Exploratory Immunohistochemical Profiling of FOXP3, PD-1 and CD32B in Resectable Lung Adenocarcinoma
Simple Summary
Abstract
1. Introduction
2. Material and Methods
2.1. Cases and Design
2.2. Immunohistochemistry and Image Acquisition
2.3. Image Data and Statistical Analysis
3. Results
3.1. Clinical and Pathological Findings of Lung Cancer Patients
3.2. Clinicopathologic Associations of T- and B-Cell Immunomarker Expression in the Tumor Microenvironment
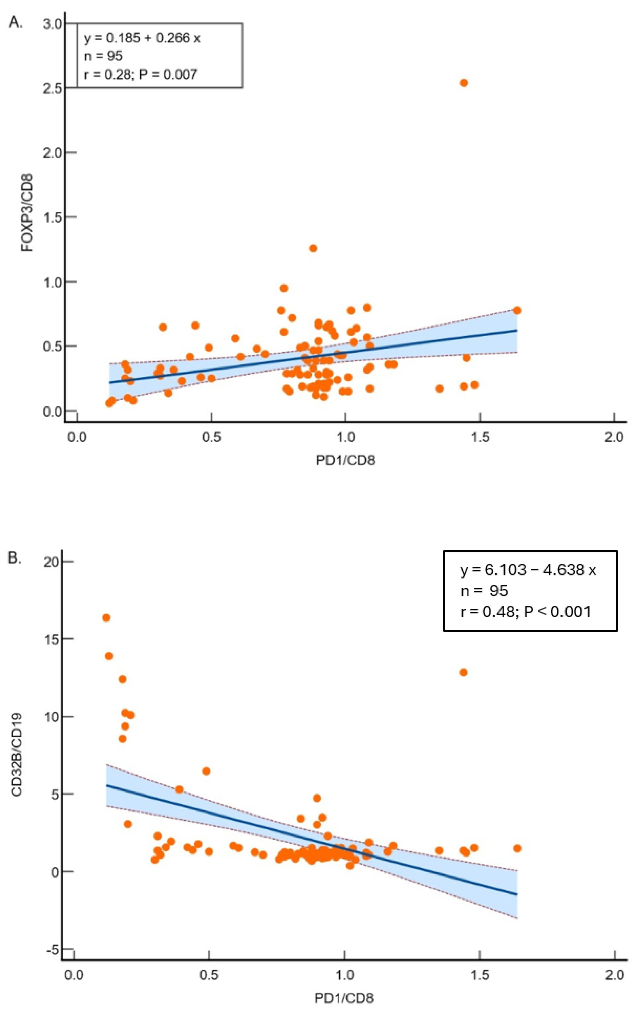
3.3. Correlation Analysis Between the T Cells and B Cells Immunomarkers Expression
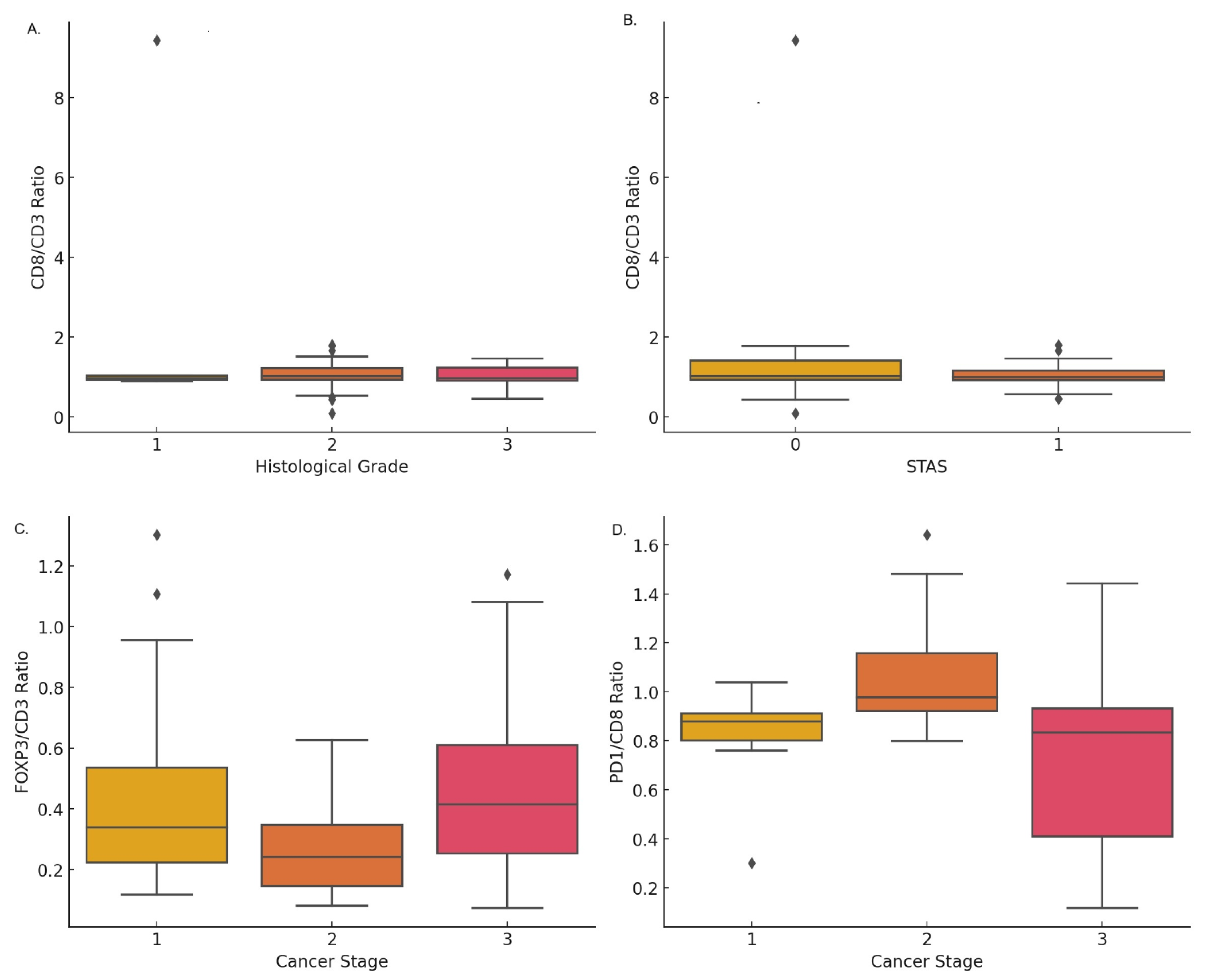
3.4. The Expression of T-Cell Immunomarkers and the Clinical Correlation in Lung Adenocarcinoma
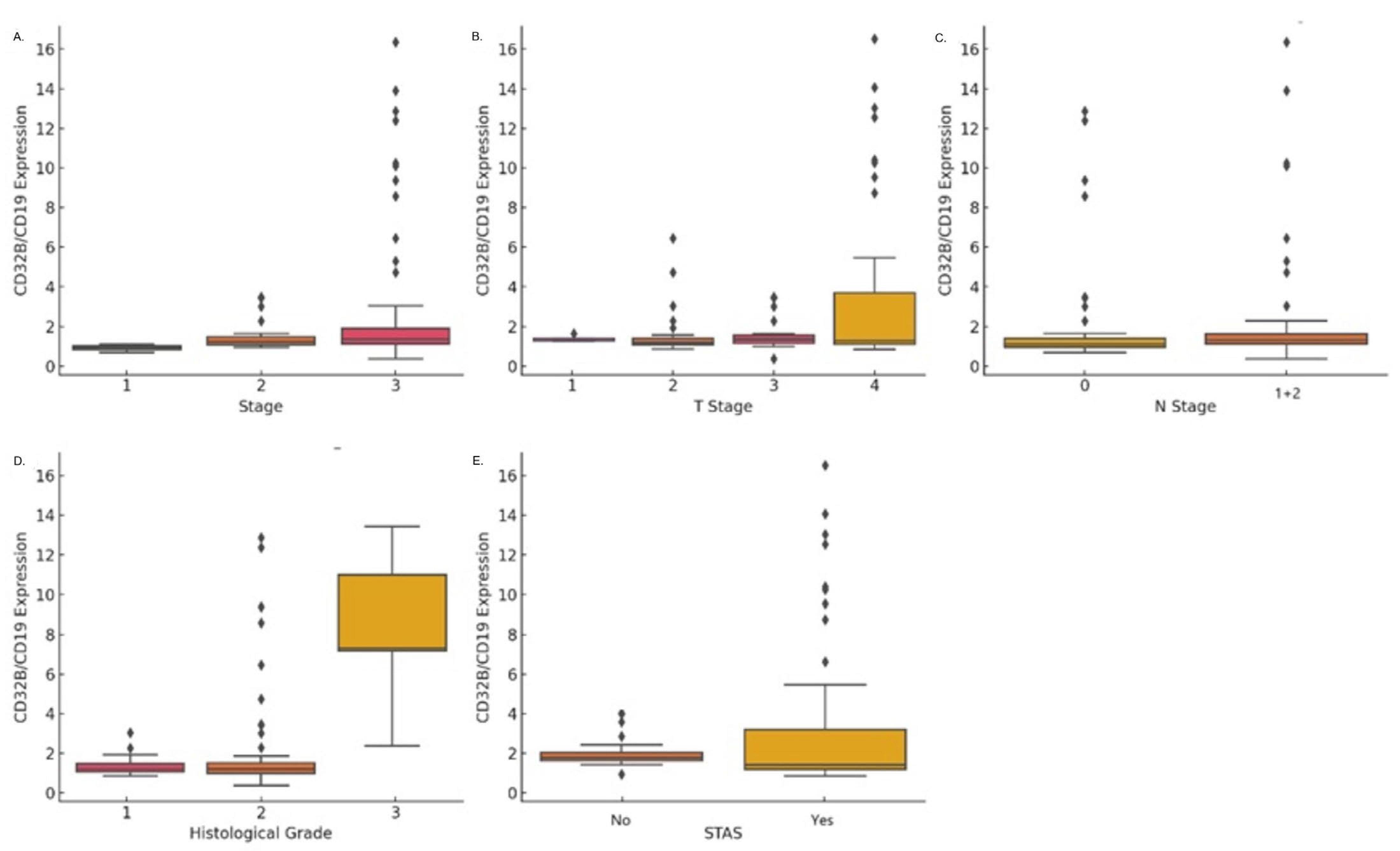
3.5. The Expression of B-Cell Immunomarkers and the Clinical Correlation in Lung Adenocarcinoma
3.6. Impact of Immunomarker Expression on Survival in Lung Cancer Patients
4. Discussion
5. Conclusions
Supplementary Materials
Author Contributions
Funding
Institutional Review Board Statement
Informed Consent Statement
Data Availability Statement
Acknowledgments
Conflicts of Interest
Abbreviations
| CD32B (FCGR2B) | Fc Gamma Receptor IIb |
| CTL | Cytotoxic T lymphocyte |
| CTLA-4 | Cytotoxic T lymphocyte-associated protein 4 |
| DFS | Disease-Free Survival |
| FOXP3 | Forkhead Box P3 |
| IHC | Immunohistochemistry |
| PD-1 | Programmed Death-1 |
| OS | Overall Survival |
| STAS | Spread Through Air Spaces |
| TIL | Tumor-infiltrating lymphocytes |
| TME | Tumor Microenvironment |
| Tregs | Regulatory T Cells |
References
- Mellman, I.; Coukos, G.; Dranoff, G. Cancer immunotherapy comes of age. Nature 2011, 480, 480–489. [Google Scholar] [CrossRef]
- Chen, L.; Flies, D.B. Molecular mechanisms of T cell costimulation and co-inhibition. Nat. Rev. Immunol. 2013, 13, 227–242. [Google Scholar] [CrossRef]
- Lee, I.H.; Wang, H.Y.; Chen, Y.Y.; Chen, C.Y.; Liao, H.F. Synergistic B and T lymphocyte interaction: Prognostic implications in non-small cell lung cancer. Am. J. Cancer Res. 2024, 14, 1227–1242. [Google Scholar] [CrossRef]
