Preoperative and Postoperative Change in Patient-Reported Health-Related Quality of Life Outcomes in Breast Cancer Surgery Patients Across Surgical Modalities: A Prospective Study
Simple Summary
Abstract
1. Introduction
2. Materials and Methods
2.1. Patient Recruitment and Study Design
2.2. Patient Reported Outcome Measures
2.2.1. Patient-Health Questionnaire-9 (PHQ-9)
2.2.2. Generalized Anxiety Disorder-7 (GAD-7)
2.2.3. Pain Intensity (P), Interference with Enjoyment of Life (E), and Interference with General Activity (G), PEG
2.2.4. EuroQoL EQ-5D-5L VAS
2.2.5. BREAST-Q
2.3. Sociodemographic Characteristics and Clinical Factors
2.4. Statistical Analysis
3. Results
3.1. Sample Characteristics
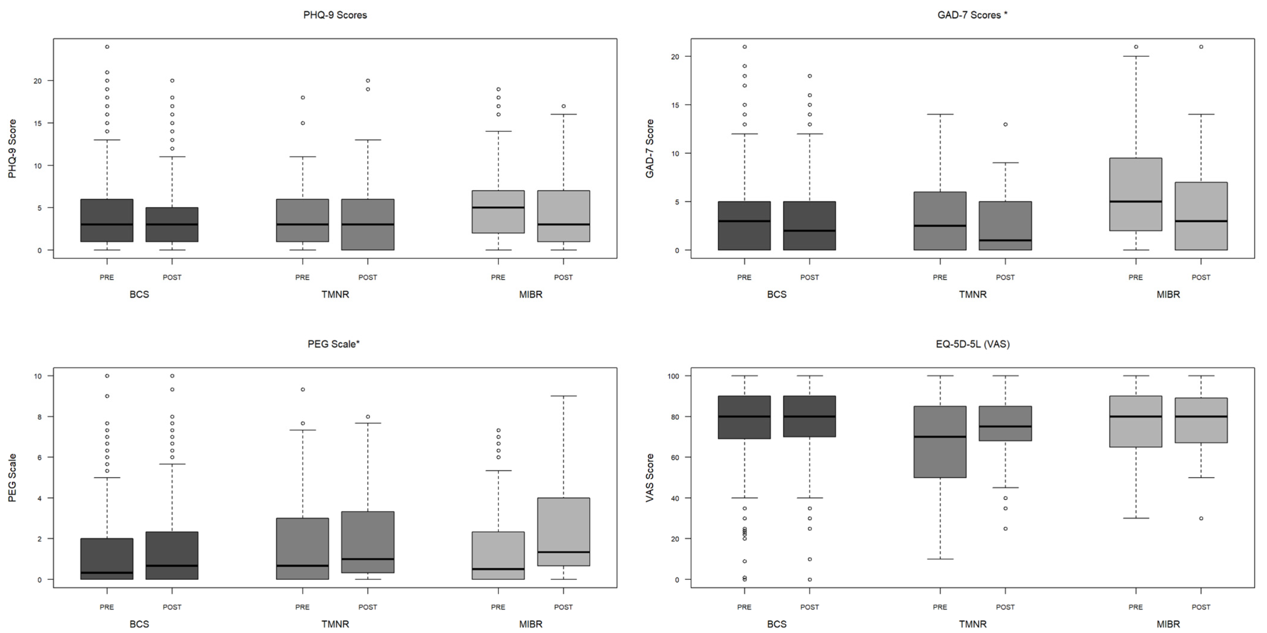
3.2. PHQ-9, GAD-7, PEG, and EQ-5D-5L VAS Outcomes
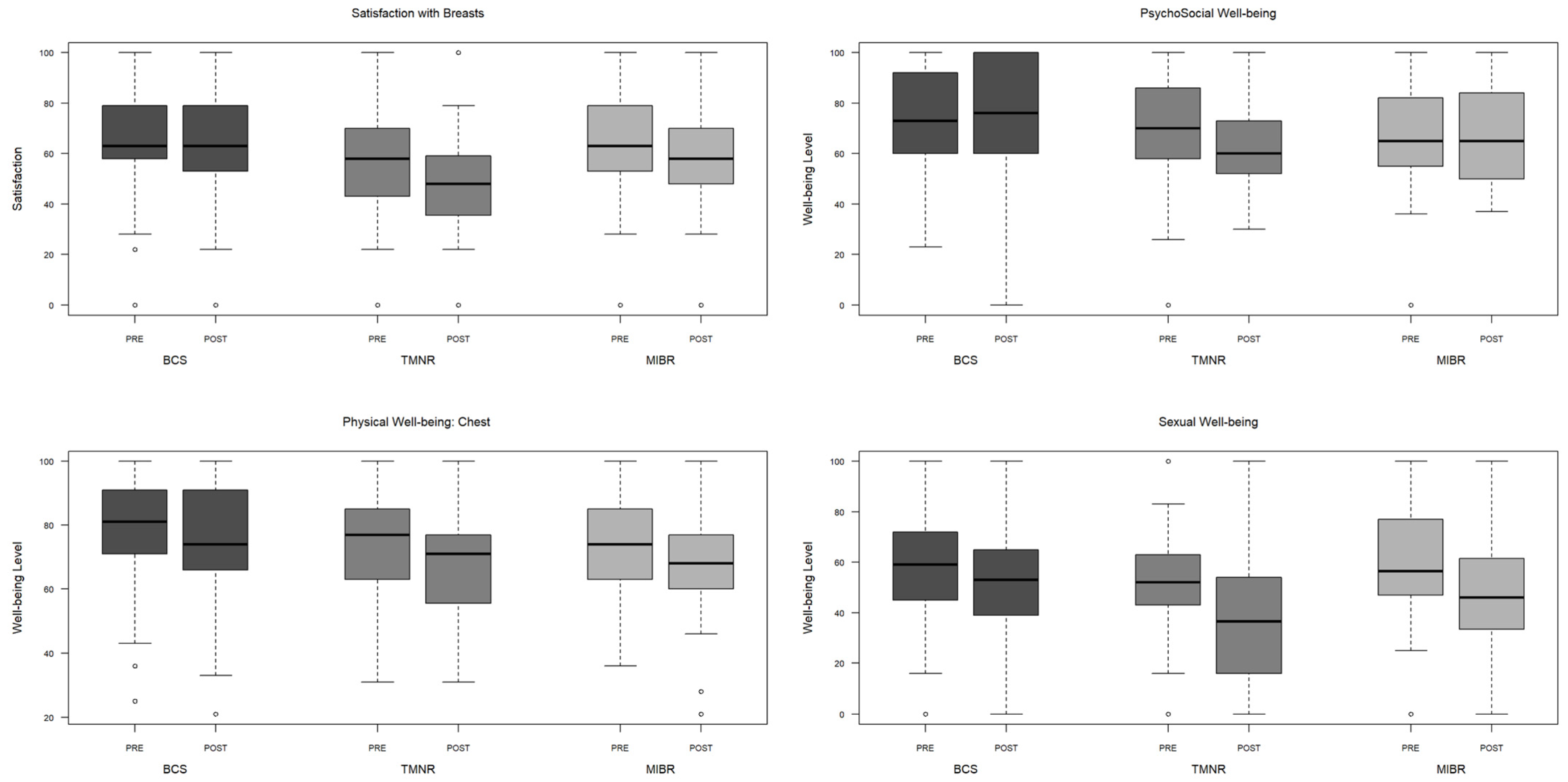
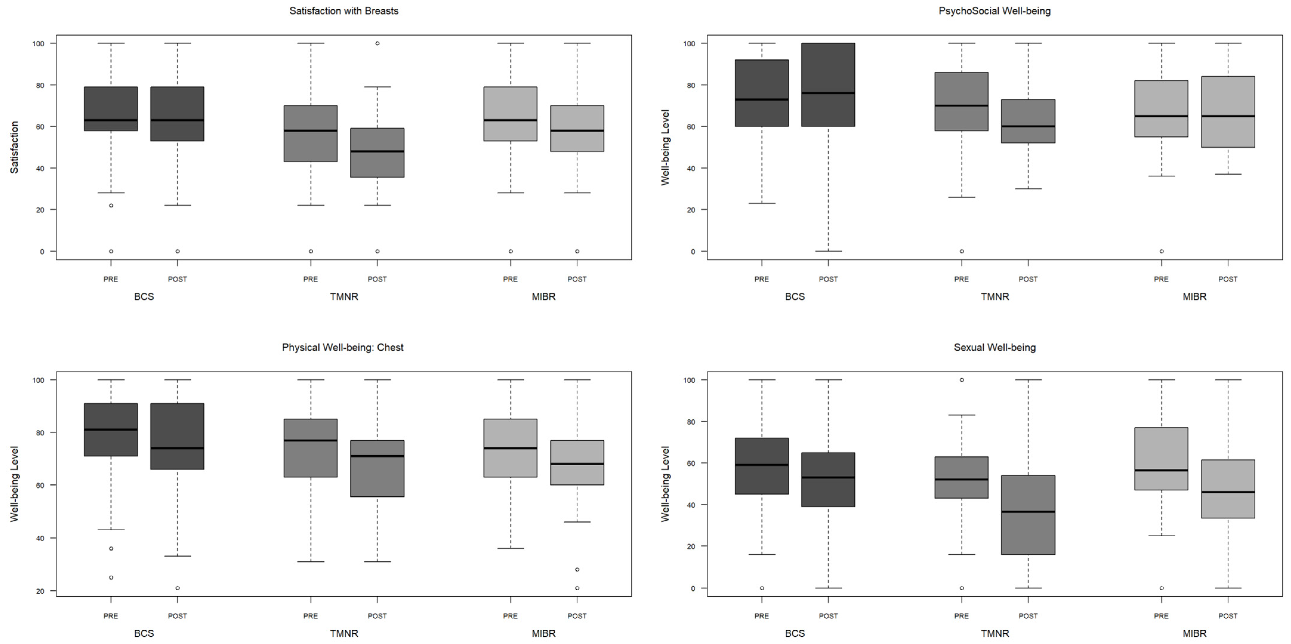
3.3. BREAST-Q Outcomes
3.4. Predictor Effects on Trends in Postoperative Depression, Anxiety, and Pain Scores
4. Discussion
5. Conclusions
Author Contributions
Funding
Institutional Review Board Statement
Informed Consent Statement
Data Availability Statement
Acknowledgments
Conflicts of Interest
Abbreviations
| HRQoL | Postoperative health-related quality of life. |
| BCS | Breast-conserving surgery. |
| TMNR | Total mastectomy no reconstruction. |
| MIBR | Total mastectomy immediate breast reconstruction. |
| PROM | Patient-reported outcome measures. |
| SES | Socioeconomic status. |
| CIMD | Canadian Index of Multiple Deprivation. |
| CCI | Charlson Comorbidity Index. |
| HADS | Hospital Anxiety and Depression Scale. |
Appendix A
| Total Mastectomy | |||||||||
|---|---|---|---|---|---|---|---|---|---|
| Overall Sample | Breast-Conserving Surgery (BCS) | No Reconstruction (TMNR) | Immediate Reconstruction (MIBR) | ||||||
| Patient-Reported Outcome Measure | Preoperative | Postoperative | Preoperative | Postoperative | Preoperative | Postoperative | Preoperative | Postoperative | p-Value |
| Breast-Q | |||||||||
| Satisfaction with Breast | 66.24 (22.16) | 63.19 (23.31) | 68.57 (21.68) | 67.22 (23.44) | 57.24 (24.41) | 49.64 (20.40) | 63.29 (20.55) | 56.96 (19.17) | 0.21 |
