Impact of Molecular Testing on Surgical Decision-Making in Indeterminate Thyroid Nodules: A Systematic Review and Meta-Analysis of Recent Advancements
Simple Summary
Abstract
1. Introduction
2. Materials and Methods
2.1. Literature Search
2.2. Screening and Eligibility Assessment
2.3. Quality Assessment and Risk of Bias
2.4. Data Extraction
2.5. Statistical Analysis
2.6. Molecular Testing Platforms
3. Results
3.1. Summary of Literature Search
3.2. Study Characteristics
3.3. Summary of Quality Assessment
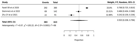
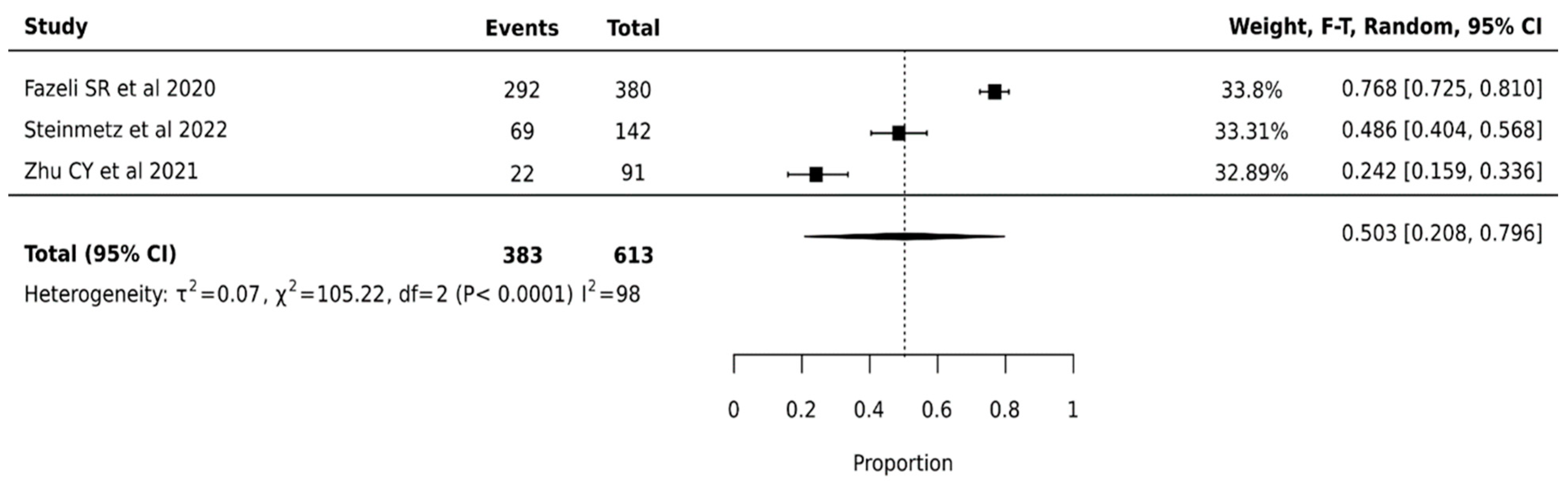
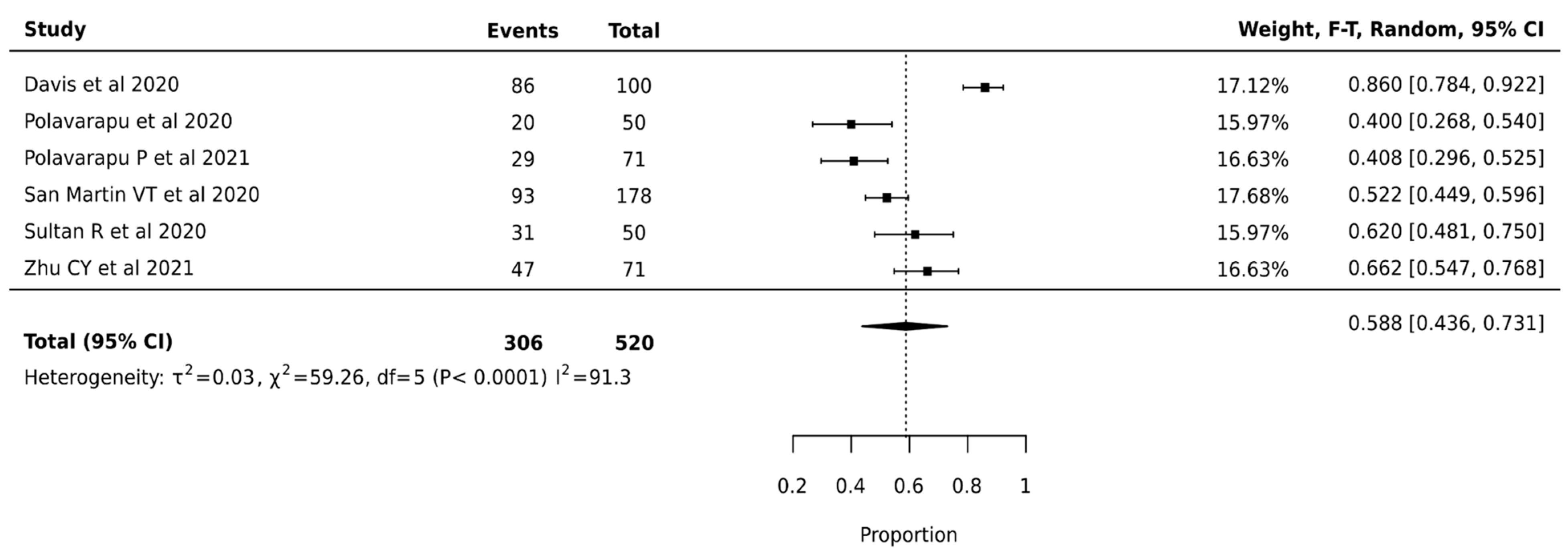
3.4. Surgical Avoidance Rates
3.4.1. Throseq V2
3.4.2. Thyroseq V3
3.4.3. Afirma GEC
3.4.4. Afirma GSC
3.4.5. ThyGenX/ThyraMIR
3.5. Mutation Frequencies Across Platforms and Coherence with Bethseda Classifications
4. Discussion
5. Conclusions
Author Contributions
Funding
Conflicts of Interest
References
- Roth, M.Y.; Witt, R.L.; Steward, D.L. Molecular testing for thyroid nodules: Review and current state. Cancer 2018, 124, 888–898. [Google Scholar] [PubMed]
- Patel, J.; Klopper, J.; Cottrill, E.E. Molecular diagnostics in the evaluation of thyroid nodules: Current use and prospective opportunities. Front. Endocrinol. 2023, 14, 1101410. [Google Scholar]
- Krane, J.F.; Nayar, R.; Renshaw, A.A. Atypia of undetermined significance/follicular lesion of undetermined significance. In The Bethesda System for Reporting Thyroid Cytopathology: Definitions, Criteria, and Explanatory Notes; Springer: Berlin/Heidelberg, Germany, 2018; pp. 49–70. [Google Scholar]
- AlSaedi, A.H.; Almalki, D.S.; ElKady, R.M. Approach to thyroid nodules: Diagnosis and treatment. Cureus 2024, 16, e52232. [Google Scholar] [CrossRef] [PubMed]
- Steward, D.L.; Carty, S.E.; Sippel, R.S.; Yang, S.P.; Sosa, J.A.; Sipos, J.A.; Figge, J.J.; Mandel, S.; Haugen, B.R.; Burman, K.D.; et al. Performance of a multigene genomic classifier in thyroid nodules with indeterminate cytology: A prospective blinded multicenter study. JAMA Oncol. 2019, 5, 204–212. [Google Scholar]
- de Koster, E.J.; de Geus-Oei, L.F.; Dekkers, O.M.; van Engen-van Grunsven, I.; Hamming, J.; Corssmit, E.P.; Morreau, H.; Schepers, A.; Smit, J.; Oyen, W.J.; et al. Diagnostic utility of molecular and imaging biomarkers in cytological indeterminate thyroid nodules. Endocr. Rev. 2018, 39, 154–191. [Google Scholar] [CrossRef] [PubMed][Green Version]
- Nishino, M. Molecular Diagnostics in Thyroid Cytology. In Molecular Diagnostics in Cytopathology: A Practical Handbook for the Practicing Pathologist; Springer: Berlin/Heidelberg, Germany, 2019; pp. 249–299. [Google Scholar]
- Sipos, J.A.; Ringel, M.D. Molecular testing in thyroid cancer diagnosis and management. Best Pract. Res. Clin. Endocrinol. Metab. 2023, 37, 101680. [Google Scholar]
- Haugen, B.R.; Alexander, E.K.; Bible, K.C.; Doherty, G.M.; Mandel, S.J.; Nikiforov, Y.E.; Pacini, F.; Randolph, G.W.; Sawka, A.M.; Schlumberger, M.; et al. 2015 American Thyroid Association management guidelines for adult patients with thyroid nodules and differentiated thyroid cancer: The American Thyroid Association guidelines task force on thyroid nodules and differentiated thyroid cancer. Thyroid 2016, 26, 1–133. [Google Scholar]
