Proportional Correlation Between Systemic Inflammation Response Index and Gastric Cancer Recurrence Time: A Retrospective Study
Simple Summary
Abstract
1. Introduction
2. Materials and Methods
2.1. Study Population
2.2. Prognostic Factors
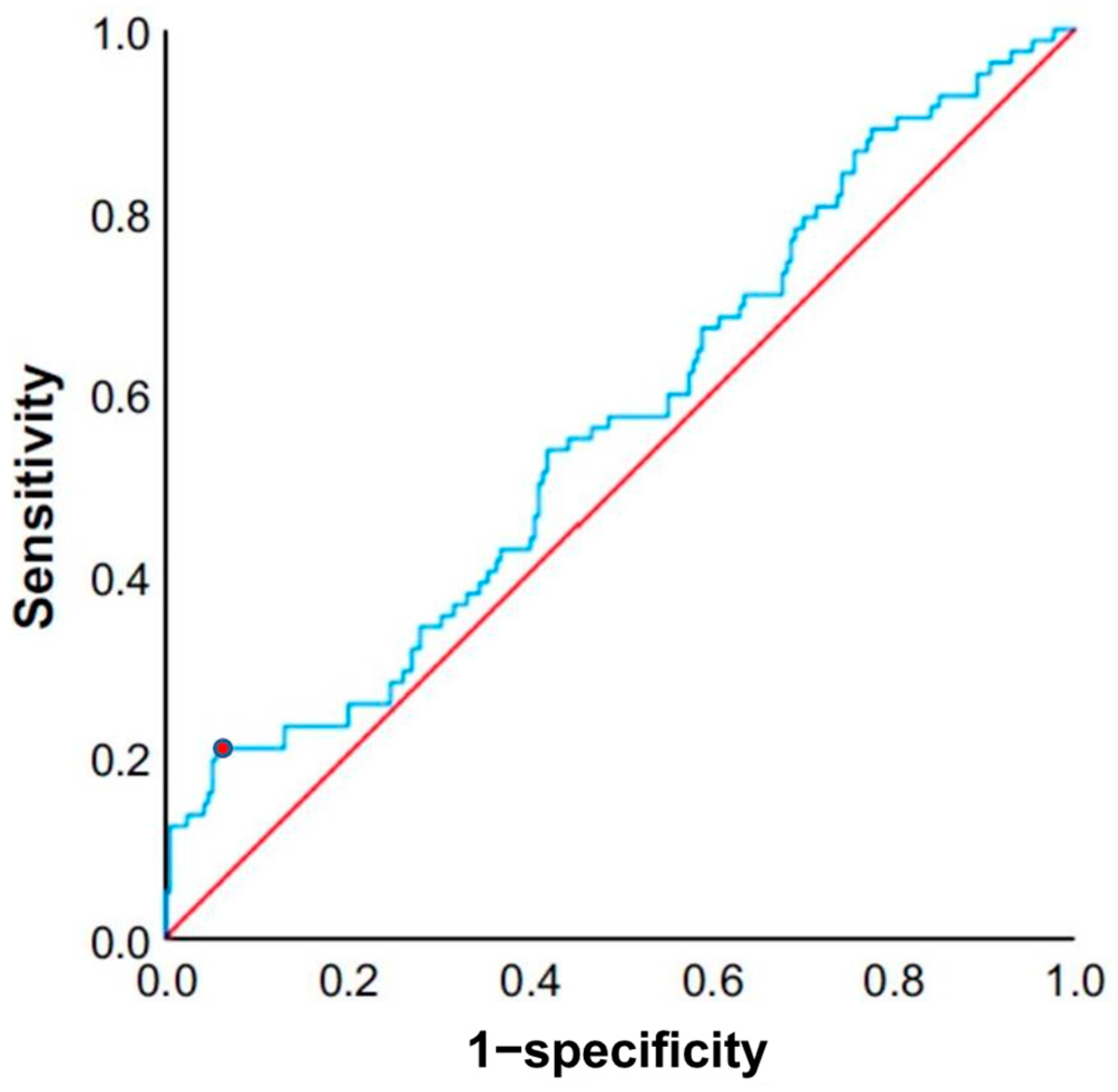
2.3. Statistical Analysis
2.4. Study Endpoints
2.5. Data Availability
3. Results
4. Discussion
5. Conclusions
Author Contributions
Funding
Institutional Review Board Statement
Informed Consent Statement
Data Availability Statement
Conflicts of Interest
Abbreviations
| TNM staging | Tumor, Node, Metastasis staging |
| SIRI | Systemic inflammation response index |
| NLR | Neutrophil-to-lymphocyte ratio |
| PLR | Platelet-to-lymphocyte ratio |
| HER2 | Human epidermal growth factor receptor 2 |
| EBV | Epstein–Barr virus |
| MSI | Microsatellite instability |
| ROC | Receiver operating characteristic curve |
| CI | Confidence interval |
| PD-1/PD-L1 | Programmed cell death protein 1/programmed cell death ligand 1 |
References
- Morgan, E.; Arnold, M.; Camargo, M.C.; Gini, A.; Kunzmann, A.T.; Matsuda, T.; Meheus, F.; Verhoeven, R.H.A.; Vignat, J.; Laversanne, M.; et al. The current and future incidence and mortality of gastric cancer in 185 countries, 2020–2040: A population-based modelling study. EClinicalmedicine 2022, 47, 101404. [Google Scholar] [CrossRef] [PubMed]
- Sung, H.; Ferlay, J.; Siegel, R.L.; Laversanne, M.; Soerjomataram, I.; Jemal, A.; Bray, F. Global cancer statistics 2020: GLOBOCAN estimates of incidence and mortality worldwide for 36 cancers in 185 countries. CA Cancer J. Clin. 2021, 71, 209–249. [Google Scholar] [CrossRef] [PubMed]
- Songun, I.; Putter, H.; Kranenbarg, E.M.; Sasako, M.; van de Velde, C.J. Surgical treatment of gastric cancer: 15-year follow-up results of the randomised nationwide Dutch D1D2 trial. Lancet Oncol. 2010, 11, 439–449. [Google Scholar] [CrossRef] [PubMed]
- Bang, Y.J.; Kim, Y.W.; Yang, H.K.; Chung, H.C.; Park, Y.K.; Lee, K.H.; Lee, K.W.; Kim, Y.H.; Noh, S.I.; Cho, J.Y.; et al. Adjuvant capecitabine and oxaliplatin for gastric cancer after D2 gastrectomy (Classic): A phase 3 open-label, randomised controlled trial. Lancet 2012, 379, 315–321. [Google Scholar] [CrossRef]
- Sakuramoto, S.; Sasako, M.; Yamaguchi, T.; Kinoshita, T.; Fujii, M.; Nashimoto, A.; Furukawa, H.; Nakajima, T.; Ohashi, Y.; Imamura, H.; et al. Adjuvant chemotherapy for gastric cancer with S-1, an oral fluoropyrimidine. N. Engl. J. Med. 2007, 357, 1810–1820. [Google Scholar] [CrossRef]
