, A.; Galantino, M.; Piulson, L.; Kot, K.L.; Li, S.; Bao, T. Patient characteristics associated with chemotherapy-induced peripheral neuropathy severity in a phase II clinical trial: A retrospective analysis. Oncologist 2023, 28, 604–608. [Google Scholar] [CrossRef]
- Nyrop, K.A.; Monaco, J.; Vohra, S.; Deal, A.M.; Wood, W.A.; Shachar, S.S.; Dees, E.C.; Kimmick, G.G.; Speca, J.C.; Muss, H.B. Body mass index and patient-reported function, quality of life and treatment toxicity in women receiving adjuvant chemotherapy for breast cancer. Support. Care Cancer 2023, 31, 196. [Google Scholar] [CrossRef]
- Lin, L.; Soesan, M.; van Balen, D.E.M.; Beijnen, J.H.; Huitema, A.D.R. The influence of body mass index on the tolerability and effectiveness of full-weight-based paclitaxel chemotherapy in women with early-stage breast cancer. Breast Cancer Res. Treat. 2022, 195, 325–331. [Google Scholar] [CrossRef]
- Kanbayashi, Y.; Sakaguchi, K.; Ishikawa, T.; Tabuchi, Y.; Takagi, R.; Yokota, I.; Katoh, N.; Takayama, K.; Taguchi, T. Predictors of the development of nab-paclitaxel-induced peripheral neuropathy in breast cancer patients: Post hoc analysis of a prospective, phase II, self-controlled clinical trial. Med. Oncol. 2022, 39, 153. [Google Scholar] [CrossRef]




| Moderate or Severe CIPN, n (%) | p-Value | |
|---|---|---|
| Age 65 years (n = 21) ≥65 years (n = 5) | 13 (62) 5 (100) | 0.28 |
| Karnofsky performance score 90–100 (n = 11) 70–80 (n = 15) | 3 (27) 15 (100) | 0.0001 |
| Body mass index <30 kg/m2 (n = 19) ≥30 kg/m2 (n = 7) | 11 (58) 7 (100) | 0.062 |
| Autoimmune disease No (n = 19) Yes (n = 7) | 14 (74) 4 (57) | 0.64 |
| Cardiovascular disease No (n = 23) Yes (n = 3) | 15 (65) 3 (100) | 0.53 |
| Hypertension No (n = 16) Yes (n = 10) | 8 (50) 10 (100) | 0.0095 |
| Smoking history <10 pack years (n = 18) ≥10 pack years (n = 8) | 11 (61) 7 (88) | 0.36 |
| Current Smoker No (n = 21) Yes (n = 5) | 13 (62) 5 (100) | 0.28 |
| Beta blocker treatment No (n = 17) Yes (n = 9) | 9 (53) 9 (100) | 0.023 |
| Tumor histology No special type alone (n = 20) Others (n = 5) | 13 (65) 5 (83) | 0.63 |
| Primary tumor stage T1 (n = 7) T2 or T3 (n = 19) | 4 (57) 14 (74) | 0.64 |
| Nodal stage N0 (n = 10) N+ (n = 16) | 9 (90) 9 (56) | 0.10 |
| Type of surgery Breast conserving surgery (n = 19) Mastectomy (n = 7) | 15 (79) 3 (43) | 0.15 |
