Cumulative Dosage of Intrathecal Chemotherapy Agents Predicts White Matter Integrity in Long-Term Survivors of Acute Lymphoblastic Leukemia: A PETALE Study
Simple Summary
Abstract
1. Introduction
2. Methods
2.1. Study Design and Recruitment
2.2. Data Collection and Study Procedures
2.2.1. Neuroimaging Protocol
2.2.2. Neuroimaging Postprocessing
2.2.3. Magnetization Transfer Processing
2.2.4. Cognitive Assessment
2.3. Statistical Analysis
3. Results
4. Discussion
5. Conclusions
Supplementary Materials
Author Contributions
Funding
Institutional Review Board Statement
Informed Consent Statement
Data Availability Statement
Conflicts of Interest
References
- Jeha, S.; Pei, D.; Choi, J.; Cheng, C.; Sandlund, J.T.; Coustan-Smith, E.; Campana, D.; Inaba, H.; Rubnitz, J.E.; Ribeiro, R.C.; et al. Improved CNS Control of Childhood Acute Lymphoblastic Leukemia without Cranial Irradiation: St Jude Total Therapy Study 16. J. Clin. Oncol. 2019, 37, 3377. [Google Scholar] [CrossRef]
- Waber, D.P.; Turek, J.; Catania, L.; Stevenson, K.; Robaey, P.; Romero, I.; Adams, H.; Alyman, C.; Jandet-Brunet, C.; Neuberg, D.S.; et al. Neuropsychological Outcomes from a Randomized Trial of Triple Intrathecal Chemotherapy Compared with 18 Gy Cranial Radiation as CNS Treatment in Acute Lymphoblastic Leukemia: Findings from Dana-Farber Cancer Institute ALL Consortium Protocol 95-01. J. Clin. Oncol. 2007, 25, 4914–4921. [Google Scholar] [CrossRef] [PubMed]
- Vora, A.; Andreano, A.; Pui, C.H.; Hunger, S.P.; Schrappe, M.; Moericke, A.; Biondi, A.; Escherich, G.; Silverman, L.B.; Goulden, N.; et al. Influence of Cranial Radiotherapy on Outcome in Children with Acute Lymphoblastic Leukemia Treated with Contemporary Therapy. J. Clin. Oncol. 2016, 34, 919. [Google Scholar] [CrossRef] [PubMed]
- Reddick, W.E.; Taghipour, D.J.; Glass, J.O.; Ashford, J.; Xiong, X.; Wu, S.; Bonner, M.; Khan, R.B.; Conklin, H.M. Prognostic Factors That Increase the Risk for Reduced White Matter Volumes and Deficits in Attention and Learning for Survivors of Childhood Cancers. Pediatr. Blood Cancer 2014, 61, 1074–1079. [Google Scholar] [CrossRef]
- Boulet-Craig, A.; Robaey, P.; Laniel, J.; Bertout, L.; Drouin, S.; Krajinovic, M.; Laverdière, C.; Sinnett, D.; Sultan, S.; Lippé, S. DIVERGT Screening Procedure Predicts General Cognitive Functioning in Adult Long-Term Survivors of Pediatric Acute Lymphoblastic Leukemia: A PETALE Study. Pediatr. Blood Cancer 2018, 65. [Google Scholar] [CrossRef] [PubMed]
- Krull, K.R.; Brinkman, T.M.; Li, C.; Armstrong, G.T.; Ness, K.K.; Kumar Srivastava, D.; Gurney, J.G.; Kimberg, C.; Krasin, M.J.; Pui, C.H.; et al. Neurocognitive Outcomes Decades after Treatment for Childhood Acute Lymphoblastic Leukemia: A Report from the St Jude Lifetime Cohort Study. J. Clin. Oncol. 2013, 31, 4407–4415. [Google Scholar] [CrossRef]
- Waber, D.P.; Mccabe, M.; Sebree, M.; Forbes, P.W.; Adams, H.; Alyman, C.; Sands, S.A.; Robaey, P.; Romero, I.; Routhier, M.È.; et al. Neuropsychological Outcomes of a Randomized Trial of Prednisone versus Dexamethasone in Acute Lymphoblastic Leukemia: Findings from Dana-Farber Cancer Institute All Consortium Protocol 00-01. Pediatr. Blood Cancer 2013, 60, 1785–1791. [Google Scholar] [CrossRef]
- Darling, S.J.; De Luca, C.; Anderson, V.; McCarthy, M.; Hearps, S.; Seal, M.L. White Matter Microstructure and Information Processing at the Completion of Chemotherapy-Only Treatment for Pediatric Acute Lymphoblastic Leukemia. Dev. Neuropsychol. 2018, 43, 385–402. [Google Scholar] [CrossRef]
- Zeller, B.; Tamnes, C.K.; Kanellopoulos, A.; Amlien, I.K.; Andersson, S.; Due-Tønnessen, P.; Fjell, A.M.; Walhovd, K.B.; Westlye, L.T.; Ruud, E. Reduced Neuroanatomic Volumes in Long-Term Survivors of Childhood Acute Lymphoblastic Leukemia. J. Clin. Oncol. 2013, 31, 2078–2085. [Google Scholar] [CrossRef]
- Genschaft, M.; Huebner, T.; Plessow, F.; Ikonomidou, V.N.; Abolmaali, N.; Krone, F.; Hoffmann, A.; Holfeld, E.; Vorwerk, P.; Kramm, C.; et al. Impact of Chemotherapy for Childhood Leukemia on Brain Morphology and Function. PLoS ONE 2013, 8, e78599. [Google Scholar] [CrossRef]
- Armstrong, G.T.; Sklar, C.A.; Hudson, M.M.; Robison, L.L. Long-Term Health Status among Survivors of Childhood Cancer: Does Sex Matter? J. Clin. Oncol. 2007, 25, 4477–4489. [Google Scholar] [CrossRef] [PubMed]
- Buizer, A.I.; De Sonneville, L.M.J.; Veerman, A.J.P. Effects of Chemotherapy on Neurocognitive Function in Children with Acute Lymphoblastic Leukemia: A Critical Review of the Literature. Pediatr. Blood Cancer 2009, 52, 447–454. [Google Scholar] [CrossRef] [PubMed]
- Cheung, Y.T.; Krull, K.R. Neurocognitive Outcomes in Long-Term Survivors of Childhood Acute Lymphoblastic Leukemia Treated on Contemporary Treatment Protocols: A Systematic Review. Neurosci. Biobehav. Rev. 2015, 53, 108–120. [Google Scholar] [CrossRef] [PubMed]
