Programmed Death Ligand-1 and Tumor Burden Score Dictate Treatment Responses in Patients with Recurrent or Metastatic Head and Neck Squamous Cell Carcinoma
Abstract
Simple Summary
Abstract
1. Introduction
2. Materials and Methods
2.1. Patients
2.2. Chemotherapy Protocols
2.3. Programmed Death Ligand-1 and Tumor Burden Score Evaluation
2.4. Statistical Analysis
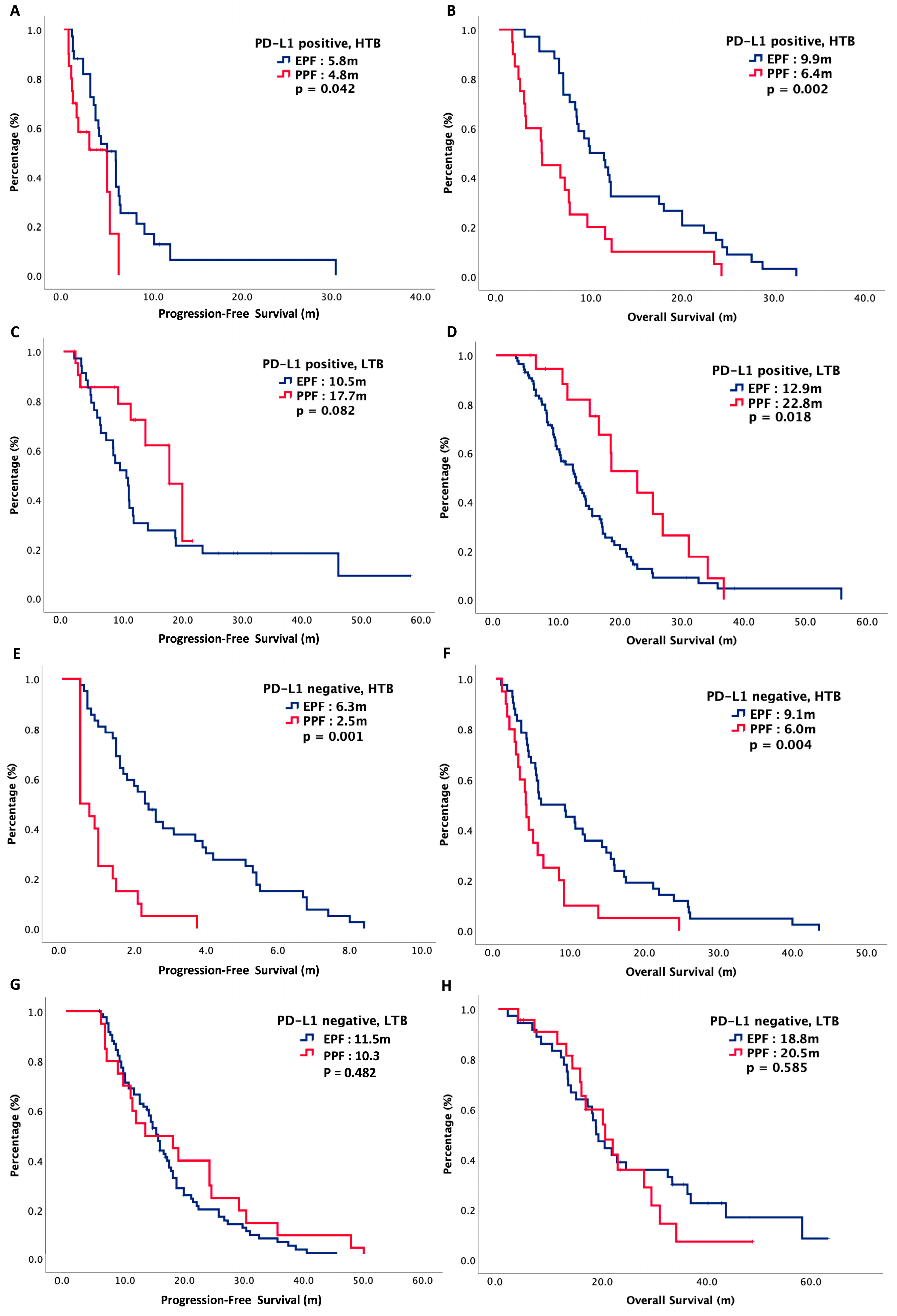
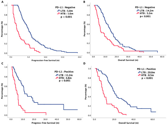
3. Results
3.1. Patients Characteristics
3.2. Survival Outcomes
4. Discussion
5. Conclusions
Supplementary Materials
Author Contributions
Funding
Institutional Review Board Statement
Informed Consent Statement
Data Availability Statement
Conflicts of Interest
References
- Aupérin, A. Epidemiology of head and neck cancers: An update. Curr. Opin. Oncol. 2020, 32, 178–186. [Google Scholar] [CrossRef] [PubMed]
- Siegel, R.L.; Miller, K.D.; Fuchs, H.E.; Jemal, A. Cancer statistics, 2022. CA Cancer J. Clin. 2022, 72, 7–33. [Google Scholar] [CrossRef] [PubMed]
- Mesia, R.; Iglesias, L.; Lambea, J.; Martínez-Trufero, J.; Soria, A.; Taberna, M.; Trigo, J.; Chaves, M.; García-Castaño, A.; Cruz, J. SEOM clinical guidelines for the treatment of head and neck cancer. Clin. Transl. Oncol. 2020, 23, 913–921. [Google Scholar] [CrossRef] [PubMed]
- Pfister, D.G.; Spencer, S.; Adelstein, D.; Adkins, D.; Anzai, Y.; Brizel, D.M.; Bruce, J.Y.; Busse, P.M.; Caudell, J.J.; Cmelak, A.J.; et al. Head and Neck Cancers, Version 2.2020, NCCN Clinical Practice Guidelines in Oncology. J. Natl. Compr. Cancer Netw. 2020, 18, 873–898. [Google Scholar] [CrossRef] [PubMed]
- Burtness, B.; Harrington, K.J.; Greil, R.; Soulières, D.; Tahara, M.; de Castro, G.; Psyrri, A.; Basté, N.; Neupane, P.; Bratland, Å.; et al. Pembrolizumab alone or with chemotherapy versus cetuximab with chemotherapy for recurrent or metastatic squamous cell carcinoma of the head and neck (KEYNOTE-048): A randomised, open-label, phase 3 study. Lancet 2019, 394, 1915–1928. [Google Scholar] [CrossRef] [PubMed]
- Vermorken, J.B.; Mesia, R.; Rivera, F.; Remenar, E.; Kawecki, A.; Rottey, S.; Erfan, J.; Zabolotnyy, D.; Kienzer, H.R.; Cupissol, D.; et al. Platinum-based chemotherapy plus cetuximab in head and neck cancer. N. Engl. J. Med. 2008, 359, 1116–1127. [Google Scholar] [CrossRef] [PubMed]
- Kim, S.I.; Cassella, C.R.; Byrne, K.T. Tumor Burden and Immunotherapy: Impact on Immune Infiltration and Therapeutic Outcomes. Front. Immunol. 2021, 11, 629722. [Google Scholar] [CrossRef] [PubMed]
