Impact of Sarcopenia on the Survival of Patients with Hepatocellular Carcinoma Treated with Sorafenib
Abstract
Simple Summary
Abstract
1. Introduction
2. Materials and Methods
2.1. Image Analysis and Treatment Modality
2.2. Statistical Methods
2.3. External Validation
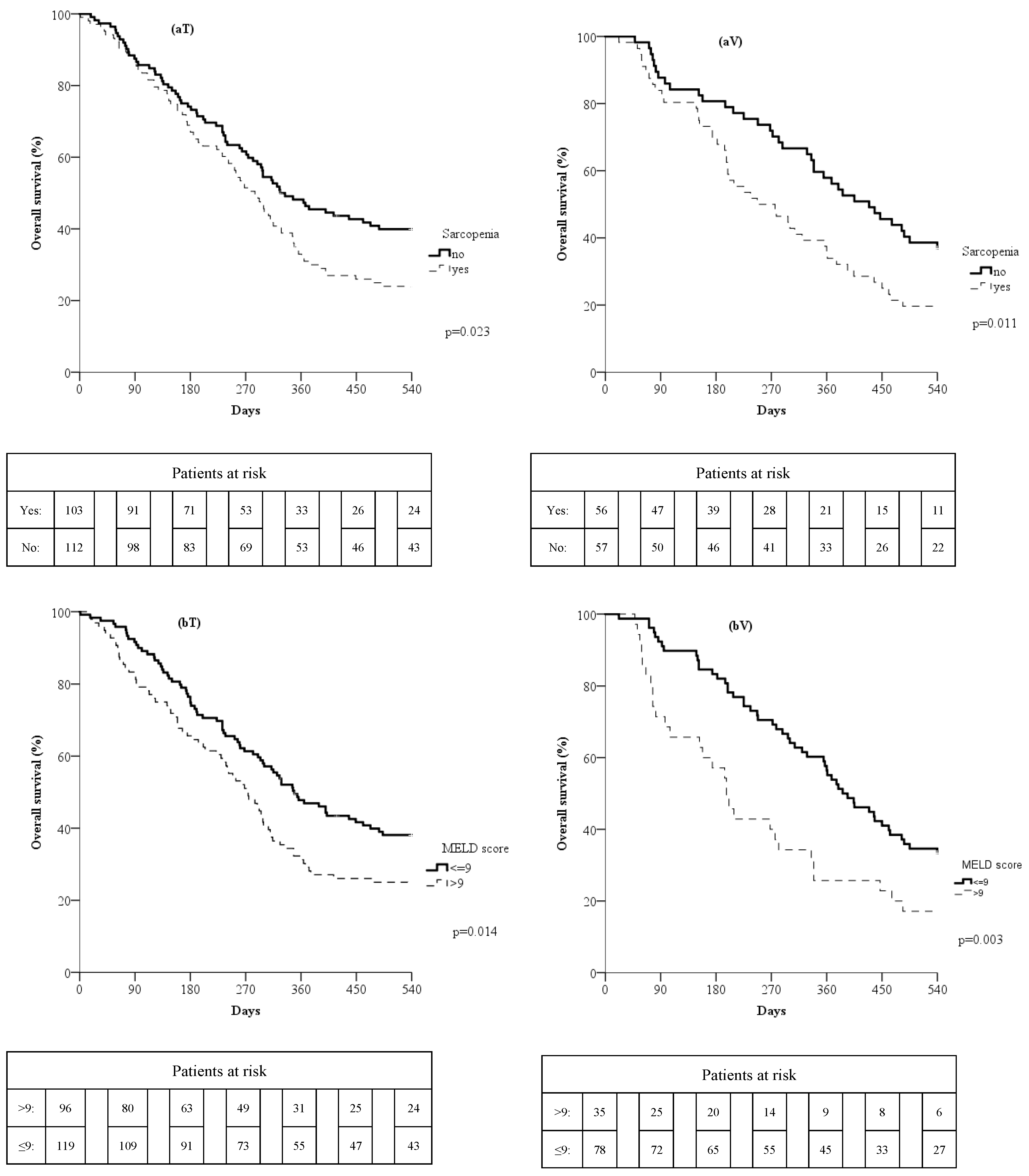
3. Results
3.1. Description of Patients and Drug Toxicity in Training and Validation Groups
3.2. Description of Patients and Drug Toxicity according to the Presence/Absence of Sarcopenia
- in the training group, sarcopenic patients presented significantly more metastasis than non-sarcopenic ones (35.0% versus 19.7%; p = 0.014).
- in the validation group, sarcopenic patients showed lower male prevalence (66.1% versus 91.2%; p = 0.001), lower BMI (23.6 [IQR 5.48] versus 24.8 [IQR 4]; p = 0.043), and shorter Sorafenib treatment duration (103.5 [IQR 297.5] vs. 192 [IQR 297.5] days; p = 0.008).
3.3. Factors Associated with Overall Survival
3.3.1. Training Group
3.3.2. Validation Group
3.3.3. SARCO-MELD Prognostic Model
- SARCO-MELD grade 1 (low-risk group, 95 patients): characterized by the absence of both risk factors.
- SARCO-MELD grade 2 (intermediate-risk group, 158 patients): characterized by the presence of 1 of the 2 risk factors.
- SARCO-MELD grade 3 (high-risk group, 58 patients): characterized by the presence of both risk factors.