- Waber, D.P.; Queally, J.T.; Catania, L.; Robaey, P.; Romero, I.; Adams, H.; Alyman, C.; Jandet-Brunet, C.; Sallan, S.E.; Silverman, L.B. Neuropsychological Outcomes of Standard Risk and High Risk Patients Treated for Acute Lymphoblastic Leukemia on Dana-Farber ALL Consortium Protocol 95-01 at 5 Years Post-Diagnosis. Pediatr. Blood Cancer 2012, 58, 758–765. [Google Scholar] [CrossRef] [PubMed]
- Van der Plas, E.; Schachar, R.J.; Hitzler, J.; Crosbie, J.; Guger, S.L.; Spiegler, B.J.; Ito, S.; Nieman, B.J. Brain Structure, Working Memory and Response Inhibition in Childhood Leukemia Survivors. Brain Behav. 2017, 7, e00621. [Google Scholar] [CrossRef] [PubMed]
- Merriman, J.D.; Von Ah, D.; Miaskowski, C.; Aouizerat, B.E. Proposed Mechanisms for Cancer- and Treatment-Related Cognitive Changes. Semin. Oncol. Nurs. 2013, 29, 260–269. [Google Scholar] [CrossRef] [PubMed]
- Kesler, S.R.; Rao, A.; Blayney, D.W.; Oakley-Girvan, I.A.; Karuturi, M.; Palesh, O. Predicting Long-Term Cognitive Outcome Following Breast Cancer with Pre-Treatment Resting State FMRI and Random Forest Machine Learning. Front. Hum. Neurosci. 2017, 11, 285791. [Google Scholar] [CrossRef]
- Zhou, C.; Zhuang, Y.; Lin, X.; Michelson, A.D.; Zhang, A. Changes in Neurocognitive Function and Central Nervous System Structure in Childhood Acute Lymphoblastic Leukaemia Survivors after Treatment: A Meta-Analysis. Br. J. Haematol. 2020, 188, 945–961. [Google Scholar] [CrossRef]
- Wu, Y.; Du, H.; Storey, P.; Glielmi, C.; Malone, F.; Sidharthan, S.; Ragin, A.; Tofts, P.S.; Edelman, R.R. Comprehensive Brain Analysis with Automated High-Resolution Magnetization Transfer Measurements. J. Magn. Reson. Imaging 2012, 35, 309–317. [Google Scholar] [CrossRef][Green Version]
- Aukema, E.J.; Caan, M.W.A.; Oudhuis, N.; Majoie, C.B.L.M.; Vos, F.M.; Reneman, L.; Last, B.F.; Grootenhuis, M.A.; Schouten-van Meeteren, A.Y.N. White Matter Fractional Anisotropy Correlates with Speed of Processing and Motor Speed in Young Childhood Cancer Survivors. Int. J. Radiat. Oncol. Biol. Phys. 2009, 74, 837–843. [Google Scholar] [CrossRef]
- Voon, N.S.; Manan, H.A.; Yahya, N. Diffusion Tensor Imaging Indices as Biomarkers for Cognitive Changes Following Paediatric Radiotherapy: A Systematic Review and Meta-Analysis. Strahlenther. Und Onkol. 2022, 198, 409–426. [Google Scholar] [CrossRef]
- Sabin, N.D.; Cheung, Y.T.; Reddick, W.E.; Bhojwani, D.; Liu, W.; Glass, J.O.; Brinkman, T.M.; Hwang, S.N.; Srivastava, D.; Pui, C.H.; et al. The Impact of Persistent Leukoencephalopathy on Brain White Matter Microstructure in Long-Term Survivors of Acute Lymphoblastic Leukemia Treated with Chemotherapy Only. AJNR Am. J. Neuroradiol. 2018, 39, 1919–1925. [Google Scholar] [CrossRef] [PubMed]
- Kesler, S.R.; Tanaka, H.; Koovakkattu, D. Cognitive Reserve and Brain Volumes in Pediatric Acute Lymphoblastic Leukemia. Brain Imaging Behav. 2010, 4, 256–269. [Google Scholar] [CrossRef] [PubMed]
- Wei, K.; Liang, Y.; Yang, B.; Liu, L.; Cao, W.; Li, T.; Wang, R. An Observational MRI Study of Methotrexate-Treated Children with Acute Lymphoblastic Leukemia in Remission and Subtle Cognitive Decline. Quant. Imaging Med. Surg. 2022, 12, 2474–2486. [Google Scholar] [CrossRef] [PubMed]
- Marcoux, S.; Drouin, S.; Laverdière, C.; Alos, N.; Andelfinger, G.U.; Bertout, L.; Curnier, D.; Friedrich, M.G.; Kritikou, E.A.; Lefebvre, G.; et al. The PETALE Study: Late Adverse Effects and Biomarkers in Childhood Acute Lymphoblastic Leukemia Survivors. Pediatr. Blood Cancer 2017, 64, e26361. [Google Scholar] [CrossRef]
- Krull, K.R.; Okcu, M.F.; Potter, B.; Jain, N.; Dreyer, Z.A.; Kamdar, K.; Brouwers, P. Screening for Neurocognitive Impairment in Pediatric Cancer Long-Term Survivors. J. Clin. Oncol. 2008, 26, 4138–4143. [Google Scholar] [CrossRef] [PubMed]
- Boulet-Craig, A.; Robaey, P.; Barlaam, F.; Laniel, J.; Oswald, V.; Jerbi, K.; Serge, S.; Affret-Bertout, L.; Drouin, S.; Krajinovic, M.; et al. Visual Short-Term Memory Activation Patterns in Adult Survivors of Childhood Acute Lymphoblastic Leukemia. Cancer Oct. 2019, 15, 3639–3648. [Google Scholar] [CrossRef]
- Cabana, J.-F.; Gu, Y.E.; Boudreau, M.; Levesque, I.R.; Atchia, Y.; Sled, J.G.; Narayanan, S.; Arnold, D.L.; Pike, G.B.; Cohen-Adad, J.; et al. Quantitative Magnetization Transfer Imaging Made Easy with QMTLab: Software for Data Simulation, Analysis, and Visualization. Concepts Magn. Reson. Part A 2015, 44A, 263–277. [Google Scholar] [CrossRef]
- Fischl, B. FreeSurfer. Neuroimage 2012, 62, 774–781. [Google Scholar] [CrossRef]
- Ségonne, F.; Dale, A.M.; Busa, E.; Glessner, M.; Salat, D.; Hahn, H.K.; Fischl, B. A Hybrid Approach to the Skull Stripping Problem in MRI. Neuroimage 2004, 22, 1060–1075. [Google Scholar] [CrossRef]
