Intra-Tumoral CD8+:CD3+ Lymphocyte Density Ratio in Appendix Cancer Is a Tumor Volume- and Grade-Independent Predictor of Survival
Simple Summary
Abstract
1. Introduction
2. Material and Methods
2.1. Case Selection and Cohort Details
2.2. Compilation of Clinical Records and Clinicopathologic Features
2.3. Tissue Handling and Acquisition
2.4. Immunohistochemical Staining
2.5. Digital Image Analysis and Cell Density Calculation
2.6. Statistical Analysis
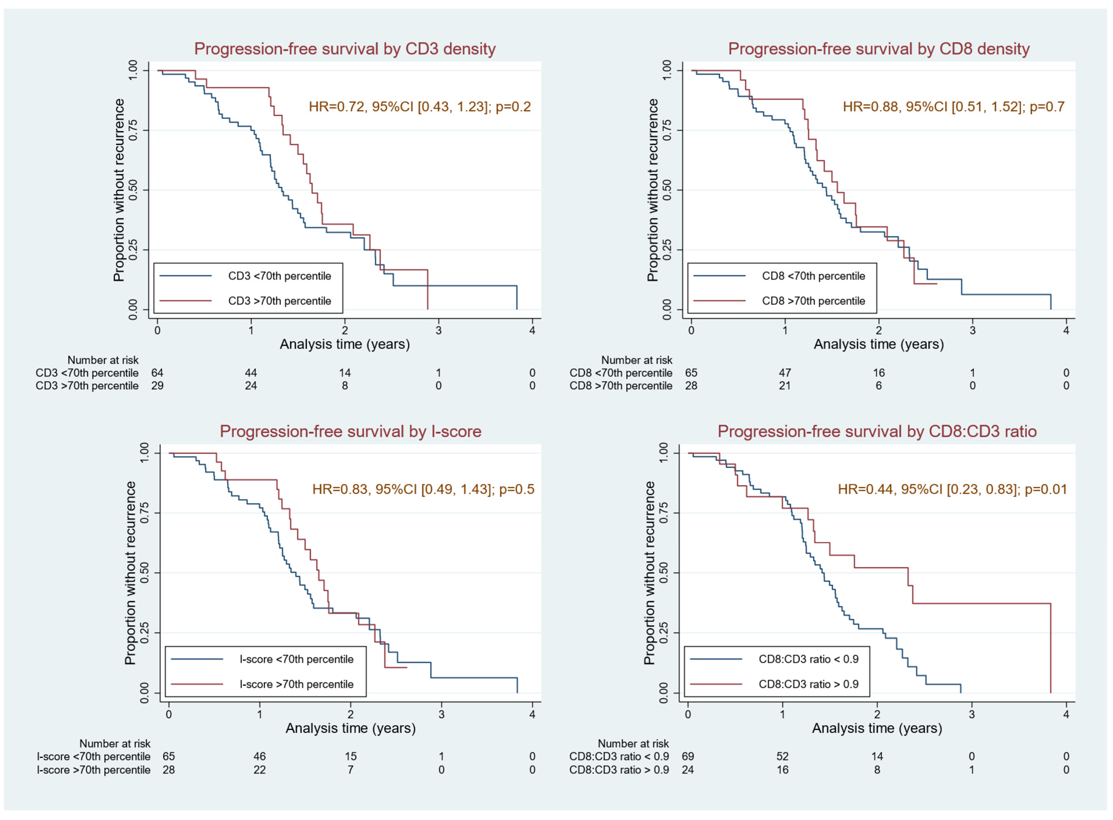
3. Results
4. Discussion
5. Conclusions
Supplementary Materials
Author Contributions
Funding
Institutional Review Board Statement
Informed Consent Statement
Data Availability Statement
Acknowledgments
Conflicts of Interest
List of Abbreviations
| CD3 | Cluster of Differentiation 3 |
| CD8 | Cluster of Differentiation 8 |
| AC | Appendiceal Cancer |
| PMP | Pseudomyxoma peritonei |
| IRB | Institutional Review Board |
| AHN | Allegheny Health Network |
| CEA | Carcinoembryonic Antigen |
| MSI | Microsatellite instability |
| FFPE | Formalin-Fixed Paraffin-Embedded |
| IHC | Immunohistochemistry |
| ROI | Region of interest |
| PFS | Progression-Free Survival |
| STATA | Statistical software used for analysis |
| CI | Confidence interval |
| RAS | Family of genes that regulate cell growth and death |
| KRAS | Kirsten rat sarcoma viral oncogene, gene that makes a protein that is involved in cell signaling pathways that control cell growth, cell maturation, and cell death. |
| MSI | Microsatellite instability |
| LAMN | Low grade appendiceal mucinous neoplasm |
| LVI | Lymphovascular invasion |
| PNI | Perineural invasion |
| NED | No evidence of disease |
| PR | Partial response |
| CRS | Cytoreductive surgery |
| PCI | Peritoneal Cancer Index |
| CC | Completeness of cytoreductive score |
| OS | Overall Survival |
| mAC | Mucinous adenocarcinoma |
| nmAC | Non-mucinous adenocarcinoma |
| gcAC | Goblet cell adenocarcinoma |
| srcAC | Signet ring cell adenocarcinoma |
| AC NOS | Adenocarcinoma not otherwise specified |
| BMI | Body Mass Index |
| HR | Hazard ratio |
| CI | Confidence interval |
References
- Van de Moortele, M.; De Hertogh, G.; Sagaert, X.; Van Cutsem, E. Appendiceal cancer: A review of the literature. Acta Gastroenterol. Belg. 2020, 83, 441–448. [Google Scholar]
- Osueni, A.; Chowdhury, Y.S. Appendix Cancer. In StatPearls; StatPearls Publishing: Treasure Island, FL, USA, 2025. [Google Scholar]
- Yap, D.R.Y.; Lui, R.N.; Samol, J.; Ngeow, J.; Sung, J.J.; Wong, S.H. Beyond a vestigial organ: Effects of the appendix on gut microbiome and colorectal cancer. J. Gastroenterol. Hepatol. 2024, 39, 826–835. [Google Scholar] [CrossRef]
- Pages, F.; Mlecnik, B.; Marliot, F.; Bindea, G.; Ou, F.S.; Bifulco, C.; Lugli, A.; Zlobec, I.; Rau, T.T.; Berger, M.D.; et al. International validation of the consensus Immunoscore for the classification of colon cancer: A prognostic and accuracy study. Lancet 2018, 391, 2128–2139. [Google Scholar] [CrossRef]