4. Discussion
5. Conclusions
Author Contributions
Funding
Institutional Review Board Statement
Informed Consent Statement
Data Availability Statement
Conflicts of Interest
References
- European Association for the Study of the Liver. EASL Clinical Practice Guidelines: Management of Hepatocellular Carcinoma. J. Hepatol. 2018, 69, 182–236. [Google Scholar] [CrossRef]
- Heimbach, J.K.; Kulik, L.M.; Finn, R.S.; Sirlin, C.B.; Abecassis, M.M.; Roberts, L.R.; Zhu, A.X.; Murad, M.H.; Marrero, J.A. AASLD Guidelines for the Treatment of Hepatocellular Carcinoma. Hepatology 2018, 67, 358–380. [Google Scholar] [CrossRef]
- Njei, B.; Rotman, Y.; Ditah, I.; Lim, J.K. Emerging Trends in Hepatocellular Carcinoma Incidence and Mortality. Hepatology 2015, 61, 191–199. [Google Scholar] [CrossRef] [PubMed]
- Garuti, F.; Neri, A.; Avanzato, F.; Gramenzi, A.; Rampoldi, D.; Rucci, P.; Farinati, F.; Giannini, E.G.; Piscaglia, F.; Rapaccini, G.L.; et al. The Changing Scenario of Hepatocellular Carcinoma in Italy: An Update. Liver Int. 2021, 41, 585–597. [Google Scholar] [CrossRef] [PubMed]
- Stefanini, B.; Bucci, L.; Santi, V.; Reggidori, N.; Rampoldi, D.; Lani, L.; Granito, A.; Sangiovanni, A.; Cabibbo, G.; Farinati, F.; et al. Potential Feasibility of Atezolizumab-Bevacizumab Therapy in Patients with Hepatocellular Carcinoma Treated with Tyrosine-Kinase Inhibitors. Dig. Liver Dis. 2022, 54, 1563–1572. [Google Scholar] [CrossRef]
- Reig, M.; Forner, A.; Rimola, J.; Ferrer-Fàbrega, J.; Burrel, M.; Garcia-Criado, Á.; Kelley, R.K.; Galle, P.R.; Mazzaferro, V.; Salem, R.; et al. BCLC Strategy for Prognosis Prediction and Treatment Recommendation: The 2022 Update. J. Hepatol. 2022, 76, 681–693. [Google Scholar] [CrossRef]
- Gao, J.-J.; Shi, Z.-Y.; Xia, J.-F.; Inagaki, Y.; Tang, W. Sorafenib-Based Combined Molecule Targeting in Treatment of Hepatocellular Carcinoma. World J. Gastroenterol. 2015, 21, 12059–12070. [Google Scholar] [CrossRef]
- Prieto-Domínguez, N.; Ordóñez, R.; Fernández, A.; García-Palomo, A.; Muntané, J.; González-Gallego, J.; Mauriz, J.L. Modulation of Autophagy by Sorafenib: Effects on Treatment Response. Front. Pharmacol. 2016, 7, 151. [Google Scholar] [CrossRef]
- Hsu, C.-Y.; Lee, Y.-H.; Hsia, C.-Y.; Huang, Y.-H.; Su, C.-W.; Lin, H.-C.; Lee, R.-C.; Chiou, Y.-Y.; Lee, F.-Y.; Huo, T.-I. Performance Status in Patients with Hepatocellular Carcinoma: Determinants, Prognostic Impact, and Ability to Improve the Barcelona Clinic Liver Cancer System. Hepatology 2013, 57, 112–119. [Google Scholar] [CrossRef] [PubMed]
- Vitale, A.; Farinati, F.; Noaro, G.; Burra, P.; Pawlik, T.M.; Bucci, L.; Giannini, E.G.; Faggiano, C.; Ciccarese, F.; Rapaccini, G.L.; et al. Restaging Patients with Hepatocellular Carcinoma Before Additional Treatment Decisions: A Multicenter Cohort Study. Hepatology 2018, 68, 1232–1244. [Google Scholar] [CrossRef]
- Cruz-Jentoft, A.J.; Bahat, G.; Bauer, J.; Boirie, Y.; Bruyère, O.; Cederholm, T.; Cooper, C.; Landi, F.; Rolland, Y.; Sayer, A.A.; et al. Sarcopenia: Revised European Consensus on Definition and Diagnosis. Age Ageing 2019, 48, 16–31. [Google Scholar] [CrossRef]
- Tantai, X.; Liu, Y.; Yeo, Y.H.; Praktiknjo, M.; Mauro, E.; Hamaguchi, Y.; Engelmann, C.; Zhang, P.; Jeong, J.Y.; van Vugt, J.L.A.; et al. Effect of Sarcopenia on Survival in Patients with Cirrhosis: A Meta-Analysis. J. Hepatol. 2022, 76, 588–599. [Google Scholar] [CrossRef] [PubMed]
- March, C.; Omari, J.; Thormann, M.; Pech, M.; Wienke, A.; Surov, A. Prevalence and Role of Low Skeletal Muscle Mass (LSMM) in Hepatocellular Carcinoma. A Systematic Review and Meta-Analysis. Clin. Nutr. ESPEN 2022, 49, 103–113. [Google Scholar] [CrossRef] [PubMed]
