Prognostic Indicators of Overall Survival in Hepatocellular Carcinoma Patients Undergoing Liver Resection
Abstract
Simple Summary
Abstract
1. Introduction
2. Materials and Methods
2.1. Study Design
2.2. Inclusion and Exclusion Criteria
- (a)
- A final histopathological diagnosis of hepatocellular carcinoma;
- (b)
- Patients who underwent surgical treatment with curative intent;
- (c)
- Subjects with liver function graded Child–Pugh A or B.
2.3. HVPG and TE-LSM Measurements
2.4. Tumor Burden Score and TAC Score
2.5. Surgical Resection
2.6. Research Endpoints
2.7. Statistical Analysis
2.8. Ethical Approval
3. Results
3.1. Descriptive Characteristics of Enrolled Patients
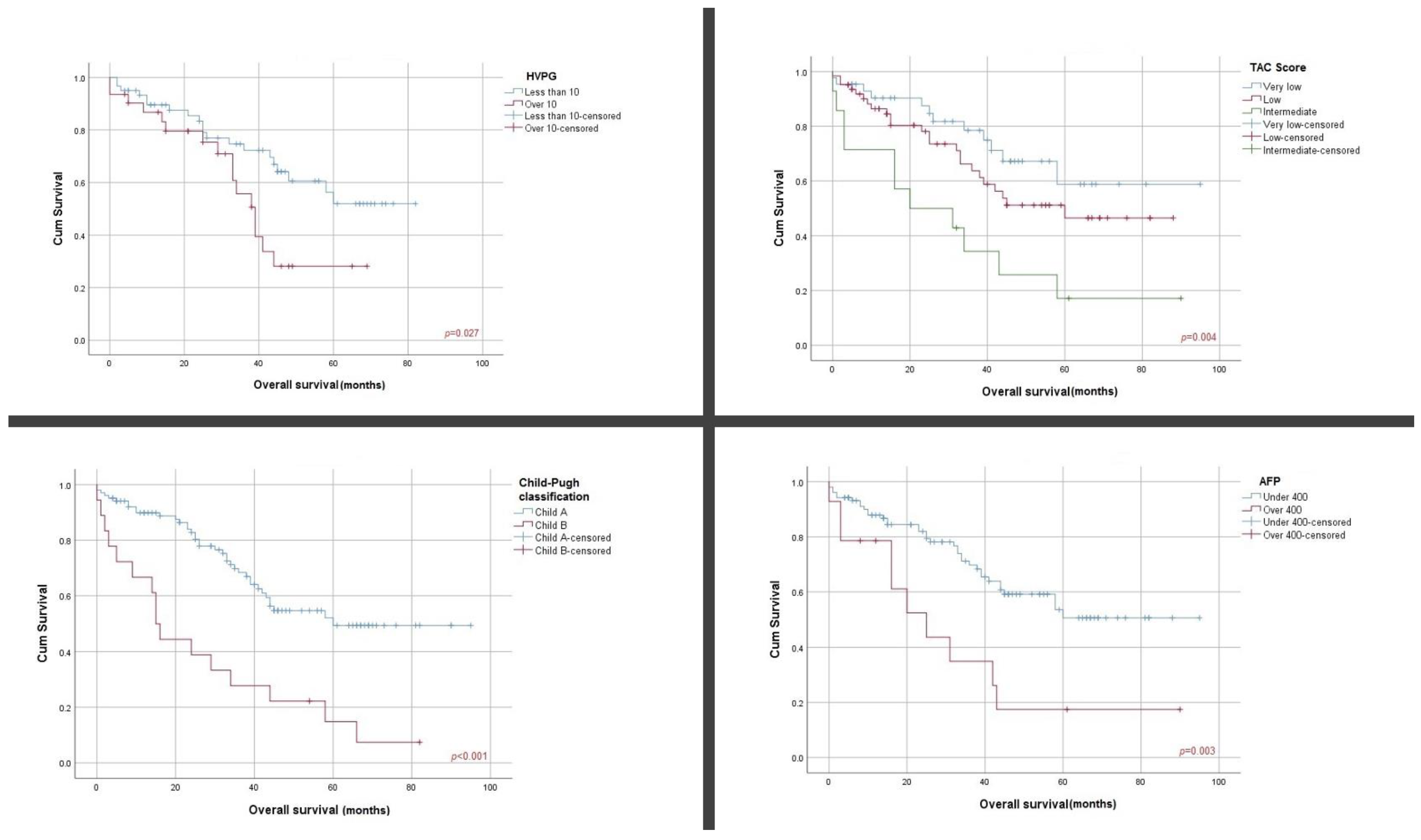
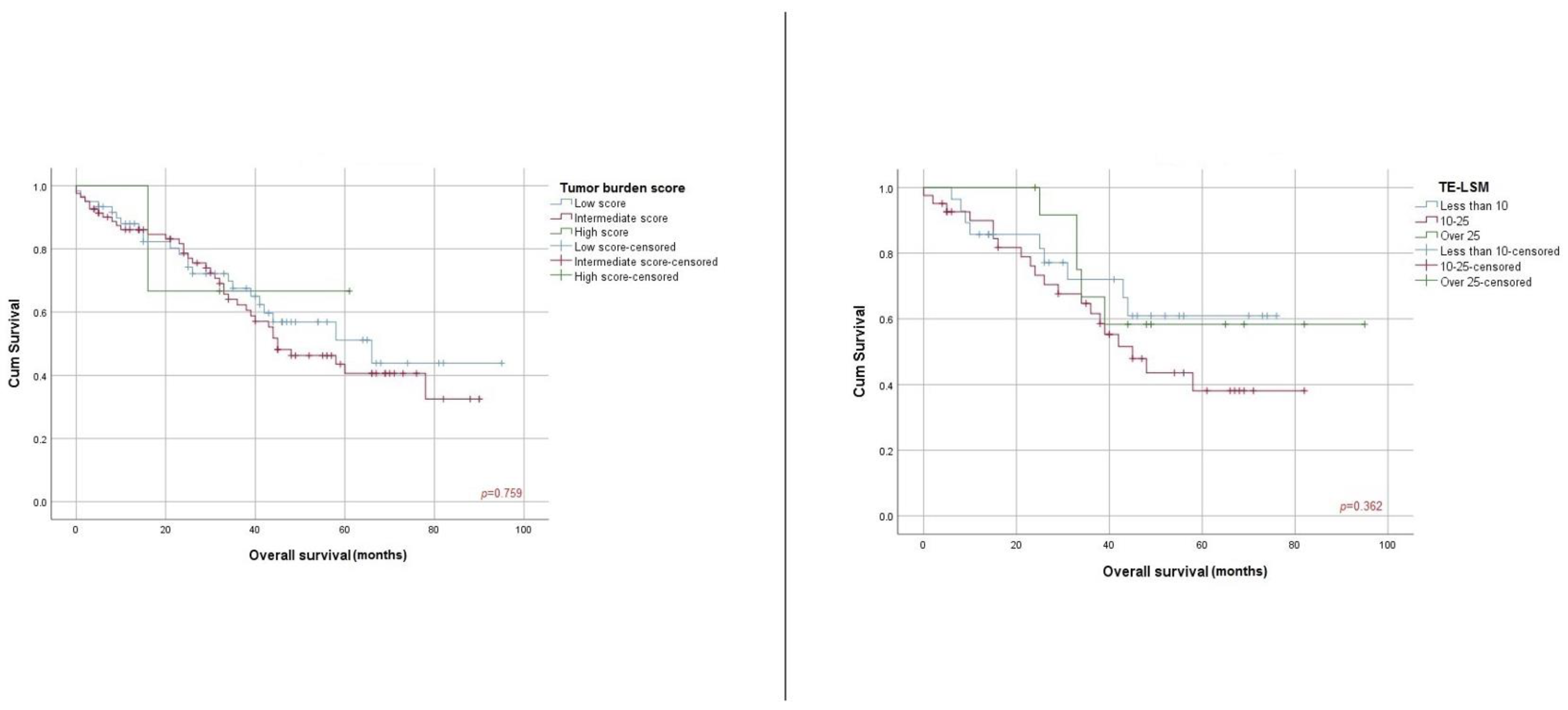
3.2. Association of HVPG, TE-LSM and TAC Score with Overall Survival
3.3. Preoperative Factors Associated with Overall Survival
4. Discussion
5. Conclusions
Author Contributions
Funding
Institutional Review Board Statement
Informed Consent Statement
Data Availability Statement
Acknowledgments
Conflicts of Interest
References
- Tang, A.; Hallouch, O.; Chernyak, V.; Kamaya, A.; Sirlin, C.B. Epidemiology of hepatocellular carcinoma: Target population for surveillance and diagnosis. Abdom. Radiol. 2017, 43, 13–25. [Google Scholar] [CrossRef] [PubMed]
- Le, D.C.; Nguyen, T.M.; Nguyen, D.H.; Nguyen, D.T.; Nguyen, L.T. Survival outcome and prognostic factors among patients with hepatocellular carcinoma: A hospital-based study. Clin. Med. Insights Oncol. 2023, 17, 1–2. [Google Scholar] [CrossRef] [PubMed]
- Boyer, T.D.; Manns, M.P.; Sanyal, A.J.; Zakim, D. Zakim and Boyer’s Hepatology: A Textbook of Liver Disease, 6th ed.; Saunders/Elsevier: Philadelphia, PA, USA, 2012; pp. 1005–1031. [Google Scholar]
- Sung, H.; Ferlay, J.; Siegel, R.L.; Laversanne, M.; Soerjomataram, I.; Jemal, A.; Bray, F. Global Cancer Statistics 2020: GLOBOCAN Estimates of Incidence and Mortality Worldwide for 36 Cancers in 185 Countries. CA Cancer J. Clin. 2021, 71, 209–249. [Google Scholar] [CrossRef] [PubMed]
- Xie, D.-Y.; Zhu, K.; Ren, Z.-G.; Zhou, J.; Fan, J.; Gao, Q. A review of 2022 Chinese clinical guidelines on the management of hepatocellular carcinoma: Updates and insights. Hepatobiliary Surg. Nutr. 2023, 12, 216–228. [Google Scholar] [CrossRef] [PubMed]
- Tan, D.J.; Ng, C.H.; Lin, S.Y.; Pan, X.H.; Tay, P.; Lim, W.H.; Teng, M.; Syn, N.; Lim, G.; Yong, J.N.; et al. Clinical characteristics, surveillance, treatment allocation, and outcomes of non-alcoholic fatty liver disease-related hepatocellular carcinoma: A systematic review and meta-analysis. Lancet Oncol. 2022, 23, 521–530. [Google Scholar] [CrossRef] [PubMed]
