Radiotherapy for Metastatic Epidural Spinal Cord Compression with Increased Doses: Final Results of the RAMSES-01 Trial
Abstract
Simple Summary
Abstract
1. Introduction
2. Materials and Methods
Statistical Considerations
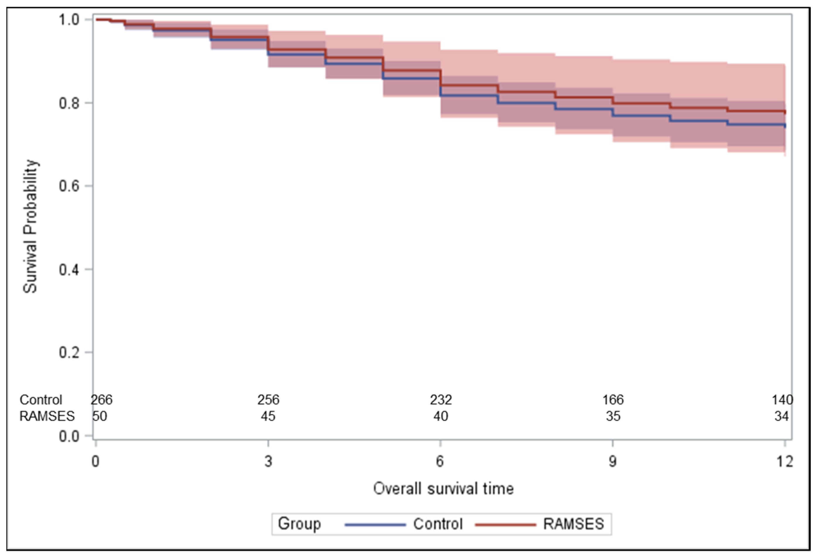
3. Results
3.1. RAMSES-01 Trial
3.2. Comparison to the Historical Control Group
4. Discussion
Limitations of This Study
5. Conclusions
Author Contributions
Funding
Institutional Review Board Statement
Informed Consent Statement
Data Availability Statement
Conflicts of Interest
References
- Prasad, D.; Schiff, D. Malignant spinal cord compression. Lancet Oncol. 2005, 6, 15–24. [Google Scholar] [CrossRef]
- Patchell, R.; Tibbs, P.A.; Regine, W.F.; Payne, R.; Saris, S.; Kryscio, R.J.; Mohiuddin, M.; Young, B. Direct decompressive surgical resection in the treatment of spinal cord compression caused by metastatic cancer: A randomised trial. Lancet 2005, 366, 643–648. [Google Scholar] [CrossRef] [PubMed]
- Hoskin, P.J.; Hopkins, K.; Misra, V.; Holt, T.; McMenemin, R.; Dubois, D.; McKinna, F.; Foran, B.; Madhavan, K.; MacGregor, C.; et al. Effect of single-fraction vs multifraction radiotherapy on ambulatory status among patients with spinal canal compression from metastatic cancer: The SCORAD randomized clinical trial. JAMA 2019, 322, 2084–2094. [Google Scholar] [CrossRef] [PubMed]
- Thirion, P.G.; Dunne, M.T.; Kelly, P.J.; Flavin, A.; O’Sullivan, J.M.; Hacking, D.; Sasiadek, W.; Small, C.; Pomeroy, M.M.; Martin, J.; et al. Non-inferiority randomised phase 3 trial comparing two radiation schedules (single vs. five fractions) in malignant spinal cord compression. Br. J. Cancer 2020, 122, 1315–1323. [Google Scholar] [CrossRef] [PubMed]
- Rades, D.; Šegedin, B.; Conde-Moreno, A.J.; Garcia, R.; Perpar, A.; Metz, M.; Badakhshi, H.; Schreiber, A.; Nitsche, M.; Hipp, P.; et al. Radiotherapy with 4 Gy × 5 versus 3 Gy × 10 for metastatic epidural spinal cord compression: Final results of the SCORE-2 trial (ARO 2009/01). J. Clin. Oncol. 2016, 34, 597–602. [Google Scholar] [CrossRef] [PubMed]
- Rades, D.; Lange, M.; Veninga, T.; Stalpers, L.J.; Bajrovic, A.; Adamietz, I.A.; Rudat, V.; Schild, S.E. Final results of a prospective study comparing the local control of short-course and long-course radiotherapy for metastatic spinal cord compression. Int. J. Radiat. Oncol. Biol. Phys. 2011, 79, 524–530. [Google Scholar] [CrossRef] [PubMed]
- Barendsen, G.W. Dose fractionation, dose rate and iso-effect relationships for normal tissue responses. Int. J. Radiat. Oncol. Biol. Phys. 1982, 8, 1981–1997. [Google Scholar] [CrossRef]
- Joiner, M.C.; Van der Kogel, A.J. The linear-quadratic approach to fractionation and calculation of isoeffect relationships. In Basic Clinical Radiobiology; Steel, G.G., Ed.; Oxford University Press: New York, NY, USA, 1997; pp. 106–112. [Google Scholar]
- Rades, D.; Panzner, A.; Rudat, V.; Karstens, J.H.; Schild, S.E. Dose escalation of radiotherapy for metastatic spinal cord compression (MSCC) in patients with relatively favorable survival prognosis. Strahlenther. Onkol. 2011, 187, 729–735. [Google Scholar] [CrossRef]