- Suzuki, C.; Kiyota, N.; Imamura, Y.; Rikitake, J.; Sai, S.; Koyama, T.; Hyogo, Y.; Nagatani, Y.; Funakoshi, Y.; Toyoda, M.; et al. Effect of tumor burden and growth rate on treatment outcomes of nivolumab in head and neck cancer. Int. J. Clin. Oncol. 2020, 25, 1270–1277. [Google Scholar] [CrossRef] [PubMed]
- Sasaki, K.; Morioka, D.; Conci, S.; Margonis, G.A.; Sawada, Y.; Ruzzenente, A.; Kumamoto, T.; Iacono, C.; Andreatos, N.; Guglielmi, A.; et al. The Tumor Burden Score: A New “Metro-ticket” Prognostic Tool for Colorectal Liver Metastases Based on Tumor Size and Number of Tumors. Ann. Surg. 2018, 267, 132–141. [Google Scholar] [CrossRef]
- Ho, S.Y.; Liu, P.H.; Hsu, C.Y.; Ko, C.C.; Huang, Y.H.; Su, C.W.; Lee, R.C.; Tsai, P.H.; Hou, M.C.; Huo, T.I. Tumor burden score as a new prognostic marker for patients with hepatocellular carcinoma undergoing transarterial chemoembolization. J. Gastroenterol. Hepatol. 2021, 36, 3196–3203. [Google Scholar] [CrossRef]
- Elfadaly, A.N.; Tsilimigras, D.I.; Hyer, J.M.; Paro, A.; Bagante, F.; Ratti, F.; Marques, H.P.; Soubrane, O.; Lam, V.; Poultsides, G.A.; et al. Impact of Tumor Burden Score on Conditional Survival after Curative-Intent Resection for Hepatocellular Carcinoma: A Multi-Institutional Analysis. World J. Surg. 2021, 45, 3438–3448. [Google Scholar] [CrossRef] [PubMed]
- Moris, D.; Shaw, B.I.; McElroy, L.; Barbas, A.S. Using Hepatocellular Carcinoma Tumor Burden Score to Stratify Prognosis after Liver Transplantation. Cancers 2020, 12, 3372. [Google Scholar] [CrossRef] [PubMed]
- Li, H.; Liu, R.; Qiu, H.; Huang, Y.; Liu, W.; Li, J.; Wu, H.; Wang, G.; Li, D. Tumor Burden Score Stratifies Prognosis of Patients With Intrahepatic Cholangiocarcinoma After Hepatic Resection: A Retrospective, Multi-Institutional Study. Front. Oncol. 2022, 12, 829407. [Google Scholar] [CrossRef] [PubMed]
- Joseph, R.W.; Elassaiss-Schaap, J.; Kefford, R.; Hwu, W.J.; Wolchok, J.D.; Joshua, A.M.; Ribas, A.; Hodi, F.S.; Hamid, O.; Robert, C.; et al. Baseline Tumor Size Is an Independent Prognostic Factor for Overall Survival in Patients with Melanoma Treated with Pembrolizumab. Clin. Cancer Res. 2018, 24, 4960–4967. [Google Scholar] [CrossRef] [PubMed]
- Hopkins, A.M.; Kichenadasse, G.; McKinnon, R.A.; Rowland, A.; Sorich, M.J. Baseline tumor size and survival outcomes in lung cancer patients treated with immune checkpoint inhibitors. Semin. Oncol. 2019, 46, 380–384. [Google Scholar] [CrossRef] [PubMed]