- Galon, J.; Lanzi, A. Immunoscore and its introduction in clinical practice. Q. J. Nucl. Med. Mol. Imaging 2020, 64, 152–161. [Google Scholar] [CrossRef]
- Hanahan, D.; Weinberg, R.A. Hallmarks of cancer: The next generation. Cell 2011, 144, 646–674. [Google Scholar] [CrossRef]
- Gonzalez-Montero, J.; Rojas, C.I.; Burotto, M. Predictors of response to immunotherapy in colorectal cancer. Oncologist 2024, 29, 824–832. [Google Scholar] [CrossRef]
- Bruni, D.; Angell, H.K.; Galon, J. The immune contexture and Immunoscore in cancer prognosis and therapeutic efficacy. Nat. Rev. Cancer 2020, 20, 662–680. [Google Scholar] [CrossRef]
- Alwers, E.; Kather, J.N.; Kloor, M.; Brobeil, A.; Tagscherer, K.E.; Roth, W.; Echle, A.; Amitay, E.L.; Chang-Claude, J.; Brenner, H.; et al. Validation of the prognostic value of CD3 and CD8 cell densities analogous to the Immunoscore(R) by stage and location of colorectal cancer: An independent patient cohort study. J. Pathol. Clin. Res. 2023, 9, 129–136. [Google Scholar] [CrossRef]
- Pages, F.; Andre, T.; Taieb, J.; Vernerey, D.; Henriques, J.; Borg, C.; Marliot, F.; Ben Jannet, R.; Louvet, C.; Mineur, L.; et al. Prognostic and predictive value of the Immunoscore in stage III colon cancer patients treated with oxaliplatin in the prospective IDEA France PRODIGE-GERCOR cohort study. Ann. Oncol. 2020, 31, 921–929. [Google Scholar] [CrossRef]
- Ahadi, M.; Sokolova, A.; Brown, I.; Chou, A.; Gill, A.J. The 2019 World Health Organization Classification of appendiceal, colorectal and anal canal tumours: An update and critical assessment. Pathology 2021, 53, 454–461. [Google Scholar] [CrossRef]
- Choudry, H.A.; Bartlett, D.L. Deciphering the Molecular Landscape of Appendiceal Mucinous Neoplasms for Diagnostic, Prognostic and Therapeutic Purposes. Ann. Surg. Oncol. 2020, 27, 1312–1313. [Google Scholar] [CrossRef]
- Bartlett, D.J.; Thacker, P.G., Jr.; Grotz, T.E.; Graham, R.P.; Fletcher, J.G.; VanBuren, W.M.; Iyer, V.R.; Fidler, J.L.; Menias, C.O.; Wasif, N.; et al. Mucinous appendiceal neoplasms: Classification, imaging, and HIPEC. Abdom. Radiol. 2019, 44, 1686–1702. [Google Scholar] [CrossRef]
- Govaerts, K.; Lurvink, R.J.; De Hingh, I.; Van der Speeten, K.; Villeneuve, L.; Kusamura, S.; Kepenekian, V.; Deraco, M.; Glehen, O.; Moran, B.J.; et al. Appendiceal tumours and pseudomyxoma peritonei: Literature review with PSOGI/EURACAN clinical practice guidelines for diagnosis and treatment. Eur. J. Surg. Oncol. 2021, 47, 11–35. [Google Scholar] [CrossRef]
- LaFramboise, W.A.; Pai, R.K.; Petrosko, P.; Belsky, M.A.; Dhir, A.; Howard, P.G.; Becich, M.J.; Holtzman, M.P.; Ahrendt, S.A.; Pingpank, J.F.; et al. Discrimination of low- and high-grade appendiceal mucinous neoplasms by targeted sequencing of cancer-related variants. Mod. Pathol. 2019, 32, 1197–1209. [Google Scholar] [CrossRef]