- Moher, D.; Shamseer, L.; Clarke, M.; Ghersi, D.; Liberati, A.; Petticrew, M.; Shekelle, P.; Stewart, L.A.; Prisma-P Group. Preferred reporting items for systematic review and meta-analysis protocols (PRISMA-P) 2015 statement. Syst. Rev. 2015, 4, 1–9. [Google Scholar]
- Moskalewicz, A.; Oremus, M. No clear choice between Newcastle–Ottawa Scale and Appraisal Tool for Cross-Sectional Studies to assess methodological quality in cross-sectional studies of health-related quality of life and breast cancer. J. Clin. Epidemiol. 2020, 120, 94–103. [Google Scholar] [CrossRef]
- Jørgensen, L.; Paludan-Müller, A.S.; Laursen, D.R.; Savović, J.; Boutron, I.; Sterne, J.A.; Higgins, J.P.T.; Hróbjartsson, A. Evaluation of the Cochrane tool for assessing risk of bias in randomized clinical trials: Overview of published comments and analysis of user practice in Cochrane and non-Cochrane reviews. Syst. Rev. 2016, 5, 1–13. [Google Scholar]
- Lin, L.; Chu, H. Quantifying publication bias in meta-analysis. Biometrics 2018, 74, 785–794. [Google Scholar] [CrossRef] [PubMed]
- Babineau, J. Product review: Covidence (systematic review software). J. Can. Health Libr. Assoc./J. l’Association Bibliothèques Santé Can. 2014, 35, 68–71. [Google Scholar] [CrossRef]
- Borenstein, M.; Hedges, L.V.; Higgins, J.P.; Rothstein, H.R. A basic introduction to fixed-effect and random-effects models for meta-analysis. Res. Synth. Methods 2010, 1, 97–111. [Google Scholar] [CrossRef] [PubMed]
- Munn, Z.; Aromataris, E.; Tufanaru, C.; Stern, C.; Porritt, K.; Farrow, J.; Lockwood, C.; Stephenson, M.; Moola, S.; Lizarondo, L.; et al. The development of software to support multiple systematic review types: The Joanna Briggs Institute System for the Unified Management, Assessment and Review of Information (JBI SUMARI). JBI Evid. Implement. 2019, 17, 36–43. [Google Scholar] [CrossRef]
- Borenstein, M. Comprehensive meta-analysis software. In Systematic Reviews in Health Research: Meta-Analysis in Context; John Wiley & Sons Ltd.: Hoboken, NJ, USA, 2022; pp. 535–548. [Google Scholar]
- Higgins, J.P.; Thompson, S.G. Quantifying heterogeneity in a meta-analysis. Stat. Med. 2002, 21, 1539–1558. [Google Scholar] [CrossRef]
- Abdelhakam, D.A.; Mojica, R.E.; Huenerberg, K.A.; Nassar, A. Impact of a genomic classifier on indeterminate thyroid nodules: An institutional experience. J. Am. Soc. Cytopathol. 2021, 10, 155–163. [Google Scholar] [CrossRef]
- Akinsanya, A.; Wu, H. Performance of Afirma Genomic Sequencing Classifier in Thyroid Nodules with Preoperative Cytologic Diagnosis of AUS/FLUS. J. Am. Soc. Cytopathol. 2022, 11, S74. [Google Scholar] [CrossRef]
- Bao, G.; Chang, C.; Yin, A. PSAT267 Performance of ThyroSeq V3 molecular testing in assessing indeterminate thyroid nodules for thyroid cancer at an urban endocrinology clinic. J. Endocr. Soc. 2022, 6 (Suppl. S1), A809. [Google Scholar] [CrossRef]