- Rades, D.; Hansen, O.; Jensen, L.H.; Dziggel, L.; Staackmann, C.; Doemer, C.; Cacicedo, J.; Conde-Moreno, A.J.; Segedin, B.; Ciervide-Jurio, R.; et al. Radiotherapy for metastatic spinal cord compression with increased radiation doses (RAMSES-01): A prospective multicenter study. BMC Cancer 2019, 19, 1163. [Google Scholar] [CrossRef]
- Rades, D.; Dunst, J.; Schild, S.E. The first score predicting overall survival in patients with metastatic spinal cord compression. Cancer 2008, 112, 157–161. [Google Scholar] [CrossRef]
- Tomita, T.; Galicich, J.H.; Sundaresan, N. Radiation therapy for spinal epidural metastases with complete block. Acta Radiol. Oncol. 1983, 22, 135–143. [Google Scholar] [CrossRef]
- Baskin, D.S. Spinal cord injury. In Neurology and Trauma; Evans, R.W., Ed.; WB Saunders: Philadelphia, PA, USA, 1996; pp. 276–299. [Google Scholar]
- Chow, E.; Hoskin, P.; Mitera, G.; Zeng, L.; Lutz, S.; Roos, D.; Hahn, C.; van der Linden, Y.; Hartsell, W.; Kumar, E.; et al. Update of the international consenus on palliative radiotherapy endpoints for future clinical trials in bone metastases. Int. J. Radiat. Oncol. Biol. Phys. 2012, 82, 1730–1737. [Google Scholar] [CrossRef]
- Holland, J.C.; Andersen, B.; Breitbart, W.S.; Buchmann, L.O.; Compas, B.; Deshields, T.L.; Dudley, M.M.; Fleishman, S.; Fulcher, C.D.; Greenberg, D.B.; et al. National Comprehensive Cancer Network. Distress management clinical practice guidelines in oncology. J. Natl. Comp. Cancer Netw. 2013, 11, 190–209. [Google Scholar] [CrossRef] [PubMed]
- National Institutes of Health/National Cancer Institute. Common Terminology Criteria for Adverse Events (CTCAE) Version 4.03; National Institutes of Health/National Cancer Institute: Washington, DC, USA, 2010. [Google Scholar]
- Franklin, J.M.; Eddings, W.; Austin, P.C.; Stuart, E.A.; Schneeweiss, S. Comparing the performance of propensity score methods in healthcare database studies with rare outcomes. Stat. Med. 2017, 36, 1946–1963. [Google Scholar]
- Rades, D.; Cacicedo, J.; Lomidze, D.; Al-Salool, A.; Segedin, B.; Groselj, B.; Jankarashvili, N.; Conde-Moreno, A.J.; Schild, S.E. A new and easy-to-use survival score for patients irradiated for metastatic epidural spinal cord compression. Pract. Radiat. Oncol. 2022, 12, 354–362. [Google Scholar] [CrossRef]
- Marks, L.B.; Yorke, E.D.; Jackson, A.; Ten Haken, R.K.; Constine, L.S.; Eisbruch, A.; Bentzen, S.M.; Nam, J.; Deasy, J.O. Use of normal tissue complication probability models in the clinic. Int. J. Radiat. Oncol. Biol. Phys. 2010, 6 (Suppl. S3), S10–S19. [Google Scholar] [CrossRef]
- Emami, B. Tolerance of the normal tissue to therapeutic irradiation. Rep. Radiother. Oncol. 2013, 1, 35–48. [Google Scholar] [CrossRef] [PubMed]
- Steenland, E.; Leer, J.W.; van Houwelingen, H.; Post, W.J.; van den Hout, W.B.; Kievit, J.; de Haes, H.; Martijn, H.; Oei, B.; Vonk, E.; et al. The effect of a single fraction compared to multiple fractions on painful bone metastases: A global analysis of the Dutch Bone Metastasis Study. Radiother. Oncol. 1999, 52, 101–109. [Google Scholar] [CrossRef] [PubMed]
- Bone Pain Trial Working Party. 8 Gy single fraction radiotherapy for the treatment of metastatic skeletal pain (randomised comparison with a multifraction schedule over 12 months of patient follow-up). Radiother. Oncol. 1999, 52, 111–121. [Google Scholar] [CrossRef]