- Song, B.G.; Choi, S.C.; Goh, M.J.; Kang, W.; Sinn, D.H.; Gwak, G.-Y.; Paik, Y.-H.; Moon, S.C.; Joon, H.L.; Seung, W.P.; et al. Metabolic dysfunction-associated fatty liver disease and the risk of hepatocellular carcinoma. JHEP Rep. 2023, 5, 100810. [Google Scholar] [CrossRef] [PubMed]
- Lima, H.A.; Endo, Y.; Moazzam, Z.; Alaimo, L.; Shaikh, C.; Munir, M.M.; Resende, V.; Guglielmi, A.; Marques, H.P.; Cauchy, F.; et al. TAC score better predicts survival than the BCLC following resection of hepatocellular carcinoma. J. Surg. Oncol. 2022, 127, 374–384. [Google Scholar] [CrossRef] [PubMed]
- Tellapuri, S.; Sutphin, P.D.; Beg, M.S.; Singal, A.G.; Kalva, S.P. Staging systems of hepatocellular carcinoma: A Review. Indian J. Gastroenterol. 2018, 37, 481–491. [Google Scholar] [CrossRef] [PubMed]
- Forner, A.; Reig, M.; Bruix, J. Hepatocellular carcinoma. Lancet 2018, 391, 1301–1314. [Google Scholar] [CrossRef]
- Reig, M.; Forner, A.; Rimola, J.; Ferrer-Fàbrega, J.; Burrel, M.; Garcia-Criado, Á.; Kelley, R.K.; Galle, P.R.; Mazzaferro, V.; Salem, R.; et al. BCLC strategy for prognosis prediction and treatment recommendation: The 2022 update. J. Hepatol. 2022, 76, 681–693. [Google Scholar] [CrossRef]
- Galle, P.R.; Forner, A.; Llovet, J.M.; Mazzaferro, V.; Piscaglia, F.; Raoul, J.-L.; Schirmacher, P.; Vilgrain, V. EASL Clinical Practice Guidelines: Management of hepatocellular carcinoma. J. Hepatol. 2018, 69, 182–236. [Google Scholar] [CrossRef]
- Brown, Z.J.; Tsilimigras, D.I.; Ruff, S.M.; Mohseni, A.; Kamel, I.R.; Cloyd, J.M.; Pawlik, T.M. Management of hepatocellular carcinoma. JAMA Surg. 2023, 158, 410. [Google Scholar] [CrossRef]
- Tümen, D.; Heumann, P.; Gülow, K.; Demirci, C.N.; Cosma, L.S.; Müller, M.; Kandulski, A. Pathogenesis and Current Treatment Strategies of Hepatocellular Carcinoma. Biomedicines 2022, 10, 3202. [Google Scholar] [CrossRef]
- Bureau, C.; Metivier, S.; Peron, J.M.; Selves, J.; Robic, M.A.; Gourraud, P.A.; Rouquet, O.; Dupuis, E.; Alric, L.; Vinel, J.P.; et al. Transient elastography accurately predicts presence of significant portal hypertension in patients with chronic liver disease. Aliment. Pharmacol. Ther. 2008, 27, 1261–1268. [Google Scholar] [CrossRef] [PubMed]
- Mauro, E.; Gadano, A. What’s new in portal hypertension? Liver Int. 2020, 40, 122–127. [Google Scholar] [CrossRef]
- de Franchis, R.; Bosch, J.; Garcia-Tsao, G.; Reiberger, T.; Ripoll, C.; Baveno VII Faculty. Baveno VII—Renewing consensus in portal hypertension. J. Hepatol. 2022, 76, 959–974. [Google Scholar] [CrossRef] [PubMed]
- Berzigotti, A.; Reig, M.; Abraldes, J.G.; Bosch, J.; Bruix, J. Portal hypertension and the outcome of surgery for hepatocellular carcinoma in compensated cirrhosis: A systematic review and meta-analysis. Hepatology 2015, 61, 526–536. [Google Scholar] [CrossRef] [PubMed]