- Foote, M.B.; Walch, H.; Chatila, W.; Vakiani, E.; Chandler, C.; Steinruecke, F.; Nash, G.M.; Stadler, Z.; Chung, S.; Yaeger, R.; et al. Molecular Classification of Appendiceal Adenocarcinoma. J. Clin. Oncol. 2023, 41, 1553–1564. [Google Scholar] [CrossRef]
- Ang, C.S.; Shen, J.P.; Hardy-Abeloos, C.J.; Huang, J.K.; Ross, J.S.; Miller, V.A.; Jacobs, M.T.; Chen, I.L.; Xu, D.; Ali, S.M.; et al. Genomic Landscape of Appendiceal Neoplasms. JCO Precis. Oncol. 2018, 2, 1–18. [Google Scholar] [CrossRef]
- Ladel, L.; Tan, W.Y.; Jeyakanthan, T.; Sailo, B.; Sharma, A.; Ahuja, N. The Promise of Epigenetics Research in the Treatment of Appendiceal Neoplasms. Cells 2023, 12, 1962. [Google Scholar] [CrossRef]
- Wagner, P.L.; Knotts, C.M.; Donneberg, V.S.; Dadgar, N.; Pico, C.C.; Xiao, K.; Zaidi, A.; Schiffman, S.C.; Allen, C.J.; Donnenberg, A.D.; et al. Characterizing the Immune Environment in Peritoneal Carcinomatosis: Insights for Novel Immunotherapy Strategies. Ann. Surg. Oncol. 2024, 31, 2069–2077. [Google Scholar] [CrossRef]
- Park, H.; Knotts, C.; Blodgett, R. Fusobacterium Nucleatum Is Prevalent in Appendiceal Cancer and Negatively Associated with Intra-tumoral Lymphocytes. Am. Coll. Surg. 2024, 239, S437–S472. [Google Scholar] [CrossRef]
- Mizrahi, J.; Pant, S. Immunotherapy in Gastrointestinal Malignancies. Adv. Exp. Med. Biol. 2020, 1244, 93–106. [Google Scholar] [CrossRef]
- Budczies, J.; Klauschen, F.; Sinn, B.V.; Gyorffy, B.; Schmitt, W.D.; Darb-Esfahani, S.; Denkert, C. Cutoff Finder: A comprehensive and straightforward Web application enabling rapid biomarker cutoff optimization. PLoS ONE 2012, 7, e51862. [Google Scholar] [CrossRef] [PubMed]
- Khosravi, G.R.; Mostafavi, S.; Bastan, S.; Ebrahimi, N.; Gharibvand, R.S.; Eskandari, N. Immunologic tumor microenvironment modulators for turning cold tumors hot. Cancer Commun. 2024, 44, 521–553. [Google Scholar] [CrossRef]
- Kooij, I.A.; Sahami, S.; Meijer, S.L.; Buskens, C.J.; Te Velde, A.A. The immunology of the vermiform appendix: A review of the literature. Clin. Exp. Immunol. 2016, 186, 1–9. [Google Scholar] [CrossRef] [PubMed]
- Girard-Madoux, M.J.H.; Gomez de Aguero, M.; Ganal-Vonarburg, S.C.; Mooser, C.; Belz, G.T.; Macpherson, A.J.; Vivier, E. The immunological functions of the Appendix: An example of redundancy? Semin. Immunol. 2018, 36, 31–44. [Google Scholar] [CrossRef]
- Nagira, M.; Imai, T.; Yoshida, R.; Takagi, S.; Iwasaki, M.; Baba, M.; Tabira, Y.; Akagi, J.; Nomiyama, H.; Yoshie, O. A lymphocyte-specific CC chemokine, secondary lymphoid tissue chemokine (SLC), is a highly efficient chemoattractant for B cells and activated T cells. Eur. J. Immunol. 1998, 28, 1516–1523. [Google Scholar] [CrossRef]