- Perisetti, A.; Goyal, H.; Yendala, R.; Chandan, S.; Tharian, B.; Thandassery, R.B. Sarcopenia in Hepatocellular Carcinoma: Current Knowledge and Future Directions. World J. Gastroenterol. 2022, 28, 432–448. [Google Scholar] [CrossRef] [PubMed]
- Kaido, T.; Tamai, Y.; Hamaguchi, Y.; Okumura, S.; Kobayashi, A.; Shirai, H.; Yagi, S.; Kamo, N.; Hammad, A.; Inagaki, N.; et al. Effects of Pretransplant Sarcopenia and Sequential Changes in Sarcopenic Parameters after Living Donor Liver Transplantation. Nutrition 2017, 33, 195–198. [Google Scholar] [CrossRef] [PubMed]
- Tandon, P.; Ney, M.; Irwin, I.; Ma, M.M.; Gramlich, L.; Bain, V.G.; Esfandiari, N.; Baracos, V.; Montano-Loza, A.J.; Myers, R.P. Severe Muscle Depletion in Patients on the Liver Transplant Wait List: Its Prevalence and Independent Prognostic Value. Liver Transpl. 2012, 18, 1209–1216. [Google Scholar] [CrossRef] [PubMed]
- Voron, T.; Tselikas, L.; Pietrasz, D.; Pigneur, F.; Laurent, A.; Compagnon, P.; Salloum, C.; Luciani, A.; Azoulay, D. Sarcopenia Impacts on Short- and Long-Term Results of Hepatectomy for Hepatocellular Carcinoma. Ann. Surg. 2015, 261, 1173–1183. [Google Scholar] [CrossRef] [PubMed]
- Yuri, Y.; Nishikawa, H.; Enomoto, H.; Ishii, A.; Iwata, Y.; Miyamoto, Y.; Ishii, N.; Hasegawa, K.; Nakano, C.; Nishimura, T.; et al. Implication of Psoas Muscle Index on Survival for Hepatocellular Carcinoma Undergoing Radiofrequency Ablation Therapy. J. Cancer 2017, 8, 1507–1516. [Google Scholar] [CrossRef] [PubMed]
- Fujita, M.; Takahashi, A.; Hayashi, M.; Okai, K.; Abe, K.; Ohira, H. Skeletal Muscle Volume Loss during Transarterial Chemoembolization Predicts Poor Prognosis in Patients with Hepatocellular Carcinoma. Hepatol. Res. 2019, 49, 778–786. [Google Scholar] [CrossRef]
- Llovet, J.M.; Ricci, S.; Mazzaferro, V.; Hilgard, P.; Gane, E.; Blanc, J.-F.; de Oliveira, A.C.; Santoro, A.; Raoul, J.-L.; Forner, A.; et al. Sorafenib in Advanced Hepatocellular Carcinoma. N. Engl. J. Med. 2008, 359, 378–390. [Google Scholar] [CrossRef]
- Bruix, J.; Raoul, J.-L.; Sherman, M.; Mazzaferro, V.; Bolondi, L.; Craxi, A.; Galle, P.R.; Santoro, A.; Beaugrand, M.; Sangiovanni, A.; et al. Efficacy and Safety of Sorafenib in Patients with Advanced Hepatocellular Carcinoma: Subanalyses of a Phase III Trial. J. Hepatol. 2012, 57, 821–829. [Google Scholar] [CrossRef]
- Llovet, J.M.; Peña, C.E.A.; Lathia, C.D.; Shan, M.; Meinhardt, G.; Bruix, J. SHARP Investigators Study Group Plasma Biomarkers as Predictors of Outcome in Patients with Advanced Hepatocellular Carcinoma. Clin. Cancer Res. 2012, 18, 2290–2300. [Google Scholar] [CrossRef]
- Ogasawara, S.; Chiba, T.; Ooka, Y.; Suzuki, E.; Kanogawa, N.; Saito, T.; Motoyama, T.; Tawada, A.; Kanai, F.; Yokosuka, O. Liver Function Assessment According to the Albumin-Bilirubin (ALBI) Grade in Sorafenib-Treated Patients with Advanced Hepatocellular Carcinoma. Investig. New Drugs 2015, 33, 1257–1262. [Google Scholar] [CrossRef]
- Wu, C.-H.; Liang, P.-C.; Hsu, C.-H.; Chang, F.-T.; Shao, Y.-Y.; Ting-Fang Shih, T. Total Skeletal, Psoas and Rectus Abdominis Muscle Mass as Prognostic Factors for Patients with Advanced Hepatocellular Carcinoma. J. Formos. Med. Assoc. 2021, 120, 559–566. [Google Scholar] [CrossRef]
- Imai, K.; Takai, K.; Hanai, T.; Ideta, T.; Miyazaki, T.; Kochi, T.; Suetsugu, A.; Shiraki, M.; Shimizu, M. Skeletal Muscle Depletion Predicts the Prognosis of Patients with Hepatocellular Carcinoma Treated with Sorafenib. Int. J. Mol. Sci. 2015, 16, 9612–9624. [Google Scholar] [CrossRef]