- De Manzoni, G.; Marrelli, D.; Baiocchi, G.L.; Morgagni, P.; Saragoni, L.; Degiuli, M.; Donini, A.; Fumagalli, U.; Mazzei, M.A.; Pacelli, F.; et al. The Italian Research Group for Gastric Cancer (GIRCG) Guidelines for Gastric Cancer Staging and Treatment: 2015. Gastric Cancer 2017, 20, 20–30. [Google Scholar] [CrossRef]
- Lordick, F.; Carneiro, F.; Cascinu, S.; Fleitas, T.; Haustermans, K.; Piessen, G.; Vogel, A.; Smyth, E.C. Gastric Cancer: ESMO Clinical Practice Guideline for Diagnosis, Treatment and Follow-Up. Ann. Oncol. 2022, 33, 1005–1020. [Google Scholar] [CrossRef]
- Marrelli, D.; Piccioni, S.A.; Carbone, L.; Petrioli, R.; Costantini, M.; Malagnino, V.; Bagnacci, G.; Rizzoli, G.; Calomino, N.; Piagnerelli, R.; et al. Posterior and Para-Aortic (D2plus) Lymphadenectomy after Neoadjuvant/Conversion Therapy for Locally Advanced/Oligometastatic Gastric Cancer. Cancers 2024, 16, 1376. [Google Scholar] [CrossRef]
- Iwasaki, Y.; Terashima, M.; Mizusawa, J.; Katayama, H.; Nakamura, K.; Katai, H.; Yoshikawa, T.; Ito, S.; Kaji, M.; Kimura, Y.; et al. Gastrectomy with or without neoadjuvant S-1 plus cisplatin for type 4 or large type 3 gastric cancer (JCOG0501): An open-label, phase 3, randomized controlled trial. Gastric Cancer. 2021, 24, 492–502. [Google Scholar] [CrossRef]
- Kim, T.H.; Kim, I.H.; Kang, S.J.; Choi, M.; Kim, B.H.; Eom, B.W.; Kim, B.J.; Min, B.H.; Choi, C.I.; Shin, C.M.; et al. Korean Practice Guidelines for Gastric Cancer 2022: An Evidence-based, Multidisciplinary Approach. J. Gastric Cancer. 2023, 23, 3–106. [Google Scholar] [CrossRef]
- Deng, J.; Liang, H.; Wang, D.; Sun, D.; Pan, Y.; Liu, Y. Investigation of the recurrence patterns of gastric cancer following a curative resection. Surg. Today 2011, 41, 210–215. [Google Scholar] [CrossRef] [PubMed]
- D’angelica, M.; Gonen, M.; Brennan, M.F.; Turnbull, A.D.; Bains, M.; Karpeh, M.S. Patterns of initial recurrence in completely resected gastric adenocarcinoma. Ann. Surg. 2004, 240, 808–816. [Google Scholar] [CrossRef] [PubMed]
- Wu, C.W.; Lo, S.S.; Shen, K.H.; Hsieh, M.C.; Chen, J.H.; Chiang, J.H.; Lin, H.J.; Li, A.F.Y.; Lui, W.Y. Incidence and factors associated with recurrence patterns after intended curative surgery for gastric cancer. World J. Surg. 2003, 27, 153–158. [Google Scholar] [CrossRef] [PubMed]
- McGranahan, N.; Swanton, C. Clonal heterogeneity and tumor evolution: Past, present, and the future. Cell 2017, 168, 613–628. [Google Scholar] [CrossRef]
- Gullo, I.; Carneiro, F.; Oliveira, C.; Almeida, G.M. Heterogeneity in gastric cancer: From pure morphology to molecular classifications. Pathobiology 2018, 85, 50–63. [Google Scholar] [CrossRef]
