Radiation Chronotherapy in Prostate Cancer: Does Time of Day of Radiation Treatment Influence Disease Outcome or Symptom Burden? †
Simple Summary
Abstract
1. Introduction
2. Methods
3. Results
3.1. Disease Outcome
3.2. Quality of Life and Toxicity
4. Discussion
5. Conclusions
Author Contributions
Funding
Institutional Review Board Statement
Informed Consent Statement
Data Availability Statement
Conflicts of Interest
Appendix A


References
- Hsu, F.-M.; Hou, W.-H.; Huang, C.-Y.; Wang, C.-C.; Tsai, C.-L.; Tsai, Y.-C.; Yu, H.-J.; Pu, Y.-S.; Cheng, J.C.-H. Differences in toxicity and outcome associated with circadian variations between patients undergoing daytime and evening radiotherapy for prostate adenocarcinoma. Chronobiol. Int. 2016, 33, 210–219. [Google Scholar] [CrossRef] [PubMed]
- Yang, Y.; Lindsey-Boltz, L.A.; Vaughn, C.M.; Selby, C.P.; Cao, X.; Liu, Z.; Hsu, D.S.; Sancar, A. Circadian clock, carcinogenesis, chronochemotherapy connections. J. Biol. Chem. 2021, 297, 101068. [Google Scholar] [CrossRef] [PubMed]
- Ali, Y.F.; Hong, Z.; Liu, N.A.; Zhou, G. Clock in radiation oncology clinics: Cost-free modality to alleviate treatment-related toxicity. Cancer Biol. Ther. 2022, 23, 201–210. [Google Scholar] [CrossRef] [PubMed]
- Ashok Kumar, P.V.; Dakup, P.P.; Sarkar, S.; Modasia, J.B.; Motzner, M.S.; Gaddameedhi, S. It’s About Time: Advances in Understanding the Circadian Regulation of DNA Damage and Repair in Carcinogenesis and Cancer Treatment Outcomes. Yale J. Biol. Med. 2019, 92, 305–316. [Google Scholar] [PubMed]
- Salazar, P.; Konda, S.; Sridhar, A.; Arbieva, Z.; Daviglus, M.; Darbar, D.; Rehman, J. Common genetic variation in circadian clock genes are associated with cardiovascular risk factors in an African American and Hispanic/Latino cohort. Int. J. Cardiol. Heart Vasc. 2021, 34, 100808. [Google Scholar] [CrossRef] [PubMed]
- Negoro, H.; Iizumi, T.; Mori, Y.; Matsumoto, Y.; Chihara, I.; Hoshi, A.; Sakurai, H.; Nishiyama, H.; Ishikawa, H. Chronoradiation Therapy for Prostate Cancer: Morning Proton Beam Therapy Ameliorates Worsening Lower Urinary Tract Symptoms. J. Clin. Med. 2020, 9, 2263. [Google Scholar] [CrossRef] [PubMed]
- Johnson, K.; Critchley, A.-M.; Kyriacou, C.; Lavers, S.; Rattay, T.; Webb, A.; Azria, D.; Brookes, A.; Burr, T.; Chang-Claude, J.; et al. Genetic Variants Predict Optimal Timing of Radiotherapy to Reduce Side-effects in Breast Cancer Patients. Clin. Oncol. 2019, 31, 9–16. [Google Scholar] [CrossRef] [PubMed]