- Fischl, B.; Salat, D.H.; Busa, E.; Albert, M.; Dieterich, M.; Haselgrove, C.; Van der Kouwe, A.; Killiany, R.; Kennedy, D.; Klaveness, S.; et al. Neurotechnique Whole Brain Segmentation: Automated Labeling of Neuroanatomical Structures in the Human Brain. Neurotechnique 2002, 33, 341–355. [Google Scholar]
- Sled, J.; Zijdenbos, A.; Evans, A. A Nonparametric Method for Automatic Correction of Intensity Nonuniformity in MRI Data. IEEE Trans. Med. Imaging 1998, 17, 87–97. [Google Scholar] [CrossRef]
- Ségonne, F.; Pacheco, J.; Fischl, B. Geometrically Accurate Topology-Correction of Cortical Surfaces Using Nonseparating Loops. IEEE Trans. Med. Imaging 2007, 26, 518–529. [Google Scholar] [CrossRef]
- Buckner, R.L.; Head, D.; Parker, J.; Fotenos, A.F.; Marcus, D.; Morris, J.C.; Snyder, A.Z. A Unified Approach for Morphometric and Functional Data Analysis in Young, Old, and Demented Adults Using Automated Atlas-Based Head Size Normalization: Reliability and Validation against Manual Measurement of Total Intracranial Volume. Neuroimage 2004, 23, 724–738. [Google Scholar] [CrossRef]
- Jenkinson, M.; Bannister, P.; Brady, M.; Smith, S. Improved Optimization for the Robust and Accurate Linear Registration and Motion Correction of Brain Images. Neuroimage 2002, 17, 825–841. [Google Scholar] [CrossRef] [PubMed]
- Wechsler, D. Wechsler Adult Intelligence Scale, 4th ed.; NCS Pearson: Bloomington, MN, USA, 2008. [Google Scholar]
- Delis, D.; Kaplan, E.; Kramer, J. Delis–Kaplan Executive Function System; Psychological Corporation: San Antonio, TX, USA, 2001. [Google Scholar]
- Klove, H. Grooved Pegboard Test; Lafayette Instrument Company: Lafayette, IN, USA, 1963. [Google Scholar]
- Cohen, J. A Power Primer. Psychol Bull. 1992, 112, 155–159. [Google Scholar] [CrossRef] [PubMed]
- Cohen, J. Statistical Power Analysis for the Behavioral Sciences; Academic Press: Cambridge, MA, USA, 2013. [Google Scholar]
- Benjamini, Y.; Hochberg, Y. Controlling the False Discovery Rate: A Practical and Powerful Approach to Multiple Testing. J. R. Stat. Soc. Ser. B 1995, 57, 289–300. [Google Scholar] [CrossRef]
- Benjamini, Y.; Yekutieli, D. The Control of the False Discovery Rate in Multiple Testing under Dependency. Ann. Stat. 2001, 29, 1165–1188. [Google Scholar] [CrossRef]
- Glickman, M.E.; Rao, S.R.; Schultz, M.R. False Discovery Rate Control Is a Recommended Alternative to Bonferroni-Type Adjustments in Health Studies. J. Clin. Epidemiol 2014, 67, 850–857. [Google Scholar] [CrossRef] [PubMed]
- Streiner, D.L.; Norman, G.R. Correction for Multiple Testing: Is There a Resolution? Chest 2011, 140, 16–18. [Google Scholar] [CrossRef] [PubMed]
- Baynes, K. Corpus Callosum. In Encyclopedia of the Human Brain; Academic Press: Cambridge, MA, USA, 2002; pp. 51–64. [Google Scholar]
- Eccher, M. Corpus Callosum. In Encyclopedia of the Neurological Sciences; Academic Press: Cambridge, MA, USA, 2014; pp. 867–868. ISBN 9780123851574. [Google Scholar]
- Bartha-Doering, L.; Kollndorfer, K.; Schwartz, E.; Fischmeister, F.P.S.; Alexopoulos, J.; Langs, G.; Prayer, D.; Kasprian, G.; Seidl, R. The Role of the Corpus Callosum in Language Network Connectivity in Children. Dev. Sci. 2021, 24, e13031. [Google Scholar] [CrossRef] [PubMed]
- Koch, K.; Wagner, G.; Schachtzabel, C.; Schultz, C.C.; Güllmar, D.; Reichenbach, J.R.; Sauer, H.; Schlösser, R.G.M. Age-Dependent Visuomotor Performance and White Matter Structure: A DTI Study. Brain Struct. Funct. 2013, 218, 1075–1084. [Google Scholar] [CrossRef] [PubMed]
- Degraeve, B.; Sequeira, H.; Mecheri, H.; Lenne, B. Corpus Callosum Damage to Account for Cognitive, Affective, and Social-Cognitive Dysfunctions in Multiple Sclerosis: A Model of Callosal Disconnection Syndrome? Mult. Scler. J. 2023, 29, 160–168. [Google Scholar] [CrossRef] [PubMed]
- Llufriu, S.; Blanco, Y.; Martinez-Heras, E.; Casanova-Molla, J.; Igo Gabilondo, I.; Sepulveda, M.; Falcon, C.; Berenguer, J.; Bargallo, N.; Villoslada, P.; et al. Influence of Corpus Callosum Damage on Cognition and Physical Disability in Multiple Sclerosis: A Multimodal Study. PLoS ONE 2012, 7, e37167. [Google Scholar] [CrossRef] [PubMed]
- Pfefferbaum, A.; Adalsteinsson, E.; Sullivan, E.V. Dysmorphology and Microstructural Degradation of the Corpus Callosum: Interaction of Age and Alcoholism. Neurobiol. Aging 2006, 27, 994–1009. [Google Scholar] [CrossRef] [PubMed]
- Luders, E.; Toga, A.W. Sex Differences in Brain Anatomy. Prog. Brain Res. 2010, 186, 2–12. [Google Scholar] [CrossRef]
- Lüders, E.; Steinmetz, H.; Jäncke, L. Brain Size and Grey Matter Volume in the Healthy Human Brain. Neuroreport 2002, 13, 2371–2374. [Google Scholar] [CrossRef] [PubMed]
- Eikenes, L.; Visser, E.; Vangberg, T.; Håberg, A.K. Both Brain Size and Biological Sex Contribute to Variation in White Matter Microstructure in Middle-Aged Healthy Adults. Hum. Brain Mapp. 2023, 44, 691–709. [Google Scholar] [CrossRef]