- Carty, S.E.; Ohori, N.P.; Hilko, D.A.; McCoy, K.L.; French, E.K.; Manroa, P.; Morariu, E.; Sridharan, S.; Seethala, R.R.; Yip, L. The clinical utility of molecular testing in the management of thyroid follicular neoplasms (Bethesda IV nodules). Ann. Surg. 2020, 272, 621–627. [Google Scholar] [CrossRef]
- Dantey, K.; Hasan, F.; Tipu, A.; Verma, T. ODP481 Frequency and outcomes of reporting Bethesda class III thyroid cytopathology-An integrated health network’s experience. J. Endocr. Soc. 2022, 6 (Suppl. S1), A766. [Google Scholar] [CrossRef]
- Davis, H.; Jug, R. Afirma “Benign” Nodules Show Stability with Long-term Follow-up. J. Am. Soc. Cytopathol. 2020, 9, S57. [Google Scholar]
- Desai, D.; Lepe, M.; Baloch, Z.W.; Mandel, S.J. ThyroSeq v3 for Bethesda III and IV: An institutional experience. Cancer Cytopathol. 2021, 129, 164–170. [Google Scholar] [CrossRef] [PubMed]
- Fazeli, S.R.; Zehr, B.; Amraei, R.; Toraldo, G.; Guan, H.; Kindelberger, D.; Lee, S.L.; Cerda, S.R. ThyroSeq v2 testing: Impact on cytologic diagnosis, management, and cost of care in patients with thyroid nodule. Thyroid 2020, 30, 1528–1534. [Google Scholar]
- Glass, R.E.; Marotti, J.D.; Kerr, D.A.; Levy, J.J.; Vaickus, L.J.; Gutmann, E.J.; Tafe, L.J.; Motanagh, S.A.; Sorensen, M.J.; Davies, L.; et al. Using molecular testing to improve the management of thyroid nodules with indeterminate cytology: An institutional experience with review of molecular alterations. J. Am. Soc. Cytopathol. 2022, 11, 79–86. [Google Scholar]
- Kannan, S.; Aggarwal, S.; Shivaprasad, K.; Sooragonda, B.; Khadilkar, K.; Gondaliya, H. Pilot results of a cost effective NGS panel for prognostication of Thyroid nodules/cancers. Indian J. Endocrinol. Metab. 2022, 26, 14. [Google Scholar] [CrossRef]
- Kim, N.E.; Raghunathan, R.S.; Hughes, E.G.; Longstaff, X.R.; Tseng, C.H.; Li, S.; Cheung, D.S.; A Gofnung, Y.; Famini, P.; Wu, J.X.; et al. Bethesda III and IV thyroid nodules managed nonoperatively after molecular testing with Afirma GSC or Thyroseq v3. J. Clin. Endocrinol. Metab. 2023, 108, e698–e703. [Google Scholar] [CrossRef]
- Lévesque, F.; Payne, R.J.; Beaudoin, D.; Boucher, A.; Fortier, P.H.; Massicotte, M.H.; Pusztaszeri, M.; Rondeau, G.; Corriveau, E.; El Malt, F.; et al. A Prospective Study of Publicly Funded Molecular Testing of Indeterminate Thyroid Nodules: Canada’s Experience. J. Clin. Endocrinol. Metab. 2025, 17, e1031–e1037. [Google Scholar] [CrossRef]
- Li, W.; Justice-Clark, T.; Cohen, M.B. The utility of ThyroSeq® in the management of indeterminate thyroid nodules by fine-needle aspiration. Cytopathology 2021, 32, 505–512. [Google Scholar]
- Livhits, M.J.; Zhu, C.Y.; Kuo, E.J.; Nguyen, D.T.; Kim, J.; Tseng, C.H.; Leung, A.M.; Rao, J.; Levin, M.; Douek, M.L.; et al. Effectiveness of molecular testing techniques for diagnosis of indeterminate thyroid nodules: A randomized clinical trial. JAMA Oncol. 2021, 7, 70–77. [Google Scholar] [CrossRef]
- Lu, J.; Lupo, M.A. Malignancy Risk in RAS-Mutated Cytologically Indeterminate Thyroid Nodules: Real-World Clinical Experience. J. Endocr. Soc. 2021, 5 (Suppl. S1), A865. [Google Scholar]