| Axillary lymph node dissection No (n = 10) Yes (n = 16) | 9 (90) 9 (56) | 0.10 |
| Type of chemotherapy EC + PAC (n = 13 EC + PAC/Carbo (n = 4) EC + PAC/Carbo + Pembro (n = 5) ETC (n = 1) TCbHP (n = 3) | 10 (77) 2 (50) 3 (60) 1 (100) 2 (67) | 0.85 |
| Carboplatin No (n = 14) Yes (n = 12) | 11 (79) 7 (58) | 0.40 |
| Timing of chemotherapy Neoadjuvant (n = 17) Adjuvant (n = 9) | 10 (58) 8 (89) | 0.19 |
| Current hormonal therapy No (n = 8) Yes (n = 18) | 5 (63) 13 (72) | 0.67 |
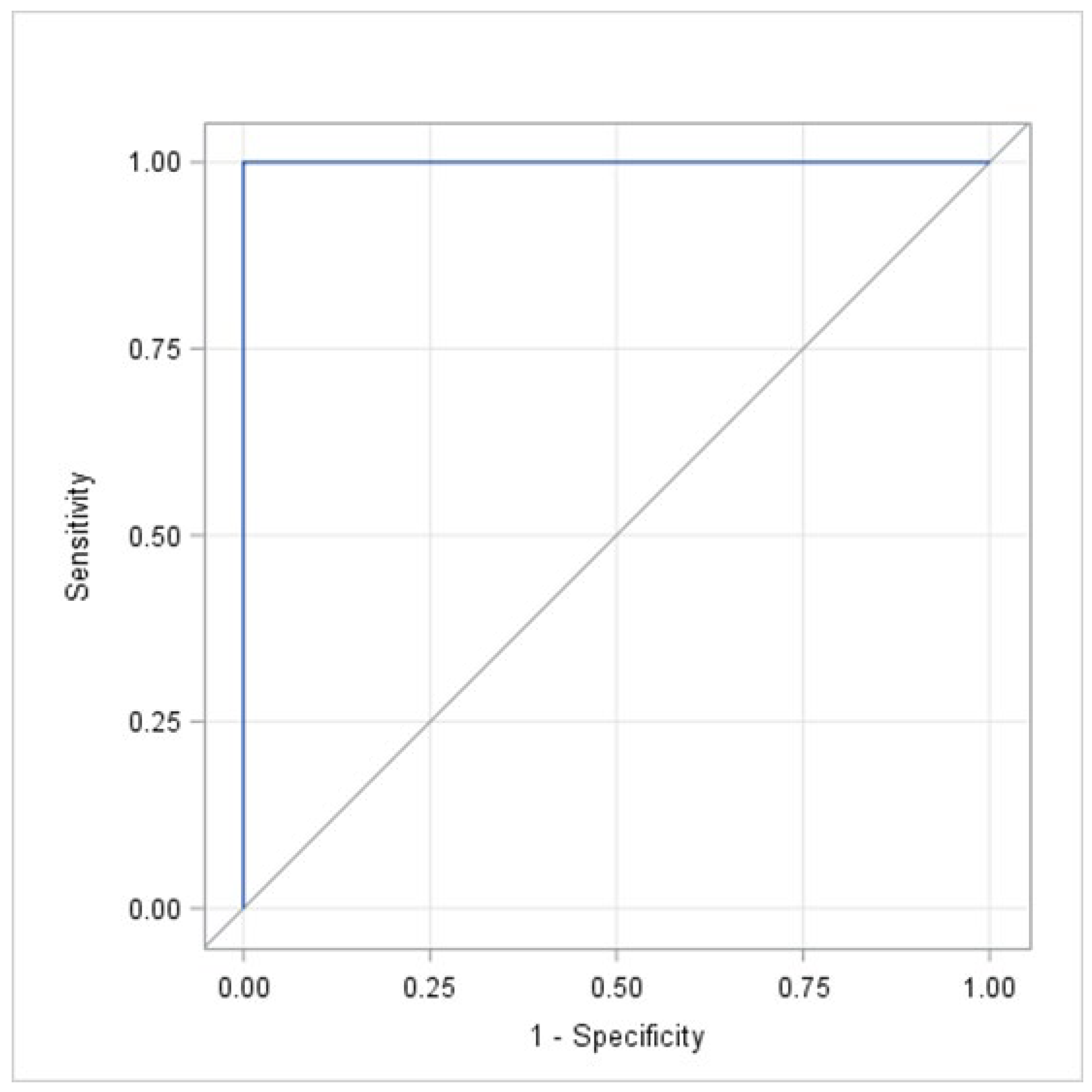
| Cut-Off Score | Sensitivity (%) | Specificity (%) | Youden Index (%) | PPV (%) | NPV (%) |
|---|---|---|---|---|---|
| 30 points | 5.56 | 100.0 | 5.56 | 100.0 | 32.00 |
| 27 points | 11.11 | 100.0 | 11.11 | 100.0 | 33.33 |
| 26 points | 16.67 | 100.0 | 16.67 | 100.0 | 34.78 |
| 25 points | 22.22 | 100.0 | 22.22 | 100.0 | 36.36 |
| 20 points | 38.89 | 100.0 | 38.89 | 100.0 | 42.11 |
| 19 points | 44.44 | 100.0 | 44.44 | 100.0 | 44.44 |
| 17 points | 50.00 | 100.0 | 50.00 | 100.0 | 47.06 |
| 16 points | 61.11 | 100.0 | 61.11 | 100.0 | 53.33 |
| 15 points | 72.22 | 100.0 | 72.22 | 100.0 | 61.54 |
| 14 points | 94.44 | 100.0 | 94.44 | 100.0 | 88.89 |
| 9 points | 100.0 | 100.0 | 100.0 | 100.0 | 100.0 |
| 7 points | 100.0 | 87.50 | 87.50 | 94.74 | 100.0 |
| 4 points | 100.0 | 50.00 | 50.00 | 81.82 | 100.0 |
| 3 points | 100.0 | 37.50 | 37.50 | 78.26 | 100.0 |
| 0 points | 100.0 | 0.00 | 0.00 | 69.23 |
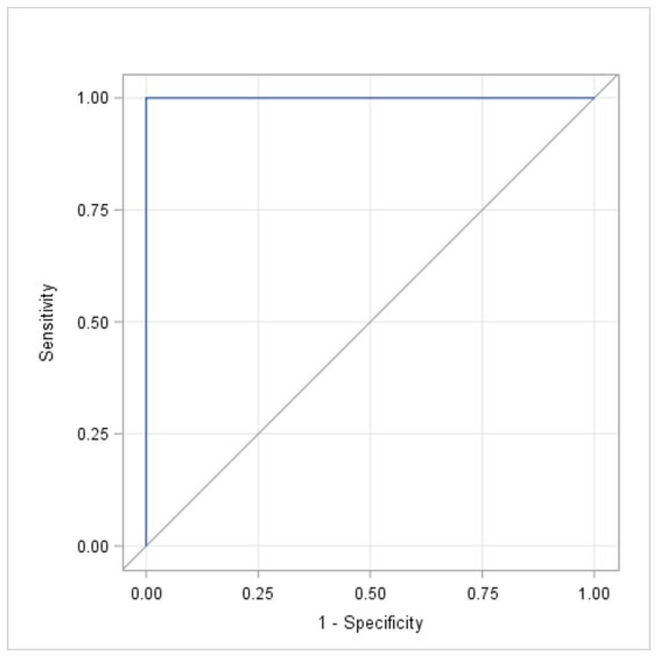
| Cut-Off Score | Sensitivity (%) | Specificity (%) | Youden Index (%) | PPV (%) | NPV (%) |
|---|---|---|---|---|---|
| 26 points | 5.56 | 100.0 | 5.56 | 100.0 | 32.00 |
| 24 points | 11.11 | 100.0 | 11.11 | 100.0 | 33.33 |
| 23 points | 16.67 | 100.0 | 16.67 | 100.0 | 34.78 |
| 20 points | 22.22 | 100.0 | 22.22 | 100.0 | 36.36 |
| 19 points | 27.78 | 100.0 | 27.78 | 100.0 | 38.10 |
| 18 points | 33.33 | 100.0 | 33.33 | 100.0 | 40.00 |
| 15 points | 44.44 | 100.0 | 44.44 | 100.0 | 44.44 |
| 14 points | 55.56 | 100.0 | 55.56 | 100.0 | 50.00 |
| 11 points | 61.11 | 100.0 | 61.11 | 100.0 | 53.33 |
| 10 points | 66.67 | 100.0 | 66.67 | 100.0 | 57.14 |
| 9 points | 83.33 | 100.0 | 83.33 | 100.0 | 72.73 |
| 8 points | 94.44 | 100.0 | 94.44 | 100.0 | 88.89 |
| 6 points | 100.0 | 100.0 | 100.0 | 100.0 | 100.0 |