- Miyawaki, T.; Naito, T.; Doshita, K.; Kodama, H.; Mori, M.; Nishioka, N.; Iida, Y.; Miyawaki, E.; Mamesaya, N.; Kobayashi, H.; et al. Predicting the efficacy of first-line immunotherapy by combining cancer cachexia and tumor burden in advanced non-small cell lung cancer. Thorac. Cancer 2022, 13, 2064–2074. [Google Scholar] [CrossRef] [PubMed]
- Miyawaki, T.; Kenmotsu, H.; Doshita, K.; Kodama, H.; Nishioka, N.; Iida, Y.; Miyawaki, E.; Mamesaya, N.; Kobayashi, H.; Omori, S.; et al. Clinical impact of tumour burden on the efficacy of PD-1/PD-L1 inhibitors plus chemotherapy in non-small-cell lung cancer. Cancer Med. 2023, 12, 1451–1460. [Google Scholar] [CrossRef] [PubMed]
- Sereno, M.; Cabezón-Gutiérrez, L.; Higuera, O.; Mielgo-Rubio, X.; Cervera-Calero, R. High tumor burden in patients with non-small-cell lung cancer: A Delphi survey among Spanish oncologists. Future Oncol. 2023, 19, 991–1002. [Google Scholar] [CrossRef]
- Inoue, H.; Yokota, T.; Hamauchi, S.; Onozawa, Y.; Kawakami, T.; Shirasu, H.; Notsu, A.; Yasui, H.; Onitsuka, T. Pre-treatment tumor size impacts on response to nivolumab in head and neck squamous cell carcinoma. Auris Nasus Larynx 2020, 47, 650–657. [Google Scholar] [CrossRef]
- Matoba, T.; Minohara, K.; Kawakita, D.; Takano, G.; Oguri, K.; Murashima, A.; Nakai, K.; Iwaki, S.; Tsuge, H.; Tanaka, N.; et al. Impact of tumor burden on survival in patients with recurrent or metastatic head and neck cancer treated with immune checkpoint inhibitors. Sci. Rep. 2022, 12, 14319. [Google Scholar] [CrossRef]
- Tahara MKiyota, N.; Robinson, B.; Schlumberger, M.; Sherman, S.I.; Leboulleux, S.; Lee, E.K.; Suzuki, T.; Ren, M.; Fushimi, K.; Wirth, L.J. Impact of baseline tumor burden on overall survival in patients with radioiodine-refractory differentiated thyroid cancer treated with lenvatinib in the SELECT global phase 3 trial. Cancer 2022, 128, 2281–2287. [Google Scholar] [CrossRef] [PubMed]
- Locke, F.L.; Rossi, J.M.; Neelapu, S.S.; Jacobson, C.A.; Ghobadi AMiklos, D.B.; Oluwole, O.O.; Reagan, P.M.; Lekakis, L.J.; Lin, Y.; Sherman, M.; et al. Tumor burden, inflammation, and product attributes determine outcomes of axicabtagene ciloleucel in large B-cell lymphoma. Blood Adv. 2020, 4, 4898–4911. [Google Scholar] [CrossRef] [PubMed]
- Dall’olio, F.G.; Marabelle, A.; Caramella, C.; Garcia, C.; Aldea, M.; Chaput, N.; Robert, C.; Besse, B. Tumour burden and efficacy of immune-checkpoint inhibitors. Nat. Rev. Clin. Oncol. 2022, 19, 75–90. [Google Scholar] [CrossRef] [PubMed]