- Munoz-Zuluaga, C.A.; Heymann, J.J.; Solomon, J.P.; Patel, A.; Siddiqui, M.T.; Scognamiglio, T.; Gokozan, H.N. Use of the Afirma Xpression Atlas for cytologically indeterminate, Afirma Genomic Sequencing Classifier suspicious thyroid nodules: Clinicopathologic analysis with postoperative molecular testing. Am. J. Clin. Pathol. 2024, 161, 463–468. [Google Scholar]
- Olmos, R.; Domínguez, J.M.; Vargas-Salas, S.; Mosso, L.; Fardella, C.E.; González, G.; Baudrand, R.; Guarda, F.; Valenzuela, F.; Arteaga, E.; et al. ThyroidPrint®: Clinical utility for indeterminate thyroid cytology. Endocr.-Relat. Cancer 2023, 30, e220409. [Google Scholar] [CrossRef] [PubMed]
- Papazian, M.R.; Dublin, J.C.; Patel, K.N.; Oweity, T.; Jacobson, A.S.; Brandler, T.C.; Givi, B. Repeat fine-needle aspiration with molecular analysis in management of indeterminate thyroid nodules. Otolaryngol. Head Neck Surg. 2023, 168, 738–744. [Google Scholar] [PubMed]
- Polavarapu, P.; Fingeret, A.; Yuil-Valdes, A.; Patel, A.; Goldner, W. MON-518 Institutional Experience with Cytologically Indeterminate Thyroid Nodules: No Molecular Testing Versus Afirma Gene Expression Classifier or Genomic Sequencing Classifier. J. Endocr. Soc. 2020, 4 (Suppl. S1), MON-518. [Google Scholar] [CrossRef]
- Polavarapu, P.; Fingeret, A.; Yuil-Valdes, A.; Olson, D.; Patel, A.; Shivaswamy, V.; Matthias, T.D.; Goldner, W. Comparison of Afirma GEC and GSC to nodules without molecular testing in cytologically indeterminate thyroid nodules. J. Endocr. Soc. 2021, 5, bvab148. [Google Scholar]
- Raghunathan, R.; Longstaff, X.R.; Hughes, E.G.; Li, S.J.; Sant, V.R.; Tseng, C.H.; Rao, J.; Wu, J.X.; Yeh, M.W.; Livhits, M.J. Diagnostic performance of molecular testing in indeterminate (Bethesda III and IV) thyroid nodules with Hürthle cell cytology. Surgery 2024, 175, 221–227. [Google Scholar]
- San Martin, V.T.; Lawrence, L.; Bena, J.; Madhun, N.Z.; Berber, E.; Elsheikh, T.M.; Nasr, C.E. Real-world comparison of Afirma GEC and GSC for the assessment of cytologically indeterminate thyroid nodules. J. Clin. Endocrinol. Metab. 2020, 105, e428–e435. [Google Scholar]
- Selvaggi, S.M. The role of ThyroSeq V3 testing in the management of patients with indeterminate thyroid nodules on fine needle aspiration. Diagn. Cytopathol. 2021, 49, 838–841. [Google Scholar]
- Sirotnikov, S.; Griffith, C.C.; Lubin, D.; Zhang, C.; Saba, N.F.; Li, D.; Kornfield, A.; Chen, A.; Shi, Q. ThyroSeq overview on indeterminate thyroid nodules: An institutional experience. Diagn. Cytopathol. 2024, 52, 353–361. [Google Scholar]
- Song, Y.; Xu, G.; Ma, T.; Zhu, Y.; Yu, H.; Yu, W.; Wei, W.; Wang, T.; Zhang, B. Utility of a multigene testing for preoperative evaluation of indeterminate thyroid nodules: A prospective blinded single center study in China. Cancer Med. 2020, 9, 8397–8405. [Google Scholar] [CrossRef]
- Steinmetz, D.; Kim, M.; Choi, J.H.; Yeager, T.; Samuel, K.; Khajoueinejad, N.; Buseck, A.; Imtiaz, S.; Fernandez-Ranvier, G.; Lee, D.; et al. How effective is the use of molecular testing in preoperative decision making for management of indeterminate thyroid nodules? World J. Surg. 2022, 46, 3043–3050. [Google Scholar] [CrossRef] [PubMed]
