Immune-Based and Novel Therapies in Variant Histology Renal Cell Carcinomas
Simple Summary
Abstract
1. Introduction
2. Non-Clear Cell Renal Cell Carcinoma
2.1. Papillary Renal Cell Carcinoma
2.1.1. Epidemiology and Molecular Features
2.1.2. Treatment Paradigms and Emerging Therapies
2.2. Chromophobe Renal Cell Carcinoma
2.2.1. Epidemiology and Molecular Features
2.2.2. Treatment Paradigms and Emerging Therapies
2.3. Collecting (Bellini) Duct Renal Cell Carcinoma
2.3.1. Epidemiology and Molecular Features
2.3.2. Treatment Paradigms and Emerging Therapies
2.4. SMARCB1-Deficient Renal Medullary Carcinoma
2.4.1. Epidemiology and Molecular Features
2.4.2. Treatment Paradigms and Emerging Therapies
2.5. Translocation Renal Cell Carcinoma
2.5.1. Epidemiology and Molecular Features
2.5.2. Treatment Paradigms and Emerging Therapies
2.6. Unclassified or Other Renal Cell Carcinomas
3. Renal Cell Carcinoma with Sarcomatoid Features
4. Additional Considerations and Future Directions
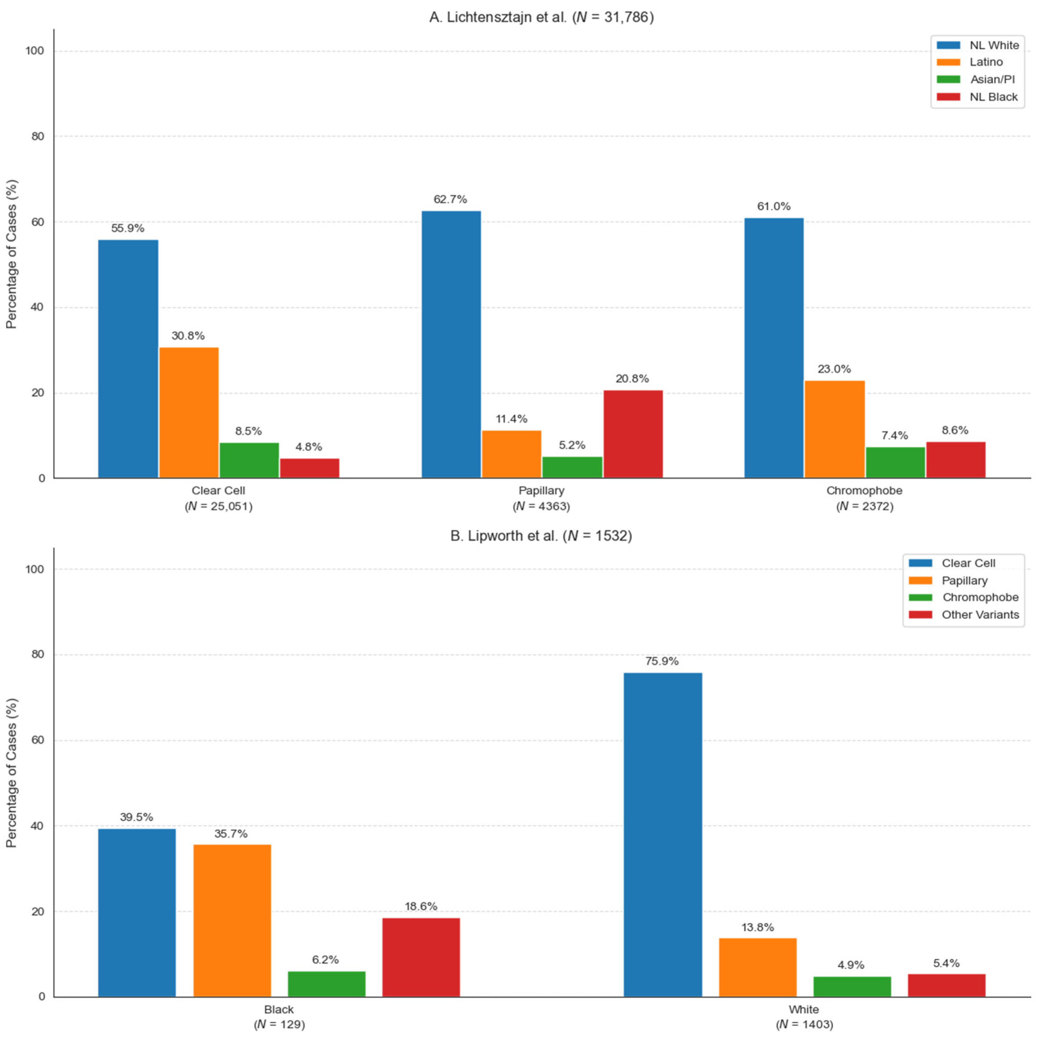
4.1. Renal Cell Carcinoma Histology Distribution and Immunotherapeutic Outcomes Among Racial and Ethnic Minorities
4.2. Clinical Trial Design
4.3. Advancing Precision Medicine for Rare Variants
4.4. Novel Therapies and Clinical Trials
4.4.1. Immune Checkpoint Blockade
4.4.2. Novel Targeted Therapies and Antibody–Drug Conjugates
4.4.3. Tumor-Infiltrating and Adoptive Immune Cells
4.4.4. Engineered Cellular Therapies
4.4.5. Cellular Vaccines
4.4.6. Cytokine and Immune-Activated Cells
5. Conclusions
Author Contributions
Funding
Acknowledgments
Conflicts of Interest
References
- Cirillo, L.; Innocenti, S.; Becherucci, F. Global Epidemiology of Kidney Cancer. Nephrol. Dial. Transpl. 2024, 39, 920–928. [Google Scholar] [CrossRef]
- Alaghehbandan, R.; Siadat, F.; Trpkov, K. What’s New in the WHO 2022 Classification of Kidney Tumours? Pathologica 2023, 115, 8–22. [Google Scholar] [CrossRef] [PubMed]
- Blum, K.A.; Gupta, S.; Tickoo, S.K.; Chan, T.A.; Russo, P.; Motzer, R.J.; Karam, J.A.; Hakimi, A.A. Sarcomatoid Renal Cell Carcinoma: Biology, Natural History and Management. Nat. Rev. Urol. 2020, 17, 659–678. [Google Scholar] [CrossRef] [PubMed]
- Naik, P.; Dudipala, H.; Chen, Y.-W.; Rose, B.; Bagrodia, A.; McKay, R.R. The Incidence, Pathogenesis, and Management of Non-Clear Cell Renal Cell Carcinoma. Ther. Adv. Urol. 2024, 16, 17562872241232578. [Google Scholar] [CrossRef] [PubMed]
- Regan, M.M.; Jegede, O.A.; Mantia, C.M.; Powles, T.; Werner, L.; Motzer, R.J.; Tannir, N.M.; Lee, C.-H.; Tomita, Y.; Voss, M.H.; et al. Treatment-Free Survival After Immune Checkpoint Inhibitor Therapy Versus Targeted Therapy for Advanced Renal Cell Carcinoma: 42-Month Results of the CheckMate 214 Trial. Clin. Cancer Res. 2021, 27, 6687–6695. [Google Scholar] [CrossRef]
- Powles, T.; Plimack, E.R.; Soulières, D.; Waddell, T.; Stus, V.; Gafanov, R.; Nosov, D.; Pouliot, F.; Melichar, B.; Vynnychenko, I.; et al. Pembrolizumab plus Axitinib Versus Sunitinib Monotherapy as First-Line Treatment of Advanced Renal Cell Carcinoma (KEYNOTE-426): Extended Follow-up from a Randomised, Open-Label, Phase 3 Trial. Lancet Oncol. 2020, 21, 1563–1573. [Google Scholar] [CrossRef]
- Motzer, R.J.; Powles, T.; Burotto, M.; Escudier, B.; Bourlon, M.T.; Shah, A.Y.; Suárez, C.; Hamzaj, A.; Porta, C.; Hocking, C.M.; et al. Nivolumab plus Cabozantinib Versus Sunitinib in First-Line Treatment for Advanced Renal Cell Carcinoma (CheckMate 9ER): Long-Term Follow-up Results from an Open Label, Randomised, Phase 3 Trial. Lancet Oncol. 2022, 23, 888–898. [Google Scholar] [CrossRef]
- Choueiri, T.K.; Eto, M.; Motzer, R.; De Giorgi, U.; Buchler, T.; Basappa, N.S.; Méndez-Vidal, M.J.; Tjulandin, S.; Park, S.H.; Melichar, B.; et al. Lenvatinib plus Pembrolizumab Versus Sunitinib as First-Line Treatment of Patients with Advanced Renal Cell Carcinoma (CLEAR): Extended Follow-up from the Phase 3, Randomised, Open-Label Study. Lancet Oncol. 2023, 24, 228–238. [Google Scholar] [CrossRef]
- Powles, T.; Tomczak, P.; Park, S.H.; Venugopal, B.; Ferguson, T.; Symeonides, S.N.; Hajek, J.; Gurney, H.; Chang, Y.-H.; Lee, J.L.; et al. Pembrolizumab Versus Placebo as Post-Nephrectomy Adjuvant Therapy for Clear Cell Renal Cell Carcinoma (KEYNOTE-564): 30-Month Follow-up Analysis of a Multicentre, Randomised, Double-Blind, Placebo-Controlled, Phase 3 Trial. Lancet Oncol. 2022, 23, 1133–1144. [Google Scholar] [CrossRef]
- Zondervan, P.J.; Bex, A. What We Have Learnt from CARMENA and SURTIME and What Should Be Done Differently in Future Trials on Cytoreductive Nephrectomy. Kidney Cancer 2022, 6, 95–103. [Google Scholar] [CrossRef]
- Choueiri, T.K.; Tomczak, P.; Park, S.H.; Venugopal, B.; Ferguson, T.; Chang, Y.-H.; Hajek, J.; Symeonides, S.N.; Lee, J.L.; Sarwar, N.; et al. Adjuvant Pembrolizumab after Nephrectomy in Renal-Cell Carcinoma. N. Engl. J. Med. 2021, 385, 683–694. [Google Scholar] [CrossRef] [PubMed]
- Barata, P.; Tangen, C.; Plets, M.; Thompson, I.M.; Narayan, V.; George, D.J.; Heng, D.Y.C.; Shuch, B.; Stein, M.; Gulati, S.; et al. Final Overall Survival Analysis of S1500: A Randomized, Phase II Study Comparing Sunitinib with Cabozantinib, Crizotinib, and Savolitinib in Advanced Papillary Renal Cell Carcinoma. J. Clin. Oncol. 2024, 42, 3911–3916. [Google Scholar] [CrossRef] [PubMed]
- Voss, M.H.; Gurney, H.; Atduev, V.; Suárez, C.; Climent, M.Á.; Pook, D.W.; Tomczak, P.; Barthelemy, P.; Lee, J.-L.; Nalbandian, T.; et al. First-Line Pembrolizumab plus Lenvatinib for Non–Clear Cell Renal Carcinomas (nccRCC): Extended Follow-up of the Phase 2 KEYNOTE-B61 Study. J. Clin. Oncol. 2024, 42, 2. [Google Scholar] [CrossRef]
- Fitzgerald, K.N.; Lee, C.-H.; Voss, M.H.; Carlo, M.I.; Knezevic, A.; Peralta, L.; Chen, Y.; Lefkowitz, R.A.; Shah, N.J.; Owens, C.N.; et al. Cabozantinib plus Nivolumab in Patients with Non–Clear Cell Renal Cell Carcinoma: Updated Results from a Phase 2 Trial. Eur. Urol. 2024, 86, 90–94. [Google Scholar] [CrossRef] [PubMed]
- Barthélémy, P.; Rioux-Leclercq, N.; Thibault, C.; Saldana, C.; Borchiellini, D.; Chevreau, C.; Desmoulins, I.; Gobert, A.; Hilgers, W.; Khalil, A.; et al. Non-Clear Cell Renal Carcinomas: Review of New Molecular Insights and Recent Clinical Data. Cancer Treat. Rev. 2021, 97, 102191. [Google Scholar] [CrossRef] [PubMed]
- Motzer, R.J.; Jonasch, E.; Agarwal, N.; Alva, A.; Bagshaw, H.; Baine, M.; Beckermann, K.; Carlo, M.I.; Choueiri, T.K.; Costello, B.A.; et al. NCCN Guidelines® Insights: Kidney Cancer, Version 2.2024. J. Natl. Compr. Cancer Netw. 2024, 22, 4–16. [Google Scholar] [CrossRef]
- Climent, C.; Soriano, S.; Bonfill, T.; Lopez, N.; Rodriguez, M.; Sierra, M.; Andreu, P.; Fragio, M.; Busquets, M.; Carrasco, A.; et al. The Role of Immunotherapy in Non-Clear Cell Renal Cell Carcinoma. Front. Oncol. 2023, 13, 941835. [Google Scholar] [CrossRef]
- Albiges, L.; Pouessel, D.; Beylot-Barry, M.; Bens, G.; Pannier, D.; Gavoille, C.; Oudard, S.; Chevret, S.; Labouret, N.H.; Legrand, F.; et al. Nivolumab in Metastatic Nonclear Cell Renal Cell Carcinoma: First Results of the AcSe Prospective Study. J. Clin. Oncol. 2020, 38, 699. [Google Scholar] [CrossRef]
- Vogelzang, N.J.; Olsen, M.R.; McFarlane, J.J.; Arrowsmith, E.; Bauer, T.M.; Jain, R.K.; Somer, B.; Lam, E.T.; Kochenderfer, M.D.; Molina, A.; et al. Safety and Efficacy of Nivolumab in Patients with Advanced Non-Clear Cell Renal Cell Carcinoma: Results From the Phase IIIb/IV CheckMate 374 Study. Clin. Genitourin. Cancer 2020, 18, 461–468.e3. [Google Scholar] [CrossRef]
- McDermott, D.F.; Lee, J.-L.; Ziobro, M.; Suarez, C.; Langiewicz, P.; Matveev, V.B.; Wiechno, P.; Gafanov, R.A.; Tomczak, P.; Pouliot, F.; et al. Open-Label, Single-Arm, Phase II Study of Pembrolizumab Monotherapy as First-Line Therapy in Patients with Advanced Non-Clear Cell Renal Cell Carcinoma. J. Clin. Oncol. 2021, 39, 1029–1039. [Google Scholar] [CrossRef]
- Atkins, M.B.; Jegede, O.A.; Haas, N.B.; McDermott, D.F.; Bilen, M.A.; Stein, M.; Sosman, J.A.; Alter, R.; Plimack, E.R.; Ornstein, M.C.; et al. Phase II Study of Nivolumab and Salvage Nivolumab/Ipilimumab in Treatment-Naïve Patients with Advanced Non-Clear Cell Renal Cell Carcinoma (HCRN GU16-260-Cohort B). J. Immunother. Cancer 2023, 11, e004780. [Google Scholar] [CrossRef] [PubMed]
- Conduit, C.; Davis, I.D.; Goh, J.C.; Kichenadasse, G.; Gurney, H.; Harris, C.A.; Pook, D.; Krieger, L.; Parnis, F.; Underhill, C.; et al. A Phase II Trial of Nivolumab Followed by Ipilimumab and Nivolumab in Advanced Non-Clear-Cell Renal Cell Carcinoma. BJU Int. 2024, 133 (Suppl. S3), 57–67. [Google Scholar] [CrossRef] [PubMed]
- Gordon, M.S.; Hussey, M.; Nagle, R.B.; Lara, P.N.; Mack, P.C.; Dutcher, J.; Samlowski, W.; Clark, J.I.; Quinn, D.I.; Pan, C.-X.; et al. Phase II Study of Erlotinib in Patients with Locally Advanced or Metastatic Papillary Histology Renal Cell Cancer: SWOG S0317. J. Clin. Oncol. 2009, 27, 5788–5793. [Google Scholar] [CrossRef] [PubMed]