- Fujihashi, K.; McGhee, J.R.; Lue, C.; Beagley, K.W.; Taga, T.; Hirano, T.; Kishimoto, T.; Mestecky, J.; Kiyono, H. Human appendix B cells naturally express receptors for and respond to interleukin 6 with selective IgA1 and IgA2 synthesis. J. Clin. Investig. 1991, 88, 248–252. [Google Scholar] [CrossRef]
- Masahata, K.; Umemoto, E.; Kayama, H.; Kotani, M.; Nakamura, S.; Kurakawa, T.; Kikuta, J.; Gotoh, K.; Motooka, D.; Sato, S.; et al. Generation of colonic IgA-secreting cells in the caecal patch. Nat. Commun. 2014, 5, 3704. [Google Scholar] [CrossRef] [PubMed]
- Palestrant, D.; Holzknecht, Z.E.; Collins, B.H.; Parker, W.; Miller, S.E.; Bollinger, R.R. Microbial biofilms in the gut: Visualization by electron microscopy and by acridine orange staining. Ultrastruct. Pathol. 2004, 28, 23–27. [Google Scholar] [CrossRef]
- Randal Bollinger, R.; Barbas, A.S.; Bush, E.L.; Lin, S.S.; Parker, W. Biofilms in the large bowel suggest an apparent function of the human vermiform appendix. J. Theor. Biol. 2007, 249, 826–831. [Google Scholar] [CrossRef] [PubMed]
- Deniz, K.; Sokmensuer, L.K.; Sokmensuer, C.; Patiroglu, T.E. Significance of intraepithelial lymphocytes in appendix. Pathol. Res. Pract. 2007, 203, 731–735. [Google Scholar] [CrossRef] [PubMed]
- Wirta, E.V.; Seppala, T.; Friman, M.; Vayrynen, J.; Ahtiainen, M.; Kautiainen, H.; Kuopio, T.; Kellokumpu, I.; Mecklin, J.P.; Bohm, J. Immunoscore in mismatch repair-proficient and -deficient colon cancer. J. Pathol. Clin. Res. 2017, 3, 203–213. [Google Scholar] [CrossRef] [PubMed]
- Remo, A.; Fassan, M.; Vanoli, A.; Bonetti, L.R.; Barresi, V.; Tatangelo, F.; Gafa, R.; Giordano, G.; Pancione, M.; Grillo, F.; et al. Morphology and Molecular Features of Rare Colorectal Carcinoma Histotypes. Cancers 2019, 11, 1036. [Google Scholar] [CrossRef]
- Dasso, J.F.; Obiakor, H.; Bach, H.; Anderson, A.O.; Mage, R.G. A morphological and immunohistological study of the human and rabbit appendix for comparison with the avian bursa. Dev. Comp. Immunol. 2000, 24, 797–814. [Google Scholar] [CrossRef] [PubMed]
- Mlecnik, B.; Bifulco, C.; Bindea, G.; Marliot, F.; Lugli, A.; Lee, J.J.; Zlobec, I.; Rau, T.T.; Berger, M.D.; Nagtegaal, I.D.; et al. Multicenter International Society for Immunotherapy of Cancer Study of the Consensus Immunoscore for the Prediction of Survival and Response to Chemotherapy in Stage III Colon Cancer. J. Clin. Oncol. 2020, 38, 3638–3651. [Google Scholar] [CrossRef] [PubMed]
- Mlecnik, B.; Torigoe, T.; Bindea, G.; Popivanova, B.; Xu, M.; Fujita, T.; Hazama, S.; Suzuki, N.; Nagano, H.; Okuno, K.; et al. Clinical Performance of the Consensus Immunoscore in Colon Cancer in the Asian Population from the Multicenter International SITC Study. Cancers 2022, 14, 4346. [Google Scholar] [CrossRef] [PubMed]
- Angell, H.K.; Bruni, D.; Barrett, J.C.; Herbst, R.; Galon, J. The Immunoscore: Colon Cancer and Beyond. Clin. Cancer Res. 2020, 26, 332–339. [Google Scholar] [CrossRef]