- Björnholm, L.; Nikkinen, J.; Kiviniemi, V.; Nordström, T.; Niemelä, S.; Drakesmith, M.; Evans, J.C.; Pike, G.B.; Veijola, J.; Paus, T. Structural Properties of the Human Corpus Callosum: Multimodal Assessment and Sex Differences. Neuroimage 2017, 152, 108–118. [Google Scholar] [CrossRef]
- Silver, N.C.; Barker, G.J.; MacManus, D.G.; Tofts, P.S.; Miller, D.H. Magnetisation Transfer Ratio of Normal Brain White Matter: A Normative Database Spanning Four Decades of Life. J. Neurol. Neurosurg. Psychiatry 1997, 62, 223–228. [Google Scholar] [CrossRef][Green Version]
- Armstrong, C.L.; Traipe, E.; Hunter, J.V.; Haselgrove, J.C.; Ledakis, G.E.; Tallent, E.M.; Shera, D.; Van Buchem, M.A. Age-Related, Regional, Hemispheric, and Medial-Lateral Differences in Myelin Integrity in Vivo in the Normal Adult Brain. Am. J. Neuroradiol. 2004, 25, 977–984. [Google Scholar] [PubMed]
- Iyer, N.S.; Balsamo, L.M.; Bracken, M.B.; Kadan-Lottick, N.S. Chemotherapy-Only Treatment Effects on Long-Term Neurocognitive Functioning in Childhood ALL Survivors: A Review and Meta-Analysis. Blood 2015, 126, 346–353. [Google Scholar] [CrossRef] [PubMed]
- Krull, K.R.; Cheung, Y.T.; Liu, W.; Fellah, S.; Reddick, W.E.; Brinkman, T.M.; Kimberg, C.; Ogg, R.; Srivastava, D.; Pui, C.H.; et al. Chemotherapy Pharmacodynamics and Neuroimaging and Neurocognitive Outcomes in Long-Term Survivors of Childhood Acute Lymphoblastic Leukemia. J. Clin. Oncol. 2016, 34, 2644–2653. [Google Scholar] [CrossRef] [PubMed]
- Bhojwani, D.; Sabin, N.D.; Pei, D.; Yang, J.J.; Khan, R.B.; Panetta, J.C.; Krull, K.R.; Inaba, H.; Rubnitz, J.E.; Metzger, M.L.; et al. Methotrexate-Induced Neurotoxicity and Leukoencephalopathy in Childhood Acute Lymphoblastic Leukemia. J. Clin. Oncol. 2014, 32, 949–959. [Google Scholar] [CrossRef] [PubMed]
- Azhideh, A.; Taherian, M.; Tajabadi, Z.; Taherian, R. Methotrexate-Induced Neurocognitive Late Effects in Treatment of Pediatric Acute Lymphoblastic Leukemia: A Review. J. Hum. Health Halal Metr. 2021, 2, 63–74. [Google Scholar] [CrossRef]
- Śliwa-Tytko, P.; Kaczmarska, A.; Lejman, M.; Zawitkowska, J. Neurotoxicity Associated with Treatment of Acute Lymphoblastic Leukemia Chemotherapy and Immunotherapy. Int. J. Mol. Sci. 2022, 23, 5515. [Google Scholar] [CrossRef]
- Richards, S.; Pui, C.H.; Gayon, P. Systematic Review and Meta-Analysis of Randomized Trials of Central Nervous System Directed Therapy for Childhood Acute Lymphoblastic Leukaemia. Pediatr. Blood Cancer 2013, 60, 185. [Google Scholar] [CrossRef]
- Cole, P.D.; Kamen, B.A. Delayed Neurotoxicity Associated with Therapy for Children with Acute Lymphoblastic Leukemia. Ment. Retard. Dev. Disabil. Res. Rev. 2006, 12, 174–183. [Google Scholar] [CrossRef]
- Takahashi, S.; Sato, S.; Igarashi, S.; Dairoku, H.; Takiguchi, Y.; Takimoto, T. Neurocognitive Deficits in Survivors of Childhood Acute Myeloid Leukemia. BMC Pediatr 2022, 22, 1–8. [Google Scholar] [CrossRef] [PubMed]
- Herzig, R.H.; Hines, J.D.; Herzig, G.P.; Wolff, S.N.; Cassileth, P.A.; Lazarus, H.M.; Adelstein, D.J.; Brown, R.A.; Coccia, P.F.; Strandjord, S. Cerebellar Toxicity with High-Dose Cytosine Arabinoside. J. Clin. Oncol. 1987, 5, 927–932. [Google Scholar] [CrossRef] [PubMed]
- Kerr, J.Z.; Berg, S.; Blaney, S.M. Intrathecal Chemotherapy. Crit. Rev. Oncol. Hematol. 2001, 37, 227–236. [Google Scholar] [CrossRef]
- Bassan, R.; Masciulli, A.; Intermesoli, T.; Audisio, E.; Rossi, G.; Pogliani, E.M.; Cassibba, V.; Mattei, D.; Romani, C.; Cortelezzi, A.; et al. Randomized Trial of Radiation-Free Central Nervous System Prophylaxis Comparing Intrathecal Triple Therapy with Liposomal Cytarabine in Acute Lymphoblastic Leukemia. Haematologica 2015, 100, 786. [Google Scholar] [CrossRef]
- Kadan-Lottick, N.S.; Brouwers, P.; Breiger, D.; Kaleita, T.; Dziura, J.; Northrup, V.; Chen, L.; Nicoletti, M.; Bostrom, B.; Stork, L.; et al. Comparison of Neurocognitive Functioning in Children Previously Randomly Assigned to Intrathecal Methotrexate Compared with Triple Intrathecal Therapy for the Treatment of Childhood Acute Lymphoblastic Leukemia. J. Clin. Oncol. 2009, 27, 5986–5992. [Google Scholar] [CrossRef] [PubMed]
- ElAlfy, M.; Ragab, I.; Azab, I.; Amin, S.; Abdel-Maguid, M. Neurocognitive Outcome and White Matter Anisotropy in Childhood Acute Lymphoblastic Leukemia Survivors Treated with Different Protocols. Pediatr. Hematol. Oncol. 2014, 31, 194–204. [Google Scholar] [CrossRef] [PubMed]
- Hardy, K.K.; Embry, L.; Kairalla, J.A.; Helian, S.; Devidas, M.; Armstrong, D.; Hunger, S.; Carroll, W.L.; Larsen, E.; Raetz, E.A.; et al. Neurocognitive Functioning of Children Treated for High-Risk B-Acute Lymphoblastic Leukemia Randomly Assigned to Different Methotrexate and Corticosteroid Treatment Strategies: A Report from the Children’s Oncology Group. J. Clin. Oncol. 2017, 35, 2700–2707. [Google Scholar] [CrossRef] [PubMed]