- Cucchetti, A.; Cescon, M.; Pinna, A.D. Reply to “hepatic venous pressure gradient for preoperative assessment of patients with resectable hepatocellular carcinoma: A comment for moving forward”. J. Hepatol. 2016, 65, 231–232. [Google Scholar] [CrossRef]
- Procopet, B.; Fischer, P.; Horhat, A.; Mois, E.; Stefanescu, H.; Comsa, M.; Graur, F.; Bartoș, A.; Lupșor-Platon, M.; Badea, R.; et al. Good performance of liver stiffness measurement in the prediction of postoperative hepatic decompensation in patients with cirrhosis complicated with hepatocellular carcinoma. Med. Ultrason. 2018, 20, 272. [Google Scholar] [CrossRef]
- You, M.W.; Kim, K.W.; Pyo, J.; Huh, J.; Kim, H.J.; Lee, S.J.; Park, S.H. A Meta-analysis for the Diagnostic Performance of Transient Elastography for Clinically Significant Portal Hypertension. Ultrasound Med. Biol. 2017, 43, 59–68. [Google Scholar] [CrossRef]
- Inverso, D.; Iannacone, M. Spatiotemporal Dynamics of effector CD8+ T cell responses within the liver. J. Leukoc. Biol. 2015, 99, 51–55. [Google Scholar] [CrossRef] [PubMed]
- Guidotti, L.G.; Inverso, D.; Sironi, L.; Di Lucia, P.; Fioravanti, J.; Ganzer, L.; Fiocchi, A.; Vacca, M.; Aiolfi, R.; Sammicheli, S.; et al. Immunosurveillance of the liver by intravascular effector CD8+ T cells. Cell 2015, 161, 486–500. [Google Scholar] [CrossRef]
- Rajakannu, M.; Cherqui, D.; Ciacio, O.; Golse, N.; Pittau, G.; Allard, M.A.; Antonini, T.M.; Coilly, A.; Sa Cunha, A.; Castaing, D.; et al. Liver stiffness measurement by transient elastography predicts late posthepatectomy outcomes in patients undergoing resection for hepatocellular carcinoma. Surgery 2017, 162, 766–774. [Google Scholar] [CrossRef]
- Reiberger, T. The Value of Liver and Spleen Stiffness for Evaluation of Portal Hypertension in Compensated Cirrhosis. Hepatol. Commun. 2022, 6, 950–964. [Google Scholar] [CrossRef] [PubMed]
- Siu-Ting Lau, R.; Ip, P.; Lai-Hung Wong, G.; Wai-Sun Wong, V.; Jun-Yee Lo, E.; Kam-Cheung Wong, K.; Kai-Yip Fung, A.; Wong, J.; Kit-Fai, L.; Kwok-Chai Ng, K.; et al. Liver stiffness measurement predicts short-term and long-term outcomes in patients with hepatocellular carcinoma after curative liver resection. Surgeon 2022, 20, 78–84. [Google Scholar] [CrossRef]
- Augustin, S.; Millán, L.; González, A.; Martell, M.; Gelabert, A.; Segarra, A.; Serres, X.; Esteban, R.; Genescà, J. Detection of early portal hypertension with routine data and liver stiffness in patients with asymptomatic liver disease: A prospective study. J. Hepatol. 2014, 60, 561–569. [Google Scholar] [CrossRef]
- Shi, K.-Q.; Fan, Y.-C.; Pan, Z.-Z.; Lin, X.-F.; Liu, W.-Y.; Chen, Y.-P.; Zheng, M.-H. Transient elastography: A meta-analysis of Diagnostic Accuracy in evaluation of portal hypertension in chronic liver disease. Liver Int. 2012, 33, 62–71. [Google Scholar] [CrossRef]