- Nishikawa, H.; Nishijima, N.; Enomoto, H.; Sakamoto, A.; Nasu, A.; Komekado, H.; Nishimura, T.; Kita, R.; Kimura, T.; Iijima, H.; et al. Prognostic Significance of Sarcopenia in Patients with Hepatocellular Carcinoma Undergoing Sorafenib Therapy. Oncol. Lett. 2017, 14, 1637–1647. [Google Scholar] [CrossRef]
- Hiraoka, A.; Hirooka, M.; Koizumi, Y.; Izumoto, H.; Ueki, H.; Kaneto, M.; Kitahata, S.; Aibiki, T.; Tomida, H.; Miyamoto, Y.; et al. Muscle Volume Loss as a Prognostic Marker in Hepatocellular Carcinoma Patients Treated with Sorafenib: Relation between Sorafenib and Muscle Atrophy. Hepatol. Res. 2017, 47, 558–565. [Google Scholar] [CrossRef]
- Antonelli, G.; Gigante, E.; Iavarone, M.; Begini, P.; Sangiovanni, A.; Iannicelli, E.; Biondetti, P.; Pellicelli, A.M.; Miglioresi, L.; Marchetti, P.; et al. Sarcopenia Is Associated with Reduced Survival in Patients with Advanced Hepatocellular Carcinoma Undergoing Sorafenib Treatment. UEG J. 2018, 6, 1039–1048. [Google Scholar] [CrossRef] [PubMed]
- Imai, K.; Takai, K.; Miwa, T.; Taguchi, D.; Hanai, T.; Suetsugu, A.; Shiraki, M.; Shimizu, M. Rapid Depletions of Subcutaneous Fat Mass and Skeletal Muscle Mass Predict Worse Survival in Patients with Hepatocellular Carcinoma Treated with Sorafenib. Cancers 2019, 11, 1206. [Google Scholar] [CrossRef] [PubMed]
- Saeki, I.; Yamasaki, T.; Maeda, M.; Kawano, R.; Hisanaga, T.; Iwamoto, T.; Matsumoto, T.; Hidaka, I.; Ishikawa, T.; Takami, T.; et al. No Muscle Depletion with High Visceral Fat as a Novel Beneficial Biomarker of Sorafenib for Hepatocellular Carcinoma. Liver Cancer 2018, 7, 359–371. [Google Scholar] [CrossRef] [PubMed]
- Takada, H.; Kurosaki, M.; Nakanishi, H.; Takahashi, Y.; Itakura, J.; Tsuchiya, K.; Yasui, Y.; Tamaki, N.; Takaura, K.; Komiyama, Y.; et al. Impact of Pre-Sarcopenia in Sorafenib Treatment for Advanced Hepatocellular Carcinoma. PLoS ONE 2018, 13, e0198812. [Google Scholar] [CrossRef]
- Yamashima, M.; Miyaaki, H.; Honda, T.; Shibata, H.; Miuma, S.; Taura, N.; Nakao, K. Significance of Psoas Muscle Thickness as an Indicator of Muscle Atrophy in Patients with Hepatocellular Carcinoma Treated with Sorafenib. Mol. Clin. Oncol. 2017, 7, 449–453. [Google Scholar] [CrossRef] [PubMed]
- The Cancer of the Liver Italian Program (Clip) Investigators. A New Prognostic System for Hepatocellular Carcinoma: A Retrospective Study of 435 Patients. Hepatology 1998, 28, 751–755. [Google Scholar] [CrossRef]
- Labeur, T.A.; Berhane, S.; Edeline, J.; Blanc, J.-F.; Bettinger, D.; Meyer, T.; Van Vugt, J.L.A.; Ten Cate, D.W.G.; De Man, R.A.; Eskens, F.A.L.M.; et al. Improved Survival Prediction and Comparison of Prognostic Models for Patients with Hepatocellular Carcinoma Treated with Sorafenib. Liver Int. 2020, 40, 215–228. [Google Scholar] [CrossRef]
- Demirtas, C.O.; D’Alessio, A.; Rimassa, L.; Sharma, R.; Pinato, D.J. ALBI Grade: Evidence for an Improved Model for Liver Functional Estimation in Patients with Hepatocellular Carcinoma. JHEP Rep. 2021, 3, 100347. [Google Scholar] [CrossRef]
- Mourtzakis, M.; Prado, C.M.M.; Lieffers, J.R.; Reiman, T.; McCargar, L.J.; Baracos, V.E. A Practical and Precise Approach to Quantification of Body Composition in Cancer Patients Using Computed Tomography Images Acquired during Routine Care. Appl. Physiol. Nutr. Metab. 2008, 33, 997–1006. [Google Scholar] [CrossRef]
- Martin, L.; Birdsell, L.; Macdonald, N.; Reiman, T.; Clandinin, M.T.; McCargar, L.J.; Murphy, R.; Ghosh, S.; Sawyer, M.B.; Baracos, V.E. Cancer Cachexia in the Age of Obesity: Skeletal Muscle Depletion Is a Powerful Prognostic Factor, Independent of Body Mass Index. J. Clin. Oncol. 2013, 31, 1539–1547. [Google Scholar] [CrossRef]