- Aminath, S.; Dhillon, G.; Latheef, S.; Dhillon, H.; Sasidharan, S.; Manalikuzhiyil, B.; Singh, S. Study of Exposure to Dexamethasone among Children with Acute Lymphoblastic Leukemia and Effect on Intellectual Function—A Pilot Study. Curr. Med. Issues 2021, 19, 144. [Google Scholar] [CrossRef]
- Phillips, N.S.; Cheung, Y.T.; Glass, J.O.; Scoggins, M.A.; Liu, W.; Ogg, R.J.; Mulrooney, D.A.; Pui, C.-H.; Robison, L.L.; Reddick, W.E.; et al. Neuroanatomical Abnormalities Related to Dexamethasone Exposure in Survivors of Childhood Acute Lymphoblastic Leukemia. Pediatr. Blood Cancer 2020, 67, e27968. [Google Scholar] [CrossRef] [PubMed]
- Kesler, S.R.; Sleurs, C.; McDonald, B.C.; Deprez, S.; Van der Plas, E.; Nieman, B.J. Brain Imaging in Pediatric Cancer Survivors: Correlates of Cognitive Impairment. J. Clin. Oncol. 2021, 39, 1775–1785. [Google Scholar] [CrossRef] [PubMed]
- Deprez, S.; Billiet, T.; Sunaert, S.; Leemans, A. Diffusion Tensor MRI of Chemotherapy-Induced Cognitive Impairment in Non-CNS Cancer Patients: A Review. Brain Imaging Behav. 2013, 7, 409–435. [Google Scholar] [CrossRef]
- Schmierer, K.; Scaravilli, F.; Altmann, D.R.; Barker, G.J.; Miller, D.H. Magnetization Transfer Ratio and Myelin in Postmortem Multiple Sclerosis Brain. Ann. Neurol. 2004, 56, 407–415. [Google Scholar] [CrossRef]
- Stikov, N.; Perry, L.M.; Mezer, A.; Rykhlevskaia, E.; Wandell, B.A.; Pauly, J.M.; Dougherty, R.F. Bound Pool Fractions Complement Diffusion Measures to Describe White Matter Micro and Macrostructure. Neuroimage 2011, 54, 1112. [Google Scholar] [CrossRef] [PubMed]
- Gandy, K.; Scoggins, M.A.; Jacola, L.M.; Litten, M.; Reddick, W.E.; Krull, K.R. Structural and Functional Brain Imaging in Long-Term Survivors of Childhood Acute Lymphoblastic Leukemia Treated with Chemotherapy: A Systematic Review. JNCI Cancer Spectr. 2021, 5, pkab069. [Google Scholar] [CrossRef]
- Yamamoto, A.; Miki, Y.; Adachi, S.; Kanagaki, M.; Fushimi, Y.; Okada, T.; Kobayashi, M.; Hiramatsu, H.; Umeda, K.; Nakahata, T.; et al. Whole Brain Magnetization Transfer Histogram Analysis of Pediatric Acute Lymphoblastic Leukemia Patients Receiving Intrathecal Methotrexate Therapy. Eur. J. Radiol. 2006, 57, 423–427. [Google Scholar] [CrossRef]
- Van der Plas, E.; Spencer Noakes, T.L.; Butcher, D.T.; Weksberg, R.; Galin-Corini, L.; Wanstall, E.A.; Te, P.; Hopf, L.; Guger, S.; Spiegler, B.J.; et al. Quantitative MRI Outcomes in Child and Adolescent Leukemia Survivors: Evidence for Global Alterations in Gray and White Matter. Neuroimage Clin. 2020, 28. [Google Scholar] [CrossRef]
- Follin, C.; Gabery, S.; Petersén, Å.; Sundgren, P.C.; Björkman-Burtcher, I.; Lätt, J.; Mannfolk, P.; Erfurth, E.M. Associations between Metabolic Risk Factors and the Hypothalamic Volume in Childhood Leukemia Survivors Treated with Cranial Radiotherapy. PLoS ONE 2016, 11, 147575. [Google Scholar] [CrossRef] [PubMed]
- Cao, S.C.; Legerstee, J.S.; Van Bellinghen, M.; Lemiere, J.; Sleurs, C.; Segers, H.; Danckaerts, M.; Dierckx, B. Effect of Chemotherapy (with and without Radiotherapy) on the Intelligence of Children and Adolescents Treated for Acute Lymphoblastic Leukemia; A Meta-Analysis. Psychooncology 2023, 32, 492–505. [Google Scholar] [CrossRef] [PubMed]
- Janzen, L.A.; Spiegler, B.J. Neurodevelopmental Sequelae of Pediatric Acute Lymphoblastic Leukemia and Its Treatment. Dev. Disabil. Res. Rev. 2008, 14, 185–195. [Google Scholar] [CrossRef]
- Partanen, M.; Phipps, S.; Russell, K.; Anghelescu, D.L.; Wolf, J.; Conklin, H.M.; Krull, K.R.; Inaba, H.; Pui, C.-H.; Jacola, L.M. Longitudinal Trajectories of Neurocognitive Functioning in Childhood Acute Lymphoblastic Leukemia. J. Pediatr. Psychol. 2021, 46, 168–178. [Google Scholar] [CrossRef]
- Jacola, L.M.; Krull, K.R.; Pui, C.H.; Pei, D.; Cheng, C.; Reddick, W.E.; Conklin, H.M. Longitudinal Assessment of Neurocognitive Outcomes in Survivors of Childhood Acute Lymphoblastic Leukemia Treated on a Contemporary Chemotherapy Protocol. J. Clin. Oncol. 2016, 34, 1239–1247. [Google Scholar] [CrossRef]
- Phillips, N.S.; Kesler, S.R.; Scoggins, M.A.; Glass, J.O.; Cheung, Y.T.; Liu, W.; Banerjee, P.; Ogg, R.J.; Srivastava, D.; Pui, C.H.; et al. Connectivity of the Cerebello-Thalamo-Cortical Pathway in Survivors of Childhood Leukemia Treated with Chemotherapy Only. JAMA Netw. Open 2020, 3, e2025839. [Google Scholar] [CrossRef]
- De Bellis, M.D.; Keshavan, M.S.; Beers, S.R.; Hall, J.; Frustaci, K.; Masalehdan, A.; Noll, J.; Boring, A.M. Sex Differences in Brain Maturation during Childhood and Adolescence. Cereb. Cortex 2001, 11, 552–557. [Google Scholar] [CrossRef] [PubMed]