- Choueiri, T.K.; Vaishampayan, U.; Rosenberg, J.E.; Logan, T.F.; Harzstark, A.L.; Bukowski, R.M.; Rini, B.I.; Srinivas, S.; Stein, M.N.; Adams, L.M.; et al. Phase II and Biomarker Study of the Dual MET/VEGFR2 Inhibitor Foretinib in Patients with Papillary Renal Cell Carcinoma. J. Clin. Oncol. 2013, 31, 181–186. [Google Scholar] [CrossRef]
- Schöffski, P.; Wozniak, A.; Escudier, B.; Rutkowski, P.; Anthoney, A.; Bauer, S.; Sufliarsky, J.; van Herpen, C.; Lindner, L.H.; Grünwald, V.; et al. Crizotinib Achieves Long-Lasting Disease Control in Advanced Papillary Renal-Cell Carcinoma Type 1 Patients with MET Mutations or Amplification. EORTC 90101 CREATE Trial. Eur. J. Cancer 2017, 87, 147–163. [Google Scholar] [CrossRef]
- Negrier, S.; Rioux-Leclercq, N.; Ferlay, C.; Gross-Goupil, M.; Gravis, G.; Geoffrois, L.; Chevreau, C.; Boyle, H.; Rolland, F.; Blanc, E.; et al. Axitinib in First-Line for Patients with Metastatic Papillary Renal Cell Carcinoma: Results of the Multicentre, Open-Label, Single-Arm, Phase II AXIPAP Trial. Eur. J. Cancer 2020, 129, 107–116. [Google Scholar] [CrossRef]
- Choueiri, T.K.; Heng, D.Y.C.; Lee, J.L.; Cancel, M.; Verheijen, R.B.; Mellemgaard, A.; Ottesen, L.H.; Frigault, M.M.; L’Hernault, A.; Szijgyarto, Z.; et al. Efficacy of Savolitinib vs Sunitinib in Patients with MET-Driven Papillary Renal Cell Carcinoma: The SAVOIR Phase 3 Randomized Clinical Trial. JAMA Oncol. 2020, 6, 1247–1255. [Google Scholar] [CrossRef]
- Procopio, G.; Sepe, P.; Claps, M.; Buti, S.; Colecchia, M.; Giannatempo, P.; Guadalupi, V.; Mariani, L.; Lalli, L.; Fucà, G.; et al. Cabozantinib as First-Line Treatment in Patients with Metastatic Collecting Duct Renal Cell Carcinoma: Results of the BONSAI Trial for the Italian Network for Research in Urologic-Oncology (Meet-URO 2 Study). JAMA Oncol. 2022, 8, 910–913. [Google Scholar] [CrossRef]
- Johns, A.; Campbell, M.T.; Msaouel, P.; Jonasch, E.; Hahn, A.W.; Gao, J.; Shah, A.Y.; Goswami, S.; Zurita, A.J.; Pagliaro, L.C.; et al. CABOSUN II: Results from a Phase 2, Open-Label, Multi-Center Randomized Study of Cabozantinib (CABO) vs. Sunitinib (SUN) for Non-Clear Cell Renal Cell Carcinoma (NCCRCC). J. Clin. Oncol. 2023, 41, 4597. [Google Scholar] [CrossRef]
- Pook, D.W.; Harris, C.A.; Link, E.; Goh, J.C.; Parnis, F.; Gurney, H.; Kichenadasse, G.; Underhill, C.; Torres, J.; Roncolato, F.; et al. UNICAB: Cabozantinib in Locally Advanced or Metastatic Non-Clear Cell Renal Cell Carcinoma Post Immunotherapy or in Those Unsuitable for Immunotherapy (ANZUP 1802). J. Clin. Oncol. 2024, 42, 428. [Google Scholar] [CrossRef]
- Twardowski, P.W.; Tangen, C.M.; Wu, X.; Plets, M.R.; Plimack, E.R.; Agarwal, N.; Vogelzang, N.J.; Wang, J.; Tao, S.; Thompson, I.M.; et al. Parallel (Randomized) Phase II Evaluation of Tivantinib (ARQ197) and Tivantinib in Combination with Erlotinib in Papillary Renal Cell Carcinoma: SWOG S1107. Kidney Cancer 2017, 1, 123–132. [Google Scholar] [CrossRef] [PubMed]
- McGregor, B.A.; McKay, R.R.; Braun, D.A.; Werner, L.; Gray, K.; Flaifel, A.; Signoretti, S.; Hirsch, M.S.; Steinharter, J.A.; Bakouny, Z.; et al. Results of a Multicenter Phase II Study of Atezolizumab and Bevacizumab for Patients with Metastatic Renal Cell Carcinoma with Variant Histology and/or Sarcomatoid Features. J. Clin. Oncol. 2020, 38, 63–70. [Google Scholar] [CrossRef] [PubMed]
- Tykodi, S.S.; Gordan, L.N.; Alter, R.S.; Arrowsmith, E.; Harrison, M.R.; Percent, I.; Singal, R.; Van Veldhuizen, P.; George, D.J.; Hutson, T.; et al. Safety and Efficacy of Nivolumab plus Ipilimumab in Patients with Advanced Non-Clear Cell Renal Cell Carcinoma: Results from the Phase 3b/4 CheckMate 920 Trial. J. Immunother. Cancer 2022, 10, e003844. [Google Scholar] [CrossRef] [PubMed]
- McGregor, B.A.; Agarwal, N.; Suárez, C.; Tsao, K.; Kelly, W.K.; Pagliaro, L.C.; Vaishampayan, U.N.; Castellano, D.; Loriot, Y.; Xu, F.; et al. Cabozantinib in Combination with Atezolizumab in Non-Clear Cell Renal Cell Carcinoma: Extended Follow-up Results of Cohort 10 of the COSMIC-021 Study. J. Clin. Oncol. 2023, 41, 684. [Google Scholar] [CrossRef]
- Suárez, C.; Larkin, J.M.G.; Patel, P.; Valderrama, B.P.; Rodriguez-Vida, A.; Glen, H.; Thistlethwaite, F.; Ralph, C.; Srinivasan, G.; Mendez-Vidal, M.J.; et al. Phase II Study Investigating the Safety and Efficacy of Savolitinib and Durvalumab in Metastatic Papillary Renal Cancer (CALYPSO). J. Clin. Oncol. 2023, 41, 2493–2502. [Google Scholar] [CrossRef]
- Bergmann, L.; Ahrens, M.; Albiges, L.; Goupil, M.G.; Boleti, E.; Gravis, G.; Flechon, A.; Grimm, M.-O.J.; Rausch, S.; Barthelemy, P.; et al. LBA75 Prospective Randomised Phase-II Trial of Ipilimumab/Nivolumab Versus Standard of Care in Non-Clear Cell Renal Cell Cancer: Results of the SUNNIFORECAST Trial. Ann. Oncol. 2024, 35, S1263. [Google Scholar] [CrossRef]
- Albiges, L.; Gurney, H.; Atduev, V.; Suarez, C.; Climent, M.A.; Pook, D.; Tomczak, P.; Barthelemy, P.; Lee, J.L.; Stus, V.; et al. Pembrolizumab plus Lenvatinib as First-Line Therapy for Advanced Non-Clear-Cell Renal Cell Carcinoma (KEYNOTE-B61): A Single-Arm, Multicentre, Phase 2 Trial. Lancet Oncol. 2023, 24, 881–891. [Google Scholar] [CrossRef]
- D’Avella, C.; Abbosh, P.; Pal, S.K.; Geynisman, D.M. Mutations in Renal Cell Carcinoma. Urol. Oncol. Semin. Orig. Investig. 2020, 38, 763–773. [Google Scholar] [CrossRef]
- Wilhelm, M.; Veltman, J.A.; Olshen, A.B.; Jain, A.N.; Moore, D.H.; Presti, J.C.; Kovacs, G.; Waldman, F.M. Array-Based Comparative Genomic Hybridization for the Differential Diagnosis of Renal Cell Cancer. Cancer Res. 2002, 62, 957–960. [Google Scholar]
- Monzon, F.A.; Hagenkord, J.M.; Lyons-Weiler, M.A.; Balani, J.P.; Parwani, A.V.; Sciulli, C.M.; Li, J.; Chandran, U.R.; Bastacky, S.I.; Dhir, R. Whole Genome SNP Arrays as a Potential Diagnostic Tool for the Detection of Characteristic Chromosomal Aberrations in Renal Epithelial Tumors. Mod. Pathol. 2008, 21, 599–608. [Google Scholar] [CrossRef][Green Version]
- Lubensky, I.A.; Schmidt, L.; Zhuang, Z.; Weirich, G.; Pack, S.; Zambrano, N.; Walther, M.M.; Choyke, P.; Linehan, W.M.; Zbar, B. Hereditary and Sporadic Papillary Renal Carcinomas with C-Met Mutations Share a Distinct Morphological Phenotype. Am. J. Pathol. 1999, 155, 517–526. [Google Scholar] [CrossRef] [PubMed]
- Rivas, S.; Marín, A.; Samtani, S.; González-Feliú, E.; Armisén, R. MET Signaling Pathways, Resistance Mechanisms, and Opportunities for Target Therapies. Int. J. Mol. Sci. 2022, 23, 13898. [Google Scholar] [CrossRef] [PubMed]
- Looyenga, B.D.; Furge, K.A.; Dykema, K.J.; Koeman, J.; Swiatek, P.J.; Giordano, T.J.; West, A.B.; Resau, J.H.; Teh, B.T.; MacKeigan, J.P. Chromosomal Amplification of Leucine-Rich Repeat Kinase-2 (LRRK2) Is Required for Oncogenic MET Signaling in Papillary Renal and Thyroid Carcinomas. Proc. Natl. Acad. Sci. USA 2011, 108, 1439–1444. [Google Scholar] [CrossRef] [PubMed]
- Pal, S.K.; Ali, S.M.; Yakirevich, E.; Geynisman, D.M.; Karam, J.A.; Elvin, J.A.; Frampton, G.M.; Huang, X.; Lin, D.I.; Rosenzweig, M.; et al. Characterization of Clinical Cases of Advanced Papillary Renal Cell Carcinoma via Comprehensive Genomic Profiling. Eur. Urol. 2018, 73, 71–78. [Google Scholar] [CrossRef]
- Albiges, L.; Guegan, J.; Le Formal, A.; Verkarre, V.; Rioux-Leclercq, N.; Sibony, M.; Bernhard, J.-C.; Camparo, P.; Merabet, Z.; Molinie, V.; et al. MET Is a Potential Target Across All Papillary Renal Cell Carcinomas: Result from a Large Molecular Study of pRCC with CGH Array and Matching Gene Expression Array. Clin. Cancer Res. 2014, 20, 3411–3421. [Google Scholar] [CrossRef]
- Cancer Genome Atlas Research Network; Linehan, W.M.; Spellman, P.T.; Ricketts, C.J.; Creighton, C.J.; Fei, S.S.; Davis, C.; Wheeler, D.A.; Murray, B.A.; Schmidt, L.; et al. Comprehensive Molecular Characterization of Papillary Renal-Cell Carcinoma. N. Engl. J. Med. 2016, 374, 135–145. [Google Scholar] [CrossRef]
- Kovac, M.; Navas, C.; Horswell, S.; Salm, M.; Bardella, C.; Rowan, A.; Stares, M.; Castro-Giner, F.; Fisher, R.; de Bruin, E.C.; et al. Recurrent Chromosomal Gains and Heterogeneous Driver Mutations Characterise Papillary Renal Cancer Evolution. Nat. Commun. 2015, 6, 6336. [Google Scholar] [CrossRef]
- Brundage, J.N.; Sahu, K.K.; Maughan, B.L. MET Inhibitors for Papillary Renal Cell Carcinoma. Kidney Cancer 2023, 7, 67–80. [Google Scholar] [CrossRef]
- Wilson, N.R.; Acikgoz, Y.; Hasanov, E. Advances in Non-Clear Cell Renal Cell Carcinoma Management: From Heterogeneous Biology to Treatment Options. Int. J. Cancer 2024, 154, 947–961. [Google Scholar] [CrossRef]
- de Vries-Brilland, M.; Rioux-Leclercq, N.; Meylan, M.; Dauvé, J.; Passot, C.; Spirina-Menand, E.; Flippot, R.; Fromont, G.; Gravis, G.; Geoffrois, L.; et al. Comprehensive Analyses of Immune Tumor Microenvironment in Papillary Renal Cell Carcinoma. J. Immunother. Cancer 2023, 11, e006885. [Google Scholar] [CrossRef]
- Chouieri, T. SAMETA: A Phase III Study of Savolitinib + Durvalumab vs. Sunitinib and Durvalumab Monotherapy in Patients with MET-Driven, Unresectable, Locally Advanced/Metastatic Papillary Renal Cell Carcinoma. Oncologist 2023, 28, S11–S12. [Google Scholar] [CrossRef]