- Procopeţ, B.; Tantau, M.; Bureau, C. Are there any alternative methods to hepatic venous pressure gradient in portal hypertension assessment? J. Gastrointestin Liver Dis. 2013, 22, 73–78. [Google Scholar] [PubMed]
- Popescu, I.; Câmpeanu, I. Surgical anatomy of the liver and liver resection. Brisbane 2000 Terminology. Chirurgia 2009, 104, 7–10. [Google Scholar]
- Popescu, I.; Bințințan, V.; Brașoveanu, V.; Ciuce, C.; Iancu, C.; Puia, I.C.; Lupașcu, C.; Tomescu, D.; Lazăr, F.; Dumitrașcu, T.; et al. Textbook of Hepatobiliary and Pancreatic Surgery and Liver Transplantation; Editura Academiei Române: Bucharest, Romania, 2016; pp. 323–332. [Google Scholar]
- Lee, C.-W.; Tsai, H.-I.; Lee, W.-C.; Huang, S.-W.; Lin, C.-Y.; Hsieh, Y.-C.; Kuo, T.; Chen, C.-W.; Yu, M.-C. Normal alpha-fetoprotein hepatocellular carcinoma: Are they really normal? J. Clin. Med. 2019, 8, 1736. [Google Scholar] [CrossRef]
- Colecchia, A. Prognostic factors for hepatocellular carcinoma recurrence. World J. Gastroenterol. 2014, 20, 5935. [Google Scholar] [CrossRef] [PubMed]
- Azoulay, D.; Ramos, E.; Casellas-Robert, M.; Salloum, C.; Lladó, L.; Nadler, R.; Busquets, J.; Caula-Freixa, C.; Mils, K.; Lopez-Ben, S.; et al. Liver resection for hepatocellular carcinoma in patients with clinically significant portal hypertension. JHEP Rep. 2021, 3, 100190. [Google Scholar] [CrossRef] [PubMed]
- Hidaka, M.; Eguchi, S.; Hara, T.; Soyama, A.; Okada, S.; Hamada, T.; Ono, S.; Adachi, T.; Kanetaka, K.; Takatsuki, M.; et al. A predictive formula for portal venous pressure prior to liver resection using directly measured values. J. Investig. Surg. 2018, 33, 118–122. [Google Scholar] [CrossRef] [PubMed]
- Llop, E.; Berzigotti, A.; Reig, M.; Erice, E.; Reverter, E.; Seijo, S.; Abraldes, J.G.; Bruix, J.; Bosch, J.; Garcia-Pegan, J.C.; et al. Assessment of portal hypertension by transient elastography in patients with compensated cirrhosis and potentially resectable liver tumors. J. Hepatol. 2012, 56, 103–108. [Google Scholar] [CrossRef] [PubMed]
- Tsilimigras, D.I.; Hyer, J.M.; Diaz, A.; Bagante, F.; Ratti, F.; Marques, H.P.; Soubrane, O.; Lam, V.; Poultsides, G.A.; Popescu, I.; et al. Synergistic impact of alpha-fetoprotein and tumor burden on long-term outcomes following curative-intent resection of hepatocellular carcinoma. Cancers 2021, 13, 747. [Google Scholar] [CrossRef] [PubMed]
- Ho, S.; Liu, P.; Hsu, C.; Ko, C.; Huang, Y.; Su, C.; Lee, R.-C.; Tsai, P.-H.; Hou, M.-C.; Hou, T.I. Tumor burden score as a new prognostic marker for patients with hepatocellular carcinoma undergoing transarterial chemoembolization. J. Gastroenterol. Hepatol. 2021, 36, 3196–3203. [Google Scholar] [CrossRef] [PubMed]
