Is Systematic Biopsy Mandatory in All MRI-Guided Fusion Prostate Biopsies? A Machine Learning Prediction Model
Simple Summary
Abstract
1. Introduction
2. Materials and Methods
Statistical Considerations
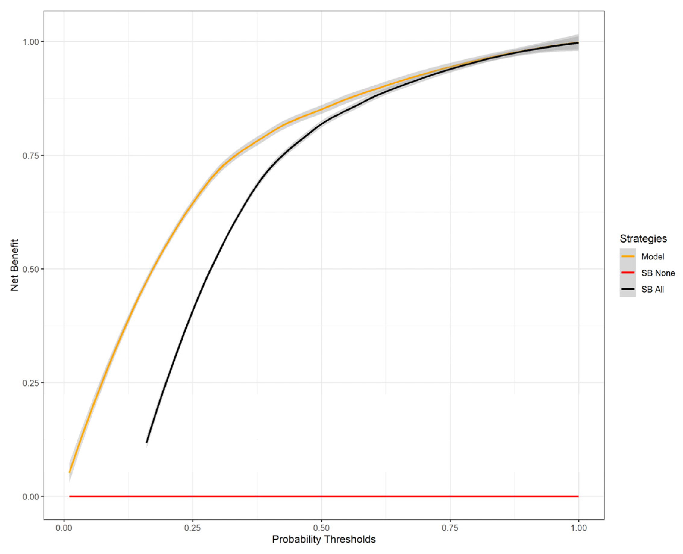
3. Results
4. Discussion
5. Conclusions
Supplementary Materials
Author Contributions
Funding
Institutional Review Board Statement
Informed Consent Statement
Data Availability Statement
Conflicts of Interest
Abbreviations
| PC | Prostate cancer |
| FB | Fusion biopsy |
| TB | Targeted biopsy |
| SB | Systematic biopsy |
| csPC | Clinically significant prostate cancer |
| ROI | Region of interest |
| GG | Grade group |
| GS | Gleason score |
| PSA | Prostate-specific antigen |
| PSAD | PSA density |
| SBD | SB dominant |
| XG | Extreme gradient boosting |
| ROC | Receiver–operating characteristic |
| SHAP | Shapley Additive Explanation |
References
- Siegel, R.L.; Giaquinto, A.N.; Jemal, A. Cancer statistics, 2024. CA Cancer J. Clin. 2024, 74, 12–49. [Google Scholar] [CrossRef] [PubMed]
- Cornford, P.; van den Bergh, R.C.N.; Briers, E.; Van den Broeck, T.; Brunckhorst, O.; Darraugh, J.; Eberli, D.; De Meerleer, G.; De Santis, M.; Farolfi, A.; et al. EAU-EANM-ESTRO-ESUR-ISUP-SIOG Guidelines on Prostate Cancer-2024 Update. Part I: Screening, Diagnosis, and Local Treatment with Curative Intent. Eur. Urol. 2024, 86, 148–163. [Google Scholar] [CrossRef] [PubMed]
- Mottet, N.; van den Bergh, R.C.N.; Briers, E.; Van den Broeck, T.; Cumberbatch, M.G.; De Santis, M.; Fanti, S.; Fossati, N.; Gandaglia, G.; Gillessen, S.; et al. EAU-EANM-ESTRO-ESUR-SIOG Guidelines on Prostate Cancer-2020 Update. Part 1: Screening, Diagnosis, and Local Treatment with Curative Intent. Eur. Urol. 2021, 79, 243–262. [Google Scholar] [CrossRef] [PubMed]
- Drost, F.H.; Osses, D.F.; Nieboer, D.; Steyerberg, E.W.; Bangma, C.H.; Roobol, M.J.; Schoots, I.G. Prostate MRI, with or without MRI-targeted biopsy, and systematic biopsy for detecting prostate cancer. Cochrane Database Syst. Rev. 2019, 4, Cd012663. [Google Scholar] [CrossRef]
- Rouvière, O.; Puech, P.; Renard-Penna, R.; Claudon, M.; Roy, C.; Mège-Lechevallier, F.; Decaussin-Petrucci, M.; Dubreuil-Chambardel, M.; Magaud, L.; Remontet, L.; et al. Use of prostate systematic and targeted biopsy on the basis of multiparametric MRI in biopsy-naive patients (MRI-FIRST): A prospective, multicentre, paired diagnostic study. Lancet Oncol. 2019, 20, 100–109. [Google Scholar] [CrossRef]
- Wegelin, O.; Exterkate, L.; van der Leest, M.; Kelder, J.C.; Bosch, J.; Barentsz, J.O.; Somford, D.M.; van Melick, H.H.E. Complications and Adverse Events of Three Magnetic Resonance Imaging-based Target Biopsy Techniques in the Diagnosis of Prostate Cancer Among Men with Prior Negative Biopsies: Results from the FUTURE Trial, a Multicentre Randomised Controlled Trial. Eur. Urol. Oncol. 2019, 2, 617–624. [Google Scholar] [CrossRef]
- Hou, N.; Li, M.; He, L.; Xie, B.; Wang, L.; Zhang, R.; Yu, Y.; Sun, X.; Pan, Z.; Wang, K. Predicting 30-days mortality for MIMIC-III patients with sepsis-3: A machine learning approach using XGboost. J. Transl. Med. 2020, 18, 462. [Google Scholar] [CrossRef]