| Psychosocial well-being | 72.80 (20.16) | 71.80 (21.14) | 74.23 (19.59) | 74.38 (21.24) | 70.22 (22.48) | 63.71 (19.97) | 68.75 (20.21) | 67.34 (20.23) | 0.10 |
| Physical well-being chest | 78.75 (15.83) | 73.98 (16.59) | 80.46 (15.63) | 76.22 (16.35) | 74.37 (16.69) | 68.31 (16.58) | 74.99 (14.89) | 68.61 (15.46) | 0.42 |
| Sexual well-being | 57.50 (24.61) | 50.34 (26.06) | 58.60 (24.43) | 52.92 (24.77) | 49.21 (26.70) | 39.80 (30.50) | 58.23 (23.50) | 47.58 (26.12) | 0.76 |
| PHQ-9 | 4.40 (4.50) | 4.07 (4.20) | 4.15 (4.46) | 3.84 (4.09) | 3.72 (3.82) | 4.10 (4.43) | 5.60 (4.80) | 4.78 (4.39) | 0.15 |
| GAD-7 | 4.39 (4.70) | 3.11 (3.75) | 3.85 (4.27) | 2.94 (3.68) | 4.00 (4.33) | 2.39 (3.08) | 6.36 (5.71) | 3.93 (4.13) | 0.03 |
| PEG | 1.51 (2.14) | 1.83 (2.27) | 1.43 (2.10) | 1.65 (2.25) | 1.96 (2.51) | 1.98 (2.21) | 1.50 (2.04) | 2.29 (2.33) | 0.05 |
| EQ-5D-5L (VAS) | 73.56 (19.18) | 76.76 (15.76) | 74.41 (18.90) | 77.69 (15.75) | 67.41 (22.72) | 72.64 (16.60) | 74.64 (17.10) | 76.41 (15.04) | 0.48 |
| Postoperative Scores | |||||
|---|---|---|---|---|---|
| Patient-Reported Outcome Measure | Overall Sample | Breast-Conserving Surgery (BCS) | No Reconstruction (TMNR) | Immediate Reconstruction (MIBR) | p-Value |
| Breast-Q | |||||
| Satisfaction with Breast | 63.19 (23.31) | 67.22 (23.44) | 49.64 (20.40) | 56.96 (19.17) | <0.01 |
| Psychosocial well-being | 71.80 (21.14) | 74.38 (21.24) | 63.71 (19.97) | 67.34 (20.23) | <0.01 |
| Physical well-being chest | 73.98 (16.59) | 76.22 (16.35) | 68.31 (16.58) | 68.61 (15.46) | <0.01 |
| Sexual well-being | 50.34 (26.06) | 52.92 (24.77) | 39.80 (30.50) | 47.58 (26.12) | <0.01 |
| PHQ-9 | 4.07 (4.20) | 3.84 (4.09) | 4.10 (4.43) | 4.78 (4.39) | 0.15 |
| GAD-7 | 3.11 (3.75) | 2.94 (3.68) | 2.39 (3.08) | 3.93 (4.13) | 0.05 |
| PEG | 1.83 (2.27) | 1.65 (2.25) | 1.98 (2.21) | 2.29 (2.33) | 0.04 |
| EQ-5D-5L (VAS) | 76.76 (15.76) | 77.69 (15.75) | 72.64 (16.60) | 76.41 (15.04) | 0.07 |
Appendix B
| PHQ-9 | |||
|---|---|---|---|
| Regression Effect | Estimate | Standard Error | p-Value |
| Intercept | 4.61 | 0.67 | <0.001 |
| Age (Years) | −0.024 | 0.01 | 0.01 |
| Surgery | |||
| Breast-Conserving Surgery | Reference | ||
| Mast—No Reconstruction | 0.05 | 0.37 | 0.90 |
| Mast—Immediate Reconstruction | 0.25 | 0.32 | 0.43 |