- Zhou, Q.; Su, S.; You, W.; Wang, T.; Ren, T.; Zhu, L. Systemic inflammation response index as a prognostic marker in cancer patients: A systematic review and meta-analysis of 38 cohorts. Dose-Response 2021, 19, 15593258211064744. [Google Scholar] [CrossRef]
- Yildirim, M.; Kaya, V.; Demirpence, O.; Gunduz, S.; Bozcuk, H. Prognostic significance of p53 in gastric cancer: A meta-analysis. Asian Pac. J. Cancer Prev. 2015, 16, 327–332. [Google Scholar] [CrossRef]
- Ando, K.; Oki, E.; Saeki, H.; Yan, Z.; Tsuda, Y.; Hidaka, G.; Kasagi, Y.; Otsu, H.; Kawano, H.; Kitao, H.; et al. Discrimination of p53 immunohistochemistry-positive tumors by its staining pattern in gastric cancer. Cancer Med. 2015, 4, 75–83. [Google Scholar] [CrossRef]
- Loh, C.Y.; Chai, J.Y.; Tang, T.F.; Wong, W.F.; Sethi, G.; Shanmugam, M.K.; Chong, P.P.; Looi, C.Y. The E-cadherin and N-cadherin switch in epithelial-to-mesenchymal transition: Signaling, therapeutic implications, and challenges. Cells 2019, 8, 1118. [Google Scholar] [CrossRef]
- Gabbert, H.E.; Mueller, W.; Schneiders, A.; Meier, S.; Moll, R.; Birchmeier, W.; Hommel, G. Prognostic value of E-cadherin expression in 413 gastric carcinomas. Int. J. Cancer 1996, 69, 184–189. [Google Scholar] [CrossRef]
- Blok, P.; Craanen, M.E.; Dekker, W.; Tytgat, G.N. Loss of E-cadherin expression in early gastric cancer. Histopathology 1999, 34, 410–415. [Google Scholar] [CrossRef] [PubMed]
- Hofmann, M.; Stoss, O.; Shi, D.; Büttner, R.; van de Vijver, M.; Kim, W.; Ochiai, A.; Rüschoff, J.; Henkel, T. Assessment of a HER2 scoring system for gastric cancer: Results from a validation study. Histopathology 2008, 52, 797–805. [Google Scholar] [CrossRef] [PubMed]
- Kim, S.; Kim, Y.J.; Chung, W.C. HER-2 positivity is a high risk of recurrence of Stage I gastric cancer. Korean J. Intern. Med. 2021, 36, 1327–1337. [Google Scholar] [CrossRef] [PubMed]
- Liu, X.; Xu, P.; Qiu, H.; Liu, J.; Chen, S.; Xu, D.; Li, W.; Zhan, Y.; Li, Y.; Chen, Y.; et al. Clinical utility of HER2 assessed by immunohistochemistry in patients undergoing curative resection for gastric cancer. Onco Targets Ther. 2016, 9, 949–958. [Google Scholar] [CrossRef][Green Version]
- Pattison, S.; Mitchell, C.; Lade, S.; Leong, T.; Busuttil, R.A.; Boussioutas, A. Early relapses after adjuvant chemotherapy suggests primary chemoresistance in diffuse gastric cancer. PLoS ONE 2017, 12, e0183891. [Google Scholar] [CrossRef]