- Sultan, R.; Levy, S.; Sulanc, E.; Honasoge, M.; Rao, S.D. Utility of Afirma gene expression classifier for evaluation of indeterminate thyroid nodules and correlation with ultrasound risk assessment: Single institutional experience. Endocr. Pract. 2020, 26, 543–551. [Google Scholar] [CrossRef]
- Torrecillas, V.; Sharma, A.; Neuberger, K.; Abraham, D. Utility of mutational analysis for risk stratification of indeterminate thyroid nodules in a real-world setting. Clin. Endocrinol. 2022, 96, 637–645. [Google Scholar] [CrossRef] [PubMed]
- Tumati, A.; Egan, C.E.; Lee-Saxton, Y.J.; Marshall, T.E.; Lee, J.; Jain, K.; Heymann, J.J.; Gokozan, H.; Azar, S.A.; Schwarz, J.; et al. Clinical utility of a microRNA classifier in cytologically indeterminate thyroid nodules with RAS mutations: A multi-institutional study. Surgery 2024, 175, 234–240. [Google Scholar] [CrossRef] [PubMed]
- Yang, Z.; Vazmitsel, M.; Esebua, M. Molecular Testing in Patients with Indeterminate Cytology of Thyroid Fine Needle Aspiration: A single Medical Institute Experience. J. Am. Soc. Cytopathol. 2020, 9, S48. [Google Scholar] [CrossRef]
- Zhu, C.Y.; Donangelo, I.; Gupta, D.; Nguyen, D.T.; Ochoa, J.E.; Yeh, M.W.; Livhits, M.J. Outcomes of indeterminate thyroid nodules managed nonoperatively after molecular testing. J. Clin. Endocrinol. Metab. 2021, 106, e1240–e1247. [Google Scholar] [CrossRef]
- Rossi, E.D.; Larocca, L.M.; Pantanowitz, L. Ancillary molecular testing of indeterminate thyroid nodules. Cancer Cytopathol. 2018, 126, 654–671. [Google Scholar] [CrossRef]
- Chen, T.; Gilfix, B.M.; Rivera, J.; Sadeghi, N.; Richardson, K.; Hier, M.P.; Forest, V.; Fishman, D.; Caglar, D.; Pusztaszeri, M.; et al. The Role of the ThyroSeq v3 Molecular Test in the Surgical Management of Thyroid Nodules in the Canadian Public Health Care Setting. Thyroid 2020, 30, 1280–1287. [Google Scholar] [CrossRef]
- Vardarli, I.; Tan, S.; Görges, R.; Krämer, B.K.; Herrmann, K.; Brochhausen, C. Diagnostic accuracy of Afirma Gene Expression Classifier, Afirma Gene Sequencing Classifier, ThyroSeq v2 and ThyroSeq v3 for indeterminate (Bethesda III and IV) thyroid nodules: A meta-analysis. Endocr. Connect. 2024, 13, e240170. [Google Scholar] [CrossRef]
- Whiteman, A.R.; Dhesi, J.K.; Walker, D. The high-risk surgical patient: A role for a multi-disciplinary team approach? BJA Br. J. Anaesth. 2016, 116, 311–314. [Google Scholar] [CrossRef]
- Brouillette, K.; Chowdhury, R.; Payne, K.E.; Pusztaszeri, M.P.; Forest, V. A Scoping Review of Patient Health-Related Quality of Life Following Surgery or Molecular Testing for Individuals with Indeterminate Thyroid Nodules. Healthcare 2024, 12, 2025. [Google Scholar] [CrossRef] [PubMed]
- Rabkin, J.G.; Wagner, G.J.; Del Bene, M. Resilience and distress among amyotrophic lateral sclerosis patients and caregivers. Psychosom. Med. 2000, 62, 271–279. [Google Scholar] [CrossRef] [PubMed]
- Macaskill, P.; Walter, S.D.; Irwig, L. A comparison of methods to detect publication bias in meta-analysis. Stat. Med. 2001, 20, 641–654. [Google Scholar] [PubMed]