- Müller, L.; Hahn, F.; Auer, T.A.; Fehrenbach, U.; Gebauer, B.; Haubold, J.; Zensen, S.; Kim, M.-S.; Eisenblätter, M.; Diallo, T.-D.; et al. Tumor burden in patients with hepatocellular carcinoma undergoing transarterial chemoembolization: Head-to-head comparison of current scoring systems. Front. Oncol. 2022, 12, 850454. [Google Scholar] [CrossRef] [PubMed]
- Roayaie, S.; Jibara, G.; Tabrizian, P.; Park, J.; Yang, J.; Yan, L.; Schwartz, M.; Han, G.; Izzo, F.; Chen, M.; et al. The role of hepatic resection in the treatment of hepatocellular cancer. Hepatology 2015, 62, 440–451. [Google Scholar] [CrossRef] [PubMed]
- Lee, Y.R.; Park, S.Y.; Kim, S.U.; Jang, S.Y.; Tak, W.Y.; Kweon, Y.O.; Kim, B.K.; Park, J.Y.; Kim, D.Y.; Ahn, S.H.; et al. Using transient elastography to predict hepatocellular carcinoma recurrence after radiofrequency ablation. J. Gastroenterol. Hepatol. 2017, 32, 1079–1086. [Google Scholar] [CrossRef]
- Chong, C.C.; Wong, G.L.; Chan, A.W.; Wong, V.W.; Fong, A.K.; Cheung, Y.; Wong, J.; Lee, K.-F.; Chan, S.L.; Lai, P.B.-S.; et al. Liver stiffness measurement predicts high-grade post-hepatectomy liver failure: A prospective cohort study. J. Gastroenterol. Hepatol. 2017, 32, 506–514. [Google Scholar] [CrossRef]
- Eslam, M.; Ampuero, J.; Jover, M.; Abd-Elhalim, H.; Rincon, D.; Shatat, M.; Camacho, I.; Kamal, A.; La Iacono, O.; Nasr, Z.; et al. Predicting portal hypertension and variceal bleeding using non-invasive measurements of metabolic variables. Ann. Hepatol. 2013, 12, 420–430. [Google Scholar] [CrossRef]
- Boleslawski, E.; Petrovai, G.; Truant, S.; Dharancy, S.; Duhamel, A.; Salleron, J.; Deltenre, P.; Lebuffe, G.; Mathurin, P.; Pruvot, F.R.; et al. Hepatic venous pressure gradient in the assessment of portal hypertension before liver resection in patients with cirrhosis. Br. J. Surg. 2012, 99, 855–863. [Google Scholar] [CrossRef] [PubMed]
- Kim, T.Y.; Suk, K.T.; Jeong, S.W.; Ryu, T.; Kim, D.J.; Baik, S.K.; Sohn, J.H.; Jeong, W.K.; Choi, E.; Jang, J.Y.; et al. The new cutoff value of the hepatic venous pressure gradient on predicting long-term survival in cirrhotic patients. J. Korean Med. Sci. 2019, 34, 33. [Google Scholar] [CrossRef] [PubMed]
- Allaire, M.; Goumard, C.; Lim, C.; Le Cleach, A.; Wagner, M.; Scatton, O. New frontiers in liver resection for hepatocellular carcinoma. JHEP Rep. 2020, 2, 100134. [Google Scholar] [CrossRef] [PubMed]
- Wu, D.; Chen, E.; Liang, T.; Wang, M.; Chen, B.; Lang, B.; Hong, T. Predicting the risk of postoperative liver failure and overall survival using liver and spleen stiffness measurements in patients with hepatocellular carcinoma. Medicine 2017, 96, 34. [Google Scholar] [CrossRef] [PubMed]