- Nshizirungu, J.P.; Bennis, S.; Mellouki, I.; Sekal, M.; Benajah, D.A.; Lahmidani, N.; El Bouhaddouti, H.; Ibn Majdoub, K.; Ibrahimi, S.A.; Celeiro, S.P.; et al. Reproduction of the Cancer Genome Atlas (TCGA) and Asian Cancer Research Group (ACRG) gastric cancer molecular classifications and their association with clinicopathological characteristics and overall survival in Moroccan patients. Dis. Markers 2021, 2021, 9980410. [Google Scholar] [CrossRef]
- Shinozaki-Ushiku, A.; Kunita, A.; Fukayama, M. Update on Epstein-Barr virus and gastric cancer. Int. J. Oncol. 2015, 46, 1421–1434. [Google Scholar] [CrossRef]
- Hudler, P. Genetic aspects of gastric cancer instability. Sci. World J. 2012, 2012, 761909. [Google Scholar] [CrossRef]
- Smyth, E.C.; Wotherspoon, A.; Peckitt, C.; Gonzalez, D.; Hulkki-Wilson, S.; Eltahir, Z.; Fassan, M.; Rugge, M.; Valeri, N.; Okines, A.; et al. Mismatch repair deficiency, microsatellite instability, and survival: An exploratory analysis of the Medical Research Council Adjuvant Gastric Infusional Chemotherapy (MAGIC) trial. JAMA Oncol. 2017, 3, 1197–1203. [Google Scholar] [CrossRef]
- Tsai, C.Y.; Lin, T.A.; Huang, S.C.; Hsu, J.T.; Yeh, C.N.; Chen, T.C.; Chiu, C.T.; Chen, J.S.; Yeh, T.S. Is adjuvant chemotherapy necessary for patients with deficient mismatch repair gastric cancer?-autophagy inhibition matches the mismatched. Oncologist 2020, 25, e1021–e1030. [Google Scholar] [CrossRef]
- Kakeji, Y.; Korenaga, D.; Tsujitani, S.; Baba, H.; Anai, H.; Maehara, Y.; Sugimachi, K. Gastric cancer with p53 overexpression has high potential for metastasising to lymph nodes. Br. J. Cancer 1993, 67, 589–593. [Google Scholar] [CrossRef] [PubMed]
- Sumiyoshi, Y.; Kakeji, Y.; Egashira, A.; Mizokami, K.; Orita, H.; Maehara, Y. Overexpression of hypoxia-inducible factor 1alpha and p53 is a marker for an unfavorable prognosis in gastric cancer. Clin. Cancer Res. 2006, 12, 5112–5117. [Google Scholar] [CrossRef] [PubMed]
- Gao, X.; Zhao, L.; Zhang, N.; Han, W.; Liu, K.; Yan, J.; Chen, L.; Pan, Y.; Li, R.; Li, W.; et al. Impact of HER2 on prognosis and benefit from adjuvant chemotherapy in Stage II/III gastric cancer patients: A multicenter observational study. Int. J. Surg. 2023, 109, 1330–1341. [Google Scholar] [CrossRef] [PubMed]
- Chimal-Ramírez, G.K.; Espinoza-Sánchez, N.A.; Fuentes-Pananá, E.M. Protumor activities of the immune response: Insights in the mechanisms of immunological shift, oncotraining, and oncopromotion. J. Oncol. 2013, 2013, 835956. [Google Scholar] [CrossRef]