- Amin, M.B.; Paner, G.P.; Alvarado-Cabrero, I.; Young, A.N.; Stricker, H.J.; Lyles, R.H.; Moch, H. Chromophobe Renal Cell Carcinoma: Histomorphologic Characteristics and Evaluation of Conventional Pathologic Prognostic Parameters in 145 Cases. Am. J. Surg. Pathol. 2008, 32, 1822–1834. [Google Scholar] [CrossRef]
- Marko, J.; Craig, R.; Nguyen, A.; Udager, A.M.; Wolfman, D.J. Chromophobe Renal Cell Carcinoma with Radiologic-Pathologic Correlation. Radiographics 2021, 41, 1408–1419. [Google Scholar] [CrossRef] [PubMed]
- Trpkov, K.; Hes, O.; Williamson, S.R.; Adeniran, A.J.; Agaimy, A.; Alaghehbandan, R.; Amin, M.B.; Argani, P.; Chen, Y.-B.; Cheng, L.; et al. New Developments in Existing WHO Entities and Evolving Molecular Concepts: The Genitourinary Pathology Society (GUPS) Update on Renal Neoplasia. Mod. Pathol. 2021, 34, 1392–1424. [Google Scholar] [CrossRef] [PubMed]
- Skala, S.L.; Wang, X.; Zhang, Y.; Mannan, R.; Wang, L.; Narayanan, S.P.; Vats, P.; Su, F.; Chen, J.; Cao, X.; et al. Next Generation RNA Sequencing-Based Biomarker Characterization of Chromophobe Renal Cell Carcinoma and Related Oncocytic Neoplasms. Eur. Urol. 2020, 78, 63–74. [Google Scholar] [CrossRef] [PubMed]
- Henske, E.P.; Cheng, L.; Hakimi, A.A.; Choueiri, T.K.; Braun, D.A. Chromophobe Renal Cell Carcinoma. Cancer Cell 2023, 41, 1383–1388. [Google Scholar] [CrossRef]
- Msaouel, P.; Genovese, G.; Tannir, N.M. Renal Cell Carcinoma of Variant Histology: Biology and Therapies. Hematol./Oncol. Clin. N. Am. 2023, 37, 977–992. [Google Scholar] [CrossRef]
- Choueiri, T.K.; Fay, A.P.; Gray, K.P.; Callea, M.; Ho, T.H.; Albiges, L.; Bellmunt, J.; Song, J.; Carvo, I.; Lampron, M.; et al. PD-L1 Expression in Nonclear-Cell Renal Cell Carcinoma. Ann. Oncol. 2014, 25, 2178–2184. [Google Scholar] [CrossRef]
- Zhang, L.; Hobeika, C.S.; Khabibullin, D.; Yu, D.; Filippakis, H.; Alchoueiry, M.; Tang, Y.; Lam, H.C.; Tsvetkov, P.; Georgiou, G.; et al. Hypersensitivity to Ferroptosis in Chromophobe RCC Is Mediated by a Glutathione Metabolic Dependency and Cystine Import via Solute Carrier Family 7 Member 11. Proc. Natl. Acad. Sci. USA 2022, 119, e2122840119. [Google Scholar] [CrossRef]
- Zhou, Q.; Meng, Y.; Li, D.; Yao, L.; Le, J.; Liu, Y.; Sun, Y.; Zeng, F.; Chen, X.; Deng, G. Ferroptosis in Cancer: From Molecular Mechanisms to Therapeutic Strategies. Signal Transduct. Target. Ther. 2024, 9, 55. [Google Scholar] [CrossRef]
- Suarez, C.; Marmolejo, D.; Valdivia, A.; Morales-Barrera, R.; Gonzalez, M.; Mateo, J.; Semidey, M.E.; Lorente, D.; Trilla, E.; Carles, J. Update in Collecting Duct Carcinoma: Current Aspects of the Clinical and Molecular Characterization of an Orphan Disease. Front. Oncol. 2022, 12, 970199. [Google Scholar] [CrossRef] [PubMed]
- Wright, J.L.; Risk, M.C.; Hotaling, J.; Lin, D.W. Effect of Collecting Duct Histology on Outcomes in Renal Cell Carcinoma. J. Urol. 2009, 181, 218. [Google Scholar] [CrossRef]
- Wang, J.; Papanicolau-Sengos, A.; Chintala, S.; Wei, L.; Liu, B.; Hu, Q.; Miles, K.M.; Conroy, J.M.; Glenn, S.T.; Costantini, M.; et al. Collecting Duct Carcinoma of the Kidney Is Associated with CDKN2A Deletion and SLC Family Gene Up-Regulation. Oncotarget 2016, 7, 29901–29915. [Google Scholar] [CrossRef] [PubMed]
- Gupta, R.; Billis, A.; Shah, R.B.; Moch, H.; Osunkoya, A.O.; Jochum, W.; Hes, O.; Bacchi, C.E.; de Castro, M.G.; Hansel, D.E.; et al. Carcinoma of the Collecting Ducts of Bellini and Renal Medullary Carcinoma: Clinicopathologic Analysis of 52 Cases of Rare Aggressive Subtypes of Renal Cell Carcinoma with a Focus on Their Interrelationship. Am. J. Surg. Pathol. 2012, 36, 1265–1278. [Google Scholar] [CrossRef]
- Pinto, A.; Garrido, M.; Aguado, C.; Alonso, T.; Gajate, P.; Maximiano, C.; García-Carbonero, I.; Martín, A.; Gallegos, I.; Arranz, J.A.; et al. Collecting Duct Carcinoma of the Kidney: Analysis of Our Experience at the SPANISH ‘Grupo Centro’ of Genitourinary Tumors. Kidney Cancer 2019, 3, 177–182. [Google Scholar] [CrossRef]
- Pécuchet, N.; Bigot, F.; Gachet, J.; Massard, C.; Albiges, L.; Teghom, C.; Allory, Y.; Méjean, A.; Escudier, B.; Oudard, S. Triple Combination of Bevacizumab, Gemcitabine and Platinum Salt in Metastatic Collecting Duct Carcinoma. Ann. Oncol. 2013, 24, 2963–2967. [Google Scholar] [CrossRef]
- Pal, S.K.; Choueiri, T.K.; Wang, K.; Khaira, D.; Karam, J.A.; Van Allen, E.; Palma, N.A.; Stein, M.N.; Johnson, A.; Squillace, R.; et al. Characterization of Clinical Cases of Collecting Duct Carcinoma of the Kidney Assessed by Comprehensive Genomic Profiling. Eur. Urol. 2016, 70, 516–521. [Google Scholar] [CrossRef]
- Ali, S.M.; Miller, V.A.; Ross, J.S.; Pal, S.K. Exceptional Response on Addition of Everolimus to Taxane in Urothelial Carcinoma Bearing an NF2 Mutation. Eur. Urol. 2015, 67, 1195–1196. [Google Scholar] [CrossRef]
- Ross, J.S.; Wang, K.; Khaira, D.; Ali, S.M.; Fisher, H.A.G.; Mian, B.; Nazeer, T.; Elvin, J.A.; Palma, N.; Yelensky, R.; et al. Comprehensive Genomic Profiling of 295 Cases of Clinically Advanced Urothelial Carcinoma of the Urinary Bladder Reveals a High Frequency of Clinically Relevant Genomic Alterations. Cancer 2016, 122, 702–711. [Google Scholar] [CrossRef]
- Li, N.; Lu, X.-Y.; Shi, W.-Y.; Mao, F.-J.; Yang, X.-Y.; Luo, Y.-B.; Li, W. Combined mTOR/MEK Inhibition Prevents Proliferation and Induces Apoptosis in NF2-Mutant Tumors. Eur. Rev. Med. Pharmacol. Sci. 2019, 23, 5874–5883. [Google Scholar] [CrossRef]
- Thomas, V.M.; Bindal, P.; Vredenburgh, J.J. Everolimus and Bevacizumab in the Management of Recurrent, Progressive Intracranial NF2 Mutated Meningioma. Case Rep. Oncol. 2019, 12, 126–130. [Google Scholar] [CrossRef]
- Goutagny, S.; Raymond, E.; Esposito-Farese, M.; Trunet, S.; Mawrin, C.; Bernardeschi, D.; Larroque, B.; Sterkers, O.; Giovannini, M.; Kalamarides, M. Phase II Study of mTORC1 Inhibition by Everolimus in Neurofibromatosis Type 2 Patients with Growing Vestibular Schwannomas. J. Neuro-Oncol. 2015, 122, 313–320. [Google Scholar] [CrossRef]
- Dizman, N.; Philip, E.J.; Pal, S.K. Genomic Profiling in Renal Cell Carcinoma. Nat. Rev. Nephrol. 2020, 16, 435–451. [Google Scholar] [CrossRef]
- Blas, L.; Roberti, J.; Petroni, J.; Reniero, L.; Cicora, F. Renal Medullary Carcinoma: A Report of the Current Literature. Curr. Urol. Rep. 2019, 20, 4. [Google Scholar] [CrossRef]
- Su, Y.; Hong, A.L. Recent Advances in Renal Medullary Carcinoma. Int. J. Mol. Sci. 2022, 23, 7097. [Google Scholar] [CrossRef]
- Wiele, A.J.; Surasi, D.S.; Rao, P.; Sircar, K.; Su, X.; Bathala, T.K.; Shah, A.Y.; Jonasch, E.; Cataldo, V.D.; Genovese, G.; et al. Efficacy and Safety of Bevacizumab plus Erlotinib in Patients with Renal Medullary Carcinoma. Cancers 2021, 13, 2170. [Google Scholar] [CrossRef]
- Msaouel, P.; Malouf, G.G.; Su, X.; Yao, H.; Tripathi, D.N.; Soeung, M.; Gao, J.; Rao, P.; Coarfa, C.; Creighton, C.J.; et al. Comprehensive Molecular Characterization Identifies Distinct Genomic and Immune Hallmarks of Renal Medullary Carcinoma. Cancer Cell 2020, 37, 720–734.e13. [Google Scholar] [CrossRef]
- Classe, M.; Malouf, G.G.; Su, X.; Yao, H.; Thompson, E.J.; Doss, D.J.; Grégoire, V.; Lenobin, J.; Fantoni, J.-C.; Sudour-Bonnange, H.; et al. Incidence, Clinicopathological Features and Fusion Transcript Landscape of Translocation Renal Cell Carcinomas. Histopathology 2017, 70, 1089–1097. [Google Scholar] [CrossRef]
- Geller, J.I.; Ehrlich, P.F.; Cost, N.G.; Khanna, G.; Mullen, E.A.; Gratias, E.J.; Naranjo, A.; Dome, J.S.; Perlman, E.J. Characterization of Adolescent and Pediatric Renal Cell Carcinoma: A Report from the Children’s Oncology Group Study AREN03B2. Cancer 2015, 121, 2457–2464. [Google Scholar] [CrossRef]
- Bakouny, Z.; Sadagopan, A.; Ravi, P.; Metaferia, N.Y.; Li, J.; AbuHammad, S.; Tang, S.; Denize, T.; Garner, E.R.; Gao, X.; et al. Integrative Clinical and Molecular Characterization of Translocation Renal Cell Carcinoma. Cell Rep. 2022, 38, 110190. [Google Scholar] [CrossRef]
- Zoncu, R.; Perera, R.M. Emerging Roles of the MiT/TFE Factors in Cancer. Trends Cancer 2023, 9, 817–827. [Google Scholar] [CrossRef]
- Chen, F.; Zhang, Y.; Şenbabaoğlu, Y.; Ciriello, G.; Yang, L.; Reznik, E.; Shuch, B.; Micevic, G.; De Velasco, G.; Shinbrot, E.; et al. Multilevel Genomics-Based Taxonomy of Renal Cell Carcinoma. Cell Rep. 2016, 14, 2476–2489. [Google Scholar] [CrossRef]
- Ricketts, C.J.; De Cubas, A.A.; Fan, H.; Smith, C.C.; Lang, M.; Reznik, E.; Bowlby, R.; Gibb, E.A.; Akbani, R.; Beroukhim, R.; et al. The Cancer Genome Atlas Comprehensive Molecular Characterization of Renal Cell Carcinoma. Cell Rep. 2018, 23, 313–326.e5. [Google Scholar] [CrossRef]
- Zhong, M.; De Angelo, P.; Osborne, L.; Paniz-Mondolfi, A.E.; Geller, M.; Yang, Y.; Linehan, W.M.; Merino, M.J.; Cordon-Cardo, C.; Cai, D. Translocation Renal Cell Carcinomas in Adults: A Single-Institution Experience. Am. J. Surg. Pathol. 2012, 36, 654–662. [Google Scholar] [CrossRef]