| Situational vulnerability | |||
| Q1 Least Vulnerable | −0.57 | 0.31 | 0.06 |
| Q2 | −0.75 | 0.30 | 0.01 |
| Q3 | −0.36 | 0.30 | 0.23 |
| Q4 + Q5 Most Vulnerable | Reference | ||
| Ethno-cultural composition | |||
| Q1 + Q2 + Q3 Least Diverse | 0.36 | 0.31 | 0.24 |
| Q4 | 0.06 | 0.27 | 0.81 |
| Q5 Most Diverse | Reference | ||
| Charlson Index | |||
| 0 | −0.56 | 0.46 | 0.23 |
| 1–2 | −0.47 | 0.28 | 0.09 |
| 3+ | Reference | ||
| Neoadjuvant Chemotherapy | |||
| No | −0.37 | 0.38 | 0.33 |
| Yes | Reference | ||
| Adjuvant Chemotherapy | |||
| No | −0.47 | 0.26 | 0.07 |
| Yes | Reference | ||
| Hormone Therapy | |||
| No | 0.16 | 0.25 | 0.51 |
| Yes | Reference | ||
| Adjuvant Radiation | |||
| No | −0.09 | 0.27 | 0.74 |
| Yes | Reference | ||
| Axillary Surgery | |||
| None | −0.35 | 0.56 | 0.53 |
| Sentinel Node Biopsy | −0.14 | 0.44 | 0.74 |
| Axillary Dissection | Reference | ||
References
- Mansano-Schlosser, T.C.; Ceolim, M.F.; Valerio, T.D. Poor sleep quality, depression and hope before breast cancer surgery. Appl. Nurs. Res. 2017, 34, 7–11. [Google Scholar] [CrossRef] [PubMed]
- Denieffe, S.; Cowman, S.; Gooney, M. Symptoms, clusters and quality of life prior to surgery for breast cancer. J. Clin. Nurs. 2014, 23, 2491–2502. [Google Scholar] [CrossRef]
- Katsohiraki, M.; Poulopoulou, S.; Fyrfiris, N.; Koutelekos, I.; Tsiotinou, P.; Adam, O.; Vasilopoulou, E.; Kapritsou, M. Evaluating Preoperative Anxiety Levels in Patients Undergoing Breast Cancer Surgery. Asia Pac. J. Oncol. Nurs. 2020, 7, 361–364. [Google Scholar] [CrossRef] [PubMed]
- Maurer, T.; Thöne, K.; Obi, N.; Jung, A.Y.; Behrens, S.; Becher, H.; Chang-Claude, J. Health-Related Quality of Life in a Cohort of Breast Cancer Survivors over More Than 10 Years Post-Diagnosis and in Comparison to a Control Cohort. Cancers 2021, 13, 1854. [Google Scholar] [CrossRef]
- Morrow, M.; White, J.; Moughan, J.; Owen, J.; Pajack, T.; Sylvester, J.; Wilson, J.F.; Winchester, D. Factors predicting the use of breast-conserving therapy in stage I and II breast carcinoma. J. Clin. Oncol. 2001, 19, 2254–2262. [Google Scholar] [CrossRef] [PubMed]