- Lencioni, R.; Llovet, J.M. Modified RECIST (mRECIST) Assessment for Hepatocellular Carcinoma. Semin. Liver Dis. 2010, 30, 52–60. [Google Scholar] [CrossRef] [PubMed]
- Wyatt, J.C.; Altman, D.G. Commentary: Prognostic Models: Clinically Useful or Quickly Forgotten? BMJ 1995, 311, 1539–1541. [Google Scholar] [CrossRef]
- Hanley, J.A.; McNeil, B.J. The Meaning and Use of the Area under a Receiver Operating Characteristic (ROC) Curve. Radiology 1982, 143, 29–36. [Google Scholar] [CrossRef]
- Fluss, R.; Faraggi, D.; Reiser, B. Estimation of the Youden Index and Its Associated Cutoff Point. Biom. J. Biom. Z. 2005, 47, 458–472. [Google Scholar] [CrossRef] [PubMed]
- Fujiwara, N.; Nakagawa, H.; Kudo, Y.; Tateishi, R.; Taguri, M.; Watadani, T.; Nakagomi, R.; Kondo, M.; Nakatsuka, T.; Minami, T.; et al. Sarcopenia, Intramuscular Fat Deposition, and Visceral Adiposity Independently Predict the Outcomes of Hepatocellular Carcinoma. J. Hepatol. 2015, 63, 131–140. [Google Scholar] [CrossRef] [PubMed]
- Lee, J.; Choi, K.J.; Lim, M.J.; Hong, F.; Choi, T.G.; Tak, E.; Lee, S.; Kim, Y.-J.; Chang, S.G.; Cho, J.M.; et al. Proto-Oncogenic H-Ras, K-Ras, and N-Ras Are Involved in Muscle Differentiation via Phosphatidylinositol 3-Kinase. Cell Res. 2010, 20, 919–934. [Google Scholar] [CrossRef]
- Amanuma, M.; Nagai, H.; Igarashi, Y. Sorafenib Might Induce Sarcopenia in Patients With Hepatocellular Carcinoma by Inhibiting Carnitine Absorption. Anticancer Res. 2020, 40, 4173–4182. [Google Scholar] [CrossRef] [PubMed]
- Huot, J.R.; Essex, A.L.; Gutierrez, M.; Barreto, R.; Wang, M.; Waning, D.L.; Plotkin, L.I.; Bonetto, A. Chronic Treatment with Multi-Kinase Inhibitors Causes Differential Toxicities on Skeletal and Cardiac Muscles. Cancers 2019, 11, 571. [Google Scholar] [CrossRef]
- Mir, O.; Coriat, R.; Blanchet, B.; Durand, J.-P.; Boudou-Rouquette, P.; Michels, J.; Ropert, S.; Vidal, M.; Pol, S.; Chaussade, S.; et al. Sarcopenia Predicts Early Dose-Limiting Toxicities and Pharmacokinetics of Sorafenib in Patients with Hepatocellular Carcinoma. PLoS ONE 2012, 7, e37563. [Google Scholar] [CrossRef]
- Román, E.; García-Galcerán, C.; Torrades, T.; Herrera, S.; Marín, A.; Doñate, M.; Alvarado-Tapias, E.; Malouf, J.; Nácher, L.; Serra-Grima, R.; et al. Effects of an Exercise Programme on Functional Capacity, Body Composition and Risk of Falls in Patients with Cirrhosis: A Randomized Clinical Trial. PLoS ONE 2016, 11, e0151652. [Google Scholar] [CrossRef]
- Chen, L.; Chen, Y.; Wang, X.; Li, H.; Zhang, H.; Gong, J.; Shen, S.; Yin, W.; Hu, H. Efficacy and Safety of Oral Branched-Chain Amino Acid Supplementation in Patients Undergoing Interventions for Hepatocellular Carcinoma: A Meta-Analysis. Nutr. J. 2015, 14, 67. [Google Scholar] [CrossRef] [PubMed]
- Nault, J.-C.; Pigneur, F.; Nelson, A.C.; Costentin, C.; Tselikas, L.; Katsahian, S.; Diao, G.; Laurent, A.; Mallat, A.; Duvoux, C.; et al. Visceral Fat Area Predicts Survival in Patients with Advanced Hepatocellular Carcinoma Treated with Tyrosine Kinase Inhibitors. Dig. Liver Dis. 2015, 47, 869–876. [Google Scholar] [CrossRef] [PubMed]


| Training Group (n = 215) | Validation Group (n = 113) | p-Value | |
|---|---|---|---|
| Age (years) | 69 (IQR 14) | 68 (IQR 13,5) | 0.912 |
| Gender (M/F) | 183/32 (85.1%/14.9%) | 89/24 (78.8%/21.2%) | 0.165 |
| Sarcopenia (yes/no) | 103/112 (47.9%/52.1%) | 56/57 (49.6%/50.4%) | 0.817 |
Etiology of cirrhosis
| 0.077 | ||
| 85 (39.5%) | 54 (47.8%) | ||
| 34 (15.8%) | 17 (15.0%) | ||