- Weitz, J.; Hurtado de Mendoza, T.; Tiriac, H.; Lee, J.; Sun, S.; Garg, B.; Patel, J.; Li, K.; Baumgartner, J.; Kelly, K.J.; et al. An Ex Vivo Organotypic Culture Platform for Functional Interrogation of Human Appendiceal Cancer Reveals a Prominent and Heterogenous Immunological Landscape. Clin. Cancer Res. 2022, 28, 4793–4806. [Google Scholar] [CrossRef] [PubMed]
- Mlecnik, B.; Tosolini, M.; Kirilovsky, A.; Berger, A.; Bindea, G.; Meatchi, T.; Bruneval, P.; Trajanoski, Z.; Fridman, W.H.; Pages, F.; et al. Histopathologic-based prognostic factors of colorectal cancers are associated with the state of the local immune reaction. J. Clin. Oncol. 2011, 29, 610–618. [Google Scholar] [CrossRef]
- Strach, M.C.; Yeung, N.; Lin, H.-M.; Ansari, N.; Koh, C.; Shin, J.-S.; Kench, J.; Horvath, L.; Mahon, K.L. Characteristics of immune-infiltrating cells in the tumor microenvironment of appendiceal cancer with peritoneal disease. J. Clin. Oncol. 2023, 41, 217. [Google Scholar] [CrossRef]
- Bui, L.T.; Cao, X.; Wang, J.; Meng, F.; Feng, M.; Arvanitis, L.; Mannan, R.; Woo, Y.; Idrees, K.; Banovich, N.E.; et al. Integrated characterization of cell types, states and molecular programs in disseminated appendiceal neoplasms. bioRxiv 2023. [Google Scholar] [CrossRef]
- Yildirim, Y.; Sokmen, S.; Cevlik, A.D.; Bisgin, T.; Manoglu, B.; Obuz, F. Prognostic significance of the immuno-peritoneal cancer index in peritoneal metastatic patients treated with cytoreductive surgery and hyperthermic intraperitoneal chemotherapy. Langenbecks Arch. Surg. 2023, 408, 182. [Google Scholar] [CrossRef] [PubMed]





| Characteristic | Number of Patients | Median (Q1, Q3) | Standard Deviation | Percentage |
|---|---|---|---|---|
| n = 95 | ||||
| Age at diagnosis | 57 (48, 66) | 12.4 | ||
| Sex | Female = 41 | 43.2% | ||
| Male = 54 | 56.8% | |||
| CEA (ng/mL) | n = 76 | 3.9 (2, 14.8) | 183.8 | |
| Histology | LAMN = 26 | 27.3% | ||
| Adenocarcinoma = 10 | 10.5% | |||
| Mucinous adenocarcinoma = 33 | 34.7% | |||
| Goblet cell carcinoma = 15 | 15.8% | |||
| Signet ring cell carcinoma = 9 | 9.5% | |||
| Sessile serrated lesion = 1 | 1.1% | |||
| Villous adenoma = 1 | 1.1% | |||
| Primary tumor Metastatic peritoneal lesion | n = 38 n = 57 | 40% 60% | ||
| Primary tumor with dissemination | n = 21 | 55.3% | ||
| Grade | 1 = 35 | 37.6% | ||
| 2 = 26 | 28% | |||
| 3 = 32 | 34.4% | |||
| Stage | 0 = 8 | 8.4% | ||
| 1 = 0 | 0% | |||
| 2 = 14 | 14.8% | |||
| 3 = 4 | 4.2% | |||
| 4 = 69 | 72.6% | |||
| Nodal Status | n = 61 | Negative = 50.8% | ||
| Positive = 49.2% | ||||
| Lymphovascular invasion (in primary tumors) | n = 35 | Identified = 25.7% (n = 9, 9.5% of all) | ||
| Perineural invasion (in primary tumors) | n = 29 | Identified = 48.3% (n = 14, 14.7% of all) | ||
| RAS mutation status | Wild type (n = 6) | 6.3% | ||
| KRAS Mutation (n = 4) | 4.2% | |||
| MSI status | Stable (n = 37) | 39% | ||