- Green, W.M.; Yonescu, R.; Morsberger, L.; Morris, K.; Netto, G.J.; Epstein, J.I.; Illei, P.B.; Allaf, M.; Ladanyi, M.; Griffin, C.A.; et al. Utilization of a TFE3 Break-Apart FISH Assay in a Renal Tumor Consultation Service. Am. J. Surg. Pathol. 2013, 37, 1150–1163. [Google Scholar] [CrossRef]
- Simonaggio, A.; Ambrosetti, D.; Verkarre, V.; Auvray, M.; Oudard, S.; Vano, Y.-A. MiTF/TFE Translocation Renal Cell Carcinomas: From Clinical Entities to Molecular Insights. Int. J. Mol. Sci. 2022, 23, 7649. [Google Scholar] [CrossRef]
- Boilève, A.; Carlo, M.I.; Barthélémy, P.; Oudard, S.; Borchiellini, D.; Voss, M.H.; George, S.; Chevreau, C.; Landman-Parker, J.; Tabone, M.-D.; et al. Immune Checkpoint Inhibitors in MITF Family Translocation Renal Cell Carcinomas and Genetic Correlates of Exceptional Responders. J. Immunother. Cancer 2018, 6, 159. [Google Scholar] [CrossRef]
- Yan, X.; Zhou, L.; Li, S.; Wu, X.; Cui, C.; Chi, Z.; Si, L.; Kong, Y.; Tang, B.; Li, C.; et al. Systemic Therapy in Patients with Metastatic Xp11.2 Translocation Renal Cell Carcinoma. Clin. Genitourin. Cancer 2022, 20, 354–362. [Google Scholar] [CrossRef]
- Moch, H.; Amin, M.B.; Berney, D.M.; Compérat, E.M.; Gill, A.J.; Hartmann, A.; Menon, S.; Raspollini, M.R.; Rubin, M.A.; Srigley, J.R.; et al. The 2022 World Health Organization Classification of Tumours of the Urinary System and Male Genital Organs—Part A: Renal, Penile, and Testicular Tumours. Eur. Urol. 2022, 82, 458–468. [Google Scholar] [CrossRef]
- Fontes-Sousa, M.; Calvo, E. First-Line Immune Checkpoint Inhibitors in Advanced or Metastatic Renal Cell Carcinoma with Sarcomatoid Features. Cancer Treat. Rev. 2022, 105, 102374. [Google Scholar] [CrossRef]
- Merrill, M.M.; Wood, C.G.; Tannir, N.M.; Slack, R.S.; Babaian, K.N.; Jonasch, E.; Pagliaro, L.C.; Compton, Z.; Tamboli, P.; Sircar, K.; et al. Clinically Nonmetastatic Renal Cell Carcinoma with Sarcomatoid Dedifferentiation: Natural History and Outcomes After Surgical Resection with Curative Intent. Urol. Oncol. 2015, 33, 166.e21–166.e29. [Google Scholar] [CrossRef]
- Mian, B.M.; Bhadkamkar, N.; Slaton, J.W.; Pisters, P.W.T.; Daliani, D.; Swanson, D.A.; Pisters, L.L. Prognostic Factors and Survival of Patients with Sarcomatoid Renal Cell Carcinoma. J. Urol. 2002, 167, 65–70. [Google Scholar] [CrossRef]
- Shuch, B.; Bratslavsky, G.; Linehan, W.M.; Srinivasan, R. Sarcomatoid Renal Cell Carcinoma: A Comprehensive Review of the Biology and Current Treatment Strategies. Oncologist 2012, 17, 46–54. [Google Scholar] [CrossRef]
- Hahn, A.W.; Kotecha, R.R.; Viscuse, P.V.; Pieretti, A.C.; Wiele, A.J.; Jonasch, E.; Lee, C.-H.; Gao, J.; Zurita, A.J.; Shah, A.Y.; et al. Cytoreductive Nephrectomy for Patients with Metastatic Sarcomatoid and/or Rhabdoid Renal Cell Carcinoma Treated with Immune Checkpoint Therapy. Eur. Urol. Focus. 2023, 9, 734–741. [Google Scholar] [CrossRef]
- Iacovelli, R.; Ciccarese, C.; Bria, E.; Bracarda, S.; Porta, C.; Procopio, G.; Tortora, G. Patients with Sarcomatoid Renal Cell Carcinoma—Re-Defining the First-Line of Treatment: A Meta-Analysis of Randomised Clinical Trials with Immune Checkpoint Inhibitors. Eur. J. Cancer 2020, 136, 195–203. [Google Scholar] [CrossRef]
- Pichler, R.; Compérat, E.; Klatte, T.; Pichler, M.; Loidl, W.; Lusuardi, L.; Schmidinger, M. Renal Cell Carcinoma with Sarcomatoid Features: Finally New Therapeutic Hope? Cancers 2019, 11, 422. [Google Scholar] [CrossRef]
- Kawakami, F.; Sircar, K.; Rodriguez-Canales, J.; Fellman, B.M.; Urbauer, D.L.; Tamboli, P.; Tannir, N.M.; Jonasch, E.; Wistuba, I.I.; Wood, C.G.; et al. Programmed Cell Death Ligand 1 and Tumor-Infiltrating Lymphocyte Status in Patients with Renal Cell Carcinoma and Sarcomatoid Dedifferentiation. Cancer 2017, 123, 4823–4831. [Google Scholar] [CrossRef]
- Rini, B.I.; Plimack, E.R.; Stus, V.; Gafanov, R.; Hawkins, R.; Nosov, D.; Pouliot, F.; Soulieres, D.; Melichar, B.; Vynnychenko, I.; et al. Pembrolizumab (Pembro) plus Axitinib (Axi) Versus Sunitinib as First-Line Therapy for Metastatic Renal Cell Carcinoma (mRCC): Outcomes in the Combined IMDC Intermediate/Poor Risk and Sarcomatoid Subgroups of the Phase 3 KEYNOTE-426 Study. J. Clin. Oncol. 2019, 37, 4500. [Google Scholar] [CrossRef]
- Tannir, N.M.; Signoretti, S.; Choueiri, T.K.; McDermott, D.F.; Motzer, R.J.; Flaifel, A.; Pignon, J.-C.; Ficial, M.; Frontera, O.A.; George, S.; et al. Efficacy and Safety of Nivolumab plus Ipilimumab Versus Sunitinib in First-Line Treatment of Patients with Advanced Sarcomatoid Renal Cell Carcinoma. Clin. Cancer Res. 2021, 27, 78–86. [Google Scholar] [CrossRef]
- Motzer, R.J.; Choueiri, T.K.; Powles, T.; Burotto, M.; Bourlon, M.T.; Hsieh, J.J.; Maruzzo, M.; Shah, A.Y.; Suarez, C.; Barrios, C.H.; et al. Nivolumab + Cabozantinib (NIVO+CABO) Versus Sunitinib (SUN) for Advanced Renal Cell Carcinoma (aRCC): Outcomes by Sarcomatoid Histology and Updated Trial Results with Extended Follow-up of CheckMate 9ER. J. Clin. Oncol. 2021, 39, 308. [Google Scholar] [CrossRef]
- Choueiri, T.K.; Larkin, J.; Pal, S.; Motzer, R.J.; Rini, B.I.; Venugopal, B.; Alekseev, B.; Miyake, H.; Gravis, G.; Bilen, M.A.; et al. Efficacy and Correlative Analyses of Avelumab plus Axitinib Versus Sunitinib in Sarcomatoid Renal Cell Carcinoma: Post Hoc Analysis of a Randomized Clinical Trial. ESMO Open 2021, 6, 100101. [Google Scholar] [CrossRef]
- Rini, B.I.; Motzer, R.J.; Powles, T.; McDermott, D.F.; Escudier, B.; Donskov, F.; Hawkins, R.; Bracarda, S.; Bedke, J.; De Giorgi, U.; et al. Atezolizumab plus Bevacizumab Versus Sunitinib for Patients with Untreated Metastatic Renal Cell Carcinoma and Sarcomatoid Features: A Prespecified Subgroup Analysis of the IMmotion151 Clinical Trial. Eur. Urol. 2021, 79, 659–662. [Google Scholar] [CrossRef] [PubMed]
- Grünwald, V.; Powles, T.; Eto, M.; Kopyltsov, E.; Rha, S.Y.; Porta, C.; Motzer, R.; Hutson, T.E.; Méndez-Vidal, M.J.; Hong, S.-H.; et al. Phase 3 CLEAR Study in Patients with Advanced Renal Cell Carcinoma: Outcomes in Subgroups for the Lenvatinib-plus-Pembrolizumab and Sunitinib Arms. Front. Oncol. 2023, 13, 1223282. [Google Scholar] [CrossRef] [PubMed]
- Chahoud, J.; Msaouel, P.; Ross, J.A.; McCormick, B.Z.; Bathala, T.K.; Gao, J.; Horn, R.; Xiao, L.; Sircar, K.; Campbell, M.T.; et al. Outcomes of Patients with Metastatic Renal Cell Carcinoma with Sarcomatoid Dedifferentiation to Immune Checkpoint Inhibitors. Urol. Oncol. Semin. Orig. Investig. 2021, 39, 134.e9–134.e16. [Google Scholar] [CrossRef] [PubMed]
- Labaki, C.; Bakouny, Z.; Lemelin, A.; Ernst, M.S.; Takemura, K.; Wells, J.C.; Pal, S.K.; Szabados, B.; Beuselinck, B.; McKay, R.R.; et al. Efficacy of First-Line (1L) Immunotherapy (IO)-Based Regimens in Patients with Sarcomatoid and/or Rhabdoid (S/R) Metastatic Non-Clear Cell Renal Cell Carcinoma (nccRCC): Results from the International Metastatic Renal Cell Carcinoma Database Consortium (IMDC). J. Clin. Oncol. 2023, 41, 4519. [Google Scholar] [CrossRef]
- Gupta, S.; Cheville, J.C.; Jungbluth, A.A.; Zhang, Y.; Zhang, L.; Chen, Y.-B.; Tickoo, S.K.; Fine, S.W.; Gopalan, A.; Al-Ahmadie, H.A.; et al. JAK2/PD-L1/PD-L2 (9p24.1) Amplifications in Renal Cell Carcinomas with Sarcomatoid Transformation: Implications for Clinical Management. Mod. Pathol. 2019, 32, 1344–1358. [Google Scholar] [CrossRef]
- Chen, M.; Pockaj, B.; Andreozzi, M.; Barrett, M.T.; Krishna, S.; Eaton, S.; Niu, R.; Anderson, K.S. JAK2 and PD-L1 Amplification Enhance the Dynamic Expression of PD-L1 in Triple-Negative Breast Cancer. Clin. Breast Cancer 2018, 18, e1205–e1215. [Google Scholar] [CrossRef]
- Ikeda, S.; Okamoto, T.; Okano, S.; Umemoto, Y.; Tagawa, T.; Morodomi, Y.; Kohno, M.; Shimamatsu, S.; Kitahara, H.; Suzuki, Y.; et al. PD-L1 Is Upregulated by Simultaneous Amplification of the PD-L1 and JAK2 Genes in Non-Small Cell Lung Cancer. J. Thorac. Oncol. 2016, 11, 62–71. [Google Scholar] [CrossRef]
- Prestipino, A.; Emhardt, A.J.; Aumann, K.; O’Sullivan, D.; Gorantla, S.P.; Duquesne, S.; Melchinger, W.; Braun, L.; Vuckovic, S.; Boerries, M.; et al. Oncogenic JAK2V617F Causes PD-L1 Expression, Mediating Immune Escape in Myeloproliferative Neoplasms. Sci. Transl. Med. 2018, 10, eaam7729. [Google Scholar] [CrossRef]
- Shaw, V.; Zhang, B.; Tang, M.; Peng, W.; Amos, C.; Cheng, C. Racial and Socioeconomic Disparities in Survival Improvement of Eight Cancers. BJC Rep. 2024, 2, 21. [Google Scholar] [CrossRef]
- Krishnan, B.; Rose, T.L.; Kardos, J.; Milowsky, M.I.; Kim, W.Y. Intrinsic Genomic Differences Between African American and White Patients with Clear Cell Renal Cell Carcinoma. JAMA Oncol. 2016, 2, 664–667. [Google Scholar] [CrossRef] [PubMed]
- Brannon, A.R.; Reddy, A.; Seiler, M.; Arreola, A.; Moore, D.T.; Pruthi, R.S.; Wallen, E.M.; Nielsen, M.E.; Liu, H.; Nathanson, K.L.; et al. Molecular Stratification of Clear Cell Renal Cell Carcinoma by Consensus Clustering Reveals Distinct Subtypes and Survival Patterns. Genes. Cancer 2010, 1, 152–163. [Google Scholar] [CrossRef] [PubMed]