- Greten, F.R.; Grivennikov, S.I. Inflammation and cancer: Triggers, mechanisms, and consequences. Immunity 2019, 51, 27–41. [Google Scholar] [CrossRef]
- Gajewski, T.F.; Schreiber, H.; Fu, Y.X. Innate and adaptive immune cells in the tumor microenvironment. Nat. Immunol. 2013, 14, 1014–1022. [Google Scholar] [CrossRef]
- Maiorino, L.; Daßler-Plenker, J.; Sun, L.; Egeblad, M. Innate immunity and cancer pathophysiology. Annu. Rev. Pathol. 2022, 17, 425–457. [Google Scholar] [CrossRef]
- Watson, J.; Salisbury, C.; Banks, J.; Whiting, P.; Hamilton, W. Predictive value of inflammatory markers for cancer diagnosis in primary care: A prospective cohort study using electronic health records. Br. J. Cancer 2019, 120, 1045–1051. [Google Scholar] [CrossRef]
- Islami, F.; Goding Sauer, A.; Miller, K.D.; Siegel, R.L.; Fedewa, S.A.; Jacobs, E.J.; McCullough, M.L.; Patel, A.V.; Ma, J.; Soerjomataram, I.; et al. Proportion and number of cancer cases and deaths attributable to potentially modifiable risk factors in the United States. CA Cancer J. Clin. 2018, 68, 31–54. [Google Scholar] [CrossRef]
- Rothwell, P.M.; Fowkes, F.G.; Belch, J.F.; Ogawa, H.; Warlow, C.P.; Meade, T.W. Effect of daily aspirin on long-term risk of death due to cancer: Analysis of individual patient data from randomised trials. Lancet 2011, 377, 31–41. [Google Scholar] [CrossRef]
- Rothwell, P.M.; Wilson, M.; Price, J.F.; Belch, J.F.; Meade, T.W.; Mehta, Z. Effect of daily aspirin on risk of cancer metastasis: A study of incident cancers during randomised controlled trials. Lancet 2012, 379, 1591–1601. [Google Scholar] [CrossRef] [PubMed]
- Nathan, C.; Ding, A. Nonresolving inflammation. Cell 2010, 140, 871–882. [Google Scholar] [CrossRef] [PubMed]
- Coussens, L.M.; Werb, Z. Inflammation and cancer. Nature 2002, 420, 860–867. [Google Scholar] [CrossRef]
- Mantovani, A.; Allavena, P.; Sica, A.; Balkwill, F. Cancer-related inflammation. Nature 2008, 454, 436–444. [Google Scholar] [CrossRef]
- Zhao, H.; Wu, L.; Yan, G.; Chen, Y.; Zhou, M.; Wu, Y.; Li, Y. Inflammation and tumor progression: Signaling pathways and targeted intervention. Signal Transduct. Target. Ther. 2021, 6, 263. [Google Scholar] [CrossRef]
- Balkwill, F.R.; Capasso, M.; Hagemann, T. The tumor microenvironment at a glance. J. Cell Sci. 2012, 125, 5591–5596. [Google Scholar] [CrossRef]
- Galon, J.; Costes, A.; Sanchez-Cabo, F.; Kirilovsky, A.; Mlecnik, B.; Lagorce-Pagès, C.; Tosolini, M.; Camus, M.; Berger, A.; Wind, P.; et al. Type, density, and location of immune cells within human colorectal tumors predict clinical outcome. Science 2006, 313, 1960–1964. [Google Scholar] [CrossRef]