| High (n = 2) | 2.1% | |||
| Peritoneal Cancer Index (PCI) | 26 (18, 33) | 9.1 | ||
| Completeness of Cytoreduction (CC) of those underwent CRS (n = 68) | CC0 (n = 36) | 52.9% | ||
| CC1 (n = 29) | 42.7% | |||
| CC2 (n = 1) | 1.5% | |||
| CC3 (n = 2) | 2.9% | |||
| Previous CRS | n = 39 | 41.1% | ||
| Chemotherapy within 3 months of tissue acquirement | Yes (n = 19) | 20% | ||
| Best response to therapy | NED (n = 23) | 24.2% | ||
| PR (n = 32) | 33.7% | |||
| Stable disease (n = 8) | 8.4% | |||
| Progression (n = 32) | 33.7% | |||
| Progression noted at any time during follow up | n = 63 | 66.3% | ||
| Median progression free survival (months) | 23 | |||
| Mortality | n = 14 | 14.7% |
| CD3 Density | CD8 Density | I-Score | CD8:CD3 Ratio | |||||
|---|---|---|---|---|---|---|---|---|
| Median (IQR) | p | Median (IQR) | p | Median (IQR) | p | Median (IQR) | p | |
| TOTAL | 397.9 (206.0, 756.9) | 225.6 (105.2, 415.1) | 48.9 (27.6, 72.3) | 0.6 (0.4, 1.0) | ||||
| FEMALE | 365.8 (171.1, 645.7) | 0.4 | 189.2 (113.7, 348.8) | 0.4 | 37.7 (28.2, 66.5) | 0.3 | 0.6 (0.4, 0.9) | 0.9 |
| MALE | 447.4 (259.8, 773.4) | 273.1 (92.2, 439.1) | 53.1 (26.6, 73.9) | 0.6 (0.4, 1.0) | ||||
| PRIMARY | 333.5 (204.7, 769.5) | 0.9 | 222.7 (92.2, 460.3) | 1.0 | 51.6 (27.6, 73.4) | 0.9 | 0.6 (0.4, 1.0) | 0.7 |
| METASTATIC | 419.2 (214.1, 707.8) | 225.6 (105.2, 415.1) | 48.4 (28.2, 71.2) | 0.6 (0.4, 0.9) | ||||
| LAMN | 589.3 (374.0, 1243.1) | 0.02 | 287.9 (152.2, 716.3) | 0.06 | 62.7 (34, 87.7) | 0.02 | 0.6 (0.4, 0.7) | 0.8 |
| Mucinous adenocarcinoma | 333.5 (206.0, 645.7) | 199.4 (95.7, 422.8) | 48.4 (31.2, 66.5) | 0.6 (0.5, 1.1) | ||||
| Goblet cell carcinoma | 278.6 (106.7, 484.9) | 207.8 (71.3, 439.1) | 37.7 (26.6, 57.9) | 0.6 (0.4, 1.6) | ||||
| Signet ring cell adenocarcinoma | 310.8 (214.1, 632.3) | 130.6 (92.2, 272.8) | 32.4 (28.2, 68.6) | 0.4 (0.3, 0.5) | ||||
| Adenocarcinoma NOS | 312.2 (259.7, 464.2) | 231.4 (105.0, 386.5) | 47.0 (23.8, 59) | 0.8 (0.5, 1.1) | ||||
| AJCC Stage 0 | 705.4 (457.9, 1107.2) | 0.9 | 346.4 (208.8, 615.3) | 0.7 | 65.9 (50.3, 84.5) | 1.0 | 0.5 (0.4, 0.6) | 0.2 |
| Stage II | 369.9 (136.4, 712.2) | 212.8 (86.3, 316.4) | 41.5 (26.6, 57.9) | 0.5 (0.3, 0.9) | ||||
| Stage III | 88.5 (40.5, 331.9) | 64.5 (19.3, 152.3) | 11.4 (2.1, 36.6) | 0.5 (0.4, 0.7) | ||||
| Stage IV | 342.1 (258.5, 756.9) | 225.6 (109.9, 439.1) | 48.9 (29.8, 72.3) | 0.6 (0.4, 1.1) | ||||
| Grade 1 | 547.2 (338.6, 1095.8) | 0.02 | 320.7 (184.8, 770.3) | 0.009 | 57.9 (37.2, 87.7) | 0.01 | 0.6 (0.4, 1.0) | 0.08 |
| Grade 2 | 309.2 (161.7, 593.0) | 185.3 (86.3, 354.5) | 38.8 (24.4, 55.8) | 0.5 (0.5, 1.1) | ||||
| Grade 3 | 310.9 (205.3, 558.6) | 169.3 (68.2, 381.7) | 41.7 (23.6, 61.9) | 0.5 (0.3, 0.9) | ||||
| Nodal involvement | 352.4 (214.1, 769.5) | 0.3 | 200.4 (92.2, 422.8) | 0.7 | 47.8 (24.4, 73.9) | 0.9 | 0.5 (0.3, 1.0) | 0.07 |