- Dragun, A.E.; Huang, B.; Tucker, T.C.; Spanos, W.J. Increasing mastectomy rates among all age groups for early stage breast cancer: A 10-year study of surgical choice. Breast J. 2012, 18, 318–325. [Google Scholar] [CrossRef]
- Kummerow, K.L.; Du, L.; Penson, D.F.; Shyr, Y.; Hooks, M.A. Nationwide trends in mastectomy for early-stage breast cancer. JAMA Surg. 2015, 150, 9–16. [Google Scholar] [CrossRef]
- Rosenberg, K. Mastectomy Rates Rising in Women who Don’t Require Mastectomy. AJN Am. J. Nurs. 2015, 115, 56. [Google Scholar] [CrossRef]
- Early Breast Cancer Trialists’ Collaborative Group (EBCTCG); Darby, S.; McGale, P.; Correa, C.; Taylor, C.; Arriagada, R.; Clarke, M.; Cutter, D.; Davies, C.; Ewertz, M.; et al. Effect of radiotherapy after breast-conserving surgery on 10-year recurrence and 15-year breast cancer death: Meta-analysis of individual patient data for 10 801 women in 17 randomised trials. Lancet 2011, 378, 1707–1716. [Google Scholar] [CrossRef]
- Anderson, S.J.; Wapnir, I.; Dignam, J.J.; Fisher, B.; Mamounas, E.P.; Jeong, J.-H.; Geyer, C.E.; Wickerham, D.L.; Costantino, J.P.; Wolmark, N. Prognosis after ipsilateral breast tumor recurrence and locoregional recurrences in patients treated by breast-conserving therapy in five national surgical adjuvant breast and bowel project protocols of node-negative breast cancer. J. Clin. Oncol. 2009, 27, 2466–2473. [Google Scholar] [CrossRef]
- Zumsteg, Z.S.; Morrow, M.; Arnold, B.; Zheng, J.; Zhang, Z.; Robson, M.; Traina, T.; McCormick, B.; Powell, S.; Ho, A.Y. Breast-conserving therapy achieves locoregional outcomes comparable to mastectomy in women with T1-2N0 triple-negative breast cancer. Ann. Surg. Oncol. 2013, 20, 3469–3476. [Google Scholar] [CrossRef]
- Zehra, S.; Doyle, F.; Barry, M.; Walsh, S.; Kell, M.R. Health-related quality of life following breast reconstruction compared to total mastectomy and breast-conserving surgery among breast cancer survivors: A systematic review and meta-analysis. Breast Cancer 2020, 27, 534–566. [Google Scholar] [CrossRef] [PubMed]
- Kroenke, K.; Spitzer, R.L.; Williams, J.B. The PHQ-9: Validity of a brief depression severity measure. J. Gen. Intern. Med. 2001, 16, 606–613. [Google Scholar] [CrossRef]