- Chang, C.Y.; Chang, S.C.; Wei, Y.F.; Tseng, Y.T.; Chou, C.H.; Chen, Y.Y.; Chen, C.Y.; Ye, Y.L. Exploring the evolution of T cell function and diversity across different stages of non-small cell lung cancer. Am. J. Cancer Res. 2024, 14, 1243–1257. [Google Scholar] [CrossRef]
- Zhang, N.; Tu, J.; Wang, X.; Chu, Q. Programmed cell death-1/programmed cell death ligand-1 checkpoint inhibitors: Differences in mechanism of action. Immunotherapy 2019, 11, 429–441. [Google Scholar] [CrossRef]
- Syn, N.L.; Teng, M.W.L.; Mok, T.S.K.; Soo, R.A. De-novo and acquired resistance to immune checkpoint targeting. Lancet Oncol. 2017, 18, e731–e741. [Google Scholar] [CrossRef]
- Francisco, L.M.; Sage, P.T.; Sharpe, A.H. The PD-1 pathway in tolerance and autoimmunity. Immunol. Rev. 2010, 236, 219–242. [Google Scholar]
- Fife, B.T.; Pauken, K.E. The role of the PD-1 pathway in autoimmunity and peripheral tolerance. Ann. N. Y. Acad. Sci. 2011, 1217, 45–59. [Google Scholar] [CrossRef]
- Postow, M.A.; Callahan, M.K.; Wolchok, J.D. Immune Checkpoint Blockade in Cancer Therapy. J. Clin. Oncol. 2015, 33, 1974–1982. [Google Scholar] [CrossRef]
- Vignali, D.A.; Collison, L.W.; Workman, C.J. How regulatory T cells work. Nat. Rev. Immunol. 2008, 8, 523–532. [Google Scholar] [CrossRef] [PubMed]
- Hori, S.; Nomura, T.; Sakaguchi, S. Control of regulatory T cell development by the transcription factor Foxp3. Science 2003, 299, 1057–1061. [Google Scholar] [CrossRef] [PubMed]
- Schmetterer, K.G.; Neunkirchner, A.; Pickl, W.F. Naturally occurring regulatory T cells: Markers, mechanisms, and manipulation. FASEB J. 2012, 26, 2253–2276. [Google Scholar] [CrossRef] [PubMed]
- Sakaguchi, S. Naturally arising CD4+ regulatory t cells for immunologic self-tolerance and negative control of immune responses. Annu. Rev. Immunol. 2004, 22, 531–562. [Google Scholar] [CrossRef] [PubMed]
- Fontenot, J.D.; Gavin, M.A.; Rudensky, A.Y. Foxp3 programs the development and function of CD4+CD25+ regulatory T cells. Nat. Immunol. 2003, 4, 330–336. [Google Scholar] [CrossRef]