- Van der Plas, E.; Qiu, W.; Nieman, B.J.; Yasui, Y.; Liu, Q.; Dixon, S.B.; Kadan-Lottick, N.S.; Weldon, C.B.; Weil, B.R.; Jacola, L.M.; et al. Sex-Specific Associations Between Chemotherapy, Chronic Conditions, and Neurocognitive Impairment in Acute Lymphoblastic Leukemia Survivors: A Report from the Childhood Cancer Survivor Study. J. Natl. Cancer Inst. 2021, 113, 588–596. [Google Scholar] [CrossRef] [PubMed]
- Thastrup, M.; Duguid, A.; Mirian, C.; Schmiegelow, K.; Halsey, C. Central Nervous System Involvement in Childhood Acute Lymphoblastic Leukemia: Challenges and Solutions. Leukemia 2022, 36, 2751–2768. [Google Scholar] [CrossRef] [PubMed]
- Al-Mahayri, Z.N.; AlAhmad, M.M.; Ali, B.R. Long-Term Effects of Pediatric Acute Lymphoblastic Leukemia Chemotherapy: Can Recent Findings Inform Old Strategies? Front. Oncol. 2021, 11, 710163. [Google Scholar] [CrossRef] [PubMed]
- Cheung, Y.T.; Brinkman, T.M.; Li, C.; Mzayek, Y.; Srivastava, D.; Ness, K.K.; Patel, S.K.; Howell, R.M.; Oeffinger, K.C.; Robison, L.L.; et al. Chronic Health Conditions and Neurocognitive Function in Aging Survivors of Childhood Cancer: A Report from the Childhood Cancer Survivor Study. JNCI J. Natl. Cancer Inst. 2018, 110, 411. [Google Scholar] [CrossRef] [PubMed]
- Williams, A.M.; Cheung, Y.T.; Hyun, G.; Liu, W.; Ness, K.K.; Ehrhardt, M.J.; Mulrooney, D.A.; Bhakta, N.; Banerjee, P.; Brinkman, T.M.; et al. Childhood Neurotoxicity and Brain Resilience to Adverse Events during Adulthood. Ann. Neurol. 2020, 89, 534–545. [Google Scholar] [CrossRef] [PubMed]
- Cheung, Y.T.; Chemaitilly, W.; Mulrooney, D.A.; Brinkman, T.M.; Liu, W.; Banerjee, P.; Srivastava, D.; Pui, C.H.; Robison, L.L.; Hudson, M.M.; et al. Association between Dehydroepiandrosterone-Sulfate and Attention in Long-Term Survivors of Childhood Acute Lymphoblastic Leukemia Treated with Only Chemotherapy. Psychoneuroendocrinology 2017, 76, 114. [Google Scholar] [CrossRef] [PubMed]
- Phillips, N.S.; Stratton, K.L.; Williams, A.M.; Ahles, T.; Ness, K.K.; Cohen, H.J.; Edelstein, K.; Yasui, Y.; Oeffinger, K.; Chow, E.J.; et al. Late-Onset Cognitive Impairment and Modifiable Risk Factors in Adult Childhood Cancer Survivors. JAMA Netw. Open 2023, 6, e2316077. [Google Scholar] [CrossRef]
- Cheung, Y.T.; Brinkman, T.M.; Mulrooney, D.A.; Mzayek, Y.; Liu, W.; Banerjee, P.; Panoskaltsis-Mortari, A.; Srivastava, D.; Pui, C.H.; Robison, L.L.; et al. Impact of Sleep, Fatigue and Systemic Inflammation on Neurocognitive and Behavioral Outcomes in Long-Term Survivors of Childhood Acute Lymphoblastic Leukemia. Cancer 2017, 123, 3410. [Google Scholar] [CrossRef]
- Rossi, F.; Di Paola, A.; Pota, E.; Argenziano, M.; Di Pinto, D.; Marrapodi, M.M.; Di Leva, C.; Di Martino, M.; Tortora, C. Biological Aspects of Inflamm-Aging in Childhood Cancer Survivors. Cancers 2021, 13, 4933. [Google Scholar] [CrossRef]
- Gupta, P.; Kaur Makkar, T.; Goel, L.; Pahuja, M. Role of Inflammation and Oxidative Stress in Chemotherapy-Induced Neurotoxicity. Immunol. Res. 2022, 70, 725–741. [Google Scholar] [CrossRef]
- Léveillé, P.; Boulet-Craig, A.; Laniel, J.; Franco, A.; Morel, S.; Drouin, S.; Rodier, F.; Krajinovic, M.; Laverdière, C.; Sinnett, D.; et al. Complications Cardiométaboliques et Déficits Cognitifs Chez Les Survivants de La Leucémie Lymphoblastique Aiguë Pédiatrique: Associations Avec l’inflammation Périphérique? Nutr. Clin. Et Métabolisme 2019, 33, 67. [Google Scholar] [CrossRef]
- Reddick, W.E.; Shan, Z.Y.; Glass, J.O.; Helton, S.; Xiong, X.; Wu, S.; Bonner, M.J.; Howard, S.C.; Christensen, R.; Khan, R.B.; et al. Smaller White-Matter Volumes Are Associated with Larger Deficits in Attention and Learning among Long-Term Survivors of Acute Lymphoblastic Leukemia. Cancer 2006, 106, 941–949. [Google Scholar] [CrossRef] [PubMed]
- Zając-Spychała, O.; Pawlak, M.; Karmelita-Katulska, K.; Pilarczyk, J.; Jończyk-Potoczna, K.; Przepióra, A.; Derwich, K.; Wachowiak, J. Anti-Leukemic Treatment-Induced Neurotoxicity in Long-Term Survivors of Childhood Acute Lymphoblastic Leukemia: Impact of Reduced Central Nervous System Radiotherapy and Intermediate- to High-Dose Methotrexate. Leuk. Lymphoma 2018, 59, 2342–2351. [Google Scholar] [CrossRef] [PubMed]
- Reddick, W.E.; Laningham, F.H.; Glass, J.O.; Pui, C.-H. Quantitative Morphologic Evaluation of Magnetic Resonance Imaging during and after Treatment of Childhood Leukemia. Neuroradiology 2007, 49, 889–904. [Google Scholar] [CrossRef] [PubMed]
- Hart, E.; Odé, Z.; Derieppe, M.P.P.; Groenink, L.; Heymans, M.W.; Otten, R.; Lequin, M.H.; Janssens, G.O.R.; Hoving, E.W.; Van Vuurden, D.G. Blood-Brain Barrier Permeability Following Conventional Photon Radiotherapy—A Systematic Review and Meta-Analysis of Clinical and Preclinical Studies. Clin. Transl. Radiat. Oncol. 2022, 35, 44. [Google Scholar] [CrossRef]