- Shukla, P.; Gupta, D.; Bisht, S.S.; Pant, M.C.; Bhatt, M.L.; Gupta, R.; Srivastava, K.; Gupta, S.; Dhawan, A.; Mishra, D.; et al. Circadian variation in radiation-induced intestinal mucositis in patients with cervical carcinoma. Cancer 2010, 116, 2031–2035. [Google Scholar] [CrossRef] [PubMed]
- Guo, P.; Wang, H.; Jiang, R.; Wang, Z. The clinical effect study on malignant tumors with chronoradiotherapy. Biol. Rhythm. Res. 2015, 46, 249–255. [Google Scholar] [CrossRef]
- Rajeev-Kumar, G.; Che, Y.; Stepaniak, C.J.; Liauw, S. Radiation Chronotherapy in Prostate Cancer: Does Time of Day of Radiation Treatment Influence Disease Outcome or Symptom Burden? Int. J. Radiat. Oncol. Biol. Phys. 2024, 120, e576. [Google Scholar] [CrossRef]
- Hrushesky, W.; Lannin, D.; Haus, E. Evidence for an Ontogenetic Basis for Circadian Coordination of Cancer Cell Proliferation. JNCI J. Natl. Cancer Inst. 1998, 90, 1480–1484. [Google Scholar] [CrossRef] [PubMed][Green Version]
- Mormont, M.C.; Lévi, F. Circadian-system alterations during cancer processes: A review. Int. J. Cancer 1997, 70, 241–247. [Google Scholar] [CrossRef]
- Gaddameedhi, S.; Selby, C.P.; Kaufmann, W.K.; Smart, R.C.; Sancar, A. Control of skin cancer by the circadian rhythm. Proc. Natl. Acad. Sci. USA 2011, 108, 18790. [Google Scholar] [CrossRef] [PubMed]
- McMillan, M.T.; Shepherd, A.; Cooper, A.J.; Schoenfeld, A.J.; Wu, A.J.; Simone, C.B.; Iyengar, P.; Gelblum, D.Y.; Chaft, J.E.; Gomez, D.R.; et al. Association of the time of day of chemoradiotherapy and durvalumab with tumor control in lung cancer. Radiother. Oncol. 2025, 203, 110658. [Google Scholar] [CrossRef] [PubMed]
- Ramli, I.; Susworo, S.; Nuranna, L.; Mansyur, M.; Harahap, A.R.; Soetopo, S.; Siregar, N.C.; Wanandi, S.I. Circadian as a prognostic factor for radiation responses in patients with cervical cancer: A nested case-control study. Oncol. Rep. 2022, 48, 1–9. [Google Scholar] [CrossRef] [PubMed]
- Bjarnason, G.A.; MacKenzie, R.G.; Nabid, A.; Hodson, I.D.; El-Sayed, S.; Grimard, L.; Brundage, M.; Wright, J.; Hay, J.; Ganguly, P.; et al. Comparison of Toxicity Associated With Early Morning Versus Late Afternoon Radiotherapy in Patients with Head-and-Neck Cancer: A Prospective Randomized Trial of the National Cancer Institute of Canada Clinical Trials Group (HN3). Int. J. Radiat. Oncol. Biol. Phys. 2009, 73, 166–172. [Google Scholar] [CrossRef] [PubMed]