- Sakaguchi, S.; Miyara, M.; Costantino, C.M.; Hafler, D.A. FOXP3+ regulatory T cells in the human immune system. Nat. Rev. Immunol. 2010, 10, 490–500. [Google Scholar] [CrossRef]
- Lakshmi Narendra, B.; Eshvendar Reddy, K.; Shantikumar, S.; Ramakrishna, S. Immune system: A double-edged sword in cancer. Inflamm. Res. 2013, 62, 823–834. [Google Scholar] [CrossRef]
- Fontenot, J.D.; Rudensky, A.Y. A well adapted regulatory contrivance: Regulatory T cell development and the forkhead family transcription factor Foxp3. Nat. Immunol. 2005, 6, 331–337. [Google Scholar] [CrossRef]
- Li, H.; Zhang, M.J.; Zhang, B.; Lin, W.P.; Li, S.J.; Xiong, D.; Wang, Q.; Wang, W.D.; Yang, Q.C.; Huang, C.F.; et al. Mature tertiary lymphoid structures evoke intra-tumoral T and B cell responses via progenitor exhausted CD4+ T cells in head and neck cancer. Nat. Commun. 2025, 16, 4228. [Google Scholar] [CrossRef]
- Yang, H.; Zhang, Z.; Li, J.; Wang, K.; Zhu, W.; Zeng, Y. The Dual Role of B Cells in the Tumor Microenvironment: Implications for Cancer Immunology and Therapy. Int. J. Mol. Sci. 2024, 25, 11825. [Google Scholar] [CrossRef]
- Musolino, A.; Gradishar, W.J.; Rugo, H.S.; Nordstrom, J.L.; Rock, E.P.; Arnaldez, F.; Pegram, M.D. Role of Fcγ receptors in HER2-targeted breast cancer therapy. J. Immunother. Cancer 2022, 10, e003171. [Google Scholar] [CrossRef]
- Kasahara, Y.; Shirota, H.; Umegaki, S.; Ishioka, C. Contribution of Fcγ receptor IIB to creating a suppressive tumor microenvironment in a mouse model. Cancer Immunol. Immunother. 2019, 68, 1769–1778. [Google Scholar] [CrossRef] [PubMed]
- Yoshida, M.; Claypool, S.M.; Wagner, J.S.; Mizoguchi, E.; Mizoguchi, A.; Roopenian, D.C.; Lencer, W.I.; Blumberg, R.S. Human neonatal Fc receptor mediates transport of IgG into luminal secretions for delivery of antigens to mucosal dendritic cells. Immunity 2004, 20, 769–783. [Google Scholar] [CrossRef] [PubMed]