- Hartsell, W.E.; Scott, C.B.; Bruner, D.W.; Scarantino, C.W.; Ivker, R.A.; Roach, M., 3rd; Suh, J.H.; Demas, W.F.; Movsas, B.; Petersen, I.A.; et al. Randomized trial of short- versus long-course radiotherapy for palliation of painful bone metastases. J. Natl. Cancer Inst. 2005, 97, 798–804. [Google Scholar] [CrossRef]
- Roos, D.E.; Turner, S.L.; O’Brien, P.C.; Smith, J.G.; Spry, N.A.; Burmeister, B.H.; Hoskin, P.J.; Ball, D.L.; Trans-Tasman Radiation Oncology Group, TROG 96.05. Randomized trial of 8 Gy in 1 versus 20 Gy in 5 fractions of radiotherapy for neuropathic pain due to bone metastases (Trans-Tasman Radiation Oncology Group, TROG 96.05). Radiother. Oncol. 2005, 75, 54–63. [Google Scholar] [CrossRef]
- Foro Arnalot, P.; Fontanals, A.V.; Galcerán, J.C.; Lynd, F.; Latiesas, X.S.; de Dios, N.R.; Castillejo, A.R.; Bassols, M.L.; Galán, J.L.; Conejo, I.M.; et al. Randomized clinical trial with two palliative radiotherapy regimens in painful bone metastases: 30 Gy in 10 fractions compared with 8 Gy in single fraction. Radiother. Oncol. 2008, 89, 150–155. [Google Scholar] [CrossRef]
- Guckenberger, M.; Mantel, F.; Gerszten, P.C.; Flickinger, J.C.; Sahgal, A.; Létourneau, D.; Grills, I.S.; Jawad, M.; Fahim, D.K.; Shin, J.H.; et al. Safety and efficacy of stereotactic body radiotherapy as primary treatment for vertebral metastases: A multi-institutional analysis. Radiat. Oncol. 2014, 9, 226. [Google Scholar] [CrossRef]
- Wong, H.C.Y.; Lee, S.F.; Chan, A.W.; Caini, S.; Hoskin, P.; Simone, C.B., 2nd; Johnstone, P.; van der Linden, Y.; van der Velden, J.M.; Martin, E.; et al. Stereotactic body radiation therapy versus conventional external beam radiotherapy for spinal metastases: A systematic review and meta-analysis of randomized controlled trials. Radiother. Oncol. 2023, 189, 109914. [Google Scholar] [CrossRef]
- Guckenberger, M.; Dahele, M.; Ong, W.L.; Sahgal, A. Stereotactic body radiation therapy for spinal metastases: Benefits and limitations. Semin. Radiat. Oncol. 2023, 33, 159–171. [Google Scholar] [CrossRef]
- Hashimoto, K.; Nishimura, S.; Akagi, M. Lung adenocarcinoma presenting as a soft tissue metastasis to the shoulder: A case report. Medicina 2021, 57, 181. [Google Scholar] [CrossRef] [PubMed]
- Bilsky, M.H.; Laufer, I.; Fourney, D.R.; Groff, M.; Schmidt, M.H.; Varga, P.P.; Vrionis, F.D.; Yamada, Y.; Gerszten, P.C.; Kuklo, T.R. Reliability analysis of the epidural spinal cord compression scale. J. Neurosurg. Spine 2010, 13, 324–328. [Google Scholar] [CrossRef] [PubMed]
- Fisher, C.G.; DiPaola, C.P.; Ryken, T.C.; Bilsky, M.H.; Shaffrey, C.I.; Berven, S.H.; Harrop, J.S.; Fehlings, M.G.; Boriani, S.; Chou, D.; et al. A novel classification system for spinal instability in neoplastic disease: An evidence-based approach and expert consensus from the Spine Oncology Study Group. Spine Phila Pa 1976 2010, 35, E1221–E1229. [Google Scholar] [CrossRef] [PubMed]
- Fourney, D.R.; Frangou, E.M.; Ryken, T.C.; Dipaola, C.P.; Shaffrey, C.I.; Berven, S.H.; Bilsky, M.H.; Harrop, J.S.; Fehlings, M.G.; Boriani, S.; et al. Spinal instability neoplastic score: An analysis of reliability and validity from the spine oncology study group. J. Clin. Oncol. 2011, 29, 3072–3077. [Google Scholar] [CrossRef] [PubMed]