- Hinz, A.; Mehnert, A.; Kocalevent, R.-D.; Brähler, E.; Forkmann, T.; Singer, S.; Schulte, T. Assessment of depression severity with the PHQ-9 in cancer patients and in the general population. BMC Psychiatry 2016, 16, 22. [Google Scholar] [CrossRef]
- Spitzer, R.L.; Kroenke, K.; Williams, J.B.W.; Löwe, B. A brief measure for assessing generalized anxiety disorder: The GAD-7. Arch. Intern. Med. 2006, 166, 1092–1097. [Google Scholar] [CrossRef] [PubMed]
- Esser, P.; Hartung, T.J.; Friedrich, M.; Johansen, C.; Wittchen, H.; Faller, H.; Koch, U.; Härter, M.; Keller, M.; Schulz, H.; et al. The Generalized Anxiety Disorder Screener (GAD-7) and the anxiety module of the Hospital and Depression Scale (HADS-A) as screening tools for generalized anxiety disorder among cancer patients. Psychooncology 2018, 27, 1509–1516. [Google Scholar] [CrossRef] [PubMed]
- Krebs, E.E.; Lorenz, K.A.; Bair, M.J.; Damush, T.M.; Wu, J.; Sutherland, J.M.; Asch, S.M.; Kroenke, K. Development and initial validation of the PEG, a three-item scale assessing pain intensity and interference. J. Gen. Intern. Med. 2009, 24, 733–738. [Google Scholar] [CrossRef]
- Krebs, E.E.; Bair, M.J.; Damush, T.M.; Tu, W.; Wu, J.; Kroenke, K. Comparative Responsiveness of Pain Outcome Measures Among Primary Care Patients With Musculoskeletal Pain. Med. Care 2010, 48, 1007. [Google Scholar] [CrossRef]
- Van Reenen, M.; Oppe, M. EQ-5D-3L User Guide Basic Information on How to Use the EQ-5D-3L Instrument. 2015. Available online: https://www.scribd.com/document/362753657/EQ-5D-3L-UserGuide-2015 (accessed on 17 April 2025).
- Zhou, T.; Guan, H.; Wang, L.; Zhang, Y.; Rui, M.; Ma, A. Health-Related Quality of Life in Patients With Different Diseases Measured With the EQ-5D-5L: A Systematic Review. Front. Public Health 2021, 9, 802. [Google Scholar] [CrossRef]
- Mundy, L.R.; Homa, K.; Klassen, A.F.; Pusic, A.L.; Kerrigan, C.L. Breast cancer and reconstruction: Normative data for interpreting the BREAST-Q. Plast. Reconstr. Surg. 2017, 139, 1046e–1055e. [Google Scholar] [CrossRef]
- Pusic, A.; Klassen, A.; Cano, S. BREAST-Q Version 2.0© A Guide for Researchers and Clinicians. 2017. Available online: https://www.studocu.vn/vn/document/truong-cao-dang-y-duoc-pasteur-co-so-tphcm/vietsoviet-loveforever/breast-q-users-guide/115259334 (accessed on 17 April 2025).