- Noh, J.M.; Choi, D.H.; Park, H.; Huh, S.J.; Park, W.; Seol, S.W.; Jeong, B.K.; Nam, S.J.; Lee, J.E.; Kil, W.-H. Comparison of acute skin reaction following morning versus late afternoon radiotherapy in patients with breast cancer who have undergone curative surgical resection. J. Radiat. Res. 2014, 55, 553–558. [Google Scholar] [CrossRef] [PubMed]
- Landré, T.; Karaboué, A.; Buchwald, Z.; Innominato, P.; Qian, D.; Assié, J.; Chouaïd, C.; Lévi, F.; Duchemann, B. Effect of immunotherapy-infusion time of day on survival of patients with advanced cancers: A study-level meta-analysis. ESMO Open 2024, 9, 102220. [Google Scholar] [CrossRef] [PubMed]
- Zhang, Y.; Huang, Z.; Zeng, L.; Ruan, Z.; Zeng, Q.; Yan, H.; Jiang, W.; Dai, J.; Zou, N.; Xu, S.; et al. Randomized trial of relevance of time-of-day of immunochemotherapy for progression-free and overall survival in patients with non-small cell lung cancer. J. Clin. Oncol. 2025, 43, 8516. [Google Scholar] [CrossRef]
- Paech, G.M.; Crowley, S.J.; Fogg, L.F.; Eastman, C.I. Advancing the sleep/wake schedule impacts the sleep of African-Americans more than European-Americans. PLoS ONE 2017, 12, e0186887. [Google Scholar] [CrossRef] [PubMed]
- Ma, T.M.; Romero, T.; Nickols, N.G.; Rettig, M.B.; Garraway, I.P.; Roach, M.; Michalski, J.M.; Pisansky, T.M.; Lee, W.R.; Jones, C.U.; et al. Comparison of Response to Definitive Radiotherapy for Localized Prostate Cancer in Black and White Men: A Meta-analysis. JAMA Netw. Open 2021, 4, e2139769. [Google Scholar] [CrossRef] [PubMed]
- McKay, R.R.; Sarkar, R.R.; Kumar, A.; Einck, J.P.; Garraway, I.P.; Lynch, J.A.; Mundt, A.J.; Murphy, J.D.; Stewart, T.F.; Yamoah, K.; et al. Outcomes of Black men with prostate cancer treated with radiation therapy in the Veterans Health Administration. Cancer 2021, 127, 403–411. [Google Scholar] [CrossRef] [PubMed]
- Morgan, K.M.; Riviere, P.; Nelson, T.J.; Guram, K.; Deshler, L.N.; Minarim, D.S.; Duran, E.A.; Banegas, M.P.; Rose, B.S. Androgen Deprivation Therapy and Outcomes After Radiation Therapy in Black Patients With Prostate Cancer. JAMA Netw. Open 2024, 7, e2415911. [Google Scholar] [CrossRef] [PubMed]
- Rayford, W.; Beksac, A.T.; Alger, J.; Alshalalfa, M.; Ahmed, M.; Khan, I.; Falagario, U.G.; Liu, Y.; Davicioni, E.; Spratt, D.E.; et al. Comparative analysis of 1152 African-American and European-American men with prostate cancer identifies distinct genomic and immunological differences. Commun. Biol. 2021, 4, 670. [Google Scholar] [CrossRef] [PubMed]