- Camus, M.; Tosolini, M.; Mlecnik, B.; Pagès, F.; Kirilovsky, A.; Berger, A.; Costes, A.; Bindea, G.; Charoentong, P.; Bruneval, P.; et al. Coordination of intratumoral immune reaction and human colorectal cancer recurrence. Cancer Res. 2009, 69, 2685–2693. [Google Scholar] [CrossRef]
- Hegde, P.S.; Karanikas, V.; Evers, S. The where, the when, and the how of immune monitoring for cancer immunotherapies in the era of checkpoint inhibition. Clin. Cancer Res. 2016, 22, 1865–1874. [Google Scholar] [CrossRef]
- Janjigian, Y.Y.; Shitara, K.; Moehler, M.; Garrido, M.; Salman, P.; Shen, L.; Wyrwicz, L.; Yamaguchi, K.; Skoczylas, T.; Campos Bragagnoli, A.; et al. First-line nivolumab plus chemotherapy versus chemotherapy alone for advanced gastric, gastro-oesophageal junction, and oesophageal adenocarcinoma (CheckMate 649): A randomised, open-label, phase 3 trial. Lancet 2021, 398, 27–40. [Google Scholar] [CrossRef]
- Liu, J.; Li, S.; Zhang, S.; Liu, Y.; Ma, L.; Zhu, J.; Xin, Y.; Wang, Y.; Yang, C.; Cheng, Y. Systemic immune-inflammation index, neutrophil-to-lymphocyte ratio, platelet-to-lymphocyte ratio can predict clinical outcomes in patients with metastatic non-small-cell lung cancer treated with nivolumab. J. Clin. Lab. Anal. 2019, 33, e22964. [Google Scholar] [CrossRef] [PubMed]
- Wang, S.; Yang, X.; Yu, Z.; Du, P.; Cao, Y.; Ji, Y.; Ma, J.; Yang, Y. The values of systemic immune-inflammation index and neutrophil–lymphocyte ratio in predicting testicular germ cell tumors: A retrospective clinical study. Front. Oncol. 2022, 12, 893877. [Google Scholar] [CrossRef] [PubMed]
- Xia, L.J.; Li, W.; Zhai, J.C.; Yan, C.W.; Chen, J.B.; Yang, H. Significance of neutrophil-to-lymphocyte ratio, platelet-to-lymphocyte ratio, lymphocyte-to-monocyte ratio and prognostic nutritional index for predicting clinical outcomes in T1-2 rectal cancer. BMC Cancer 2020, 20, 208. [Google Scholar] [CrossRef]
- Zhu, S.; Cheng, Z.; Hu, Y.; Chen, Z.; Zhang, J.; Ke, C.; Yang, Q.; Lin, F.; Chen, Y.; Wang, J. Prognostic value of the systemic immune-inflammation index and prognostic nutritional index in patients with medulloblastoma undergoing surgical resection. Front. Nutr. 2021, 8, 754958. [Google Scholar] [CrossRef]
- Hong, X.; Cui, B.; Wang, M.; Yang, Z.; Wang, L.; Xu, Q. Systemic immune-inflammation index, based on platelet counts and neutrophil–lymphocyte ratio, is useful for predicting prognosis in small cell lung cancer. Tohoku J. Exp. Med. 2015, 236, 297–304. [Google Scholar] [CrossRef]