| 27 (12.6%) | 20 (17.7%) | ||
| 69 (32.1%) | 22 (19.5%) | ||
| BMI | 25.62 (IQR 5.7) | 24.60 (IQR 4.6) | 0.001 |
| Bilirubin (mg/dL) | 1.02 (IQR 0.8) | 0.97 (IQR 0.83) | 0.695 |
| INR | 1.16 (IQR 0.18) | 1.00 (IQR 0.16) | <0.001 |
| Albumin (g/dL) | 3.5 (IQR 0.61) | 3.8 (IQR 0.6) | 0.036 |
| Creatinine (mg/dL) | 0.85 (IQR 0.32) | 0.80 (IQR 0.30) | 0.557 |
| Esophageal varices | 107 (49.8%) | 65 (57.5%) | 0.201 |
| Platelets (×109/mmc) | 129 (IQR 107) | 123 (IQR 122) | 0.406 |
| Ascites | 63 (29.3%) | 23 (20.4%) | 0.087 |
| ALBI score | −2.19 (IQR 0.69) | −2.4 (IQR 0.60) | 0.051 |
| MELD score | 9 (IQR 3) | 8 (IQR 4) | 0.002 |
CTP class
| 0.214 | ||
| 161 (74.9%) | 92 (81.4%) | ||
| 54 (25.1%) | 21 (18.6%) | ||
| AFP baseline | 36 (IQR 538.2) | 45 (IQR 487.0) | 0.045 |
| Macrovascular invasion | 72 (33.5%) | 21 (18.6%) | 0.005 |
| Metastasis | 58 (27%) | 26 (23%) | 0.506 |
ECOG PS
| 0.013 | ||
| 108 (50.2%) | 40 (35.4%) | ||
| 78 (36.3%) | 46 (40.7%) | ||
| 29 (13.5%) | 27 (23.9%) | ||
BCLC stage
| 0.340 | ||
| 3 (1.4%) | 0 | ||
| 36 (16.7%) | 23 (20.4%) | ||
| 176 (81.9%) | 90 (79.6%) | ||
CLIP score
| 0.706 | ||
| 22 (10.2%) | 11 (9.7%) | ||
| 60 (27.9%) | 25 (22.1%) | ||
| 74 (34.4%) | 41 (36.3%) | ||
| 44 (20.5%) | 30 (26.5%) | ||
| 14 (6.5%) | 6 (5.3%) | ||
| 1 (0.5%) | 0 | ||
| PROSASH-II model | 0.325 ± 0.459 | 0.257 ± 0.4 | 0.211 |
PROSASH-II risk groups
| 0.443 | ||
| 39 (18.1%) | 22 (19.5%) | ||
| 79 (36.7%) | 49 (43.4%) | ||
| 67 (31.2%) | 32 (28.3%) | ||
| 30 (14%) | 10 (8.8%) | ||
| Treatment duration (days) | 135.0 (IQR 204.0) | 159 (IQR 199.0) | 0.972 |
Presence of adverse effects during Sorafenib
| 184 (85.6%) | 96 (85.0%) | 0.871 |
| 59 (27.4%) | 36 (31.9%) | 0.443 | |
Cause of Sorafenib discontinuation
| 0.044 | ||
| 5 (2.3%) | 0 | ||
| 112 (52.1%) | 45 (39.8%) | ||
| 58 (27.0%) | 46 (40.7%) | ||
| 15 (7.0%) | 10 (8.8%) | ||
| 25 (11.6%) | 12 (10.6%) |
| Training Group (n = 215) | Validation Group (n = 113) | |||||
|---|---|---|---|---|---|---|
| Sarcopenic Group (n = 103) | Non-Sarcopenic Group (n = 112) | p | Sarcopenic Group (n = 56) | Non-Sarcopenic Group (n = 57) | p | |
| Age | 69 (IQR 13.0) | 68 (IQR 16.8) | 0.211 | 71.5 (IQR 13.0) | 67.0 (IQR 16.0) | 0.073 |
| Sex (male) | 87 (84.5%) | 96 (85.7%) | 0.849 | 37 (66.1%) | 52 (91.2%) | 0.001 |
Etiology
| 0.176 | 0.018 | ||||
| 46 (44.7%) | 39 (34.8%) | 33 (58.9%) | 21 (36.8%) | |||
| 19 (18.4%) | 15 (13.4%) | 9 (16.1%) | 8 (14.0%) | |||
| 10 (9.7%) | 17 (15.2%) | 4 (7.1%) | 16 (28.1%) | |||
| 28 (27.2%) | 41 (36.6%) | 10 (17.9%) | 12 (21.1%) | |||
| BMI | 26.06 (IQR 5.65) | 24.9 (IQR 6.13) | 0.699 | 23.55 (IQR 5.48) | 24.8 (IQR 4.00) | 0.043 |
| INR | 1.15 (IQR 0.18) | 1.16 (IQR 0.20) | 0.482 | 1.10 (IQR 0.17) | 1.08 (IQR 0.17) | 0.984 |
| Ascites | 35 (34%) | 28 (25%) | 0.177 | 12 (21.4%) | 11 (19.3%) | 0.819 |
| Bilirubin (mg/dL) | 1.02 (IQR 0.84) | 1.04 (0.83) | 0.282 | 1.00 (IQR 0.85) | 0.90 (IQR 0.80) | 0.640 |
| Albumin (g/dL) | 3.5 (IQR 0.60) | 3.5 (IQR 0.68) | 0.280 | 3.80 (IQR 0.78) | 3.80 (IQR 0.70) | 0.175 |
| ALBI score | −2.16 (IQR 0.73) | −2.22 (IQR 0.68) | 0.626 | −2.27 (0.79) | −2.40 (0.58) | 0.119 |
CTP class
| 0.348 | 0.235 | ||||
| 74 (71.8%) | 87 (77.7%) | 43 (76.8%) | 49 (86.0%) | |||
| 29 (28.2%) | 25 (22.3%) | 13 (23.2%) | 8 (14.0%) | |||
| MELD | 9 (IQR 3) | 9 (IQR 3) | 0.349 | 8 (IQR 3) | 8 (IQR 3) | 0.542 |
| Presence of varices | 57 (55.3%) | 50 (44.6%) | 0.134 | 34 (60.7%) | 31 (54.4%) | 0.570 |
| Platelets (×109/mmc) | 138 (IQR 109) | 123.5 (IQR 96.5) | 0.153 | 126.5 (IQR 95.5) | 113 (IQR 146) | 0.274 |
ECOG-PS
| 0.693 | 0.192 | ||||