- Abdelkarem Oa, I.; Choudhury, A.; Burnet, N.G.; Summersgill, H.R.; West, C.M.L. Effect of Race and Ethnicity on Risk of Radiotherapy Toxicity and Implications for Radiogenomics. Clin. Oncol. 2022, 34, 653–669. [Google Scholar] [CrossRef] [PubMed]
- Bryant, C.; Mendenhall, N.P.; Henderson, R.H.; Nichols, R.C.; Mendenhall, W.M.; Morris, C.G.; Williams, C.; Su, Z.; Li, Z.; Hoppe, B.S. Does Race Influence Health-related Quality of Life and Toxicity Following Proton Therapy for Prostate Cancer? Am. J. Clin. Oncol. 2016, 39, 261. [Google Scholar] [CrossRef] [PubMed]
- Shah, C.; Jones, P.M.N.; Wallace, M.; Kestin, L.L.; Ghilezan, M.; Fakhouri, M.M.; Jaiyesimi, I.D.; Ye, H.; Martinez, A.; Vicini, F.M. Differences in Disease Presentation, Treatment Outcomes, and Toxicities in African American Patients Treated With Radiation Therapy for Prostate Cancer. Am. J. Clin. Oncol. 2012, 35, 566. [Google Scholar] [CrossRef] [PubMed]
- Chennupati, S.K.; Pelizzari, C.A.; Kunnavakkam, R.; Liauw, S.L. Late toxicity and quality of life after definitive treatment of prostate cancer: Redefining optimal rectal sparing constraints for intensity-modulated radiation therapy. Cancer Med. 2014, 3, 954–961. [Google Scholar] [CrossRef] [PubMed]
- Posielski, N.M.; Shanmuga, S.; Ho, O.; Jiang, J.; Elsamanoudi, S.; Speir, R.; Stroup, S.; Musser, J.; Ernest, A.; Chesnut, G.T.; et al. The effect of race on treatment patterns and subsequent health-related quality of life outcomes in men undergoing treatment for localized prostate cancer. Prostate Cancer Prostatic Dis. 2023, 26, 415–420. [Google Scholar] [CrossRef] [PubMed]
- Bagshaw, H.P.; Arnow, K.D.; Trickey, A.W.; Leppert, J.T.; Wren, S.M.; Morris, A.M. Assessment of Second Primary Cancer Risk Among Men Receiving Primary Radiotherapy vs. Surgery for the Treatment of Prostate Cancer. JAMA Netw. Open 2022, 5, e2223025. [Google Scholar] [CrossRef] [PubMed]
- Riestra, P.; Gebreab, S.Y.; Xu, R.; Khan, R.J.; Gaye, A.; Correa, A.; Min, N.; Sims, M.; Davis, S.K. Circadian CLOCK gene polymorphisms in relation to sleep patterns and obesity in African Americans: Findings from the Jackson heart study. BMC Genet. 2017, 18, 58. [Google Scholar] [CrossRef] [PubMed]
- Zhu, Y.; Stevens, R.G.; Hoffman, A.E.; FitzGerald, L.M.; Kwon, E.M.; Ostrander, E.A.; Davis, S.; Zheng, T.; Stanford, J.L. Testing the circadian gene hypothesis in prostate cancer: A population-based case-control study. Cancer Res. 2009, 69, 9315. [Google Scholar] [CrossRef] [PubMed]