- Lichtensztajn, D.Y.; Hofer, B.M.; Leppert, J.T.; Brooks, J.D.; Chung, B.I.; Shah, S.A.; DeRouen, M.C.; Cheng, I. Associations of Renal Cell Carcinoma Subtype with Patient Demographics, Comorbidities, and Neighborhood Socioeconomic Status in the California Population. Cancer Epidemiol. Biomark. Prev. 2023, 32, 202–207. [Google Scholar] [CrossRef] [PubMed]
- Lipworth, L.; Morgans, A.K.; Edwards, T.L.; Barocas, D.A.; Chang, S.S.; Herrell, S.D.; Penson, D.F.; Resnick, M.J.; Smith, J.A.; Clark, P.E. Renal Cell Cancer Histological Subtype Distribution Differs by Race and Sex. BJU Int. 2016, 117, 260–265. [Google Scholar] [CrossRef]
- Ullah, A.; Yasinzai, A.Q.K.; Sakhalkar, O.V.; Lee, K.T.; Khan, I.; Tareen, B.; Wali, A.; Waheed, A.; Khan, J.; Andam, G.; et al. Demographic Patterns and Clinicopathological Analysis of Sarcomatoid Renal Cell Carcinoma in US Population. Clin. Genitourin. Cancer 2024, 22, 38–46. [Google Scholar] [CrossRef]
- Cai, Y.; Franceschini, N.; Surapaneni, A.; Garrett, M.E.; Tahir, U.A.; Hsu, L.; Telen, M.J.; Yu, B.; Tang, H.; Li, Y.; et al. Differences in the Circulating Proteome in Individuals with Versus Without Sickle Cell Trait. Clin. J. Am. Soc. Nephrol. 2023, 18, 1416–1425. [Google Scholar] [CrossRef]
- Massari, F.; Rizzo, A.; Mollica, V.; Rosellini, M.; Marchetti, A.; Ardizzoni, A.; Santoni, M. Immune-Based Combinations for the Treatment of Metastatic Renal Cell Carcinoma: A Meta-Analysis of Randomised Clinical Trials. Eur. J. Cancer 2021, 154, 120–127. [Google Scholar] [CrossRef]
- Guram, K.; Huang, J.; Mouchati, C.; Abdallah, N.; Jani, C.; Navani, V.; Xie, W.; El Zarif, T.; Adib, E.; Gebrael, G.; et al. Comparison of Outcomes for Hispanic and Non-Hispanic Patients with Advanced Renal Cell Carcinoma in the International Metastatic Renal Cell Carcinoma Database. Cancer 2024, 130, 2003–2013. [Google Scholar] [CrossRef]
- Quinn, D.I.; Ng, C.F.; Grande, E.; Kwon, T.G.; Linke, R.; Lee, J.-L.; Rosbrook, B.; Thakur, M.N.; Eto, M.; Gross-Goupil, M. ATLAS Trial of Adjuvant Axitinib in Patients with Renal Cell Carcinoma: Subgroup Analyses with Focus on Axitinib Dosing and Racial Groups. ESMO Open 2021, 6, 100105. [Google Scholar] [CrossRef]
- Würnschimmel, C.; Collà Ruvolo, C.; Nocera, L.; Wenzel, M.; Tian, Z.; Saad, F.; Briganti, A.; Shariat, S.F.; Mirone, V.; Chun, F.K.H.; et al. Race/Ethnicity Determines Life Expectancy in Surgically Treated T1aN0M0 Renal Cell Carcinoma Patients. Eur. Urol. Focus 2022, 8, 191–199. [Google Scholar] [CrossRef]
- Rahman, S.N.; Long, J.B.; Westvold, S.J.; Leapman, M.S.; Spees, L.P.; Hurwitz, M.E.; McManus, H.D.; Gross, C.P.; Wheeler, S.B.; Dinan, M.A. Area Vulnerability and Disparities in Therapy for Patients with Metastatic Renal Cell Carcinoma. JAMA Netw. Open 2024, 7, e248747. [Google Scholar] [CrossRef] [PubMed]
- Oyer, R.A.; Hurley, P.; Boehmer, L.; Bruinooge, S.S.; Levit, K.; Barrett, N.; Benson, A.; Bernick, L.A.; Byatt, L.; Charlot, M.; et al. Increasing Racial and Ethnic Diversity in Cancer Clinical Trials: An American Society of Clinical Oncology and Association of Community Cancer Centers Joint Research Statement. J. Clin. Oncol. 2022, 40, 2163–2171. [Google Scholar] [CrossRef] [PubMed]
- Corneli, A.; Hanlen-Rosado, E.; McKenna, K.; Araojo, R.; Corbett, D.; Vasisht, K.; Siddiqi, B.; Johnson, T.; Clark, L.T.; Calvert, S.B. Enhancing Diversity and Inclusion in Clinical Trials. Clin. Pharmacol. Ther. 2023, 113, 489–499. [Google Scholar] [CrossRef] [PubMed]
- Duma, N.; Aguilera, J.V.; Paludo, J.; Haddox, C.L.; Velez, M.G.; Wang, Y.; Leventakos, K.; Hubbard, J.M.; Mansfield, A.S.; Go, R.S.; et al. Representation of Minorities and Women in Oncology Clinical Trials: Review of the Past 14 Years. J. Oncol. Pr. 2018, 14, e1–e10. [Google Scholar] [CrossRef]
- Gan, C.L.; Stukalin, I.; Meyers, D.E.; Dudani, S.; Grosjean, H.A.I.; Dolter, S.; Ewanchuk, B.W.; Goutam, S.; Sander, M.; Wells, C.; et al. Outcomes of Patients with Solid Tumour Malignancies Treated with First-Line Immuno-Oncology Agents Who Do Not Meet Eligibility Criteria for Clinical Trials. Eur. J. Cancer 2021, 151, 115–125. [Google Scholar] [CrossRef]
- Kim, E.S.; Uldrick, T.S.; Schenkel, C.; Bruinooge, S.S.; Harvey, R.D.; Magnuson, A.; Spira, A.; Wade, J.L.; Stewart, M.D.; Vega, D.M.; et al. Continuing to Broaden Eligibility Criteria to Make Clinical Trials More Representative and Inclusive: ASCO-Friends of Cancer Research Joint Research Statement. Clin. Cancer Res. 2021, 27, 2394–2399. [Google Scholar] [CrossRef]
- Agrawal, S.; Haas, N.B.; Bagheri, M.; Lane, B.R.; Coleman, J.; Hammers, H.; Bratslavsky, G.; Chauhan, C.; Kim, L.; Krishnasamy, V.P.; et al. Eligibility and Radiologic Assessment for Adjuvant Clinical Trials in Kidney Cancer. JAMA Oncol. 2020, 6, 133–141. [Google Scholar] [CrossRef]
- Lichtman, S.M.; Harvey, R.D.; Smit, M.-A.D.; Rahman, A.; Thompson, M.A.; Roach, N.; Schenkel, C.; Bruinooge, S.S.; Cortazar, P.; Walker, D.; et al. Modernizing Clinical Trial Eligibility Criteria: Recommendations of the American Society of Clinical Oncology–Friends of Cancer Research Organ Dysfunction, Prior or Concurrent Malignancy, and Comorbidities Working Group. J. Clin. Oncol. 2017, 35, 3753–3759. [Google Scholar] [CrossRef]
- Park, J.J.H.; Hsu, G.; Siden, E.G.; Thorlund, K.; Mills, E.J. An Overview of Precision Oncology Basket and Umbrella Trials for Clinicians. CA Cancer J. Clin. 2020, 70, 125–137. [Google Scholar] [CrossRef]
- Sagie, S.; Sarfaty, M.; Levartovsky, M.; Sorotsky, H.G.; Berger, R.; Percik, R.; Gadot, M. RCC Real-World Data: Prognostic Factors and Risk Stratification in the Immunotherapy Era. Cancers 2022, 14, 3127. [Google Scholar] [CrossRef]
- Kato, T.; Furukawa, J.; Hinata, N.; Ueda, K.; Hara, I.; Hongo, F.; Mizuno, R.; Okamoto, T.; Okuno, H.; Ito, T.; et al. Real-World Outcomes of Avelumab plus Axitinib in Patients with Advanced Renal Cell Carcinoma in Japan: Long-Term Follow-up from the J-DART2 Retrospective Study. Int. J. Clin. Oncol. 2024, 30, 99–109. [Google Scholar] [CrossRef] [PubMed]
- Santini, D.; Li, H.; Roviello, G.; Park, S.H.; Grande, E.; Kucharz, J.; Basso, U.; Fiala, O.; Monteiro, F.S.M.; Poprach, A.; et al. Real-World Primary Resistance to First-Line Immune-Based Combinations in Patients with Advanced Renal Cell Carcinoma (ARON-1). Target. Oncol. 2024, 19, 893–903. [Google Scholar] [CrossRef] [PubMed]
- Santoni, M.; Buti, S.; Myint, Z.W.; Maruzzo, M.; Iacovelli, R.; Pichler, M.; Kopecky, J.; Kucharz, J.; Rizzo, M.; Galli, L.; et al. Real-World Outcome of Patients with Advanced Renal Cell Carcinoma and Intermediate- or Poor-Risk International Metastatic Renal Cell Carcinoma Database Consortium Criteria Treated by Immune-Oncology Combinations: Differential Effectiveness by Risk Group? Eur. Urol. Oncol. 2024, 7, 102–111. [Google Scholar] [CrossRef] [PubMed]
- Waddell, T.; Pillai, M.; Armitage, K.; Graham, D.M.; Moran, M.; Dilleen, M.; Holmes, S.; Śleszyńska-Dopiera, E.; Hawkins, R. Real-World Effectiveness of First- and Second-Line Anti-Angiogenesis Therapy in RCC: Analysis of a UK-Based Population. Future Oncol. 2024, 20, 2547–2558. [Google Scholar] [CrossRef]
- Bhavsar, N.A.; Harrison, M.R.; Scales, C.D.; Zhang, T.; Troy, J.; Ward, K.; Jabusch, S.M.; Lampron, Z.; George, D.J. Design and Rationale of the Outcomes Database to Prospectively Assess the Changing Therapy Landscape in Renal Cell Carcinoma Registry: A Multi-Institutional, Prospective Study of Patients with Metastatic Renal Cell Carcinoma. Eur. Urol. Open Sci. 2024, 66, 75–81. [Google Scholar] [CrossRef]
- Hermans, S.J.F.; van der Maas, N.G.; van Norden, Y.; Dinmohamed, A.G.; Berkx, E.; Huijgens, P.C.; Rivera, D.R.; de Claro, R.A.; Pignatti, F.; Versluis, J.; et al. Externally Controlled Studies Using Real-World Data in Patients With Hematological Cancers: A Systematic Review. JAMA Oncol. 2024, 10, 1426–1436. [Google Scholar] [CrossRef]
- Li, G.X.; Chen, L.; Hsiao, Y.; Mannan, R.; Zhang, Y.; Luo, J.; Petralia, F.; Cho, H.; Hosseini, N.; Leprevost, F.d.V.; et al. Comprehensive Proteogenomic Characterization of Rare Kidney Tumors. Cell Rep. Med. 2024, 5, 101547. [Google Scholar] [CrossRef]
- Carlo, M.I.; Khan, N.; Zehir, A.; Patil, S.; Ged, Y.; Redzematovic, A.; Coskey, D.T.; Hyman, D.M.; Ladanyi, M.; Chen, Y.-B.; et al. Comprehensive Genomic Analysis of Metastatic Non–Clear-Cell Renal Cell Carcinoma to Identify Therapeutic Targets. JCO Precis. Oncol. 2019, 3, 1–18. [Google Scholar] [CrossRef]
- Ma, L.; Guo, H.; Zhao, Y.; Liu, Z.; Wang, C.; Bu, J.; Sun, T.; Wei, J. Liquid Biopsy in Cancer: Current Status, Challenges and Future Prospects. Signal Transduct. Target. Ther. 2024, 9, 336. [Google Scholar] [CrossRef]
- Zieren, R.C.; Zondervan, P.J.; Pienta, K.J.; Bex, A.; de Reijke, T.M.; Bins, A.D. Diagnostic Liquid Biopsy Biomarkers in Renal Cell Cancer. Nat. Rev. Urol. 2024, 21, 133–157. [Google Scholar] [CrossRef]
- Ivanova, E.; Fayzullin, A.; Grinin, V.; Ermilov, D.; Arutyunyan, A.; Timashev, P.; Shekhter, A. Empowering Renal Cancer Management with AI and Digital Pathology: Pathology, Diagnostics and Prognosis. Biomedicines 2023, 11, 2875. [Google Scholar] [CrossRef]