| 50 (48.5%) | 58 (51.8%) | 19 (33.9%) | 21 (36.8%) | |||
| 37 (35.9%) | 41 (36.6%) | 27 (48.2%) | 19 (33.3%) | |||
| 16 (15.5%) | 13 (11.6%) | 10 (17.9%) | 17 (29.8%) | |||
| AFP (ng/mL) | 43.0 (IQR 484.0) | 30.4 (IQR 549.5) | 0.825 | 67 (IQR 547.8) | 58 (IQR 465.5) | 0.703 |
| Macrovascular invasion | 39 (37.9%) | 33 (29.5%) | 0.197 | 12 (21.4%) | 9 (15.8%) | 0.477 |
| Metastasis | 36 (35.0%) | 22 (19.6%) | 0.014 | 14 (25.0%) | 12 (21.1%) | 0.660 |
BCLC
| 0.066 | 0.819 | ||||
| 3 (2.9%) | 0 | |||||
| 13 (12.6%) | 23 (20.5%) | 12 (21.4%) | 11 (19.3%) | |||
| 87 (84.5%) | 89 (79.5%) | 44 (78.6%) | 46 (80.7%) | |||
CLIP
| 0.479 | 0.271 | ||||
| 13 (12.6%) | 9 (8.0%) | 4 (7.1%) | 7 (12.3%) | |||
| 28 (27.2%) | 32 (28.6%) | 14 (25.0%) | 11 (19.3%) | |||
| 35 (34.0%) | 39 (34.8%) | 17 (30.4%) | 24 (42.1%) | |||
| 23 (22.3%) | 21 (18.8%) | 19 (33.9%) | 11 (19.3%) | |||
| 4 (3.9%) | 10 (8.9%) | 2 (3.6%) | 4 (7.0%) | |||
| 0 | 1 (0.9%) | 0 | 0 | |||
| PROSASH-II model | 0.341 ± 0.484 | 0.311 ± 0.436 | 0.565 | 0.286 ± 0.392 | 0.227 ± 0.41 | 0.312 |
| Treatment duration (days) | 116 (IQR 196) | 142 (IQR 203.3) | 0.152 | 103.5 (IQR 297.5) | 192.0 (IQR 297.5) | 0.008 |
| Adverse effects (AE) | 84 (81.6%) | 100 (89.3%) | 0.122 | 47 (83.9%) | 49 (86.0%) | 0.798 |
| Severe AE | 31 (30.1%) | 28 (25.0%) | 0.446 | 19 (33.9%) | 17 (29.8%) | 0.689 |
Cause of Sorafenib discontinuation
| 0.078 | 0.645 | ||||
| 2 (1.9%) | 3 (2.7%) | 0 | 0 | |||
| 46 (44.7%) | 66 (58.9%) | 20 (35.7%) | 25 (43.9%) | |||
| 28 (27.2%) | 30 (26.8%) | 26 (46.4%) | 20 (35.1%) | |||
| 10 (9.7%) | 5 (4.5%) | 5 (8.9%) | 5 (8.8%) | |||
| 17 (16.5%) | 8 (7.1%) | 5 (8.9%) | 7 (12.3%) | |||
| (A) Training Group n = 215 | ||||
| Univariate Analysis | Multivariate Analysis | |||
| Variable | HR (95% CI) | p-Value | HR (95% CI) | p-Value |
| Gender (Male) | 1.05 (0.68–1.60) | 0.838 | ||
| Age (yr) | 0.99 (0.97–1.01) | 0.456 | ||
| BMI | 0.99 (0.96–1.03) | 0.785 | ||
| INR | 1.03 (0.35–3.00) | 0.963 | ||
| Bilirubin (mg/dL) | 1.35 (1.14–1.59) | <0.001 | ||
| Albumin (g/dL) | 0.80 (0.54–1.17) | 0.242 | ||
| Creatinine (mg/dL) | 1.02 (0.75–1.39) | 0.890 | ||
| Platelets (×109) | 1.00 (0.99–1.00) | 0.965 | ||
| Ascites | 1.63 (1.15–2.33) | 0.006 | 1.35 (0.93–1.97) | 0.119 |
| Oesophageal varices | 1.08 (0.79–1.49) | 0.625 | ||
| CTP class | 1.39 (1.14–1.68) | 0.001 | ||
| MELD | 1.08 (1.02–1.16) | 0.011 | ||
| MELD > 9 | 1.50 (1.04–2.17) | 0.030 | 1.37 (1.02–1.83) | 0.037 |
| ALBI score | 1.12 (0.70–1.79) | 0.633 | ||
| Sarcopenia | 1.45 (1.10–1.93) | 0.008 | 1.47 (1.05–2.07) | 0.026 |
| ECOG–PS | 1.32 (1.05–1.65) | 0.017 | 1.18 (0.93–1.51) | 0.178 |
| AFP | 1.000019 (1.000014–1.000024) | <0.001 | ||
| AFP (>25 ng/mL) | 1.72 (1.25–2.38) | 0.001 | 1.42 (0.97–2.07) | 0.07 |
| Macrovascular invasion | 1.70 (1.26–2.30) | 0.001 | 1.29 (0.85–1.95) | 0.228 |
| Metastasis | 1.07 (0.71–1.60) | 0.762 | ||
| BCLC | 1.35 (0.90–2.04) | 0.150 | ||
| PROSASH-II | 2.52 (1.62–3.93) | <0.001 | ||
| PROSASH-II risk groups | 1.47 (1.2–1.8) | <0.001 | 1.2 (0.95–1.52) | 0.134 |
| CLIP | 1.58 (1.18–2.13) | 0.002 | 1.07 (0.87–1.3) | 0.521 |
| (B) Validation Group n = 113 | ||||
| Univariate Analysis | Multivariate Analysis | |||
| Variable | HR (95% CI) | p-Value | HR (95% CI) | p-Value |
| Gender (Male) | 1.09 (0.66–1.79) | 0.744 | ||
| Age (yr) | 0.97 (0.95–1) | 0.041 | ||
| Age > 75 yr | 0.58 (0.33–1.01) | 0.055 | 0.57 (0.29–1.15) | 0.115 |
| BMI | 1.00 (0.95–1.06) | 0.888 | ||
| INR | 4.26 (0.71–25.59) | 0.113 | ||
| Bilirubin (mg/dL) | 1.30 (0.91–1.87) | 0.155 | ||
| Albumin (g/dL) | 0.58 (0.36–0.94) | 0.028 | ||