- Ogunleye, A.; Wang, Q.G. XGBoost Model for Chronic Kidney Disease Diagnosis. IEEE/ACM Trans. Comput Biol. Bioinform. 2020, 17, 2131–2140. [Google Scholar] [CrossRef]
- Eng, J. Sample size estimation: How many individuals should be studied? Radiology 2003, 227, 309–313. [Google Scholar] [CrossRef]
- Lundberg, S.M.; Lee, S.-I. A unified approach to interpreting model predictions. Adv. Neural Inf. Process. Syst. 2017, 30, 4768–4777. [Google Scholar]
- Yang, W.; Jiang, J.; Schnellinger, E.M.; Kimmel, S.E.; Guo, W. Modified Brier score for evaluating prediction accuracy for binary outcomes. Stat. Methods Med. Res. 2022, 31, 2287–2296. [Google Scholar] [CrossRef] [PubMed]
- Van Calster, B.; Wynants, L.; Verbeek, J.F.M.; Verbakel, J.Y.; Christodoulou, E.; Vickers, A.J.; Roobol, M.J.; Steyerberg, E.W. Reporting and Interpreting Decision Curve Analysis: A Guide for Investigators. Eur. Urol. 2018, 74, 796–804. [Google Scholar] [CrossRef] [PubMed]
- Azur, M.J.; Stuart, E.A.; Frangakis, C.; Leaf, P.J. Multiple imputation by chained equations: What is it and how does it work? Int. J. Methods Psychiatr. Res. 2011, 20, 40–49. [Google Scholar] [CrossRef] [PubMed]
- Benjamini, Y.; Cohen, R. Weighted false discovery rate controlling procedures for clinical trials. Biostatistics 2017, 18, 91–104. [Google Scholar] [CrossRef]
- Collins, G.S.; Reitsma, J.B.; Altman, D.G.; Moons, K.G. Transparent Reporting of a multivariable prediction model for Individual Prognosis or Diagnosis (TRIPOD): The TRIPOD statement. Ann. Intern. Med. 2015, 162, 55–63. [Google Scholar] [CrossRef]
- Borghesi, M.; Ahmed, H.; Nam, R.; Schaeffer, E.; Schiavina, R.; Taneja, S.; Weidner, W.; Loeb, S. Complications After Systematic, Random, and Image-guided Prostate Biopsy. Eur. Urol. 2017, 71, 353–365. [Google Scholar] [CrossRef]
- Pepe, P.; Aragona, F. Prostate biopsy: Results and advantages of the transperineal approach-twenty-year experience of a single center. World J. Urol. 2014, 32, 373–377. [Google Scholar] [CrossRef]
- Ahdoot, M.; Wilbur, A.R.; Reese, S.E.; Lebastchi, A.H.; Mehralivand, S.; Gomella, P.T.; Bloom, J.; Gurram, S.; Siddiqui, M.; Pinsky, P.; et al. MRI-Targeted, Systematic, and Combined Biopsy for Prostate Cancer Diagnosis. N. Engl. J. Med. 2020, 382, 917–928. [Google Scholar] [CrossRef]
- Ellmann, S.; von Rohr, F.; Komina, S.; Bayerl, N.; Amann, K.; Polifka, I.; Hartmann, A.; Sikic, D.; Wullich, B.; Uder, M.; et al. Tumor grade-titude: XGBoost radiomics paves the way for RCC classification. Eur. J. Radiol. 2025, 188, 112146. [Google Scholar] [CrossRef]
- Liang, D.; Wang, L.; Zhong, P.; Lin, J.; Chen, L.; Chen, Q.; Liu, S.; Luo, Z.; Ke, C.; Lai, Y. Perspective: Global Burden of Iodine Deficiency: Insights and Projections to 2050 Using XGBoost and SHAP. Adv. Nutr. 2025, 16, 100384. [Google Scholar] [CrossRef]
- Shi, J.; Chen, L.; Yuan, X.; Yang, J.; Xu, Y.; Shen, L.; Huang, Y.; Wang, B.; Yu, F. A potential XGBoost Diagnostic Score for Staphylococcus aureus bloodstream infection. Front. Immunol. 2025, 16, 1574003. [Google Scholar] [CrossRef]
- Wang, X.; Zhou, L.; He, M.; Peng, Z.; Zhang, J. XGboost with multi-feature fusion for hemodynamic state prediction. Neuroscience 2025, 591, 63–75. [Google Scholar] [CrossRef]