- Zhu, M.; Ren, B.; Richards, R.; Suriawinata, M.; Tomita, N.; Hassanpour, S. Development and Evaluation of a Deep Neural Network for Histologic Classification of Renal Cell Carcinoma on Biopsy and Surgical Resection Slides. Sci. Rep. 2021, 11, 7080. [Google Scholar] [CrossRef]
- Fenstermaker, M.; Tomlins, S.A.; Singh, K.; Wiens, J.; Morgan, T.M. Development and Validation of a Deep-Learning Model to Assist with Renal Cell Carcinoma Histopathologic Interpretation. Urology 2020, 144, 152–157. [Google Scholar] [CrossRef]
- Tabibu, S.; Vinod, P.K.; Jawahar, C.V. Pan-Renal Cell Carcinoma Classification and Survival Prediction from Histopathology Images Using Deep Learning. Sci. Rep. 2019, 9, 10509. [Google Scholar] [CrossRef]
- Marostica, E.; Barber, R.; Denize, T.; Kohane, I.S.; Signoretti, S.; Golden, J.A.; Yu, K.-H. Development of a Histopathology Informatics Pipeline for Classification and Prediction of Clinical Outcomes in Subtypes of Renal Cell Carcinoma. Clin. Cancer Res. 2021, 27, 2868–2878. [Google Scholar] [CrossRef]
- Bera, K.; Braman, N.; Gupta, A.; Velcheti, V.; Madabhushi, A. Predicting Cancer Outcomes with Radiomics and Artificial Intelligence in Radiology. Nat. Rev. Clin. Oncol. 2022, 19, 132–146. [Google Scholar] [CrossRef]
- Uhlig, A.; Uhlig, J.; Leha, A.; Biggemann, L.; Bachanek, S.; Stöckle, M.; Reichert, M.; Lotz, J.; Zeuschner, P.; Maßmann, A. Radiomics and Machine Learning for Renal Tumor Subtype Assessment Using Multiphase Computed Tomography in a Multicenter Setting. Eur. Radiol. 2024, 34, 6254–6263. [Google Scholar] [CrossRef]
- Kocak, B.; Yardimci, A.H.; Bektas, C.T.; Turkcanoglu, M.H.; Erdim, C.; Yucetas, U.; Koca, S.B.; Kilickesmez, O. Textural Differences Between Renal Cell Carcinoma Subtypes: Machine Learning-Based Quantitative Computed Tomography Texture Analysis with Independent External Validation. Eur. J. Radiol. 2018, 107, 149–157. [Google Scholar] [CrossRef]
- Rasmussen, R.; Sanford, T.; Parwani, A.V.; Pedrosa, I. Artificial Intelligence in Kidney Cancer. Am. Soc. Clin. Oncol. Educ. Book 2022, 42, 300–310. [Google Scholar] [CrossRef]
- Margue, G.; Ferrer, L.; Etchepare, G.; Bigot, P.; Bensalah, K.; Mejean, A.; Roupret, M.; Doumerc, N.; Ingels, A.; Boissier, R.; et al. UroPredict: Machine Learning Model on Real-World Data for Prediction of Kidney Cancer Recurrence (UroCCR-120). NPJ Precis. Oncol. 2024, 8, 45. [Google Scholar] [CrossRef]
- Azuaje, F. Artificial Intelligence for Precision Oncology: Beyond Patient Stratification. NPJ Precis. Oncol. 2019, 3, 6. [Google Scholar] [CrossRef]
- Rogers, C.G.; Singh, A.; Blatt, A.M.; Linehan, W.M.; Pinto, P.A. Robotic Partial Nephrectomy for Complex Renal Tumors: Surgical Technique. Eur. Urol. 2008, 53, 514–523. [Google Scholar] [CrossRef][Green Version]
- Chen, X.-B.; Li, Y.-G.; Wu, T.; Du, Z.-B.; Tan, C.-L.; Zhang, Q.; Yu, X.-D. Perioperative, Oncologic, and Functional Outcomes of Robot-Assisted Partial Nephrectomy for Special Types of Renal Tumors (Hilar, Endophytic, or Cystic): An Evidence-Based Analysis of Comparative Outcomes. Front. Oncol. 2023, 13, 1178592. [Google Scholar] [CrossRef]
- Phung, M.C.; Lee, B.R. Recent Advancements of Robotic Surgery for Kidney Cancer. Asian J. Endosc. Surg. 2018, 11, 300–307. [Google Scholar] [CrossRef]
- Mihai, I.; Dura, H.; Teodoru, C.A.; Todor, S.B.; Ichim, C.; Grigore, N.; Mohor, C.I.; Mihetiu, A.; Oprinca, G.; Bacalbasa, N.; et al. Intraoperative Ultrasound: Bridging the Gap Between Laparoscopy and Surgical Precision During 3D Laparoscopic Partial Nephrectomies. Diagnostics 2024, 14, 942. [Google Scholar] [CrossRef]
- Gurung, P.M.S.; Melnyk, R.; Holler, T.; Oppenhimer, D.; Witthaus, M.; Rashid, H.H.; Frye, T.P.; Wu, G.; Joseph, J.V.; Ghazi, A.E. Application of IRIS Three-Dimensional Anatomical Models As Preoperative Surgical Planning Tools in the Management of Localized Renal Masses. J. Endourol. 2021, 35, 383–389. [Google Scholar] [CrossRef]
- Fan, G.; Li, J.; Li, M.; Ye, M.; Pei, X.; Li, F.; Zhu, S.; Weiqin, H.; Zhou, X.; Xie, Y. Three-Dimensional Physical Model-Assisted Planning and Navigation for Laparoscopic Partial Nephrectomy in Patients with Endophytic Renal Tumors. Sci. Rep. 2018, 8, 582. [Google Scholar] [CrossRef]
- Nayyar, R.; Sharma, K.; Saini, S.; Das, C.J.; Singh, P.; Nayak, B.; Panaiyadiyan, S.; Seth, A. Clinical Value of Patient-Specific Three-Dimensional Printing of Kidney Before Partial Nephrectomy: A Qualitative Assessment. J. Endourol. 2021, 35, 1405–1410. [Google Scholar] [CrossRef]
- Hong, X.; Yu, C.; Bi, J.; Liu, Q.; Wang, Q. TIGIT May Serve as a Potential Target for the Immunotherapy of Renal Cell Carcinoma. Adv. Biol. 2024, 8, e2300050. [Google Scholar] [CrossRef]
- Perales, O.; Jilaveanu, L.; Adeniran, A.; Su, D.G.; Hurwitz, M.; Braun, D.A.; Kluger, H.M.; Schoenfeld, D.A. TIGIT Expression in Renal Cell Carcinoma Infiltrating T Cells Is Variable and Inversely Correlated with PD-1 and LAG3. Cancer Immunol. Immunother. 2024, 73, 192. [Google Scholar] [CrossRef]
- Zhang, P.; Liu, X.; Gu, Z.; Jiang, Z.; Zhao, S.; Song, Y.; Yu, J. Targeting TIGIT for Cancer Immunotherapy: Recent Advances and Future Directions. Biomark. Res. 2024, 12, 7. [Google Scholar] [CrossRef]
- Lee, S.J.; Byeon, S.-J.; Lee, J.; Park, S.H.; Park, J.O.; Park, Y.S.; Kang, W.K.; Lim, H.Y.; Kim, K.-M.; Kim, S.T. LAG3 in Solid Tumors as a Potential Novel Immunotherapy Target. J. Immunother. 2019, 42, 279–283. [Google Scholar] [CrossRef]
- Alqurashi, Y.E. Lymphocyte-Activation Gene 3 (LAG-3) as a Promising Immune Checkpoint in Cancer Immunotherapy: From Biology to the Clinic. Pathol. Res. Pract. 2024, 254, 155124. [Google Scholar] [CrossRef]
- Zelba, H.; Bedke, J.; Hennenlotter, J.; Mostböck, S.; Zettl, M.; Zichner, T.; Chandran, A.; Stenzl, A.; Rammensee, H.-G.; Gouttefangeas, C. PD-1 and LAG-3 Dominate Checkpoint Receptor-Mediated T-Cell Inhibition in Renal Cell Carcinoma. Cancer Immunol. Res. 2019, 7, 1891–1899. [Google Scholar] [CrossRef]
- Acharya, N.; Sabatos-Peyton, C.; Anderson, A.C. Tim-3 Finds Its Place in the Cancer Immunotherapy Landscape. J. Immunother. Cancer 2020, 8, e000911. [Google Scholar] [CrossRef]
- Zhang, X.; Yin, X.; Zhang, H.; Sun, G.; Yang, Y.; Chen, J.; Shu, K.; Zhao, J.; Zhao, P.; Chen, N.; et al. Differential Expression of TIM-3 Between Primary and Metastatic Sites in Renal Cell Carcinoma. BMC Cancer 2019, 19, 49. [Google Scholar] [CrossRef]
- Granier, C.; Dariane, C.; Combe, P.; Verkarre, V.; Urien, S.; Badoual, C.; Roussel, H.; Mandavit, M.; Ravel, P.; Sibony, M.; et al. Tim-3 Expression on Tumor-Infiltrating PD-1+CD8+ T Cells Correlates with Poor Clinical Outcome in Renal Cell Carcinoma. Cancer Res. 2017, 77, 1075–1082. [Google Scholar] [CrossRef]
- Harding, J.J.; Moreno, V.; Bang, Y.-J.; Hong, M.H.; Patnaik, A.; Trigo, J.; Szpurka, A.M.; Yamamoto, N.; Doi, T.; Fu, S.; et al. Blocking TIM-3 in Treatment-Refractory Advanced Solid Tumors: A Phase Ia/b Study of LY3321367 with or Without an Anti-PD-L1 Antibody. Clin. Cancer Res. 2021, 27, 2168–2178. [Google Scholar] [CrossRef]
- Gao, A.; Liu, X.; Lin, W.; Wang, J.; Wang, S.; Si, F.; Huang, L.; Zhao, Y.; Sun, Y.; Peng, G. Tumor-Derived ILT4 Induces T Cell Senescence and Suppresses Tumor Immunity. J. Immunother. Cancer 2021, 9, e001536. [Google Scholar] [CrossRef]
- Chen, H.-M.; van der Touw, W.; Wang, Y.S.; Kang, K.; Mai, S.; Zhang, J.; Alsina-Beauchamp, D.; Duty, J.A.; Mungamuri, S.K.; Zhang, B.; et al. Blocking Immunoinhibitory Receptor LILRB2 Reprograms Tumor-Associated Myeloid Cells and Promotes Antitumor Immunity. J. Clin. Investig. 2018, 128, 5647–5662. [Google Scholar] [CrossRef]
- Gao, A.; Sun, Y.; Peng, G. ILT4 Functions as a Potential Checkpoint Molecule for Tumor Immunotherapy. Biochim. Biophys. Acta Rev. Cancer 2018, 1869, 278–285. [Google Scholar] [CrossRef]
- Chen, X.; Gao, A.; Zhang, F.; Yang, Z.; Wang, S.; Fang, Y.; Li, J.; Wang, J.; Shi, W.; Wang, L.; et al. ILT4 Inhibition Prevents TAM- and Dysfunctional T Cell-Mediated Immunosuppression and Enhances the Efficacy of Anti-PD-L1 Therapy in NSCLC with EGFR Activation. Theranostics 2021, 11, 3392–3416. [Google Scholar] [CrossRef]
- Siu, L.L.; Wang, D.; Hilton, J.; Geva, R.; Rasco, D.; Perets, R.; Abraham, A.K.; Wilson, D.C.; Markensohn, J.F.; Lunceford, J.; et al. First-in-Class Anti-Immunoglobulin–Like Transcript 4 Myeloid-Specific Antibody MK-4830 Abrogates a PD-1 Resistance Mechanism in Patients with Advanced Solid Tumors. Clin. Cancer Res. 2022, 28, 57–70. [Google Scholar] [CrossRef]
- Sager, R.A.; Backe, S.J.; Ahanin, E.; Smith, G.; Nsouli, I.; Woodford, M.R.; Bratslavsky, G.; Bourboulia, D.; Mollapour, M. Therapeutic Potential of CDK4/6 Inhibitors in Renal Cell Carcinoma. Nat. Rev. Urol. 2022, 19, 305–320. [Google Scholar] [CrossRef]
- National Cancer Institute (NCI). A Phase I & II Study of Palbociclib and Sasanlimab for the Treatment of Advanced Clear Cell Renal Cell Carcinoma (ccRCC) or Papillary Renal Cell Carcinoma (pRCC). 2024. Available online: https://clinicaltrials.gov/ (accessed on 11 December 2024).