| Albumin < 3.8 g/dL | 1.80 (1.25–2.58) | 0.002 | 1.58 (0.79–3.18) | 0.2 |
| Creatinine (mg/dL) | 2.07 (0.65–6.59) | 0.217 | ||
| Platelets (×109) | 1.00 (0.99–1.01) | 0.190 | ||
| Ascites | 1.01 (0.60–1.71) | 0.965 | ||
| Oesophageal varices | 0.85 (0.59–1.23) | 0.380 | ||
| CTP class | 1.37 (0.98–1.90) | 0.064 | ||
| MELD > 9 | 1.96 (1.14–3.38) | 0.015 | 1.78 (1.04–3.03) | 0.035 |
| ALBI score | 1.38 (0.86–2.22) | 0.182 | ||
| Sarcopenia | 1.75 (1.17–2.63) | 0.007 | 1.99 (1.06–3.7) | 0.033 |
| ECOG–PS | 1.50 (1.17–1.93) | 0.001 | 1.51 (1.05–2.18) | 0.028 |
| AFP > 25 ng/ml | 1.75 (1.04–2.87) | 0.035 | 1.1 (0.6–2) | 0.765 |
| Macrovascular invasion | 1.07 (0.59–1.94) | 0.819 | ||
| Metastasis | 0.59 (0.28–1.26) | 0.174 | ||
| BCLC | 1.37 (0.67–2.82) | 0.393 | ||
| PROSASH-II risk groups | 1.27 (0.99–1.62) | 0.063 | 1.04 (0.68–1.59) | 0.852 |
| CLIP | 1.30 (0.78–2.17) | 0.312 | ||
| (A) Training Group | ||
| Variable | HR (95% CI) | p-Value |
| SarcoMELD | 1.42 (1.12–1.8) | 0.004 |
| AFP > 25 ng/mL | 1.43 (0.99–2.05) | 0.053 |
| Ascites | 1.35 (0.89–2.03) | 0.157 |
| Macrovascular invasion | 1.3 (0.86–1.98) | 0.213 |
| ECOG–PS | 1.19 (0.95–1.47) | 0.124 |
| CLIP | 1.06 (0.85–1.33) | 0.583 |
| PROSASH-II risk groups | 1.89 (0.89–1.58) | 0.237 |
| (B) Validation Group | ||
| Variable | HR (95% CI) | p-Value |
| SarcoMELD | 1.88 (1.17–3.04) | 0.009 |
| AFP > 25 ng/mL | 1.09 (0.69–1.73) | 0.696 |
| Albumin < 3.8 g/dL | 1.59 (0.86–2.97) | 0.142 |
| Age > 75 years | 0.58 (0.3–1.11) | 0.1 |
| ECOG–PS | 1.5 (1.12–2.01) | 0.006 |
| PROSASH-II risk groups | 1.03 (0.72–1.48) | 0.875 |
Disclaimer/Publisher’s Note: The statements, opinions and data contained in all publications are solely those of the individual author(s) and contributor(s) and not of MDPI and/or the editor(s). MDPI and/or the editor(s) disclaim responsibility for any injury to people or property resulting from any ideas, methods, instructions or products referred to in the content. |
© 2024 by the authors. Licensee MDPI, Basel, Switzerland. This article is an open access article distributed under the terms and conditions of the Creative Commons Attribution (CC BY) license (https://creativecommons.org/licenses/by/4.0/).
Share and Cite
Biselli, M.; Reggidori, N.; Iavarone, M.; Renzulli, M.; Lani, L.; Granito, A.; Piscaglia, F.; Lorenzini, S.; Alimenti, E.; Vara, G.; et al. Impact of Sarcopenia on the Survival of Patients with Hepatocellular Carcinoma Treated with Sorafenib. Cancers 2024, 16, 1080. https://doi.org/10.3390/cancers16061080
Biselli M, Reggidori N, Iavarone M, Renzulli M, Lani L, Granito A, Piscaglia F, Lorenzini S, Alimenti E, Vara G, et al. Impact of Sarcopenia on the Survival of Patients with Hepatocellular Carcinoma Treated with Sorafenib. Cancers. 2024; 16(6):1080. https://doi.org/10.3390/cancers16061080
Chicago/Turabian StyleBiselli, Maurizio, Nicola Reggidori, Massimo Iavarone, Matteo Renzulli, Lorenzo Lani, Alessandro Granito, Fabio Piscaglia, Stefania Lorenzini, Eleonora Alimenti, Giulio Vara, and et al. 2024. "Impact of Sarcopenia on the Survival of Patients with Hepatocellular Carcinoma Treated with Sorafenib" Cancers 16, no. 6: 1080. https://doi.org/10.3390/cancers16061080
APA StyleBiselli, M., Reggidori, N., Iavarone, M., Renzulli, M., Lani, L., Granito, A., Piscaglia, F., Lorenzini, S., Alimenti, E., Vara, G., Caraceni, P., Sangiovanni, A., Marignani, M., Gigante, E., Brandi, N., Gramenzi, A., & Trevisani, F. (2024). Impact of Sarcopenia on the Survival of Patients with Hepatocellular Carcinoma Treated with Sorafenib. Cancers, 16(6), 1080. https://doi.org/10.3390/cancers16061080