- Voineskos, S.H.; Klassen, A.F.; Cano, S.J.; Pusic, A.L.; Gibbons, C.J. Giving Meaning to Differences in BREAST-Q Scores: Minimal Important Difference for Breast Reconstruction Patients. Plast. Reconstr. Surg. 2020, 145, 11E–20E. [Google Scholar] [CrossRef]
- Meijer, M.; Röhl, J.; Bloomfield, K.; Grittner, U. Do neighborhoods affect individual mortality? A systematic review and meta-analysis of multilevel studies. Soc. Sci. Med. 2012, 74, 1204–1212. [Google Scholar] [CrossRef]
- Bai, J.; Pugh, S.L.; Eldridge, R.; Yeager, K.A.; Zhang, Q.; Lee, W.R.; Shah, A.B.; Dayes, I.S.; D’Souza, D.P.; Michalski, J.M.; et al. Neighborhood Deprivation and Rurality Associated with Patient-Reported Outcomes and Survival in Men with Prostate Cancer in NRG RTOG 0415. Int. J. Radiat. Oncol. 2023, 116, 39–49. [Google Scholar] [CrossRef]
- Ribeiro, A.I.; Fraga, S.; Severo, M.; Kelly-Irving, M.; Delpierre, C.; Stringhini, S.; Kivimaki, M.; Joost, S.; Guessous, I.; Severi, G.; et al. Association of neighbourhood disadvantage and individual socioeconomic position with all-cause mortality: A longitudinal multicohort analysis. Lancet Public Health 2022, 7, e447–e457. [Google Scholar] [CrossRef] [PubMed]
- Statistics Canada. The Canadian Index of Multiple Deprivation—User Guide. Statistics Canada Catalogue no. 45-20-0001. Published 2019. Available online: https://publications.gc.ca/collections/collection_2019/statcan/452000012019002-eng.pdf (accessed on 17 April 2025).
- Bannay, A.; Chaignot, C.; Blotière, P.-O.; Basson, M.; Weill, A.; Ricordeau, P.; Alla, F. The Best Use of the Charlson Comorbidity Index With Electronic Health Care Database to Predict Mortality. Med. Care 2016, 54, 188–194. [Google Scholar] [CrossRef]
- Flanagan, M.R.; Zabor, E.C.; Romanoff, A.; Fuzesi, S.; Stempel, M.; Mehrara, B.J.; Morrow, M.; Pusic, A.L.; Gemignani, M.L. A Comparison of Patient-Reported Outcomes After Breast-Conserving Surgery and Mastectomy with Implant Breast Reconstruction. Ann. Surg. Oncol. 2019, 26, 3133–3140. [Google Scholar] [CrossRef]
- Atisha, D.M.; Tessiatore, K.M.; Rushing, C.N.; Dayicioglu, D.; Pusic, A.; Hwang, S. A National Snapshot of Patient-Reported Outcomes Comparing Types of Abdominal Flaps for Breast Reconstruction. Plast. Reconstr. Surg. 2019, 143, 667–677. [Google Scholar] [CrossRef] [PubMed]
- Howes, B.H.L.; Watson, D.I.; Xu, C.; Fosh, B.; Canepa, M.; Dean, N.R. Quality of life following total mastectomy with and without reconstruction versus breast-conserving surgery for breast cancer: A case-controlled cohort study. J. Plast. Reconstr. Aesthetic Surg. 2016, 69, 1184–1191. [Google Scholar] [CrossRef] [PubMed]
- Retrouvey, H.; Kerrebijn, I.; Metcalfe, K.A.; O’neill, A.C.; McCready, D.R.; Hofer, S.O.P.; Zhong, T. Psychosocial Functioning in Women with Early Breast Cancer Treated with Breast Surgery With or Without Immediate Breast Reconstruction. Ann. Surg. Oncol. 2019, 26, 2444–2451. [Google Scholar] [CrossRef]
- Devarakonda, S.K.; Timman, R.; Bouvy, P.F.; Oemrawsingh, A.; Apon, I.; Mureau, M.A.M.; Koppert, L.B.; Kranenburg, L.W. Trends in emotional functioning and psychosocial wellbeing in breast cancer survivors: A prospective cohort study using patient-reported outcome measures. BMC Womens Health 2023, 23, 153. [Google Scholar] [CrossRef]
- Wilson, J.M.; Colebaugh, C.A.; Flowers, K.M.; Edwards, R.R.; Partridge, A.H.; Dominici, L.S.; Schreiber, K.L. Early postoperative psychological distress as a mediator of subsequent persistent postsurgical pain outcomes among younger breast cancer patients. Breast Cancer Res. Treat. 2022, 196, 363–370. [Google Scholar] [CrossRef] [PubMed]
- Sun, L.; Yan, J.; Wang, L. Postoperative Depression in Female Patients with Breast Cancer Surgery: An Analysis of Risk Factors and Assessment of the Efficacy of Comprehensive Nursing Intervention. Int. J. Clin. Exp. Med. 2019, 12, 972–980. [Google Scholar]