- Li, Q.; Xia, D.; Wang, Z.; Liu, B.; Zhang, J.; Peng, P.; Tang, Q.; Dong, J.; Guo, J.; Kuang, D.; et al. Circadian Rhythm Gene PER3 Negatively Regulates Stemness of Prostate Cancer Stem Cells via WNT/β-Catenin Signaling in Tumor Microenvironment. Front. Cell Dev. Biol. 2021, 9, 656981. [Google Scholar] [CrossRef] [PubMed]
- Dasari, S.S.; Archer, M.; Mohamed, N.E.; Tewari, A.K.; Figueiro, M.G.; Kyprianou, N. Circadian Rhythm Disruption as a Contributor to Racial Disparities in Prostate Cancer. Cancers 2022, 14, 5116. [Google Scholar] [CrossRef] [PubMed]

| Overall Cohort Median (IQR) or N (%) | Median (IQR) or N (%) for Treatment Quartiles 1–2 | Median (IQR) or N (%) for Treatment Quartiles 3–4 | p-Value | |
|---|---|---|---|---|
| Age | 69 (64–74) | 70 (63–74) | 69 (64–74) | 1.0 |
| Race (n = 334) Asian Black Hispanic White Other | 6 (2%) 230 (69%) 7 (2%) 90 (27%) 1 (0%) | 3 (2%) 110 (65%) 4 (2%) 50 (30%) 1 (1%) | 3 (2%) 120 (72%) 3 (2%) 40 (24%) 0 (0%) | 0.54 |
| Gleason Score (n = 335) 6 7 8 9 10 | 24 (7%) 177 (53%) 64 (19%) 65 (19%) 4 (1%) | 14 (8%) 87 (52%) 33 (20%) 32 (19%) 2 (1%) | 11 (7%) 90 (54%) 31 (19%) 33 (20%) 2 (1%) | 0.89 |
| Clinical T-stage (n = 324) T1-T2a T2b-2c T3-4 Tx | 204 (63%) 37 (11%) 78 (24%) 2 (1%) | 110 (68%) 17 (11%) 33 (20%) 2 (1%) | 94 (58%) 20 (12%) 45 (28%) 0 (0%) | 0.23 |
| PSA | 11.3 (6.6–21.9) | 10.8 (7–20) | 12.3 (7–25) | 0.13 |
| Risk Group (n = 326) Low Favorable Intermediate Unfavorable Intermediate High | 11 (3%) 29 (9%) 97 (30%) 189 (58%) | 5 (3%) 17 (10%) 48 (29%) 92 (57%) | 6 (4%) 12 (7%) 49 (30%) 97 (59%) | 0.78 |
| Hormone Therapy (n = 333) Yes No | 244 (73%) 89 (27%) | 129 (77%) 39 (23%) | 115 (70%) 50 (30%) | 0.14 |
| Radiation Dose | 78 Gy/39 fx | 78 Gy/39 fx | 78 Gy/39 fx | 0.26 |
| Brachytherapy boost | 20 (6%) | 10 (6%) | 10 (6%) | 0.98 |
| Median Follow-up | 55 months | 53 months | 59 months | 0.0054 |
| 5-Year FFBF | p-Value | 5-Year FFDM | p-Value | |
|---|---|---|---|---|
| Race Black vs. white/other | 84% vs. 81% | 0.75 | 93% vs. 85% | 0.08 |
| Age 69+ years vs. <69 years | 83% vs. 84% | 0.59 | 90% vs. 92% | 0.74 |
| NCCN risk group Low/fav int/unfav int/high | 91/86/91/78% | 0.16 | 100/100/99/84% | 0.0008 |
| PSA 11+ vs. <11 | 76% vs. 91% | 0.0004 | 90% vs. 92% | 0.74 |
| T stage T2b+ vs. <T2b | 74% vs. 88% | 0.0007 | 81% vs. 95% | <0.0001 |
| Gleason score Gleason 6–7 vs. 8–10 | 89% vs. 74% | 0.0139 | 97% vs. 81% | <0.0001 |