- Vidarsson, G.; Stemerding, A.M.; Stapleton, N.M.; Spliethoff, S.E.; Janssen, H.; Rebers, F.E.; de Haas, M.; van de Winkel, J.G. FcRn: An IgG receptor on phagocytes with a novel role in phagocytosis. Blood 2006, 108, 3573–3579. [Google Scholar] [CrossRef] [PubMed]
- Bruhns, P. Properties of mouse and human IgG receptors and their contribution to disease models. Blood 2012, 119, 5640–5649. [Google Scholar] [CrossRef]
- Morris, N.P.; Peters, C.; Montler, R.; Hu, H.M.; Curti, B.D.; Urba, W.J.; Weinberg, A.D. Development and characterization of recombinant human Fc:OX40L fusion protein linked via a coiled-coil trimerization domain. Mol. Immunol. 2007, 44, 3112–3312. [Google Scholar] [CrossRef]
- Li, F.; Ravetch, J.V. Inhibitory Fcr receptor engagement drives adjuvant and anti-tumor activities of agonistic CD40 antibodies. Science 2011, 333, 1030–1034. [Google Scholar] [CrossRef]
- White, A.L.; Chan, H.T.; Roghanian, A.; French, R.R.; Mockridge, C.I.; Tutt, A.L.; Dixon, S.V.; Ajona, D.; Verbeek, J.S.; Al-Shamkhani, A.; et al. Interaction with FcrRIIB is critical for the agonistic activity of anti-CD40 monoclonal antibody. J. Immunol. 2011, 187, 1754–1763. [Google Scholar] [CrossRef]
- Li, F.; Ravetch, J.V. Apoptotic and antitumor activity of death receptor antibodies require inhibitory Fcγ receptor engagement. Proc. Natl. Acad. Sci. USA 2012, 109, 10966–10971. [Google Scholar] [CrossRef]
- Xu, Y.; Szalai, A.J.; Zhou, T.; Zinn, K.R.; Chaudhuri, T.R.; Li, X.; Koopman, W.J.; Kimberly, R.P. FcrRs modulate cytotoxicity of anti-Fas antibodies: Implications for agonistic antibody-based therapeutics. J. Immunol. 2003, 171, 562–568. [Google Scholar] [CrossRef]
- Bulliard, Y.; Jolicoeur, R.; Windman, M.; Rue, S.M.; Ettenberg, S.; Knee, D.A.; Wilson, N.S.; Dranoff, G.; Brogdon, J.L. Activating Fcr receptors contribute to the antitumor activities of immunoregulatory receptor-targeting antibodies. J. Exp. Med. 2013, 210, 1685–1693. [Google Scholar] [CrossRef]
- Bulliard, Y.; Jolicoeur, R.; Zhang, J.; Dranoff, G.; Wilson, N.S.; Brogdon, J.L. OX40 engagement depletes intratumoral Tregs via activating FcgammaRs, leading to antitumor efficacy. Immunol. Cell Biol. 2014, 92, 475–480. [Google Scholar] [CrossRef] [PubMed]