| Negative nodal status | 333.5 (162.0, 484.9) | 232.2 (128.0, 376.9) | 45.7 (30.9, 57.9) | 0.7 (0.5, 1.1) | ||||
| LVI present | 391.6 (106.7, 707.8) | 0.4 | 207.8 (149.4, 316.4) | 0.5 | 40.4 (26.6, 70.7) | 0.4 | 0.6 (0.4, 1.7) | 0.7 |
| Without LVI | 445.3 (324.0, 889.0) | 280.1 (152.2, 636.0) | 53.7 (34, 80.3) | 0.6 (0.4, 1.0) | ||||
| PNI present | 333.1 (171.1, 482.9) | 0.3 | 266.1 (71.3, 439.1) | 0.7 | 50.8 (29.8, 55.3) | 0.7 | 0.6 (0.4, 1.6) | 0.4 |
| Without PNI | 448.3 (338.6, 889.0) | 2322.2 (86.3, 3545) | 52.1 (34, 72.3) | 0.5 (0.3, 0.6) | ||||
| Recent chemotherapy | 310.8 (233.8, 632.2) | 0.5 | 213.1 (130.6, 439.1) | 0.9 | 44.1 (35.6, 55.8) | 0.8 | 0.6 (0.4, 1.6) | 0.4 |
| No chemotherapy within 3 months | 440.9 (198.8, 875.2) | 238.6 (101.7, 428.1) | 50.3 (27.6, 73.6) | 0.6 (0.4, 0.9) | ||||
| Prior CRS | 365.8 (259.8, 773.4) | 0.7 | 273.5 (109.9, 438.6) | 0.6 | 48.9 (31.2, 72.3) | 0.6 | 0.6 (0.4, 0.9) | 0.6 |
| No prior CRS | 401.4 (180.0, 686.0) | 213.2 (89.2, 419.7) | 49.2 (26.6, 72.8) | 0.7 (0.4, 1.1) | ||||
| Response to treatment: NED | 442.2 (162.0, 971.2) | 0.2 | 300.9 (181.3, 460.3) | 0.02 | 55.8 (27.6, 80.8) | 0.05 | 0.6 (0.5, 1.0) | 0.2 |
| Response to treatment: PR | 352.2 (276.7, 771.5) | 280.7 (115.8, 680.9) | 50.8 (33.5, 77.9) | 0.6 (0.4, 1.3) | ||||
| Response to treatment: Stable disease | 386.4 (155.7, 792.6) | 305.1 (125.8, 787.6) | 51.0 (25.7, 80.3) | 0.8 (0.6, 1.5) | ||||
| Response to treatment: Progression | 358.0 (146.3, 670.0) | 174.4 (74.6, 294.6) | 42.8 (20.4, 62.7) | 0.5 (0.3, 0.7) | ||||
| Association of Lymphocyte Density with Continuous Variables | ||||||
|---|---|---|---|---|---|---|
| Age | PCI | CEA | ||||
| Rho | p | Rho | p | Rho | p | |
| CD3 density | −0.2 | 0.07 | 0.04 | 0.8 | 0.2 | 0.2 |
| CD8 density | −0.2 | 0.04 | −0.05 | 0.7 | 0.02 | 0.9 |
| I-score | −0.2 | 0.04 | −0.01 | 0.9 | 0.1 | 0.4 |
| CD8:CD3 ratio | −0.04 | 0.7 | −0.1 | 0.3 | −0.2 | 0.1 |
| Variable | Cutoff | All AC | Low-Grade AC | Intermediate/High Grade AC | Primary AC | Metastatic (Peritoneal) AC | ||||||||||
|---|---|---|---|---|---|---|---|---|---|---|---|---|---|---|---|---|
| HR | 95% CI | p | HR | 95% CI | p | HR | 95% CI | p | HR | 95% CI | p | HR | 95% CI | p | ||
| CD3+ cell density | continuous | 1.0 | [0.9–1.0] | 0.9 | 1.0 | [1.0–1.0] | 0.5 | 1.0 | [1.0–1.0] | 1.0 | 1.0 | [1.0–1.0] | 0.04 | 1.0 | [1.0–1.0] | 0.6 |
| CD8+ cell density | continuous | 1.0 | [1.0–1.0] | 0.3 | 1.0 | [1.0–1.0] | 0.07 | 1.0 | [1.0–1.0] | 0.7 | 1.0 | [1.0–1.0] | 0.07 | 1.0 | [1.0–1.0] | 0.8 |
| I-score | continuous | 1.0 | [0.9–1.0] | 0.9 | 1.0 | [1.0–1.0] | 0.3 | 1.0 | [1.0–1.0] | 1.0 | 1.0 | [1.0–1.0] | 0.4 | 1.0 | [1.0–1.0] | 0.7 |
| >70th percentile | 0.8 | [0.5–1.4] | 0.5 | 0.4 | [0.2–1.0] | 0.04 | 1.0 | [0.5–2.3] | 0.9 | 0.4 | [0.2–1.0] | 0.05 | 1.4 | [0.7–2.8] | 0.4 | |
| CD8:CD3 cell ratio | continuous | 0.6 | [0.4–1.0] | 0.04 | 0.4 | [0.2–0.8] | 0.01 | 0.7 | [0.4–1.2] | 0.2 | 0.6 | [0.3–1.2] | 0.2 | 0.6 | [0.3–1.2] | 0.1 |