- Hirsch, L.; Flippot, R.; Escudier, B.; Albiges, L. Immunomodulatory Roles of VEGF Pathway Inhibitors in Renal Cell Carcinoma. Drugs 2020, 80, 1169–1181. [Google Scholar] [CrossRef] [PubMed]
- Ishihara, H.; Kondo, T.; Nakamura, K.; Nemoto, Y.; Tachibana, H.; Fukuda, H.; Yoshida, K.; Kobayashi, H.; Iizuka, J.; Shimmura, H.; et al. Association of tumor burden with outcome in first-line therapy with nivolumab plus ipilimumab for previously untreated metastatic renal cell carcinoma. Jpn. J. Clin. Oncol. 2021, 51, 1751–1756. [Google Scholar] [CrossRef] [PubMed]
- Díaz-Montero, C.M.; Rini, B.I.; Finke, J.H. The immunology of renal cell carcinoma. Nat. Rev. Nephrol. 2020, 16, 721–735. [Google Scholar] [CrossRef] [PubMed]
- Binnewies, M.; Roberts, E.W.; Kersten, K.; Chan, V.; Fearon, D.F.; Merad, M.; Coussens, L.M.; Gabrilovich, D.I.; Ostrand-Rosenberg, S.; Hedrick, C.C.; et al. Understanding the tumor immune microenvironment (TIME) for effective therapy. Nat. Med. 2018, 24, 541–550. [Google Scholar] [CrossRef]
- Im, S.J.; Hashimoto, M.; Gerner, M.Y.; Lee, J.; Kissick, H.T.; Burger, M.C.; Shan, Q.; Hale, J.S.; Lee, J.; Nasti, T.H.; et al. Defining CD8+ T cells that provide the proliferative burst after PD-1 therapy. Nature 2016, 537, 417–421. [Google Scholar] [CrossRef]
- Huang, A.C.; Postow, M.A.; Orlowski, R.J.; Mick, R.; Bengsch, B.; Manne, S.; Xu, W.; Harmon, S.; Giles, J.R.; Wenz, B.; et al. T-cell invigoration to tumour burden ratio associated with anti-PD-1 response. Nature 2017, 545, 60–65. [Google Scholar] [CrossRef]



| Before PSM | After PSM | |||||||||
|---|---|---|---|---|---|---|---|---|---|---|
| HTB (N = 126) | LTB (N = 189) | p Value | HTB (N = 126) | LTB (N = 126) | p Value | |||||
| Gender | 0.644 | 1.000 | ||||||||
| Male | 120 | 95% | 182 | 96% | 120 | 95% | 120 | 95% | ||
| Female | 6 | 5% | 7 | 4% | 6 | 5% | 6 | 5% | ||
| Age | 0.411 | 0.571 | ||||||||
| ≤60 | 79 | 63% | 127 | 67% | 79 | 63% | 74 | 59% | ||
| >60 | 47 | 37% | 62 | 33% | 47 | 37% | 52 | 41% | ||
| Primary tumor location | 0.600 | 0.746 | ||||||||
| Hypopharynx | 26 | 21% | 39 | 21% | 26 | 21% | 28 | 22% | ||
| Oral cavity | 60 | 48% | 100 | 53% | 60 | 48% | 64 | 50% | ||
| Larynx | 4 | 3% | 8 | 4% | 4 | 3% | 6 | 5% | ||
| Oropharynx | 36 | 29% | 42 | 22% | 36 | 29% | 28 | 23% | ||
| P16 | 0.342 | 0.961 | ||||||||