| ALL Survivors (n = 35) | Controls (n = 21) | p | |
|---|---|---|---|
| Demographics | |||
| Sex, n (%) | |||
| Male | 21 (60) | 12 (57.1) | 1.00 c |
| Female | 14 (40) | 9 (42.9) | |
| Age at assessment | 26.27 (6.39) | 27.1 (4.7) | 0.620 d |
| Years of education | 12.63 (2.18) | 15.00 [11.00–18.00] b | 0.080 e |
| Treatment characteristics | |||
| Age at diagnosis a | 7.37 (5.55) | N/A | - |
| DFCI protocol, n (%) | |||
| 87-01 | 5 (14.3) | N/A | - |
| 91-01 | 11 (31.4) | N/A | - |
| 95-01 | 13 (37.1) | N/A | - |
| 00-01 | 3 (8.6) | N/A | - |
| 05-01 | 3 (8.6) | N/A | - |
| Cranial radiation therapy, n (%) | |||
| Yes * | 27 (71.1) | N/A | - |
| No | 8 (22.9) | N/A | - |
| Chemotherapy cumulative doses | |||
| IT methotrexate (MTX) (mg/m2) | 134.35 (54.42) a | N/A | - |
| IT cytarabine (mg/m2) | 513.11 (197.65) a | N/A | - |
| IT hydrocortisone (mg/m2) | 22.39 [8.20–268.67] b | N/A | - |
| IV methotrexate (MTX) (mg/m2) | 6042.06 [1777.47–12,750.46] b | N/A | - |
| Effective corticosteroids dose (g/m2) | 12,399.69 (5079.56) a | N/A |
| ALLs (n = 35) | Controls (n = 21) | p | FDR adj.-p | Effect Size r | |
|---|---|---|---|---|---|
| WAIS-IV scales | |||||
| FSIQ | 94.14 (14.35) a | 104.9 (13.7) a | 0.008 c | 0.022 | 0.35 |
| GAI | 99.66 (11.81) a | 108.5 (13.5) a | 0.013 c | 0.024 | 0.33 |
| VCI | 98.23 (11.64) a | 111 (83–123) b | 0.008 d | 0.022 | 0.35 |
| PRI | 101.20 (14.57) a | 107.2 (13.8) a | 0.132 c | 0.182 | 0.20 |
| WMI | 94.40 (13.54) a | 94 (76–137) b | 0.623 d | 0.623 | 0.07 |
| PSI | 90.42 (20.63) a | 104.4 (12.7) a | 0.003 c | 0.022 | 0.39 |
| DIVERGT scales | |||||
| Executive Functioning Index | 8.70 (2.50) a | 10.10 (1.50) a | 0.012 c | 0.024 | 0.33 |
| Digit span | 7.00 [3.00–14.00] b | 8.86 (2.39) a | 0.465 d | 0.512 | 0.10 |
| Verbal fluency condition 1 | 7.91 (3.02) a | 8.86 (2.74) a | 0.248 c | 0.303 | 0.16 |
| Trail making test condition 4 | 10.00 [1.00–15.00] b | 11.00 [8.00–14.00] b | 0.016 d | 0.022 | 0.31 |
| Grooved pegboard dominant hand | 8.74 (3.36) a | 11.24 (2.59) a | 0.005 c | 0.022 | 0.37 |
| FSIQ | GAI | VCI | PRI | WMI | PSI | EF Index | |
|---|---|---|---|---|---|---|---|
| IT-MTX dose | −0.391 * p = 0.010 padj = 0.033 | −0.387 * p = 0.011 padj = 0.027 | −0.104 p = 0.276 padj = 0.380 | −0.501 ** p = 0.001 padj = 0.005 | −0.295 * p = 0.043 padj = 0.215 | −0.250 p = 0.080 padj = 0.183 | −0.305 * p = 0.037 padj = 0.125 |
| IT-cytarabine dose | −0.375 * p = 0.013 padj = 0.033 | −0.397 ** p = 0.009 padj = 0.027 | −0.131 p = 0.226 padj = 0.380 | −0.486 ** p = 0.002 padj = 0.005 | −0.221 p = 0.101 padj = 0.253 | −0.276 p = 0.060 padj = 0.183 | −0.282 p = 0.050 padj = 0.125 |
| IT-hydrocortisone dose | 0.130 p = 0.479 padj = 0.479 | −0.150 p = 0.476 padj = 0.476 | −0.121 p = 0.311 padj = 0.380 | −0.183 p = 0.226 padj = 0.377 | −0.159 p = 0.258 padj = 0.323 | 0.134 p = 0.304 padj = 0.317 | 0.850 p = 0.365 padj = 0.426 |
| IV-MTX dose | 0.091 p = 0.302 padj = 0.378 | 0.027 p = 0.440 padj = 0.476 | 0.054 p = 0.380 padj = 0.380 | −0.037 p = 0.417 padj = 0.417 | 0.153 p = 0.189 padj = 0.315 | 0.086 p = 0.317 padj = 0.317 | 0.033 p = 0.426 padj = 0.426 |
| Effective corticosteroids dose | −0.156 p = 0.186 padj = 0.310 | −0.132 p = 0.225 padj = 0.375 | −0.153 p = 0.189 padj = 0.380 | −0.066 p = 0.353 padj = 0.417 | −0.025 p = 0.444 padj = 0.444 | −0.219 p = 0.110 padj = 0.183 | −0.169 p = 0.166 padj = 0.277 |
| Effective Corticosteroids | IV MTX | IT MTX | IT Cytarabine | IT Hydrocortisone | |
|---|---|---|---|---|---|
| MTR means | |||||
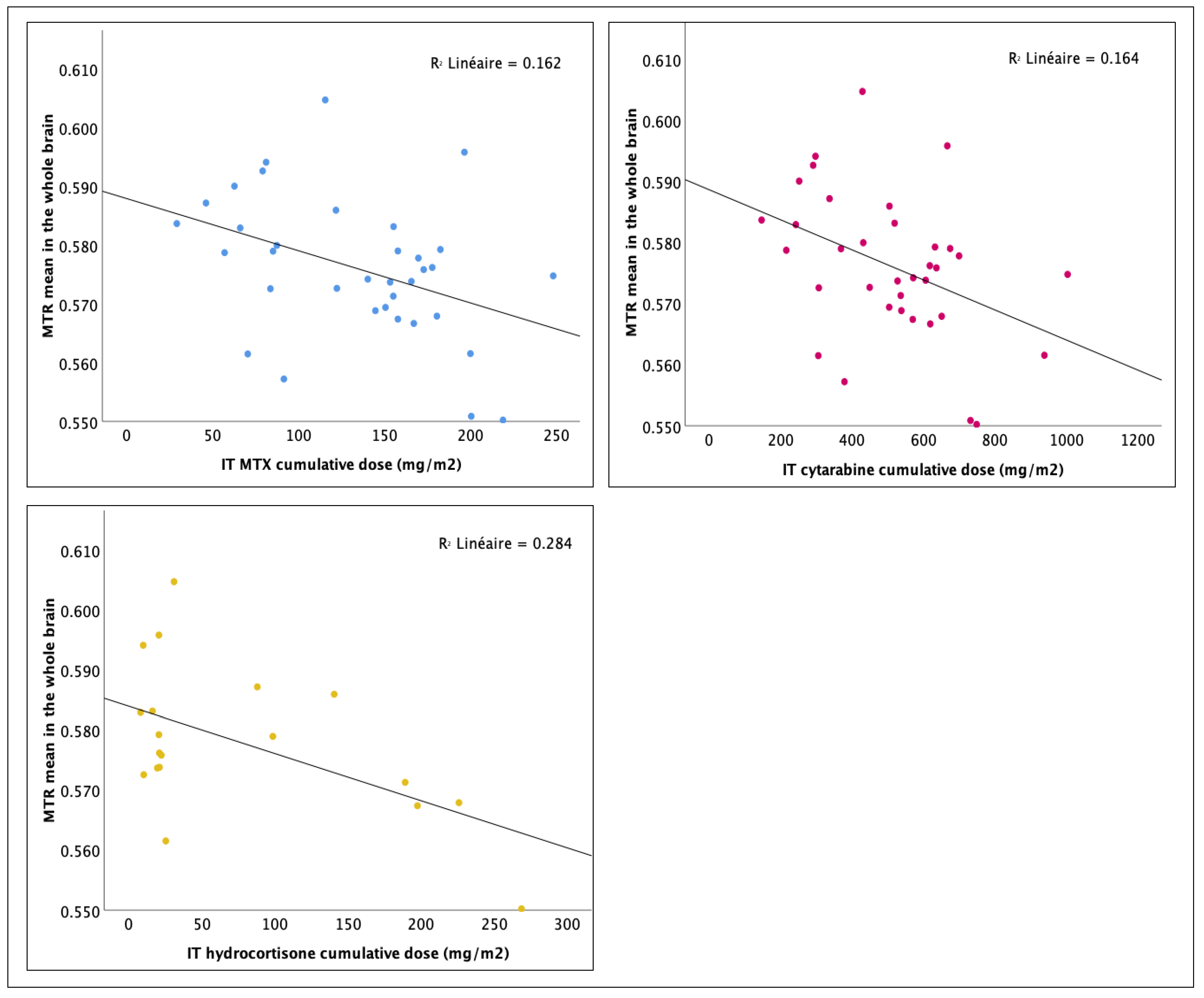
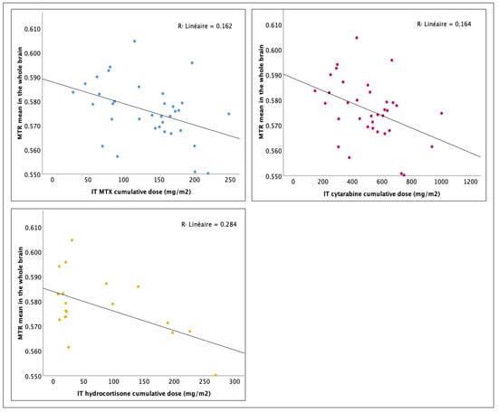
| Whole brain | 0.090 p = 0.303 padj = 0.379 | 0.020 p = 0.445 padj = 0.445 | −0.403 ** p = 0.008 padj = 0.015 | −0.405 ** p = 0.008 padj = 0.015 | −0.533 ** p = 0.009 padj = 0.015 |
| Right hemisphere | 0.079 p = 0.326 padj = 0.408 | −0.034 p = 0.422 padj = 0.422 | −0.434 ** p = 0.005 padj = 0.013 | −0.437 ** p = 0.004 padj = 0.013 | −0.532 ** p = 0.009 padj = 0.015 |
| Left hemisphere | 0.097 p = 0.290 padj = 0.301 | 0.091 p = 0.301 padj = 0.301 | −0.347 * p = 0.021 padj = 0.035 | −0.349 * p = 0.020 padj = 0.035 | −0.512 * p = 0.013 padj = 0.035 |
| Corpus callosum (CC) | 0.009 p = 0.480 padj = 0.480 | 0.111 p = 0.263 padj = 0.329 | −0.283 * p = 0.050 padj = 0.083 | −0.284 * p = 0.049 padj = 0.083 | −0.398 * p = 0.046 padj = 0.083 |
| Anterior CC | −0.045 p = 0.399 padj = 0.399 | 0.059 p = 0.369 padj = 0.399 | −0.351 * p = 0.019 padj = 0.048 | −0.359 * p = 0.017 padj = 0.048 | −0.405 * p = 0.043 padj = 0.072 |
| Mid-anterior CC | 0.084 p = 0.316 padj = 0.395 | −0.011 p = 0.476 padj = 0.476 | −0.241 p = 0.081 padj = 0.135 | −0.241 p = 0.081 padj = 0.135 | −0.465 * p = 0.022 padj = 0.110 |