| Study ID | Study Design | Sample Size | Bethesda Classification | Molecular Test | Surgical Outcome |
|---|---|---|---|---|---|
| Carty SE et al., 2020 [22] | Retrospective cohort study | 389 consecutive patients managed for 405 fine-needle aspirations (FNAs) | Bethesda IV | ThyroSeq v2 and v3 (multigene classifier) | Thyroidectomy for positive molecular test: 91%
|
| Davis et al., 2020 [24] | Retrospective review | 104 nodules in 100 patients | Atypia of Undetermined Significance (AUS) and Follicular Lesion of Undetermined Significance (FLUS) classified as Bethesda III. Follicular neoplasm/suspicious for follicular neoplasm | Afirma Gene Expression Classifier (GEC) | Resection: 14 (14%) of patients
|
| Fazeli SR et al., 2020 [26] | Retrospective cohort study | 773 consecutive patients (393 Standard of Care, 380 Molecular test) | Bethesda III (AUS/FLUS): 69 cases (8.9% to 21.3%). Bethesda IV (FN/SFN): 24 cases (3.1% to 6.3%) | ThyroSeq v2 | Overall rate of surgery: 23.4% in StC vs. 23.2% in molecular testing. Overtreatment rate decreased from 18.8% to 16.7% |
| Livhits et al., 2020 [32] | Randomized clinical trial | Total patients assessed: 2368
| Bethesda III (AUS/FLUS): 316 (85%)
| RNA test: Afirma genomic sequencing classifier DNA-RNA test: ThyroSeq V3 multigene genomic classifier | RNA test:
|
| Polavarapu et al., 2020 [37] | Retrospective analysis | 376 patients with Bethesda III and IV nodules:
| Bethesda III and IV indeterminate thyroid nodules only | Afirma Gene Expression Classifier (GEC)
| Surgical rates:
|
| San Martin VT et al., 2020 [40] | Retrospective analysis | 299 nodules in 290 patients:
| GEC group:
| Afirma Gene Expression Classifier (GEC) | GEC group: 47.8% (85/178) underwent surgery GSC group: 34.7% (42/121) underwent surgery |
| Song Y et al., 2020 [43] | Retrospective study | Total patients: 189
| Bethesda III: 153 nodules. Bethesda IV: 43 nodules | Next-generation sequencing (NGS) using FSZ-Thyroid NGS Panel V1 | Of 84 surgically resected nodules:
|
| Sultan R et al., 2020 [45] | Retrospective analysis | 98 patients with 101 nodules | Bethesda III and IV: 94 nodules
| Afirma Gene Expression Classifier (GEC) | Of 32 GEC-suspicious nodules:
|
| Yang et al., 2020 [48] | Retrospective medical record review | 27 cases total | Bethesda III: 21 cases
| Multiplatform test (MPT):
| Positive MPT: 8/10 had surgery
|
| Abdelhakam et al., 2021 [19] | Retrospective cohort | 133 | Atypia or follicular lesion of undetermined significance (n = 65, 48.9%)
| ThyroSeq (targeted next-generation sequencing) | Most patients (n = 87, 65.4%) did not undergo resection; decisions based on ThyroSeq results |
| Desai D et al., 2021 [25] | Retrospective analysis | 415 cases (AUS/FLUS: 251; FN/SFN: 164) | Atypia of Undetermined Significance (AUS/FLUS) (Bethesda III): 251 cases
| ThyroSeq V3 (genomic classifier) | 127 cases underwent surgery:
|
| Li, 2021 [31] | Retrospective review | 202 participants | Bethesda III: 128 (63%)
| ThyroSeq | Surgical resection performed in 49 out of 202 ITNs (24.3% overall).