| negative | 60 | 48% | 75 | 40% | 60 | 48% | 59 | 46% | ||
| positive | 4 | 3% | 9 | 5% | 4 | 3% | 5 | 4% | ||
| unknown | 62 | 49% | 105 | 56% | 62 | 49% | 62 | 50% | ||
| Initial T stage | 0.010 | 0.435 | ||||||||
| T1–T2 | 36 | 29% | 81 | 43% | 36 | 29% | 42 | 33% | ||
| T3–T4 | 90 | 71% | 108 | 57% | 90 | 71% | 84 | 67% | ||
| Initial N stage | 0.106 | 0.941 | ||||||||
| N0–N1 | 51 | 40% | 94 | 50% | 51 | 40% | 50 | 40% | ||
| N2–N3 | 75 | 60% | 95 | 50% | 75 | 60% | 76 | 60% | ||
| Initial M stage | 0.076 | 0.802 | ||||||||
| M0 | 109 | 87% | 175 | 93% | 109 | 87% | 110 | 88% | ||
| M1 | 17 | 13% | 14 | 7% | 17 | 13% | 16 | 12% | ||
| Initial stage | 0.015 | 0.912 | ||||||||
| I–II | 15 | 12% | 43 | 23% | 15 | 12% | 16 | 12% | ||
| III–IV | 111 | 88% | 146 | 77% | 111 | 88% | 110 | 88% | ||
| Curative surgery | 0.358 | 0.797 | ||||||||
| no | 46 | 37% | 58 | 31% | 46 | 37% | 48 | 38% | ||
| yes | 80 | 63% | 131 | 69% | 80 | 63% | 78 | 62% | ||
| Chemoradiotherapy | 0.209 | 0.908 | ||||||||
| no | 26 | 21% | 53 | 28% | 26 | 21% | 28 | 22% | ||
| yes | 100 | 79% | 136 | 72% | 100 | 79% | 98 | 78% | ||
| PD-L1 status | 0.113 | 0.409 | ||||||||
| positive | 29 | 23% | 31 | 16% | 29 | 23% | 23 | 18% | ||
| negative | 62 | 49% | 107 | 57% | 62 | 49% | 71 | 56% | ||
| unknown | 35 | 28% | 51 | 27% | 35 | 28% | 32 | 26% | ||
| Disease status at enrollment | <0.001 | 0.335 | ||||||||
| Local recurrence only | 29 | 23% | 89 | 47% | 29 | 23% | 36 | 29% | ||
| Distant metastasis | 97 | 77% | 100 | 53% | 97 | 77% | 90 | 71% | ||
| First-line chemotherapy | 0.765 | 0.247 | ||||||||
| EPF | 86 | 68% | 132 | 70% | 86 | 68% | 77 | 61% | ||
| PPF | 40 | 32% | 57 | 30% | 40 | 32% | 49 | 39% | ||
| HTB (N = 126) | LTB (N = 126) | |||||||||
|---|---|---|---|---|---|---|---|---|---|---|
| EPF N = 86 | PPF N = 40 | p Value | EPF N = 77 | PPF N = 49 | p Value | |||||
| Gender | 0.325 | 0.454 | ||||||||
| Male | 83 | 97% | 37 | 93% | 75 | 97% | 45 | 92% | ||
| Female | 3 | 3% | 3 | 7% | 2 | 3% | 4 | 8% | ||
| Age | 0.223 | 0.369 | ||||||||
| ≤60 | 57 | 66% | 22 | 55% | 48 | 62% | 26 | 54% | ||
| >60 | 29 | 34% | 18 | 45% | 29 | 38% | 23 | 46% | ||
| Primary tumor location | 0.677 | 0.590 | ||||||||
| Hypopharynx | 18 | 21% | 8 | 20% | 19 | 25% | 9 | 18% | ||
| Oral cavity | 38 | 44% | 22 | 55% | 35 | 45% | 29 | 59% | ||
| Larynx | 3 | 3% | 1 | 3% | 4 | 5% | 2 | 5% | ||
| Oropharynx | 27 | 31% | 9 | 22% | 19 | 25% | 9 | 18% | ||
| P16 | 0.126 | 0.105 | ||||||||