| Central CC | 0.052 p = 0.384 padj = 0.499 | 0.256 p = 0.069 padj = 0.345 | −0.019 p = 0.457 padj = 0.499 | 0.000 p = 0.499 padj = 0.499 | −0.104 p = 0.336 padj = 0.499 |
| Mid-posterior CC | −0.021 p = 0.453 padj = 0.453 | 0.196 p = 0.130 padj = 0.248 | −0.148 p = 0.198 padj = 0.248 | −0.148 p = 0.198 padj = 0.248 | −0.393 * p = 0.048 padj = 0.240 |
| Posterior CC | 0.070 p = 0.345 padj = 0.411 | 0.039 p = 0.411 padj = 0.411 | −0.260 p = 0.066 padj = 0.123 | −0.250 p = 0.074 padj = 0.123 | −0.365 p = 0.062 padj = 0.123 |
| Volumes | |||||
| White matter (WM) | −0.178 p = 0.153 padj = 0.255 | 0.381 p = 0.012 padj = 0.060 | −0.097 p = 0.290 padj = 0.290 | −0.103 p = 0.278 padj = 0.290 | 0.227 p = 0.125 padj = 0.255 |
| Intracranial volume | −0.298 * p = 0.041 padj = 0.068 | 0.358 p = 0.017 padj = 0.068 | −0.135 p = 0.219 padj = 0.219 | −0.142 p = 0.208 padj = 0.219 | 0.413 p = 0.039 padj = 0.068 |
| WM volume fraction | 0.169 p = 0.166 padj = 0.345 | 0.157 p = 0.184 padj = 0.345 | 0.014 p = 0.469 padj = 0.495 | −0.002 p = 0.495 padj = 0.495 | −0.199 p = 0.207 padj = 0.345 |
| B | β | R | R2 | ΔR2 | F | ΔF | t | |
|---|---|---|---|---|---|---|---|---|
| Step 1 | 0.422 | 0.178 | 0.178 | 1.623 (p = 0.194) | 1.623 (p = 0.194) | |||
| Current age | 0.000 | −0.187 | −0.806 (p = 0.427) | |||||
| Age at diagnosis | 0.001 | 0.329 | 1.561 (p = 0.129) | |||||
| Sex | −0.003 | −0.129 | −0.710 (p = 0.483) | |||||
| Cranial radiotherapy | 0.008 | 0.281 | 1.634 (p = 0.113) | |||||
| Step 2 | 0.585 | 0.342 | 0.164 | 3.018 (p = 0.026) | 7.244 (p = 0.012) | |||
| Current age | −0.001 | −0.316 | −1.463 (p = 0.154) | |||||
| Age at diagnosis | 0.000 | −0.136 | −0.526 (p = 0.603) | |||||
| Sex | −0.005 | −0.200 | −1.192 (p = 0.243) | |||||
| Cranial radiotherapy | 0.007 | 0.253 | 1.619 (p = 0.116) | |||||
| IT-MTX dose | 0.000 | −0.704 | −2.692 (p = 0.012) | |||||
| Step 3 | 0.585 | 0.342 | 0.000 | 2.428 (p = 0.051) | 0.001 (p = 0.974) | |||
| Current age | −0.001 | −0.316 | −1.435 (p = 0.162) | |||||
| Age at diagnosis | 0.000 | −0.135 | −0.508 (p = 0.615) | |||||
| Sex | −0.005 | −0.202 | −1.094 (p = 0.283) | |||||
| Cranial radiotherapy | 0.007 | 0.254 | 1.584 (p = 0.124) | |||||
| IT-MTX dose | 0.000 | −0.702 | −2.586 (p = 0.015) | |||||
| Leucovorin dose | 0.000 | −0.006 | −0.033 (p = 0.974) | |||||
| Step 4 | 0.585 | 0.343 | 0.000 | 1.694 (p = 0.147) | 0.008 (p = 0.992) | |||
| Current age | −0.001 | −0.306 | −1.103 (p = 0.280) | |||||
| Age at diagnosis | 0.000 | −0.111 | −0.295 (p = 0.770) | |||||
| Sex | −0.005 | −0.203 | −1.059 (p = 0.299) | |||||
| Cranial radiotherapy | 0.007 | 0.261 | 1.337 (p = 0.193) | |||||
| IT-MTX dose | 0.000 | −0.692 | −2.001 (p = 0.056) | |||||
| Leucovorin dose | 0.000 | −0.010 | −0.051 (p = 0.959) | |||||
| IT-MTX dose × sex | 0.000 | 0.011 | 0.041 (p = 0.968) | |||||
| IT-MTX dose × age at diagnosis | 0.000 | 0.026 | 0.101 (p = 0.921) |
Disclaimer/Publisher’s Note: The statements, opinions and data contained in all publications are solely those of the individual author(s) and contributor(s) and not of MDPI and/or the editor(s). MDPI and/or the editor(s) disclaim responsibility for any injury to people or property resulting from any ideas, methods, instructions or products referred to in the content. |
© 2024 by the authors. Licensee MDPI, Basel, Switzerland. This article is an open access article distributed under the terms and conditions of the Creative Commons Attribution (CC BY) license (https://creativecommons.org/licenses/by/4.0/).
Share and Cite
Laniel, J.; Sultan, S.; Sinnett, D.; Laverdière, C.; Krajinovic, M.; Robaey, P.; Duong, L.; Lippé, S. Cumulative Dosage of Intrathecal Chemotherapy Agents Predicts White Matter Integrity in Long-Term Survivors of Acute Lymphoblastic Leukemia: A PETALE Study. Cancers 2024, 16, 1208. https://doi.org/10.3390/cancers16061208
Laniel J, Sultan S, Sinnett D, Laverdière C, Krajinovic M, Robaey P, Duong L, Lippé S. Cumulative Dosage of Intrathecal Chemotherapy Agents Predicts White Matter Integrity in Long-Term Survivors of Acute Lymphoblastic Leukemia: A PETALE Study. Cancers. 2024; 16(6):1208. https://doi.org/10.3390/cancers16061208
Chicago/Turabian StyleLaniel, Julie, Serge Sultan, Daniel Sinnett, Caroline Laverdière, Maja Krajinovic, Philippe Robaey, Luc Duong, and Sarah Lippé. 2024. "Cumulative Dosage of Intrathecal Chemotherapy Agents Predicts White Matter Integrity in Long-Term Survivors of Acute Lymphoblastic Leukemia: A PETALE Study" Cancers 16, no. 6: 1208. https://doi.org/10.3390/cancers16061208
APA StyleLaniel, J., Sultan, S., Sinnett, D., Laverdière, C., Krajinovic, M., Robaey, P., Duong, L., & Lippé, S. (2024). Cumulative Dosage of Intrathecal Chemotherapy Agents Predicts White Matter Integrity in Long-Term Survivors of Acute Lymphoblastic Leukemia: A PETALE Study. Cancers, 16(6), 1208. https://doi.org/10.3390/cancers16061208