- Rosen, E.Y.; Shukla, N.N.; Bender, J.L.G. EZH2 Inhibition: It’s All About the Context. J. Natl. Cancer Inst. 2023, 115, 1246–1248. [Google Scholar] [CrossRef]
- Liu, L.; Xu, Z.; Zhong, L.; Wang, H.; Jiang, S.; Long, Q.; Xu, J.; Guo, J. Enhancer of Zeste Homolog 2 (EZH2) Promotes Tumour Cell Migration and Invasion via Epigenetic Repression of E-Cadherin in Renal Cell Carcinoma. BJU Int. 2016, 117, 351–362. [Google Scholar] [CrossRef]
- Zhang, D.; Yang, X.-J.; Luo, Q.-D.; Fu, D.-L.; Li, H.-L.; Li, H.-C.; Zhang, P.; Chong, T. EZH2 Enhances the Invasive Capability of Renal Cell Carcinoma Cells via Activation of STAT3. Mol. Med. Rep. 2018, 17, 3621–3626. [Google Scholar] [CrossRef]
- Epizyme, Inc. A Phase II, Multicenter Study of the EZH2 Inhibitor Tazemetostat in Adult Subjects with INI1-Negative Tumors or Relapsed & Refractory Synovial Sarcoma. 2024. Available online: https://clinicaltrials.gov/ (accessed on 11 December 2024).
- An, J.; Sun, Y.; Fisher, M.; Rettig, M.B. Maximal Apoptosis of Renal Cell Carcinoma by the Proteasome Inhibitor Bortezomib Is Nuclear Factor-kappaB Dependent. Mol. Cancer Ther. 2004, 3, 727–736. [Google Scholar] [CrossRef]
- von Schwarzenberg, K.; Held, S.A.E.; Schaub, A.; Brauer, K.M.; Bringmann, A.; Brossart, P. Proteasome Inhibition Overcomes the Resistance of Renal Cell Carcinoma Cells Against the PPARγ Ligand Troglitazone. Cell. Mol. Life Sci. 2009, 66, 1295–1308. [Google Scholar] [CrossRef]
- Brooks, A.D.; Jacobsen, K.M.; Li, W.; Shanker, A.; Sayers, T.J. Bortezomib Sensitizes Human Renal Cell Carcinomas to TRAIL Apoptosis Through Increased Activation of Caspase-8 in the Death-Inducing Signaling Complex. Mol. Cancer Res. 2010, 8, 729–738. [Google Scholar] [CrossRef]
- Li, J.; Pohl, L.; Schüler, J.; Korzeniewski, N.; Reimold, P.; Kaczorowski, A.; Hou, W.; Zschäbitz, S.; Nientiedt, C.; Jäger, D.; et al. Targeting the Proteasome in Advanced Renal Cell Carcinoma: Complexity and Limitations of Patient-Individualized Preclinical Drug Discovery. Biomedicines 2021, 9, 627. [Google Scholar] [CrossRef]
- Abt, D.; Besse, A.; Sedlarikova, L.; Kraus, M.; Bader, J.; Silzle, T.; Vodinska, M.; Slaby, O.; Schmid, H.-P.; Engeler, D.S.; et al. Improving the Efficacy of Proteasome Inhibitors in the Treatment of Renal Cell Carcinoma by Combination with the Human Immunodeficiency Virus (HIV)-Protease Inhibitors Lopinavir or Nelfinavir. BJU Int. 2018, 121, 600–609. [Google Scholar] [CrossRef]
- Fu, Z.; Li, S.; Han, S.; Shi, C.; Zhang, Y. Antibody Drug Conjugate: The “Biological Missile” for Targeted Cancer Therapy. Signal Transduct. Target. Ther. 2022, 7, 93. [Google Scholar] [CrossRef]
- Thompson, J.A.; Motzer, R.J.; Molina, A.M.; Choueiri, T.K.; Heath, E.I.; Redman, B.G.; Sangha, R.S.; Ernst, D.S.; Pili, R.; Kim, S.K.; et al. Phase I Trials of Anti-ENPP3 Antibody–Drug Conjugates in Advanced Refractory Renal Cell Carcinomas. Clin. Cancer Res. 2018, 24, 4399–4406. [Google Scholar] [CrossRef]
- McGregor, B.A.; Gordon, M.; Flippot, R.; Agarwal, N.; George, S.; Quinn, D.I.; Rogalski, M.; Hawthorne, T.; Keler, T.; Choueiri, T.K. Safety and Efficacy of CDX-014, an Antibody-Drug Conjugate Directed Against T Cell Immunoglobulin Mucin-1 in Advanced Renal Cell Carcinoma. Investig. New Drugs 2020, 38, 1807–1814. [Google Scholar] [CrossRef]
- Ye, H.; Huang, R.R.; Shuch, B.M.; Chen, Z.; Said, J.W.; Pantuck, A.J.; Panowski, S. CD70 Is a Promising CAR-T Cell Target in Patients with Advanced Renal Cell Carcinoma. J. Clin. Oncol. 2022, 40, 384. [Google Scholar] [CrossRef]
- Pal, S.K.; Forero-Torres, A.; Thompson, J.A.; Morris, J.C.; Chhabra, S.; Hoimes, C.J.; Vogelzang, N.J.; Boyd, T.; Bergerot, P.G.; Adashek, J.J.; et al. A Phase 1 Trial of SGN-CD70A in Patients with CD70-Positive, Metastatic Renal Cell Carcinoma. Cancer 2019, 125, 1124–1132. [Google Scholar] [CrossRef]
- Einstein, D.J.; Halbert, B.; Denize, T.; Matar, S.; West, D.J.; Gupta, M.; Andrianopoulos, E.; Seery, V.; Herman, C.; Onimus, K.; et al. Generation and Characterization of Ex Vivo Expanded Tumor-Infiltrating Lymphocytes from Renal Cell Carcinoma Tumors for Adoptive Cell Therapy. J. Immunother. 2024, 47, 361–368. [Google Scholar] [CrossRef]
- Potez, M.; Alkhouli, M.; Ali, J.; Carter, M.; Beatty, M.; Pilon-Thomas, S.; Chahoud, J. Abstract B023: Using Hypoxia to Improve Tumor Infiltrating Lymphocytes Therapy in Different Subtypes of Renal Cell Carcinoma. Cancer Res. 2023, 83, B023. [Google Scholar] [CrossRef]
- Wang, S.; Sun, J.; Chen, K.; Ma, P.; Lei, Q.; Xing, S.; Cao, Z.; Sun, S.; Yu, Z.; Liu, Y.; et al. Perspectives of Tumor-Infiltrating Lymphocyte Treatment in Solid Tumors. BMC Med. 2021, 19, 140. [Google Scholar] [CrossRef]
- Meraviglia, S.; Eberl, M.; Vermijlen, D.; Todaro, M.; Buccheri, S.; Cicero, G.; La Mendola, C.; Guggino, G.; D’Asaro, M.; Orlando, V.; et al. In Vivo Manipulation of Vγ9Vδ2 T Cells with Zoledronate and Low-Dose Interleukin-2 for Immunotherapy of Advanced Breast Cancer Patients. Clin. Exp. Immunol. 2010, 161, 290–297. [Google Scholar] [CrossRef]
- Bennouna, J.; Bompas, E.; Neidhardt, E.M.; Rolland, F.; Philip, I.; Galéa, C.; Salot, S.; Saiagh, S.; Audrain, M.; Rimbert, M.; et al. Phase-I study of Innacell γδ™, an autologous cell-therapy product highly enriched in γ9δ2 T lymphocytes, in combination with IL-2, in patients with metastatic renal cell carcinoma. Cancer Immunol. Immunother. 2008, 57, 1599–1609. [Google Scholar] [CrossRef]
- Nakajima, J.; Murakawa, T.; Fukami, T.; Goto, S.; Kaneko, T.; Yoshida, Y.; Takamoto, S.; Kakimi, K. A Phase I Study of Adoptive Immunotherapy for Recurrent Non-Small-Cell Lung Cancer Patients with Autologous gammadelta T cells. Eur. J. Cardio-Thorac. Surg. 2010, 37, 1191–1197. [Google Scholar] [CrossRef]
- Rancan, C.; Arias-Badia, M.; Dogra, P.; Chen, B.; Aran, D.; Yang, H.; Luong, D.; Ilano, A.; Li, J.; Chang, H.; et al. Exhausted Intratumoral Vδ2− Γδ T Cells in Human Kidney Cancer Retain Effector Function. Nat. Immunol. 2023, 24, 612–624. [Google Scholar] [CrossRef]
- Wang, Y.; Suarez, E.R.; Kastrunes, G.; de Campos, N.S.P.; Abbas, R.; Pivetta, R.S.; Murugan, N.; Chalbatani, G.M.; D’Andrea, V.; Marasco, W.A. Evolution of Cell Therapy for Renal Cell Carcinoma. Mol. Cancer 2024, 23, 8. [Google Scholar] [CrossRef]
- Kim, T.J.; Lee, Y.H.; Koo, K.C. Current and Future Perspectives on CAR-T Cell Therapy for Renal Cell Carcinoma: A Comprehensive Review. Investig. Clin. Urol. 2022, 63, 486–498. [Google Scholar] [CrossRef]
- Pal, S.K.; Tran, B.; Haanen, J.B.A.G.; Hurwitz, M.E.; Sacher, A.; Tannir, N.M.; Budde, L.E.; Harrison, S.J.; Klobuch, S.; Patel, S.S.; et al. CD70-Targeted Allogeneic CAR T-Cell Therapy for Advanced Clear Cell Renal Cell Carcinoma. Cancer Discov. 2024, 14, 1176–1189. [Google Scholar] [CrossRef]
- Pal, S.; Tran, B.; Haanen, J.; Hurwitz, M.; Sacher, A.; Agarwal, N.; Tannir, N.; Budde, E.; Harrison, S.; Klobuch, S.; et al. 558 CTX130 Allogeneic CRISPR-Cas9–Engineered Chimeric Antigen Receptor (CAR) T Cells in Patients with Advanced Clear Cell Renal Cell Carcinoma: Results from the Phase 1 COBALT-RCC Study. J. Immunother. Cancer 2022, 10, A1-A1595. [Google Scholar] [CrossRef]
- Zhang, Q.; Tian, K.; Xu, J.; Zhang, H.; Li, L.; Fu, Q.; Chai, D.; Li, H.; Zheng, J. Synergistic Effects of Cabozantinib and EGFR-Specific CAR-NK-92 Cells in Renal Cell Carcinoma. J. Immunol. Res. 2017, 2017, 6915912. [Google Scholar] [CrossRef]
- Gong, Y.; Wolterink, R.G.J.K.; Wang, J.; Bos, G.M.J.; Germeraad, W.T.V. Chimeric Antigen Receptor Natural Killer (CAR-NK) Cell Design and Engineering for Cancer Therapy. J. Hematol. Oncol. 2021, 14, 73. [Google Scholar] [CrossRef]
- Schlenker, R.; Olguín-Contreras, L.F.; Leisegang, M.; Schnappinger, J.; Disovic, A.; Rühland, S.; Nelson, P.J.; Leonhardt, H.; Harz, H.; Wilde, S.; et al. Chimeric PD-1:28 Receptor Upgrades Low-Avidity T Cells and Restores Effector Function of Tumor-Infiltrating Lymphocytes for Adoptive Cell Therapy. Cancer Res. 2017, 77, 3577–3590. [Google Scholar] [CrossRef]
- Berntsen, A.; Trepiakas, R.; Wenandy, L.; Geertsen, P.F.; Straten, P.T.; Andersen, M.H.; Pedersen, A.E.; Claesson, M.H.; Lorentzen, T.; Johansen, J.S.; et al. Therapeutic Dendritic Cell Vaccination of Patients with Metastatic Renal Cell Carcinoma: A Clinical Phase 1/2 Trial. J. Immunother. 2008, 31, 771–780. [Google Scholar] [CrossRef]
- Gau, D.; Taylor, J.; Storkus, W.; Roy, P. 40 Preclinical Evaluation of a Novel Dendritic Cell Vaccine for Kidney Cancer. Oncologist 2024, 29, S24–S25. [Google Scholar] [CrossRef]
- Li, C.M.Y.; Li, R.; Drew, P.; Price, T.; Smith, E.; Maddern, G.J.; Tomita, Y.; Fenix, K. Clinical Application of Cytokine-Induced Killer (CIK) Cell Therapy in Colorectal Cancer: Current Strategies and Future Challenges. Cancer Treat. Rev. 2024, 122, 102665. [Google Scholar] [CrossRef]
- Wang, Z.; Liu, X.; Till, B.; Sun, M.; Li, X.; Gao, Q. Combination of Cytokine-Induced Killer Cells and Programmed Cell Death-1 Blockade Works Synergistically to Enhance Therapeutic Efficacy in Metastatic Renal Cell Carcinoma and Non-Small Cell Lung Cancer. Front. Immunol. 2018, 9, 1513. [Google Scholar] [CrossRef]
- Yang, Y.; Lin, H.; Zhao, L.; Song, Y.; Gao, Q. Combination of Sorafenib and Cytokine-Induced Killer Cells in Metastatic Renal Cell Carcinoma: A Potential Regimen. Immunotherapy 2017, 9, 629–635. [Google Scholar] [CrossRef]
- Chen, C.-L.; Pan, Q.-Z.; Weng, D.-S.; Xie, C.-M.; Zhao, J.-J.; Chen, M.-S.; Peng, R.-Q.; Li, D.-D.; Wang, Y.; Tang, Y.; et al. Safety and Activity of PD-1 Blockade-Activated DC-CIK Cells in Patients with Advanced Solid Tumors. Oncoimmunology 2018, 7, e1417721. [Google Scholar] [CrossRef]