- Cescon, M.; Colecchia, A.; Cucchetti, A.; Peri, E.; Montrone, L.; Ercolani, G.; Festi, D.; Pinna, A.D. Value of transient elastography measured with fibroscan in predicting the outcome of hepatic resection for hepatocellular carcinoma. Ann. Surg. 2012, 256, 706–713. [Google Scholar] [CrossRef] [PubMed]
- Sandrin, L.; Fourquet, B.; Hasquenoph, J.-M.; Yon, S.; Fournier, C.; Mal, F.; Christidis, C.; Ziol, M.; Poulet, B.; Kazemi, F.; et al. Transient elastography: A new noninvasive method for assessment of Hepatic fibrosis. Ultrasound Med. Biol. 2003, 29, 1705–1713. [Google Scholar] [CrossRef] [PubMed]
- Foucher, J.; Castera, L.; Bernard, P.-H.; Adhoute, X.; Laharie, D.; Bertet, J.; Couzigou, P.; de Ledinghen, V. Prevalence and factors associated with failure of liver stiffness measurement using fibroscan in a prospective study of 2114 examinations. Eur. J. Gastroenterol. Hepatol. 2006, 18, 411–412. [Google Scholar] [CrossRef]
- Tsilimigras, D.I.; Bagante, F.; Sahara, K.; Moris, D.; Hyer, J.M.; Wu, L.; Ratti, F.; Marques, H.P.; Soubrane, O.; Paredes, A.Z.; et al. Prognosis after resection of Barcelona Clinic Liver Cancer (BCLC) stage 0, a, and B hepatocellular carcinoma: A comprehensive assessment of the current BCLC classification. Ann. Surg. Oncol. 2019, 26, 3693–3700. [Google Scholar] [CrossRef]
- Bolondi, L.; Burroughs, A.; Dufour, J.-F.; Galle, P.; Mazzaferro, V.; Piscaglia, F.; Raoul, J.; Sangro, B. Heterogeneity of patients with intermediate (BCLC B) hepatocellular carcinoma: Proposal for a subclassification to facilitate treatment decisions. Semin. Liver Dis. 2013, 32, 348–359. [Google Scholar] [CrossRef]
- Popa, C.; Schlanger, D.; Buliarca, A.; Mocan, T.; Procopet, B.; Sparchez, Z.; Al Hajjar, N. Is there a role for surgery in BCLC B hepatocellular carcinoma? Chirurgia 2021, 116, 1. [Google Scholar] [CrossRef] [PubMed]
- Kim, H.; Ahn, S.W.; Hong, S.K.; Yoon, K.C.; Kim, H.-S.; Choi, Y.R.; Lee, H.W.; Yi, N.-J.; Lee, K.-W.; Suh, K.-S. Survival benefit of liver resection for Barcelona clinic liver cancer stage B hepatocellular carcinoma. Br. J. Surg. 2017, 104, 1045–1052. [Google Scholar] [CrossRef] [PubMed]
- Albilllos, A.; Garcia-Tsao, G. Classification of cirrhosis: The clinical use of HVPG measurements. Dis. Markers 2011, 31, 121–128. [Google Scholar] [CrossRef] [PubMed]
- Ripoll, C.; Groszmann, R.J.; Garcia-Tsao, G.; Bosch, J.; Grace, N.; Burroughs, A.; Planas, R.; Escorsell, A.; Garcia-Pagan, J.C.; Makuch, R.; et al. Hepatic venous pressure gradient predicts development of hepatocellular carcinoma independently of severity of cirrhosis. J. Hepatol. 2009, 50, 923–928. [Google Scholar] [CrossRef] [PubMed]