- Wei, L.; Xie, H.; Yan, P. Prognostic value of the systemic inflammation response index in human malignancy: A meta-analysis. Medicine 2020, 99, e23486. [Google Scholar] [CrossRef]
- Liang, W.; Ferrara, N. The complex role of neutrophils in tumor angiogenesis and metastasis. Cancer Immunol. Res. 2016, 4, 83–91. [Google Scholar] [CrossRef]
- Murray, P.J. Immune regulation by monocytes. Semin. Immunol. 2018, 35, 12–18. [Google Scholar] [CrossRef]
- Alissafi, T.; Hatzioannou, A.; Legaki, A.I.; Varveri, A.; Verginis, P. Balancing cancer immunotherapy and immune-related adverse events: The emerging role of regulatory T cells. J. Autoimmun. 2019, 104, 102310. [Google Scholar] [CrossRef]
- Ishiguro, T.; Aoyama, T.; Ju, M.; Kazama, K.; Fukuda, M.; Kanai, H.; Sawazaki, S.; Tamagawa, H.; Tamagawa, A.; Cho, H.; et al. Prognostic Nutritional Index as a Predictor of Prognosis in Postoperative Patients With Gastric Cancer. In Vivo. 2023, 37, 1290–1296. [Google Scholar] [CrossRef]
- Aleixo, G.F.P.; Shachar, S.S.; Nyrop, K.A.; Muss, H.B.; Malpica, L.; Williams, G.R. Myosteatosis and prognosis in cancer: Systematic review and meta-analysis. Crit. Rev. Oncol. Hematol. 2020, 145, 102839. [Google Scholar] [CrossRef] [PubMed]




| n | % | ||
|---|---|---|---|
| Age (years) | ≤65 | 160 | 54.1 |
| >65 | 136 | 45.9 | |
| Sex | Male | 202 | 68.2 |
| Female | 94 | 31.8 | |
| Location | Cardia | 21 | 7.1 |
| Body | 135 | 45.6 | |
| Antrum | 134 | 45.3 | |
| Whole | 6 | 2 | |
| Differentiation | Well | 3 | 1 |
| Moderate | 155 | 52.7 | |
| Poor | 136 | 46.3 | |
| Depth of invasion | T1 | 24 | 8.1 |
| T2 | 50 | 16.9 | |
| T3 | 115 | 38.9 | |
| T4 | 107 | 36.1 | |
| LN metastasis | N0 | 53 | 17.9 |
| N1 | 72 | 24.3 | |
| N2 | 83 | 28 | |
| N3 | 88 | 29.7 | |
| TNM stage (8th) | Stage II | 147 | 49.7 |
| Stage III | 149 | 50.3 |
| Total, n (%) | No Recurrence, n (%) | Recurrence, n (%) | χ2 (p) | ||
|---|---|---|---|---|---|
| HER2 | Negative | 187 (100) | 143 (77) | 44 (23) | 3.062 (0.08) |
| Positive | 83 (100) | 55 (66) | 28 (34) | ||
| Lauren classification | Intestinal | 152 (100) | 108 (71) | 44 (29) | 0.353 (0.838) |
| Diffuse | 111 (100) | 82 (74) | 29 (26) | ||
| Mixed | 28 (100) | 21 (75) | 7 (25) | ||
| P53 | Wild Type | 69 (100) | 55 (80) | 14 (20) | 1.541 (0.214) |
| Overexpression | 149 (100) | 107 (72) | 42 (28) | ||
| SIRI | Low | 267 (100) | 202 (76) | 65 (24) | 15.345 * (<0.001) |
| High | 29 (100) | 12 (41) | 17 (59) | ||
| EBV | Negative | 92 (100) | 74 (80) | 18 (20) | 0.136 (0.712) |