| negative | 46 | 53% | 14 | 35% | 30 | 39% | 29 | 59% | ||
| positive | 3 | 3% | 1 | 3% | 2 | 3% | 3 | 5% | ||
| unknown | 37 | 43% | 25 | 62% | 45 | 58% | 17 | 36% | ||
| Initial T stage | 0.361 | 0.124 | ||||||||
| T1–T2 | 27 | 31% | 9 | 23% | 21 | 27% | 21 | 43% | ||
| T3–T4 | 59 | 69% | 31 | 78% | 56 | 73% | 28 | 57% | ||
| Initial N stage | 0.102 | 0.212 | ||||||||
| N0–N1 | 39 | 45% | 12 | 30% | 26 | 34% | 24 | 49% | ||
| N2–N3 | 47 | 55% | 28 | 70% | 51 | 66% | 25 | 51% | ||
| Initial M stage | 0.735 | 0.575 | ||||||||
| M0 | 75 | 87% | 34 | 85% | 69 | 89% | 42 | 85% | ||
| M1 | 11 | 13% | 6 | 15% | 8 | 11% | 7 | 15% | ||
| Initial stage | 0.426 | 0.575 | ||||||||
| I–II | 12 | 14% | 3 | 8% | 8 | 11% | 7 | 15% | ||
| III–IV | 74 | 86% | 37 | 93% | 69 | 89% | 42 | 85% | ||
| Curative surgery | 0.478 | 0.878 | ||||||||
| no | 33 | 38% | 12 | 30% | 29 | 38% | 19 | 39% | ||
| yes | 53 | 62% | 28 | 70% | 48 | 62% | 30 | 61% | ||
| Chemoradiotherapy | 0.559 | 0.205 | ||||||||
| no | 19 | 22% | 7 | 18% | 14 | 19% | 17 | 34% | ||
| yes | 67 | 78% | 33 | 82% | 63 | 81% | 32 | 66% | ||
| PD-L1 status | 0.907 | 0.312 | ||||||||
| positive | 20 | 23% | 9 | 23% | 8 | 10% | 15 | 31% | ||
| negative | 42 | 49% | 20 | 50% | 46 | 60% | 25 | 51% | ||
| unknown | 24 | 28% | 11 | 27% | 23 | 30% | 9 | 18% | ||
| Disease status at enrollment | 0.415 | 0.225 | ||||||||
| Local recurrence only | 18 | 21% | 11 | 28% | 18 | 23% | 18 | 37% | ||
| Distant metastasis | 68 | 79% | 29 | 72% | 59 | 77% | 31 | 63% | ||
| Variables | PFS | OS | ||
|---|---|---|---|---|
| HR (95% CI) | p Value | HR (95% CI) | p Value | |
| Gender, Male vs. Female | 0.98 (0.48–2.00), | 0.946 | 0.88 (0.41–1.88) | 0.743 |
| Age, ≤60 vs. >60 | 0.77 (0.56–1.06) | 0.109 | 0.83 (0.60–1.14) | 0.240 |
| Primary tumor location, oral cavity vs. others | 0.81 (0.61–1.06) | 0.128 | 0.88 (0.65–1.19) | 0.398 |
| P16, yes vs. no | 0.98 (0.72–1.32) | 0.874 | 0.71 (0.50–1.01) | 0.057 |
| Initial T stage, T1–T2 vs. T3–T4 | 0.95 (0.66–0.38) | 0.803 | 0.73 (0.50–1.06) | 0.098 |
| Initial N stage, N0–N1 vs. N2–N3 | 0.96 (0.68–1.36) | 0.812 | 0.82 (0.56–1.19) | 0.289 |
| Initial M stage, M0 vs. M1 | 0.72 (0.29–1.86) | 0.502 | 0.80 (0.27–2.39) | 0.684 |
| Initial stage, stage I–II vs. stage III–IV | 0.71 (0.40–1.26) | 0.242 | 0.65 (0.37–1.14) | 0.136 |
| Previous radical surgery, yes vs. no | 0.63 (0.30–1.33) | 0.224 | 0.62 (0.27–1.42) | 0.259 |