- Suk, K.T. Hepatic venous pressure gradient: Clinical use in chronic liver disease. Clin. Mol. Hepatol. 2014, 20, 6–14. [Google Scholar] [CrossRef] [PubMed]
- Lee, J.; Lee, H.; Kim, S.; Ahn, S.; Lee, K. Follow-up liver stiffness measurements after liver resection influence oncologic outcomes of hepatitis-B-associated hepatocellular carcinoma with liver cirrhosis. Cancers 2019, 11, 425. [Google Scholar] [CrossRef] [PubMed]
- Lee, J.S.; Sinn, D.H.; Park, S.Y.; Shin, H.J.; Lee, H.W.; Kim, B.K.; Park, J.Y.; Kim, D.Y.; Ahn, S.H.; Oh, J.H.; et al. Liver stiffness-based risk prediction model for hepatocellular carcinoma in patients with nonalcoholic fatty liver disease. Cancers 2021, 13, 4567. [Google Scholar] [CrossRef]
- Kim, S.U.; Ahn, S.H.; Park, J.Y.; Kim, Y.; Chon, C.Y.; Choi, J.S.; Kim, K.S.; Han, K.-H. Prediction of postoperative hepatic insufficiency by liver stiffness measurement (FibroScan) before curative resection of hepatocellular carcinoma: A pilot study. Hepatol. Int. 2008, 2, 471–477. [Google Scholar] [CrossRef]


| Parameters | Minimum | Maximum | Mean Value |
|---|---|---|---|
| Age | 41 | 82 | 66.17 (±7.44) |
| PTD | 1.3 | 16 | 4.49 (±2.58) |
| TBS | 1 | 16.03 | 4.78 (±2.53) |
| HVPG | 2 | 24 | 9.11 (±5.10) |
| TE-LSM | 3.3 | 75 | 16.59 (±13.29) |
| DB | 0.09 | 2.6 | 0.51 (±0.39) |
| TB | 0.3 | 3.3 | 0.99 (±0.60) |
| ALB | 2.2 | 5.6 | 4.06 (±0.67) |
| INR | 0.92 | 2.5 | 1.20 (±0.21) |
| ASAT | 10 | 425 | 54.21 (±57.72) |
| ALAT | 4 | 588 | 47.72 (±59.26) |
| AFP | 1.5 | 2761 | 102.27 (±298.81) |
| PLT | 31 | 537 | 168.23 (±79.20) |
| BMI | 0 | 3 | 1.85 (±0.78) |
| OS (months) | 0 | 95 | 35.36 (±23.81) |
| Parameters | Postoperative Decompensation | p Value | 3 m Survival | p Value | 6 m Survival | p Value | 12 m Survival | p Value | |||||
|---|---|---|---|---|---|---|---|---|---|---|---|---|---|
| No | Yes | Yes | No | Yes | No | Yes | No | ||||||
| HVPG | <10 | 76.66% | 23.34% | 0.92 | 95% | 5% | 0.77 | 90% | 10% | 0.39 | 76.66% | 23.34% | 0.66 |
| >10 | 71.92% | 28.08% | 93.50% | 6.50% | 83.87% | 16.13% | 80.64% | 19.36% | |||||
| TE-LSM | <10 kPa | 82.14% | 17.86% | 0.68 | 100% | 0% | 0.36 | 96.42% | 3.58% | 0.07 | 82.14% | 17.86% | 0.22 |
| 10–25 kPa | 73.17% | 26.83% | 95.12% | 4.88% | 82.92% | 7.08% | 80.48% | 19.52% | |||||
| >25 kPa | 76.92% | 23.08% | 100% | 0% | 100% | 0% | 100% | 0% | |||||
| TBS | Low | 78.33% | 21.67% | 0.65 | 95% | 5% | 0.76 | 88.33% | 11.67% | 0.68 | 78.33% | 21.67% | 0.65 |
| Intermediate | 77.50% | 22.50% | 100% | 0% | 85.18% | 14.82% | 77.77% | 22.23% | |||||
| High | 100% | 0% | 100% | 0% | 100% | 0% | 100% | 0% | |||||
| MELD score | 8.93 (±2.34) | 10.06 (±3.19) | 0.03 | 8.99 (±2.39) | 11.67 (±3.96) | 0.002 | 9.06 (±2.45) | 9.79 (±3.29) | 0.25 | 9.04 (±2.40) | 9.61 (±3.14) | 0.27 | |