- Wänman, J.; Jernberg, J.; Gustafsson, P.; Abul-Kasim, K.; Grabowski, P.; Bobinski, L.; Crnalic, S. Predictive Value of the Spinal Instability Neoplastic Score for Survival and Ambulatory Function After Surgery for Metastatic Spinal Cord Compression in 110 Patients with Prostate Cancer. Spine Phila Pa 1976 2021, 46, 550–558. [Google Scholar] [CrossRef] [PubMed]
- Laufer, I.; Iorgulescu, J.B.; Chapman, T.; Lis, E.; Shi, W.; Zhang, Z.; Cox, B.W.; Yamada, Y.; Bilsky, M.H. Local disease control for spinal metastases following “separation surgery” and adjuvant hypofractionated or high-dose single-fraction stereotactic radiosurgery: Outcome analysis in 186 patients. J. Neurosurg. Spine 2013, 18, 207–214. [Google Scholar] [CrossRef] [PubMed]
- Turel, M.K.; Kerolus, M.G.; O’Toole, J.E. Minimally invasive “separation surgery” plus adjuvant stereotactic radiotherapy in the management of spinal epidural metastases. J. Craniovertebr. Junction Spine 2017, 8, 119–126. [Google Scholar] [CrossRef] [PubMed]
- Ito, K.; Sugita, S.; Nakajima, Y.; Furuya, T.; Hiroaki, O.; Hayakawa, S.; Hozumi, T.; Saito, M.; Karasawa, K. Phase 2 clinical trial of separation surgery followed by stereotactic body radiation therapy for metastatic epidural spinal cord compression. Int. J. Radiat. Oncol. Biol. Phys. 2022, 112, 106–113. [Google Scholar] [CrossRef] [PubMed]
- Moussazadeh, N.; Laufer, I.; Yamada, Y.; Bilsky, M.H. Separation surgery for spinal metastases: Effect of spinal radiosurgery on surgical treatment goals. Cancer Control 2014, 21, 168–174. [Google Scholar] [CrossRef]
- Versteeg, A.L.; van der Velden, J.M.; Hes, J.; Eppinga, W.; Kasperts, N.; Verkooijen, H.M.; Oner, F.C.; Seravalli, E.; Verlaan, J.J. Stereotactic radiotherapy followed by surgical stabilization within 24 h for unstable spinal metastases; A stage I/IIa study according to the IDEAL Framework. Front. Oncol. 2018, 8, 626. [Google Scholar] [CrossRef]
- Kirshblum, S.; Botticello, A.; Benedetto, J.; Donovan, J.; Marino, R.; Hsieh, S.; Wagaman, N. A comparison of diagnostic stability of the ASIA Impairment Scale versus Frankel Classification Systems for traumatic spinal cord injury. Arch. Phys. Med. Rehabil. 2020, 101, 1556–1562. [Google Scholar] [CrossRef]




| Characteristic | RAMSES n Patients (%) | Control Group n Patients (%) |
|---|---|---|
| Age | ||
| ≤64 years | 23 (46.0) | 132 (49.6) |
| >65 years | 27 (54.0) | 134 (50.4) |
| Gender | ||
| Female | 18 (36.0) | 137 (51.5) |
| Male | 32 (64.0) | 129 (48.5) |
| Interval tumor diagnosis of MESCC | ||
| ≤15 months | 25 (50.0) | 96 (36.1) |
| >15 months | 25 (50.0) | 170 (63.9) |
| Visceral metastases | ||
| No | 44 (88.0) | 248 (93.2) |
| Yes | 6 (12.0) | 18 (6.8) |
| Other bone metastases | ||
| No | 9 (18.0) | 121 (45.5) |
| Yes | 41 (82.0) | 145 (54.5) |
| Type of primary tumor | ||
| Breast cancer | 13 (26.0) | 98 (36.8) |
| Prostate cancer | 15 (30.0) | 61 (22.9) |
| Myeloma/lymphoma | 10 (20.0) | 55 (20.7) |
| Lung cancer | 4 (8.0) | 10 (3.8) |
| Other tumors | 8 (16.0) | 43 (15.8) |
| Time-developing motor deficits | ||