- Zhang, Y.; Wang, Y.; Xu, J.; Zhu, B.; Chen, X.; Ding, X.; Li, Y. Comparison of Prediction Models for Acute Kidney Injury Among Patients with Hepatobiliary Malignancies Based on XGBoost and LASSO-Logistic Algorithms. Int. J. Gen. Med. 2021, 14, 1325–1335. [Google Scholar] [CrossRef]
- Abraham, A.; Kavoussi, N.L.; Sui, W.; Bejan, C.; Capra, J.A.; Hsi, R. Machine Learning Prediction of Kidney Stone Composition Using Electronic Health Record-Derived Features. J. Endourol. 2022, 36, 243–250. [Google Scholar] [CrossRef]




| Characteristic | TB Dominant, N = 447 | SB Dominant, N = 82 | p-Value |
|---|---|---|---|
| Age [y] | 74 (68, 80) | 66 (61, 71) | <0.001 |
| PSA | 6.2 (4.8, 9.0) | 6.3 (4.8, 9.4) | 0.8 |
| Prostate Volume [cc] | 48 (36, 63) | 58 (43, 75) | 0.002 |
| No of MRI lesions | 2.00 (1.00, 2.00) | 2.00 (1.00, 2.00) | >0.9 |
| Max PIRADS in ROI | 4.00 (3.00, 4.00) | 4.00 (3.00, 4.00) | 0.4 |
| Histologic region of maximal GG [PZ/other] | >0.9 | ||
| Other | 100 (22%) | 18 (22%) | |
| PZ | 347 (78%) | 64 (78%) | |
| PSAD | 0.12 (0.08, 0.17) | 0.13 (0.07, 0.21) | >0.9 |
| Clinical T stage | 0.6 | ||
| 1 | 314 (70%) | 62 (76%) | |
| 2 | 70 (16%) | 8 (9.8%) | |
| 3 | 63 (14%) | 12 (15%) | |
| Gleason group in TB | <0.001 | ||
| No malignancy | 147 (33%) | 56 (68%) | |
| 1 | 116 (26%) | 15 (18%) | |
| 2 | 94 (21%) | 7 (8.5%) | |
| 3 | 56 (13%) | 0 (0%) | |
| 4 | 11 (2.5%) | 4 (4.9%) | |
| 5 | 23 (5.1%) | 0 (0%) | |
| Gleason group in SB | <0.001 | ||
| No malignancy | 193 (43%) | 0 (0%) | |
| 1 | 119 (27%) | 43 (52%) | |
| 2 | 73 (16%) | 17 (21%) | |
| 3 | 38 (8.5%) | 13 (16%) | |
| 4 | 5 (1.1%) | 3 (3.7%) | |
| 5 | 19 (4.3%) | 6 (7.3%) |
Disclaimer/Publisher’s Note: The statements, opinions and data contained in all publications are solely those of the individual author(s) and contributor(s) and not of MDPI and/or the editor(s). MDPI and/or the editor(s) disclaim responsibility for any injury to people or property resulting from any ideas, methods, instructions or products referred to in the content. |
© 2026 by the authors. Licensee MDPI, Basel, Switzerland. This article is an open access article distributed under the terms and conditions of the Creative Commons Attribution (CC BY) license.
Share and Cite
Longo, O.; Raviv, G.; Haifler, M. Is Systematic Biopsy Mandatory in All MRI-Guided Fusion Prostate Biopsies? A Machine Learning Prediction Model. Cancers 2026, 18, 517. https://doi.org/10.3390/cancers18030517
Longo O, Raviv G, Haifler M. Is Systematic Biopsy Mandatory in All MRI-Guided Fusion Prostate Biopsies? A Machine Learning Prediction Model. Cancers. 2026; 18(3):517. https://doi.org/10.3390/cancers18030517
Chicago/Turabian StyleLongo, Omer, Gil Raviv, and Miki Haifler. 2026. "Is Systematic Biopsy Mandatory in All MRI-Guided Fusion Prostate Biopsies? A Machine Learning Prediction Model" Cancers 18, no. 3: 517. https://doi.org/10.3390/cancers18030517
APA StyleLongo, O., Raviv, G., & Haifler, M. (2026). Is Systematic Biopsy Mandatory in All MRI-Guided Fusion Prostate Biopsies? A Machine Learning Prediction Model. Cancers, 18(3), 517. https://doi.org/10.3390/cancers18030517