| Treatment time 1st/2nd/3rd/4th quartile Before vs. after median | 86/85/87/77% 85% vs. 82% | 0.61 0.32 | 90/92/91/89% 91% vs. 91% | 0.51 0.14 |
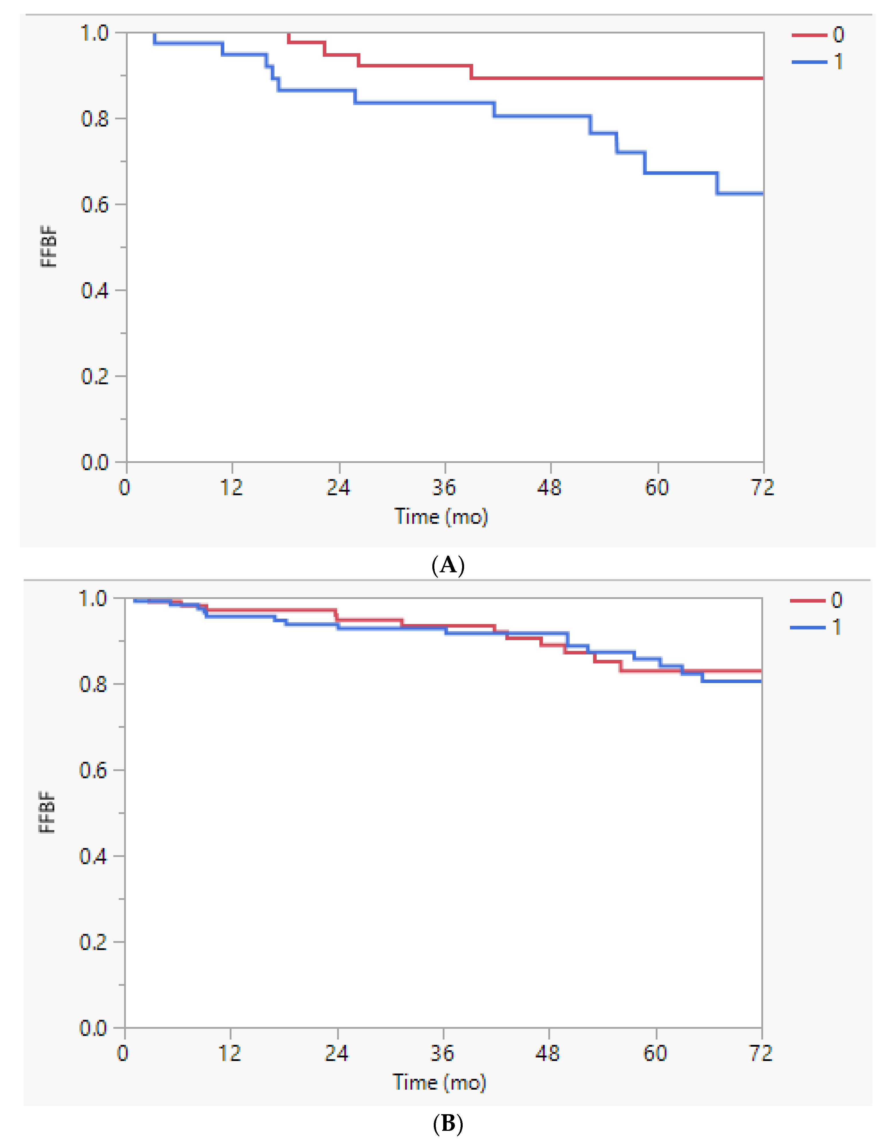
| Treatment time and race Black men, before vs. after median White men, before vs. after median | 83% vs. 86% 89% vs. 67% | 0.50 0.0139 | 90% vs. 96% 93% vs. 72% | 0.85 0.0268 |
| Brachytherapy boost Yes vs. no | 100% vs. 83% | 0.07 | 100% vs. 90% | 0.19 |
| Hormonal therapy Yes vs. no | 82% vs. 87% | 0.68 | 88% vs. 97% | 0.0035 |
| Black Men (n = 230) | White Men (n = 90) | |
|---|---|---|
| Quartile 1 | 8/58 (14%) | 1/21 (5%) |
| Quartile 2 | 9/52 (17%) | 3/29 (10%) |
| Quartile 3 | 11/62 (18%) | 5/18 (28%) |
| Quartile 4 | 12/58 (21%) | 7/22 (32%) |
| p-value | 0.81 | 0.04 |
| Overall | White Men | Black Men | |||||
|---|---|---|---|---|---|---|---|
| Variable | Beta (SE) | p-Value | Beta (SE) | p-Value | Beta (SE) | p-Value | |
| Urinary incontinence | Intercept | 86.8 (1.93) | <0.001 | 93.1 (2.13) | <0.001 | 84.3 (2.46) | <0.001 |
| Quartile 2 | −2.19 (2.62) | 0.40 | −5.67 (3.76) | 0.13 | −0.96 (3.37) | 0.78 | |
| Quartile 3 | −1.33 (2.79) | 0.63 | −14.9 (5.68) | 0.009 | 3.47 (3.21) | 0.28 | |
| Quartile 4 | −3.74 | 0.16 | −5.60 (3.12) | 0.07 | −2.46 (3.35) | 0.46 | |
| Urinary obstruction | Intercept | 82.3 (1.37) | <0.001 | 83.8 (2.78) | <0.001 | 81.7 (1.64) | <0.001 |
| Quartile 2 | −1.05 (1.87) | 0.57 | −0.49 (3.40) | 0.89 | −1.94 (2.39) | 0.42 | |
| Quartile 3 | −3.54 (2.07) | 0.09 | −3.47 (3.71) | 0.35 | −3.69 (2.57) | 0.15 | |
| Quartile 4 | −2.18 (1.93) | 0.26 | −6.49 (3.75) | 0.08 | −0.28 (2.27) | 0.90 | |
| Bowel function | Intercept | 89.7 (0.95) | <0.001 | 90.9 (1.46) | <0.001 | 89.5 (1.20) | <0.001 |
| Quartile 2 | −1.32 (1.45) | 0.36 | −1.69 (2.24) | 0.45 | −1.85 (1.98) | 0.35 | |
| Quartile 3 | −0.72 (1.38) | 0.60 | −8.41 (2.90) | 0.004 | 1.56 (1.56) | 0.32 | |
| Quartile 4 | −1.69 (1.45) | 0.24 | −5.64 (2.89) | 0.05 | −0.13 (1.68) | 0.94 | |
| Sexual function | Intercept | 23.9 (2.78) | <0.001 | 27.8 (7.11) | <0.001 | 23.2 (2.95) | <0.001 |
| Quartile 2 | −3.98 (3.72) | 0.28 | −12.4 (8.25) | 0.13 | −1.87 (4.41) | 0.67 | |
| Quartile 3 | −3.08 (3.60) | 0.39 | −15.7 (8.25) | 0.06 | 1.04 (4.04) | 0.80 | |
| Quartile 4 | 3.43 (3.71) | 0.36 | −12.9 (7.92) | 0.10 | 8.49 (4.16) | 0.04 |
| FFBF | FFDM | |||
|---|---|---|---|---|
| HR (95% CI) | p-Value | HR (95% CI) | p-Value | |
| Model 1—all men | ||||
| Treatment time, median | 1.48 (0.84–2.60) | 0.17 | 1.66 (0.78–3.54) | 0.18 |