- Fujikawa, R.; Muraoka, Y.; Kashima, J.; Yoshida, Y.; Ito, K.; Watanabe, H.; Kusumoto, M.; Watanabe, S.I.; Yatabe, Y. Clinicopathologic and Genotypic Features of Lung Adenocarcinoma Characterized by the International Association for the Study of Lung Cancer Grading System. J. Thorac. Oncol. 2022, 17, 700–707. [Google Scholar] [CrossRef] [PubMed]
- Kim, M.; Chung, Y.S.; Kim, K.A.; Shim, H.S. Prognostic factors of acinar- or papillary-predominant adenocarcinoma of the lung. Lung Cancer 2019, 137, 129–135. [Google Scholar] [CrossRef] [PubMed]
- Shih, A.R.; Mino-Kenudson, M. Updates on spread through air spaces (STAS) in lung cancer. Histopathology 2020, 77, 173–180. [Google Scholar] [CrossRef]
- Lv, Y.; Li, S.; Liu, Z.; Ren, Z.; Zhao, J.; Tao, G.; Zheng, Z.; Han, Y.; Ye, B. Impact of surgery and adjuvant chemotherapy on the survival of stage I lung adenocarcinoma patients with tumor spread through air spaces. Lung Cancer 2023, 177, 51–58. [Google Scholar] [CrossRef]
- Saleh, R.; Elkord, E. FoxP3+ T regulatory cells in cancer: Prognostic biomarkers and therapeutic targets. Cancer Lett. 2020, 490, 174–185. [Google Scholar] [CrossRef]
- Lin, X.; Kang, K.; Chen, P.; Zeng, Z.; Li, G.; Xiong, W.; Yi, M.; Xiang, B. Regulatory mechanisms of PD-1/PD-L1 in cancers. Mol. Cancer 2024, 23, 108. [Google Scholar] [CrossRef]
- Liu, J.; Li, J.; Luo, F.; Wu, S.; Li, B.; Liu, K. The Predictive Value of CD3+/CD8+ Lymphocyte Infiltration and PD-L1 Expression in Colorectal Cancer. Curr. Oncol. 2023, 30, 9647–9659. [Google Scholar] [CrossRef]
- Alsalman, A.; Al-Mterin, M.A.; Murshed, K.; Alloush, F.; Al-Shouli, S.T.; Toor, S.M.; Elkord, E. Circulating and Tumor-Infiltrating Immune Checkpoint-Expressing CD8+ Treg/T Cell Subsets and Their Associations with Disease-Free Survival in Colorectal Cancer Patients. Cancers 2022, 14, 3194. [Google Scholar] [CrossRef]