| Positive | 8 (100) | 6 (75) | 2 (25) | ||
| E-cadherin | Not Decreased | 125 (100) | 90 (72) | 35 (28) | 2.601 (0.107) |
| Decreased | 41 (100) | 24 (59) | 17 (42) | ||
| MSI | MSS/MSI-L | 50 (100) | 43 (86) | 7 (14) | 0.031 (0.860) |
| MSI-H | 6 (100) | 5 (83) | 1 (17) | ||
| TNM stage | Stage II | 147 (100) | 130 (88) | 17 (12) | 37.97 * (<0.001) |
| Stage III | 149 (100) | 84 (56) | 65 (44) |
| Total, n (%) | No Recurrence, n (%) | Recurrence, n (%) | χ2 (p) | ||
|---|---|---|---|---|---|
| TNM state II | Low SIRI | 139 (100) | 124 (90) | 14 (10) | 4.442 * (0.035) |
| High SIRI | 9 (100) | 6 (67) | 3 (33) | ||
| TNM stage III | Low SIRI | 129 (100) | 78 (60) | 51 (40) | 6.535 * (0.011) |
| High SIRI | 20 (100) | 6 (30) | 14 (70) |
Disclaimer/Publisher’s Note: The statements, opinions and data contained in all publications are solely those of the individual author(s) and contributor(s) and not of MDPI and/or the editor(s). MDPI and/or the editor(s) disclaim responsibility for any injury to people or property resulting from any ideas, methods, instructions or products referred to in the content. |
© 2025 by the authors. Licensee MDPI, Basel, Switzerland. This article is an open access article distributed under the terms and conditions of the Creative Commons Attribution (CC BY) license (https://creativecommons.org/licenses/by/4.0/).
Share and Cite
In, K.; Kang, S.; Lee, H.; Eun, H.; Moon, H.; Lee, E.; Kim, S.; Sung, J.; Lee, B. Proportional Correlation Between Systemic Inflammation Response Index and Gastric Cancer Recurrence Time: A Retrospective Study. Cancers 2025, 17, 1415. https://doi.org/10.3390/cancers17091415
In K, Kang S, Lee H, Eun H, Moon H, Lee E, Kim S, Sung J, Lee B. Proportional Correlation Between Systemic Inflammation Response Index and Gastric Cancer Recurrence Time: A Retrospective Study. Cancers. 2025; 17(9):1415. https://doi.org/10.3390/cancers17091415
Chicago/Turabian StyleIn, Kyungryun, Sunhyung Kang, Hyunseok Lee, Hyuksoo Eun, Heeseok Moon, Eaumseok Lee, Seokhyun Kim, Jaekyu Sung, and Byungseok Lee. 2025. "Proportional Correlation Between Systemic Inflammation Response Index and Gastric Cancer Recurrence Time: A Retrospective Study" Cancers 17, no. 9: 1415. https://doi.org/10.3390/cancers17091415
APA StyleIn, K., Kang, S., Lee, H., Eun, H., Moon, H., Lee, E., Kim, S., Sung, J., & Lee, B. (2025). Proportional Correlation Between Systemic Inflammation Response Index and Gastric Cancer Recurrence Time: A Retrospective Study. Cancers, 17(9), 1415. https://doi.org/10.3390/cancers17091415