| 3 points | 100.0 | 87.50 | 87.50 | 94.74 | 100.0 |
| 1 point | 100.0 | 75.00 | 75.00 | 90.00 | 100.0 |
| 0 points | 100.0 | 0.00 | 0.00 | 69.23 |
| Symptom-Based Score Was Considered | Mean Score | Standard Variation |
|---|---|---|
| Comprehensible | 6.27 | 1.51 |
| Easy to handle | 6.00 | 1.44 |
| Helpful | 6.50 | 0.97 |
| Stabilizing | 5.88 | 1.50 |
Disclaimer/Publisher’s Note: The statements, opinions and data contained in all publications are solely those of the individual author(s) and contributor(s) and not of MDPI and/or the editor(s). MDPI and/or the editor(s) disclaim responsibility for any injury to people or property resulting from any ideas, methods, instructions or products referred to in the content. |
© 2026 by the authors. Licensee MDPI, Basel, Switzerland. This article is an open access article distributed under the terms and conditions of the Creative Commons Attribution (CC BY) license.
Share and Cite
Rades, D.; Streubel, M.K.; Staackmann, C.; Doehring, L.; Rody, A.; Normann Haverberg, M.J.; Ballegaard, M. A New Scoring System Administered by Patients to Identify Moderate-to-Severe Chemotherapy-Induced Peripheral Neuropathy: Final Results of the NEURO-BREAC Trial. Cancers 2026, 18, 835. https://doi.org/10.3390/cancers18050835
Rades D, Streubel MK, Staackmann C, Doehring L, Rody A, Normann Haverberg MJ, Ballegaard M. A New Scoring System Administered by Patients to Identify Moderate-to-Severe Chemotherapy-Induced Peripheral Neuropathy: Final Results of the NEURO-BREAC Trial. Cancers. 2026; 18(5):835. https://doi.org/10.3390/cancers18050835
Chicago/Turabian StyleRades, Dirk, Maria Karolin Streubel, Christian Staackmann, Laura Doehring, Achim Rody, Maria Joy Normann Haverberg, and Martin Ballegaard. 2026. "A New Scoring System Administered by Patients to Identify Moderate-to-Severe Chemotherapy-Induced Peripheral Neuropathy: Final Results of the NEURO-BREAC Trial" Cancers 18, no. 5: 835. https://doi.org/10.3390/cancers18050835
APA StyleRades, D., Streubel, M. K., Staackmann, C., Doehring, L., Rody, A., Normann Haverberg, M. J., & Ballegaard, M. (2026). A New Scoring System Administered by Patients to Identify Moderate-to-Severe Chemotherapy-Induced Peripheral Neuropathy: Final Results of the NEURO-BREAC Trial. Cancers, 18(5), 835. https://doi.org/10.3390/cancers18050835