- Karnell, J.L.; Dimasi, N.; Karnell, F.G., 3rd; Fleming, R.; Kuta, E.; Wilson, M.; Wu, H.; Gao, C.; Herbst, R.; Ettinger, R. CD19 and CD32b differentially regulate human B cell responsiveness. J. Immunol. 2014, 192, 1480–1490. [Google Scholar] [CrossRef]
- Chuang, H.J.; Chen, Y.Y.; Chung, Y.D.; Huang, E.; Huang, C.Y.; Lung, J.; Chen, C.Y.; Liao, H.F. The Immunosuppressive Receptor CD32b Regulation of Macrophage Polarization and Its Implications in Tumor Progression. Int. J. Mol. Sci. 2024, 25, 9737. [Google Scholar] [CrossRef]
- Ghebeh, H.; Barhoush, E.; Tulbah, A.; Elkum, N.; Al-Tweigeri, T.; Dermime, S. FOXP3+ Tregs and B7-H1+/PD-1+ T lymphocytes co-infiltrate the tumor tissues of high-risk breast cancer patients: Implication for immunotherapy. BMC Cancer 2008, 8, 57. [Google Scholar] [CrossRef]
- Zappasodi, R.; Budhu, S.; Hellmann, M.D.; Postow, M.A.; Senbabaoglu, Y.; Manne, S.; Gasmi, B.; Liu, C.; Zhong, H.; Li, Y.; et al. Non-conventional Inhibitory CD4+Foxp3-PD-1hi T Cells as a Biomarker of Immune Checkpoint Blockade Activity. Cancer Cell 2018, 33, 1017–1032.e7. [Google Scholar] [CrossRef]




| Characteristic | N (%) |
|---|---|
| Age (years old) | |
| median (range) | 66 (41–86) |
| Gender | |
| Female | 12 (57.1) |
| Male | 9 (42.9) |
| Smoking status | |
| Current or former | 10 (47.6) |
| Never | 11 (52.4) |
| Tumor size | |
| ≤3 cm | 7 (33.3) |
| >3 cm | 14 (66.7) |
| Pathological stage | |
| Stage I-II | 7 (33.3) |
| Stage IIIA | 8 (38.1) |
| Stage IIIB | 6 (28.5) |
| Predominant subtype | |
| Acinar | 16 (76.1) |
| Papillary | 1 (4.8) |
| Solid | 2 (9.5) |
| Bronchioloalveolar | 1 (4.8) |
| Mucinous | 1 (4.8) |
| Pleural invasion (PL) | |
| PL0 | 13 (61.9) |
| PL1 | 5 (23.8) |
| PL2 | 3 (14.3) |
| Histological Grade | |
| G1 | 1 (4.8) |
| G2 | 14 (66.7) |
| G3 | 6 (28.5) |
| Spread Through Air Spaces (STAS) | |
| Not identified | 5 (23.8) |
| Indeterminate | 4 (19.0) |
| Present | 12 (57.2) |
| Mutation type | |
| EGFR (exon 19 deletion + L858R) | 11 (52.4) |
| ERBB2 | 2 (9.5) |
| Wild type | 4 (19.0) |
| Not detected | 4 (19.0) |
| PD-L1 expression | |
| <1% | 9 (42.9) |
| 1–49% | 5 (23.8) |