| >0.9 | 0.4 | [0.2–0.8] | 0.01 | 0.4 | [0.1–1.0] | 0.04 | 0.5 | [0.2–1.1] | 0.08 | 0.3 | [0.1–1.1] | 0,07 | 0.5 | [0.2–1.2] | 0.1 | |
| Multivariable Analysis: Progression-Free Survival | |||
|---|---|---|---|
| Hazard Ratio | 95% CI | Log-Rank p | |
| CD8:CD3 ratio (continuous) | 0.39 | [0.20, 0.73] | 0.004 |
| Age | 1.00 | [0.98, 1.03] | 0.88 |
| Grade | |||
| I | 1.32 | [0.67, 2.6] | 0.81 |
| II | 0.64 | [0.30, 1.37] | 0.25 |
| III | 0.59 | [0.266, 1.29] | 0.19 |
| PCI | 0.98 | [0.95, 1.02] | 0.39 |
| CD8:CD3 ratio > 0.9 | 0.32 | [0.14, 0.72] | 0.006 |
| Age | 1.00 | [0.97, 1.02] | 0.79 |
| Grade | |||
| I | 1.45 | [0.74, 2.88] | 0.28 |
| II | 0.72 | [0.34, 1.51] | 0.39 |
| III | 0.78 | [0.36, 1.65] | 0.51 |
| PCI | 0.98 | [0.94, 1.02] | 0.25 |
Disclaimer/Publisher’s Note: The statements, opinions and data contained in all publications are solely those of the individual author(s) and contributor(s) and not of MDPI and/or the editor(s). MDPI and/or the editor(s) disclaim responsibility for any injury to people or property resulting from any ideas, methods, instructions or products referred to in the content. |
© 2025 by the authors. Licensee MDPI, Basel, Switzerland. This article is an open access article distributed under the terms and conditions of the Creative Commons Attribution (CC BY) license (https://creativecommons.org/licenses/by/4.0/).
Share and Cite
Knotts, C.; Park, H.; Sherry, C.; Blodgett, R.; Lewis, C.; Omstead, A.; Xiao, K.; LaFramboise, W.; Bartlett, D.L.; Dadgar, N.; et al. Intra-Tumoral CD8+:CD3+ Lymphocyte Density Ratio in Appendix Cancer Is a Tumor Volume- and Grade-Independent Predictor of Survival. Cancers 2025, 17, 542. https://doi.org/10.3390/cancers17030542
Knotts C, Park H, Sherry C, Blodgett R, Lewis C, Omstead A, Xiao K, LaFramboise W, Bartlett DL, Dadgar N, et al. Intra-Tumoral CD8+:CD3+ Lymphocyte Density Ratio in Appendix Cancer Is a Tumor Volume- and Grade-Independent Predictor of Survival. Cancers. 2025; 17(3):542. https://doi.org/10.3390/cancers17030542
Chicago/Turabian StyleKnotts, Chelsea, Hyun Park, Christopher Sherry, Rose Blodgett, Catherine Lewis, Ashten Omstead, Kunhong Xiao, William LaFramboise, David L. Bartlett, Neda Dadgar, and et al. 2025. "Intra-Tumoral CD8+:CD3+ Lymphocyte Density Ratio in Appendix Cancer Is a Tumor Volume- and Grade-Independent Predictor of Survival" Cancers 17, no. 3: 542. https://doi.org/10.3390/cancers17030542
APA StyleKnotts, C., Park, H., Sherry, C., Blodgett, R., Lewis, C., Omstead, A., Xiao, K., LaFramboise, W., Bartlett, D. L., Dadgar, N., Goel, A., Zaidi, A. H., & Wagner, P. L. (2025). Intra-Tumoral CD8+:CD3+ Lymphocyte Density Ratio in Appendix Cancer Is a Tumor Volume- and Grade-Independent Predictor of Survival. Cancers, 17(3), 542. https://doi.org/10.3390/cancers17030542