| Risk category | 0.13 | <0.0001 | ||
| Fav int vs. low | 1.85 (0.19–17.9) | - | ||
| Unfav int vs. low | 2.41 (0.31–18.9) | - | ||
| High vs. low | 3.93 (0.54–28.9) | - | ||
| Model 2—white men | ||||
| Treatment time, median | 2.81 (0.89–8.8) | 0.0583 | 2.82 (0.77–10.4) | 0.09 |
| Risk category | 0.21 | 0.10 | ||
| Fav int vs. low | - | - | ||
| Unfav int vs. low | - | - | ||
| High vs. low | - | - | ||
| Model 3—black men | ||||
| Treatment time, median | 0.97 (0.48–1.95) | 0.94 | 0.90 (0.33–2.50) | 0.84 |
| Risk category | 0.33 | 0.0017 | ||
| Fav int vs. low | 2.22 (0.20–25.1) | - | ||
| Unfav int vs. low | 2.46 (0.31–19.7) | - | ||
| High vs. low | 3.77 (0.50–28.5) | - |
Disclaimer/Publisher’s Note: The statements, opinions and data contained in all publications are solely those of the individual author(s) and contributor(s) and not of MDPI and/or the editor(s). MDPI and/or the editor(s) disclaim responsibility for any injury to people or property resulting from any ideas, methods, instructions or products referred to in the content. |
© 2025 by the authors. Licensee MDPI, Basel, Switzerland. This article is an open access article distributed under the terms and conditions of the Creative Commons Attribution (CC BY) license (https://creativecommons.org/licenses/by/4.0/).
Share and Cite
Rajeev-Kumar, G.; Shimomura, A.; Che, Y.; Stepaniak, C.; Liauw, S.L. Radiation Chronotherapy in Prostate Cancer: Does Time of Day of Radiation Treatment Influence Disease Outcome or Symptom Burden? Cancers 2025, 17, 2441. https://doi.org/10.3390/cancers17152441
Rajeev-Kumar G, Shimomura A, Che Y, Stepaniak C, Liauw SL. Radiation Chronotherapy in Prostate Cancer: Does Time of Day of Radiation Treatment Influence Disease Outcome or Symptom Burden? Cancers. 2025; 17(15):2441. https://doi.org/10.3390/cancers17152441
Chicago/Turabian StyleRajeev-Kumar, Greeshma, Aoi Shimomura, Yan Che, Christopher Stepaniak, and Stanley L. Liauw. 2025. "Radiation Chronotherapy in Prostate Cancer: Does Time of Day of Radiation Treatment Influence Disease Outcome or Symptom Burden?" Cancers 17, no. 15: 2441. https://doi.org/10.3390/cancers17152441
APA StyleRajeev-Kumar, G., Shimomura, A., Che, Y., Stepaniak, C., & Liauw, S. L. (2025). Radiation Chronotherapy in Prostate Cancer: Does Time of Day of Radiation Treatment Influence Disease Outcome or Symptom Burden? Cancers, 17(15), 2441. https://doi.org/10.3390/cancers17152441