| 1–7 days | 0 (0.0) | 22 (8.3) |
| 8–14 days | 8 (16.0) | 74 (27.8) |
| >14 days | 42 (84.0) | 170 (63.9) |
| Pre-radiotherapy ambulatory status | ||
| Not ambulatory | 5 (10.0) | 39 (14.7) |
| Ambulatory | 45 (90.0) | 227 (85.3) |
| Number of affected vertebrae | ||
| 1–2 | 30 (60.0) | 145 (54.5) |
| ≥3 | 20 (40.0) | 121 (45.5) |
| ECOG performance score | ||
| 0–2 | 32 (64.0) | 195 (73.3) |
| 3–4 | 18 (36.0) | 71 (26.7) |
| Endpoint | Hazard Ratio Estimate | 95% Confidence Interval | p-Value |
|---|---|---|---|
| Local progression-free survival | |||
| Unadjusted/crude | 0.181 | 0.025–1.329 | 0.093 |
| Propensity score adjusted a | 0.116 | 0.015–0.894 | 0.039 |
| Overall survival | |||
| Unadjusted/crude | 1.303 | 0.741–2.290 | 0.36 |
| Propensity score adjusted b | 0.851 | 0.453–1.598 | 0.62 |
| Improvement of motor function | |||
| Unadjusted/crude | 1.777 | 0.966–3.268 | 0.064 |
| Propensity score adjusted c | 1.943 | 0.981–3.850 | 0.057 |
| Post-radiotherapy ambulatory status | |||
| Unadjusted/crude | 1.483 | 0.428–5.140 | 0.54 |
| Propensity score adjusted d | 1.464 | 0.373–5.738 | 0.58 |
Disclaimer/Publisher’s Note: The statements, opinions and data contained in all publications are solely those of the individual author(s) and contributor(s) and not of MDPI and/or the editor(s). MDPI and/or the editor(s) disclaim responsibility for any injury to people or property resulting from any ideas, methods, instructions or products referred to in the content. |
© 2024 by the authors. Licensee MDPI, Basel, Switzerland. This article is an open access article distributed under the terms and conditions of the Creative Commons Attribution (CC BY) license (https://creativecommons.org/licenses/by/4.0/).
Share and Cite
Rades, D.; Lomidze, D.; Jankarashvili, N.; Lopez Campos, F.; Navarro-Martin, A.; Segedin, B.; Groselj, B.; Staackmann, C.; Kristiansen, C.; Dennis, K.; et al. Radiotherapy for Metastatic Epidural Spinal Cord Compression with Increased Doses: Final Results of the RAMSES-01 Trial. Cancers 2024, 16, 1149. https://doi.org/10.3390/cancers16061149
Rades D, Lomidze D, Jankarashvili N, Lopez Campos F, Navarro-Martin A, Segedin B, Groselj B, Staackmann C, Kristiansen C, Dennis K, et al. Radiotherapy for Metastatic Epidural Spinal Cord Compression with Increased Doses: Final Results of the RAMSES-01 Trial. Cancers. 2024; 16(6):1149. https://doi.org/10.3390/cancers16061149
Chicago/Turabian StyleRades, Dirk, Darejan Lomidze, Natalia Jankarashvili, Fernando Lopez Campos, Arturo Navarro-Martin, Barbara Segedin, Blaz Groselj, Christian Staackmann, Charlotte Kristiansen, Kristopher Dennis, and et al. 2024. "Radiotherapy for Metastatic Epidural Spinal Cord Compression with Increased Doses: Final Results of the RAMSES-01 Trial" Cancers 16, no. 6: 1149. https://doi.org/10.3390/cancers16061149
APA StyleRades, D., Lomidze, D., Jankarashvili, N., Lopez Campos, F., Navarro-Martin, A., Segedin, B., Groselj, B., Staackmann, C., Kristiansen, C., Dennis, K., Schild, S. E., & Cacicedo, J. (2024). Radiotherapy for Metastatic Epidural Spinal Cord Compression with Increased Doses: Final Results of the RAMSES-01 Trial. Cancers, 16(6), 1149. https://doi.org/10.3390/cancers16061149