|
| Lu, 2021 [33] | Retrospective evaluation of thyroid nodules that underwent molecular testing. | 367 thyroid fine needle biopsies (FNBs) subjected to molecular testing, with 55 RAS-mutated cases identified. | Bethesda III (Atypical/FLUS) and IV (Follicular/Hurthle Neoplasm); specific numbers not detailed for all cases | ThyroSeq V2 and V3 | 40 patients underwent surgical resection based on cytology and molecular results.
|
| Polavarapu P et al., 2021 [38] | Retrospective cohort analysis | 468 indeterminate thyroid nodules:
| Distribution:
| Afirma Gene Expression Classifier (GEC)
| Surgical rates:
|
| Selvaggi SM et al., 2021 [41] | Retrospective analysis | 35 indeterminate thyroid nodules | Indeterminate nodules including FLUS
| ThyroSeq V3 | Pre-ThyroSeq:
|
| Zhu CY et al., 2021 [49] | Prospective follow-up of randomized controlled trial | Total nodules: 165
| For nonoperatively managed nodules (n = 103): Bethesda III (AUS/FLUS): 97 (94.2%)Bethesda IV (FN/SFN): 6 (5.8%) | Afirma Gene Expression Classifier (GEC): 74 nodules
| Initial surgery: 73 nodules Delayed surgery: 12 nodules Nonoperative management: 100 patients with 103 nodule. Overall cancer/NIFTP prevalence: 19.4% |
| Akinsanya 2022 [20] | Retrospective cohort study | 106 | AUS/FLUS (Atypia of Undetermined Significance/Follicular Lesion of Undetermined Significance) | Afirma GSC (Gene Sequencing Classifier) | Surgery rates:
|
| Bao, 2022 [21] | Retrospective cohort study | 41 adults with 43 indeterminate thyroid nodules | Indeterminate nodules classified as Bethesda III and IV (AUS/FLUS) | ThyroSeq V3 (multigene classifier) | Surgical resection rates:
|
| Dantey et al., 2022 [23] | Retrospective analysis | 725 thyroid nodules biopsied during the study period | Non-diagnostic/unsatisfactory (B-I): 8%
| ThyGeNEXT-ThyraMIR (Interpace Diagnostics®) | One in four B-III category nodules (n = 52) underwent partial or total thyroidectomy; final pathology showed: Benign-32; Malignant-18; NIFTP-1. |
| Glass RE et al., 2022 [27] | Retrospective cohort study | 648 indeterminate nodules total:
| Bethesda III (AUS): 510 cases (78.7%)
| ThyGenX/ThyraMIR: 146 cases ThyroSeq V3: 136 cases | No molecular testing: 50.4% underwent surgery
|
| Kannan et al., 2022 [28] | Pilot study (observational) | 19 patients underwent molecular testing | Bethesda II: 1 case
| Thyro Track NGS panel covering 40 unique genes for Single Nucleotide Variations (SNVs) and Deletions (InDels), and 17 genes for known and unknown fusions (including BRAF, RAS, RET, NTRK, ALK) | Patients with positive NGS results advised hemithyroidectomy
|
| Steinmetz et al., 2022 [44] | Retrospective analysis | 142 indeterminate thyroid nodules | Bethesda III: 113 nodules (80%)
| ThyroSeq v2 | 73 nodules: underwent surgery
|
| Torrecilas ey al., 2022 [46] | Retrospective chart review | 89 cytologically indeterminate nodules (CIN) | Bethesda III (AUS/FLUS): 49 (55%)
| ThyroSeq | 38 nodules underwent surgeryMalignant: 15 (39%)
|
| Olmos R et al., 2023 [35] | Single-center, prospective, noninterventional study | Total FNAs: 1272 Indeterminate nodules: 244 (19.2%)
| Distribution of indeterminate nodules (n = 244):
| ThyroidPrint® (ten-gene classifier using qPCR)
| All 51 suspicious cases underwent surgery
|
| Kim NE et al., 2023 [29] | Randomized controlled trial | 369 indeterminate thyroid nodules | Bethesda III (AUS/FLUS): 314 nodules (85%)
| Afirma Gene Expression Classifier (Afirma GEC)
| 14/217 benign/negative results had immediate surgery
|