- Mai, H.-X.; Mei, G.-H.; Zhao, F.-L.; Li, B.-T.; Tang, Y.-Y.; Zhang, B.; Xu, X.-J.; Chen, L.-J. Retrospective Analysis on the Efficacy of Sunitinib/Sorafenib in Combination with Dendritic Cells-Cytokine-Induced Killer in Metastasis Renal Cell Carcinoma After Radical Nephrectomy. J. Cancer Res. Ther. 2018, 14, S427–S432. [Google Scholar] [CrossRef]
- Cui, Y.; Yang, X.; Zhu, W.; Li, J.; Wu, X.; Pang, Y. Immune Response, Clinical Outcome and Safety of Dendritic Cell Vaccine in Combination with Cytokine-Induced Killer Cell Therapy in Cancer Patients. Oncol. Lett. 2013, 6, 537–541. [Google Scholar] [CrossRef]
- Wang, D.; Zhang, B.; Gao, H.; Ding, G.; Wu, Q.; Zhang, J.; Liao, L.; Chen, H. Clinical Research of Genetically Modified Dendritic Cells in Combination with Cytokine-Induced Killer Cell Treatment in Advanced Renal Cancer. BMC Cancer 2014, 14, 251. [Google Scholar] [CrossRef]



| ICI Monotherapy | |||||
|---|---|---|---|---|---|
| Trial | Phase | Setting | Population | Treatment | Results |
| AcSé | II | 1st line or later | 50 patients with unresectable locally advanced or metastatic nccRCC | Nivolumab |
|
| CheckMate 374 | IIIb/IV | 2nd line or later | 44 patients with advanced nccRCC | Nivolumab |
|
| KEYNOTE-427 | II | 1st line | 165 patients with advanced nccRCC | Pembrolizumab |
|
| GU16-260 (Cohort B) | II | 1st line | 35 patients with advanced nccRCC | Nivolumab, optional salvage Nivolumab + Ipilimumab |
|
| ANZUP 1602 (Part 1) | II | ICI-naïve | 83 patients with metastatic or unresectable nccRCC | Part 1: Nivolumab |
|
| TKI Monotherapy | |||||
| Trial | Phase | Setting | Population | Treatment(s) | Results |
| SWOG S0317 | II | 1st line | 45 patients with locally advanced or metastatic papillary RCC | Erlotinib |
|
| NCT00726323 | II | 1st or 2nd line | 74 patients with metastatic papillary RCC | Foretinib |
|
| CREATE | II | Relapsed/refractory | 23 patients with advanced or metastatic type 1 papillary RCC | Crizotinib |
|
| AXIPAP | II | 1st line | 44 patients with locally advanced or metastatic papillary RCC | Axitinib |
|
| SAVOIR | III | 1st or 2nd line | 60 patients with MET-driven metastatic papillary RCC | Savolitinib vs. sunitinib |
|
| BONSAI | II | 1st line | 23 patients with metastatic collecting duct RCC | Cabozantinib |
|
| CABOSUN II a | II | 1st line | 32 patients with advanced nccRCC | Cabozantinib vs. sunitinib |
|
| ANZUP 1802 | II | ICI-ineligible or refractory | 33 patients with locally advanced or metastatic nccRCC | Cabozantinib |
|
| PAPMET b | II | 1st or 2nd line | 147 patients with advanced papillary RCC | Cabozantinib, crizotinib, or savolitinib vs. sunitinib |
|
| Combination Therapy | |||||
| Trial | Phase | Setting | Population | Treatments | Results |
| SWOG S1107 c | II | 1st or 2nd line | 50 patients with locally advanced or metastatic papillary RCC | Tivantinib ± erlotinib |
|
| NCT02724878 | II | ICI-naïve | 60 patients with metastatic RCC with variant histology and/or sarcomatoid features | Bevacizumab + atezolizumab |
|
| CheckMate 920 | IIIb/IV | 1st line | 52 patients with advanced or metastatic nccRCC | Nivolumab + ipilimumab |
|
| COSMIC-021 | Ib/II | 1st or 2nd line | 32 patients with advanced nccRCC | Cabozantinib + atezolizumab |
|
| CALYPSO | I/II | VEGF treatment naïve or treatment refractory | 41 patients with metastatic papillary RCC | Durvalumab + savolitinib |
|
| ANZUP 1602 (Part 2) | II | ICI-naïve | 41 patients with metastatic or unresectable nccRCC refractory to Nivolumab | Part 2: Salvage nivolumab + ipilimumab (up to 4 doses) |
|
| KEYNOTE-B61 | II | 1st line | 158 patients with advanced nccRCC | Lenvatinib + pembrolizumab |
|
| CA209-9KU | II | 1st or 2nd line | 40 patients with advanced or metastatic nccRCC | Cabozantinib + nivolumab |
|
| SUNNIFORECAST | II | 1st line | 309 patients with advanced nccRCC | Nivolumab + ipilimumab vs. SOC |
|
| Trial | Phase | Population | Treatment(s) | Results by Histologic Subtype |
|---|---|---|---|---|
| KEYNOTE-427 | II | 165 patients with advanced nccRCC
| Pembrolizumab |
|
| KEYNOTE-B61 | II | 158 patients with advanced nccRCC:
| Lenvatinib + pembrolizumab |
|
| CA209-9KU | II | 40 patients with advanced or metastatic nccRCC:
| Cabozantinib + nivolumab |
|
| PAPMET | II | 44 patients with advanced papillary RCC | Cabozantinib |
|
| PAPMET | II | 46 patients with advanced papillary RCC | Sunitinib |
|
| Trial | Phase | Setting | Treatments | Results |
|---|---|---|---|---|
| KEYNOTE-426 | III | 1st line | Pembrolizumab + axitinib vs. sunitinib |
|
| CheckMate 214 | III | 1st line | Nivolumab + ipilimumab vs. sunitinib |
|
| CheckMate 9ER | III | 1st line | Nivolumab + cabozantinib vs. sunitinib |
|
| JAVELIN RCC 101 | III | 1st line | Avelumab + axitinib vs. sunitinib |
|
| ImMotion151 | III | 1st line | Atezolizumab + bevacizumab vs. sunitinib |
|
| CLEAR | III | 1st line | Lenvatinib + pembrolizumab vs. sunitinib |
|
| Monotherapy | ||||
|---|---|---|---|---|
| Trial | Phase | Setting | Treatment | Results |
| KEYNOTE-427 | II | 1st line | Pembrolizumab |
|
| Combination Therapy | ||||
| Trial | Phase | Setting | Treatments | Results |
| NCT02724878 | II | 1st line | Atezolizumab + bevacizumab |
|
| CheckMate 920 | IIIb/IV | 1st Line | Nivolumab + ipilimumab |
|
| NCT Number | Histology | Treatment(s) | Phase | Status |
|---|---|---|---|---|
| NCT05347212 | Renal medullary carcinoma | Nivolumab + relatimab | II | Active, not recruiting |
| NCT05286801 | Renal medullary carcinoma and SMARCB1 or SMARCA4 deficient tumors | Tiragolumab + atezolizumab | II | Recruiting |
| NCT06161532 | Renal medullary carcinoma | Sacituzumab govitecan ± atezolizumab | II | Recruiting |
| NCT06302569 | Renal medullary carcinoma or collecting duct RCC | Enfortumab vedotin (EV) + pembrolizumab | II | Not yet recruiting |
| NCT05620134 | Papillary RCC | JK08 (IL-15 antibody fusion protein targeting CTLA-4) | I/II | Active, not recruiting |
| NCT03866382 | Papillary, chromophobe, sarcomatoid RCC and renal medullary carcinoma | Nivolumab + ipilimumab + cabozantinib | II | Recruiting |
| NCT05043090 | MET-driven papillary RCC | Salvolitinib + durvalumab vs. sunitinib or durvalumab monotherapy | III | Recruiting |
| NCT04981509 | Papillary RCC or HLRCC | Bevacizumab + erlotinib + atezolizumab | II | Recruiting |
| NCT05752552 | MET-driven disease, hereditary renal papillary RCC | DO2-deuterated MET kinase inhibitor | I | Recruiting |
| NCT05678673 | Papillary, unclassified (NOS), MiT translocation | XL092 (TKI) + nivolumab vs. sunitinib | III | Recruiting |
| NCT05411081 | Papillary RCC | Cabozantinib vs. cabozantinib + atezolizumab | II | Recruiting |
| NCT05665361 | Papillary RCC | Palbociclib + sasanlimab | I/II | Recruiting |
| NCT03595124 | TFE/translocation RCC | Arm A: axitinib + nivolumab Arm B: axitinib monotherapy Arm C: nivolumab monotherapy | II | Active, not recruiting |
| NCT03388632 | Open to all solid tumors | Arm 1: IL-15 + nivolumab Arm 2: IL-15 + ipilimumab Arm 3: IL-15 + nivolumab and Ipilimumab | I | Recruiting |
| NCT04071223 | Non-clear cell and clear cell RCC with metastatic bone disease | Cabozantinib + radium-223 | II | Recruiting |
| NCT05220267 | Papillary, chromophobe, collecting duct carcinoma, renal medullary carcinoma, or unclassified | Anlotinib + sintilimab | II | Not yet recruiting |
| NCT05768464 | Non-clear cell RCC (excluding chromophobe and eosinophilic RCC) | Toripalimab + axitinib | II | Recruiting |
| NCT05831891 | Non-clear cell RCC | Fruquintinib and serplulimab | II | Not yet recruiting |
| NCT05808608 | Non-clear cell RCC, sarcomatoid RCC | AK104 (PD-1/CTLA-4 bispecific antibody) + Axitinib | I/II | Not yet recruiting |
| NCT06053658 | Non-clear cell RCC (excluding RMC and collecting duct) | Tivozanib + nivolumab | II | Recruiting |
Disclaimer/Publisher’s Note: The statements, opinions and data contained in all publications are solely those of the individual author(s) and contributor(s) and not of MDPI and/or the editor(s). MDPI and/or the editor(s) disclaim responsibility for any injury to people or property resulting from any ideas, methods, instructions or products referred to in the content. |
© 2025 by the authors. Licensee MDPI, Basel, Switzerland. This article is an open access article distributed under the terms and conditions of the Creative Commons Attribution (CC BY) license (https://creativecommons.org/licenses/by/4.0/).
Share and Cite
Miller, J.W.; Johnson, J.S.; Guske, C.; Mannam, G.; Hatoum, F.; Nassar, M.; Potez, M.; Fazili, A.; Spiess, P.E.; Chahoud, J. Immune-Based and Novel Therapies in Variant Histology Renal Cell Carcinomas. Cancers 2025, 17, 326. https://doi.org/10.3390/cancers17020326
Miller JW, Johnson JS, Guske C, Mannam G, Hatoum F, Nassar M, Potez M, Fazili A, Spiess PE, Chahoud J. Immune-Based and Novel Therapies in Variant Histology Renal Cell Carcinomas. Cancers. 2025; 17(2):326. https://doi.org/10.3390/cancers17020326
Chicago/Turabian StyleMiller, Justin W., Jeffrey S. Johnson, Christopher Guske, Gowtam Mannam, Firas Hatoum, Michelle Nassar, Marine Potez, Adnan Fazili, Philippe E. Spiess, and Jad Chahoud. 2025. "Immune-Based and Novel Therapies in Variant Histology Renal Cell Carcinomas" Cancers 17, no. 2: 326. https://doi.org/10.3390/cancers17020326
APA StyleMiller, J. W., Johnson, J. S., Guske, C., Mannam, G., Hatoum, F., Nassar, M., Potez, M., Fazili, A., Spiess, P. E., & Chahoud, J. (2025). Immune-Based and Novel Therapies in Variant Histology Renal Cell Carcinomas. Cancers, 17(2), 326. https://doi.org/10.3390/cancers17020326