- Yi, J.C.; Syrjala, K.L. Anxiety and Depression in Cancer Survivors. Med. Clin. N. Am. 2017, 101, 1099–1113. [Google Scholar] [CrossRef] [PubMed]
- Christensen, S.; Zachariae, R.; Jensen, A.B.; Væth, M.; Møller, S.; Ravnsbæk, J.; von der Maase, H. Prevalence and risk of depressive symptoms 3–4 months post-surgery in a nationwide cohort study of Danish women treated for early stage breast-cancer. Breast Cancer Res. Treat. 2009, 113, 339–355. [Google Scholar] [CrossRef] [PubMed]
- Mehnert, A.; Brähler, E.; Faller, H.; Härter, M.; Keller, M.; Schulz, H.; Wegscheider, K.; Weis, J.; Boehncke, A.; Hund, B.; et al. Four-week prevalence of mental disorders in patients with cancer across major tumor entities. J. Clin. Oncol. 2014, 32, 3540–3546. [Google Scholar] [CrossRef]
- Andersen, B.L.; Lacchetti, C.; Ashing, K.; Berek, J.S.; Berman, B.S.; Bolte, S.; Dizon, D.S.; Given, B.; Nekhlyudov, L.; Pirl, W.; et al. Management of Anxiety and Depression in Adult Survivors of Cancer: ASCO Guideline Update. J. Clin. Oncol. 2023, 41, 3426–3453. [Google Scholar] [CrossRef]
- Ricci, J.A.; Epstein, S.; Momoh, A.O.; Lin, S.J.; Singhal, D.; Lee, B.T. A meta-analysis of implant-based breast reconstruction and timing of adjuvant radiation therapy. J. Surg. Res. 2017, 218, 108–116. [Google Scholar] [CrossRef]


| Total Mastectomy (N = 157/32.18%) | |||||
|---|---|---|---|---|---|
| Patient Characteristic | Overall Sample | Breast-Conserving Surgery (BCS) | No Reconstruction (TMNR) | Immediate Reconstruction (MIBR) | |
| (N = 471) | (N = 313/66.45%) | (N = 60) | (N = 98) | p-Value | |
| Age Category | <0.01 | ||||
| ≤49 | 131 (27.81%) | 67 (21.41%) | 10 (16.67%) | 54 (55.10%) | |
| 50–59 | 107 (22.72%) | 65 (20.77%) | 15 (25.00%) | 27 (27.55%) | |
| 60–69 | 131 (27.81%) | 106 (33.87%) | 15 (25.00%) | 10 (10.20%) | |
| ≥70 | 102 (21.66%) | 75 (23.96%) | 20 (33.33%) | 7 (7.14%) | |
| Charlson Index | <0.01 | ||||
| 0 | 75 (15.92%) | 52 (16.61%) | 3 (5.00%) | 20 (20.41%) | |
| 1–2 | 265 (56.26%) | 195 (62.30%) | 23 (38.33%) | 47 (47.96%) | |
| 3+ | 126 (26.75%) | 63 (20.13%) | 34 (56.66%) | 29 (29.59) | |
| SES Income—Situational vulnerability | 0.77 | ||||
| Q1 Least Vulnerable | 132 (28.03%) | 88 (28.12%) | 13 (21.67%) | 31 (31.63%) | |
| Q2 | 102 (21.66%) | 67 (21.71%) | 12 (20.00%) | 23 (23.47%) | |
| Q3 | 92 (19.53%) | 59 (18.84%) | 15 (25.00%) | 18 (18.37%) | |
| Q4 | 99 (21.02%) | 67 (21.41%) | 12 (20.00%) | 20 (20.41%) | |
| Q5 Most Vulnerable | 40 (8.49%) | 28 (8.95%) | 7 (11.67%) | 5 (5.10%) | |
| SES—Ethno-cultural composition | 0.17 | ||||
| Q1 Least Diverse | 14 (2.97%) | 8 (2.56%) | 2 (3.33%) | 4 (4.08%) | |
| Q2 | 24 (5.10%) | 18 (5.75%) | 2 (3.33%) | 4 (4.08%) | |
| Q3 | 81 (17.20%) | 64 (20.45%) | 4 (6.67%) | 13 (13.27%) | |
| Q4 | 182 (38.64%) | 119 (38.02%) | 23 (38.33%) | 40 (40.82%) | |
| Q5 Most Diverse | 164 (34.82%) | 100 (31.95%) | 28 (46.67%) | 36 (36.73%) | |
| Axillary Surgery | <0.01 | ||||
| None | 83 (17.62%) | 77 (24.60%) | 2 (3.33%) | 4 (4.08%) | |
| Sentinel Node Biopsy | 341 (72.40%) | 223 (71.25%) | 36 (60.00%) | 82 (83.67%) | |
| Axillary Dissection | 47 (10.00%) | 13 (4.15%) | 22 (36.67%) | 12 (12.24%) | |
| Neoadjuvant Chemotherapy | <0.01 | ||||
| No | 413 (87.69%) | 288 (92.01%) | 45 (75.00%) | 80 (81.63%) | |
| Yes | 58 (12.31%) | 25 (7.99%) | 15 (25.00%) | 18 (18.37%) | |
| Adjuvant Chemotherapy | <0.01 | ||||
| No | 339 (71.97%) | 246 (78.59%) | 38 (63.33%) | 55 (56.12%) | |
| Yes | 132 (28.03%) | 67 (21.41%) | 22 (36.67%) | 43 (43.88%) | |
| Hormone Therapy | 0.63 | ||||
| No | 165 (35.03%) | 108 (34.50%) | 19 (31.67%) | 38 (38.78%) | |
| Yes | 305 (82.21%) | 204 (65.18%) | 41 (68.33%) | 60 (61.22%) | |
| Aduvant Radiation | <0.01 | ||||
| No | 141 (29.94%) | 54 (17.25%) | 31 (51.67%) | 56 (57.14%) | |
| Yes | 329 (69.85%) | 258 (82.43%) | 29 (48.33%) | 42 (42.86%) | |