| Papazian MR et al., 2023 [36] | Retrospective | 96 patients with indeterminate thyroid nodules | Initial FNA results:
| ThyroSeq genomic classifier | ThyroSeq positive: 25/28 (89%) underwent surgery
|
| Lévesque F et al., 2024 [30] | Multicentric prospective study | 500 consecutive patients | Bethesda III: 282 cases Bethesda IV: 218 cases | ThyroSeq V3 (TSv3) | TSv3 positive (n = 137):
|
| Munoz-Zuluaga CA et al., 2024 [34] | Retrospective study | otal FNAs: 1593
| Distribution of all FNAs (n = 1593) Bethesda I: 8.9%
| Afirma Genomic Sequencing Classifier (GSC)
| 8/11 XA-positive cases underwent surgery
|
| Raghunathan R et al., 2024 [39] | Subset analysis of a prospective randomized trial | 136 patients with 149 Hürthle cell nodules:
| GEC group:
| Afirma Gene Expression Classifier (GEC)
| GEC group: 47.8% (85/178) underwent surgery GSC group: 34.7% (42/121) underwent surgery |
| Sirotnikov S et al., 2024 [42] | Retrospective analysis | Total FNAs: 658
| Bethesda III and IV (indeterminate) | ThyroSeq V3 | 74/116 positive cases underwent surgery
|
| Tumati A et al., 2024 [47] | Multi-institutional retrospective analysis | 387 nodules from 375 patients
| Bethesda III: 78.8% Bethesda IV: 21.2% | ThyGenX/ThyGeNEXT–ThyraMIR platform | Positive results: 74.4% underwent surgery
|
| Gene Mutation | Platform | Pooled Proportion (95% CI) | Heterogeneity |
|---|---|---|---|
| BRAF | ThyroSeq | 2.7% (0.3%, 6.7%) | 85.5% |
| BRAF | NGS | 6.7% (3.4%, 10.7%) | 0% |
| RAS | ThroSeq | 18.8% (9.3%, 30.6%) | 95.7% |
| RAS | NGS | 15.7% (3.8%, 32.9%) | 67.1% |
Disclaimer/Publisher’s Note: The statements, opinions and data contained in all publications are solely those of the individual author(s) and contributor(s) and not of MDPI and/or the editor(s). MDPI and/or the editor(s) disclaim responsibility for any injury to people or property resulting from any ideas, methods, instructions or products referred to in the content. |
© 2025 by the authors. Licensee MDPI, Basel, Switzerland. This article is an open access article distributed under the terms and conditions of the Creative Commons Attribution (CC BY) license (https://creativecommons.org/licenses/by/4.0/).
Share and Cite
Chowdhury, R.; Hier, J.; Payne, K.E.; Abdulhaleem, M.; Dimitstein, O.; Eisenbach, N.; Forest, V.-I.; Payne, R.J. Impact of Molecular Testing on Surgical Decision-Making in Indeterminate Thyroid Nodules: A Systematic Review and Meta-Analysis of Recent Advancements. Cancers 2025, 17, 1156. https://doi.org/10.3390/cancers17071156
Chowdhury R, Hier J, Payne KE, Abdulhaleem M, Dimitstein O, Eisenbach N, Forest V-I, Payne RJ. Impact of Molecular Testing on Surgical Decision-Making in Indeterminate Thyroid Nodules: A Systematic Review and Meta-Analysis of Recent Advancements. Cancers. 2025; 17(7):1156. https://doi.org/10.3390/cancers17071156
Chicago/Turabian StyleChowdhury, Raisa, Jessica Hier, Kayla E. Payne, Mawaddah Abdulhaleem, Orr Dimitstein, Netanel Eisenbach, Véronique-Isabelle Forest, and Richard J. Payne. 2025. "Impact of Molecular Testing on Surgical Decision-Making in Indeterminate Thyroid Nodules: A Systematic Review and Meta-Analysis of Recent Advancements" Cancers 17, no. 7: 1156. https://doi.org/10.3390/cancers17071156
APA StyleChowdhury, R., Hier, J., Payne, K. E., Abdulhaleem, M., Dimitstein, O., Eisenbach, N., Forest, V.-I., & Payne, R. J. (2025). Impact of Molecular Testing on Surgical Decision-Making in Indeterminate Thyroid Nodules: A Systematic Review and Meta-Analysis of Recent Advancements. Cancers, 17(7), 1156. https://doi.org/10.3390/cancers17071156