| Parameters | Univariate | Multivariate | |||
|---|---|---|---|---|---|
| OR (CI—95%) | p Value | OR (CI—95%) | p Value | ||
| TBS | Low | REF | - | ||
| Intermediate | 1.18 (0.16–8.81) | 0.86 | |||
| High | 1.42 (0.19–10.38) | 0.72 | |||
| HVPG | >10 mmHg | 2.08 (1.07–4.06) | 0.03 | 1.92 (0.78–4.70) | 0.15 |
| TE-LSM | <10 kPa | REF | - | ||
| 10–25 kPa | 1.07 (0.35–3.20) | 0.9 | |||
| >25 kPa | 1.70 (0.63–4.54) | 0.28 | |||
| AFP | >400 ng/mL | 2.77 (1.37–5.62) | 0.004 | 12.92 (2.95–56.5) | 0.001 |
| CP | Class B | 3.31 (1.84–5.95) | <0.001 | 16.17 (4.11–62.51) | <0.001 |
| TAC score | Very low | REF | |||
| Low | 2.98 (0.91–9.87) | 0.03 | 3.81 (0.63–23.29) | 0.14 | |
| Intermediate | 2.74 (0.83–9.03) | 0.04 | 5.15 (1.21–21.94) | 0.28 | |
Disclaimer/Publisher’s Note: The statements, opinions and data contained in all publications are solely those of the individual author(s) and contributor(s) and not of MDPI and/or the editor(s). MDPI and/or the editor(s) disclaim responsibility for any injury to people or property resulting from any ideas, methods, instructions or products referred to in the content. |
© 2024 by the authors. Licensee MDPI, Basel, Switzerland. This article is an open access article distributed under the terms and conditions of the Creative Commons Attribution (CC BY) license (https://creativecommons.org/licenses/by/4.0/).
Share and Cite
Ursu, C.-P.; Ciocan, A.; Ursu, Ș.; Ciocan, R.A.; Gherman, C.D.; Cordoș, A.-A.; Vălean, D.; Pop, R.S.; Furcea, L.E.; Procopeț, B.; et al. Prognostic Indicators of Overall Survival in Hepatocellular Carcinoma Patients Undergoing Liver Resection. Cancers 2024, 16, 1427. https://doi.org/10.3390/cancers16071427
Ursu C-P, Ciocan A, Ursu Ș, Ciocan RA, Gherman CD, Cordoș A-A, Vălean D, Pop RS, Furcea LE, Procopeț B, et al. Prognostic Indicators of Overall Survival in Hepatocellular Carcinoma Patients Undergoing Liver Resection. Cancers. 2024; 16(7):1427. https://doi.org/10.3390/cancers16071427
Chicago/Turabian StyleUrsu, Cristina-Paula, Andra Ciocan, Ștefan Ursu, Răzvan Alexandru Ciocan, Claudia Diana Gherman, Ariana-Anamaria Cordoș, Dan Vălean, Rodica Sorina Pop, Luminița Elena Furcea, Bogdan Procopeț, and et al. 2024. "Prognostic Indicators of Overall Survival in Hepatocellular Carcinoma Patients Undergoing Liver Resection" Cancers 16, no. 7: 1427. https://doi.org/10.3390/cancers16071427
APA StyleUrsu, C.-P., Ciocan, A., Ursu, Ș., Ciocan, R. A., Gherman, C. D., Cordoș, A.-A., Vălean, D., Pop, R. S., Furcea, L. E., Procopeț, B., Ștefănescu, H., Moiș, E. I., Al Hajjar, N., & Graur, F. (2024). Prognostic Indicators of Overall Survival in Hepatocellular Carcinoma Patients Undergoing Liver Resection. Cancers, 16(7), 1427. https://doi.org/10.3390/cancers16071427