| ≥50% | 1 (4.8) |
| Not detected | 6 (28.6) |
| Adjuvant treatment | |
| Platinum-based chemotherapy | 11 (52.4) |
| Tegafur/Uracif | 3 (14.3) |
| Tyrosine-kinase inhibitor | 3 (14.3) |
| None | 4 (19.0) |
| Disease progression | |
| Recurrence or metastasis | 10 (47.6) |
| Death | 6 (28.5) |
| Survival (months), median (range) | |
| DFS (Disease free survival) | 18.97 (5.77–73.9) |
| OS (Overall survival) | 25.20 (7.03–106.63) |
| CD3 | CD8 | FOXP3 | PD1 | CD19 | CD32B | |
|---|---|---|---|---|---|---|
| T | ||||||
| T1 (n = 7) | 29.18 ± 11.47 | 29.81 ± 10.71 | 8.97 ± 6.12 | 20.74 ± 14.89 | 25.13 ± 16.12 | 28.39 ± 9.10 |
| T2 (n = 8) | 26.07 ± 8.72 | 29.48 ± 7.22 | 11.87 ± 5.57 | 22.14 ± 7.43 | 22.22 ± 8.85 | 31.76 ± 7.53 |
| T3 +T4 (n = 6) | 31.02 ± 8.29 | 27.03 ± 11.14 | 11.81 ± 7.58 | 27.49 ± 8.74* | 22.02± 5.63 | 32.20 ± 11.12 |
| N | ||||||
| N0 (n = 9) | 24.20 ± 4.61 | 26.76 ± 4.06 | 7.38 ± 4.30 | 20.26 ± 5.49 | 27.28 ± 5.13 | 23.82 ± 3.97 |
| N1 (n = 6) | 30.34 ± 12.54 | 27.45 ± 12.13 | 12.71 ± 6.26 | 22.41 ± 10.48 | 23.85 ± 14.30 | 30.53 ± 9.25 |
| N2 (n = 6) | 27.79 ± 7.77 | 30.35 ± 7.96 | 14.77 ± 9.42* | 24.43 ± 13.06 | 22.234 ± 9.76 | 30.68 ± 9.60 |
| Stage | ||||||
| I -II (n = 7) | 31.27 ± 11.23 | 28.90 ± 11.90 | 9.21 ± 5.71 | 17.29 ± 9.82 | 28.32 ± 10.87 | 27.71 ± 8.95 |
| IIIA (n = 8) | 25.99 ± 8.24 | 27.87 ± 7.83 | 10.20 ± 5.94 | 26.99 ± 10.49 | 22.01 ± 2.52 | 29.97 ± 9.29 |
| IIIB (n = 6) | 28.88 ± 8.05 | 34.06 ± 5.23 | 19.72 ± 4.15* | 33.08 ± 5.84* | 18.99 ± 11.61 | 32.22 ± 10.07 |
| Histology grade (G) | ||||||
| G1 (n = 1) | 20.04 ± 10.34 | 22.86 ± 1.94 | 2.44 ± 1.32 | 4.71 ± 2.16 | 25.58 ± 6.01 | 24.17 ± 2.91 |
| G2 (n = 14) | 29.06 ± 10.69 | 29.86 ± 10.60 | 10.35 ± 5.26 | 19.78 ± 6.68 | 23.80 ± 12.40 | 30.39 ± 10.71 |
| G3 (n = 6) | 28.86 ± 7.29 | 28.16 ± 8.05 | 11.69 ± 6.73* | 26.19 ± 11.68* | 2.46 ± 1.03* | 32.36 ± 7.35 |
| STAS | ||||||
| Yes (n = 12) | 30.73 ± 11.04 | 30.57 ± 10.27 | 11.01 ± 5.52 | 27.36 ± 10.74* | 19.89 ± 11.45* | 32.85 ± 11.34* |