| PHQ-9 | GAD-7 | |||||
|---|---|---|---|---|---|---|
| Regression Effect | Estimate | Standard Error | p-Value | Estimate | Standard Error | p-Value |
| Intercept | 9.13 | 1.13 | <0.01 | 8.67 | 1.12 | <0.01 |
| Age (Years) | −0.05 | 0.02 | <0.01 | −0.08 | 0.01 | <0.01 |
| Surgery | ||||||
| Breast-Conserving Surgery | Reference | Reference | ||||
| Mast—No Reconstruction | −0.22 | 0.65 | 0.72 | −0.06 | 0.68 | 0.92 |
| Mast—Immediate Reconstruction | −0.11 | 0.55 | 0.83 | 0.37 | 0.54 | 0.48 |
| Situational vulnerability | ||||||
| Q1 Least Vulnerable | −0.37 | 0.56 | 0.50 | −1.08 | 0.57 | 0.05 |
| Q2 | −0.32 | 0.55 | 0.55 | −0.54 | 0.56 | 0.33 |
| Q3 | 0.01 | 0.54 | 0.98 | −0.75 | 0.54 | 0.17 |
| Q4 + Q5 Most Vulnerable | Reference | Reference | ||||
| Ethno-cultural composition | ||||||
| Q1 + Q2 + Q3 Least Diverse | 0.05 | 0.56 | 0.92 | 0.09 | 0.58 | 0.87 |
| Q4 | 0.34 | 0.48 | 0.47 | 0.65 | 0.49 | 0.17 |
| Q5 Most Diverse | Reference | Reference | ||||
| Charlson Index | ||||||
| 0 | −0.18 | 0.75 | 0.80 | −0.33 | 0.75 | 0.66 |
| 1–2 | −0.27 | 0.47 | 0.56 | −0.46 | 0.48 | 0.34 |
| 3+ | Reference | Reference | ||||
| Neoadjuvant Chemotherapy | ||||||
| No | −1.14 | 0.63 | 0.07 | −0.37 | 0.63 | 0.58 |
| Yes | Reference | Reference | ||||
| Adjuvant Chemotherapy | ||||||
| No | −1.25 | 0.47 | <0.01 | 0.02 | 0.48 | 0.95 |
| Yes | Reference | Reference | ||||
| Hormone Therapy | ||||||
| No | −0.36 | 0.45 | 0.41 | −0.10 | 0.45 | 0.81 |
| Yes | Reference | Reference | ||||
| Adjuvant Radiation | ||||||
| No | 0.29 | 0.49 | 0.54 | −0.18 | 0.48 | 0.70 |
| Yes | Reference | Reference | ||||
Disclaimer/Publisher’s Note: The statements, opinions and data contained in all publications are solely those of the individual author(s) and contributor(s) and not of MDPI and/or the editor(s). MDPI and/or the editor(s) disclaim responsibility for any injury to people or property resulting from any ideas, methods, instructions or products referred to in the content. |
© 2025 by the authors. Licensee MDPI, Basel, Switzerland. This article is an open access article distributed under the terms and conditions of the Creative Commons Attribution (CC BY) license (https://creativecommons.org/licenses/by/4.0/).
Share and Cite
Liu, C.; Beresford, A.; Saleeb, M.; Liu, G.; Crump, T.; Warburton, R.; Pao, J.-S.; Dingee, C.K.; Bazzarelli, A.; Sutherland, J.M.; et al. Preoperative and Postoperative Change in Patient-Reported Health-Related Quality of Life Outcomes in Breast Cancer Surgery Patients Across Surgical Modalities: A Prospective Study. Cancers 2025, 17, 1409. https://doi.org/10.3390/cancers17091409
Liu C, Beresford A, Saleeb M, Liu G, Crump T, Warburton R, Pao J-S, Dingee CK, Bazzarelli A, Sutherland JM, et al. Preoperative and Postoperative Change in Patient-Reported Health-Related Quality of Life Outcomes in Breast Cancer Surgery Patients Across Surgical Modalities: A Prospective Study. Cancers. 2025; 17(9):1409. https://doi.org/10.3390/cancers17091409
Chicago/Turabian StyleLiu, Claire, Aidan Beresford, Maria Saleeb, Guiping Liu, Trafford Crump, Rebecca Warburton, Jin-Si Pao, Carol K. Dingee, Amy Bazzarelli, Jason M. Sutherland, and et al. 2025. "Preoperative and Postoperative Change in Patient-Reported Health-Related Quality of Life Outcomes in Breast Cancer Surgery Patients Across Surgical Modalities: A Prospective Study" Cancers 17, no. 9: 1409. https://doi.org/10.3390/cancers17091409
APA StyleLiu, C., Beresford, A., Saleeb, M., Liu, G., Crump, T., Warburton, R., Pao, J.-S., Dingee, C. K., Bazzarelli, A., Sutherland, J. M., & McKevitt, E. C. (2025). Preoperative and Postoperative Change in Patient-Reported Health-Related Quality of Life Outcomes in Breast Cancer Surgery Patients Across Surgical Modalities: A Prospective Study. Cancers, 17(9), 1409. https://doi.org/10.3390/cancers17091409