| Previous chemoradiotherapy, yes vs. no | 0.90 (0.60–1.34) | 0.601 | 0.85 (0.56–1.30) | 0.464 |
| Disease status, local recurrence only vs. distant metastasis | 0.55 (0.38–0.78) | 0.001 | 0.86 (0.60–1.21) | 0.384 |
| PD-L1 expression, negative vs. positive | 0.61 (0.44–0.85) | 0.004 | 0.69 (0.48–0.98) | 0.039 |
| Tumor burden, LTB vs. HTB | 0.23 (0.16–0.34) | <0.001 | 0.62 (0.44–0.86) | 0.005 |
Disclaimer/Publisher’s Note: The statements, opinions and data contained in all publications are solely those of the individual author(s) and contributor(s) and not of MDPI and/or the editor(s). MDPI and/or the editor(s) disclaim responsibility for any injury to people or property resulting from any ideas, methods, instructions or products referred to in the content. |
© 2024 by the authors. Licensee MDPI, Basel, Switzerland. This article is an open access article distributed under the terms and conditions of the Creative Commons Attribution (CC BY) license (https://creativecommons.org/licenses/by/4.0/).
Share and Cite
Lien, M.-Y.; Wang, C.-C.; Hwang, T.-Z.; Hsieh, C.-Y.; Yang, C.-C.; Wang, C.-C.; Lien, C.-F.; Shih, Y.-C.; Yeh, S.-A.; Hsieh, M.-C. Programmed Death Ligand-1 and Tumor Burden Score Dictate Treatment Responses in Patients with Recurrent or Metastatic Head and Neck Squamous Cell Carcinoma. Cancers 2024, 16, 1748. https://doi.org/10.3390/cancers16091748
Lien M-Y, Wang C-C, Hwang T-Z, Hsieh C-Y, Yang C-C, Wang C-C, Lien C-F, Shih Y-C, Yeh S-A, Hsieh M-C. Programmed Death Ligand-1 and Tumor Burden Score Dictate Treatment Responses in Patients with Recurrent or Metastatic Head and Neck Squamous Cell Carcinoma. Cancers. 2024; 16(9):1748. https://doi.org/10.3390/cancers16091748
Chicago/Turabian StyleLien, Ming-Yu, Chih-Chun Wang, Tzer-Zen Hwang, Ching-Yun Hsieh, Chuan-Chien Yang, Chien-Chung Wang, Ching-Feng Lien, Yu-Chen Shih, Shyh-An Yeh, and Meng-Che Hsieh. 2024. "Programmed Death Ligand-1 and Tumor Burden Score Dictate Treatment Responses in Patients with Recurrent or Metastatic Head and Neck Squamous Cell Carcinoma" Cancers 16, no. 9: 1748. https://doi.org/10.3390/cancers16091748
APA StyleLien, M.-Y., Wang, C.-C., Hwang, T.-Z., Hsieh, C.-Y., Yang, C.-C., Wang, C.-C., Lien, C.-F., Shih, Y.-C., Yeh, S.-A., & Hsieh, M.-C. (2024). Programmed Death Ligand-1 and Tumor Burden Score Dictate Treatment Responses in Patients with Recurrent or Metastatic Head and Neck Squamous Cell Carcinoma. Cancers, 16(9), 1748. https://doi.org/10.3390/cancers16091748