| No (n = 9) | 26.06 ± 7.68 | 27.16 ± 8.71 | 10.53 ± 7.37 | 18.26 ± 9.93 | 26.25 ± 10.82 | 28.27 ± 6.52 |
| Visceral pleural invasion (PL) | ||||||
| PL0 (n = 13) | 30.84 ± 10.40 | 30.05 ± 10.19 | 8.94 ± 5.13 | 18.25 ± 5.42 | 24.22 ± 13.57 | 25.78 ± 10.14 |
| PL1 (n = 5) | 23.58 ± 6.71 | 28.91 ± 7.59 | 10.27 ± 6.31 | 23.26 ± 13.17 | 22.28 ± 5.29 | 31.65 ± 7.31 |
| PL2 (n = 3) | 28.24 ± 9.49 | 25.02 ± 10.30 | 13.02 ± 7.01 | 25.42 ± 8.39 | 21.64 ± 9.10 | 32.64 ± 9.26* |
Disclaimer/Publisher’s Note: The statements, opinions and data contained in all publications are solely those of the individual author(s) and contributor(s) and not of MDPI and/or the editor(s). MDPI and/or the editor(s) disclaim responsibility for any injury to people or property resulting from any ideas, methods, instructions or products referred to in the content. |
© 2025 by the authors. Licensee MDPI, Basel, Switzerland. This article is an open access article distributed under the terms and conditions of the Creative Commons Attribution (CC BY) license (https://creativecommons.org/licenses/by/4.0/).
Share and Cite
Lin, L.-W.; Chuang, H.-J.; Lian, K.-H.; Tseng, Y.-T.; Chen, C.-Y. Exploratory Immunohistochemical Profiling of FOXP3, PD-1 and CD32B in Resectable Lung Adenocarcinoma. Cancers 2025, 17, 3886. https://doi.org/10.3390/cancers17233886
Lin L-W, Chuang H-J, Lian K-H, Tseng Y-T, Chen C-Y. Exploratory Immunohistochemical Profiling of FOXP3, PD-1 and CD32B in Resectable Lung Adenocarcinoma. Cancers. 2025; 17(23):3886. https://doi.org/10.3390/cancers17233886
Chicago/Turabian StyleLin, Long-Wei, Hong-Jing Chuang, Kuan-Hsun Lian, Yu-Ting Tseng, and Chung-Yu Chen. 2025. "Exploratory Immunohistochemical Profiling of FOXP3, PD-1 and CD32B in Resectable Lung Adenocarcinoma" Cancers 17, no. 23: 3886. https://doi.org/10.3390/cancers17233886
APA StyleLin, L.-W., Chuang, H.-J., Lian, K.-H., Tseng, Y.-T., & Chen, C.-Y. (2025). Exploratory Immunohistochemical Profiling of FOXP3, PD-1 and CD32B in Resectable Lung Adenocarcinoma. Cancers, 17(23), 3886. https://doi.org/10.3390/cancers17233886

