Geriatric Assessment of Older Patients Receiving Trabectedin in First-Line Treatment for Advanced Soft Tissue Sarcomas: The E-TRAB Study from The German Interdisciplinary Sarcoma Group (GISG-13)
Abstract
Simple Summary
Abstract
1. Introduction
2. Materials and Methods
3. Results
3.1. Patient Disposition and Baseline Characteristics
3.2. Extent of Exposure
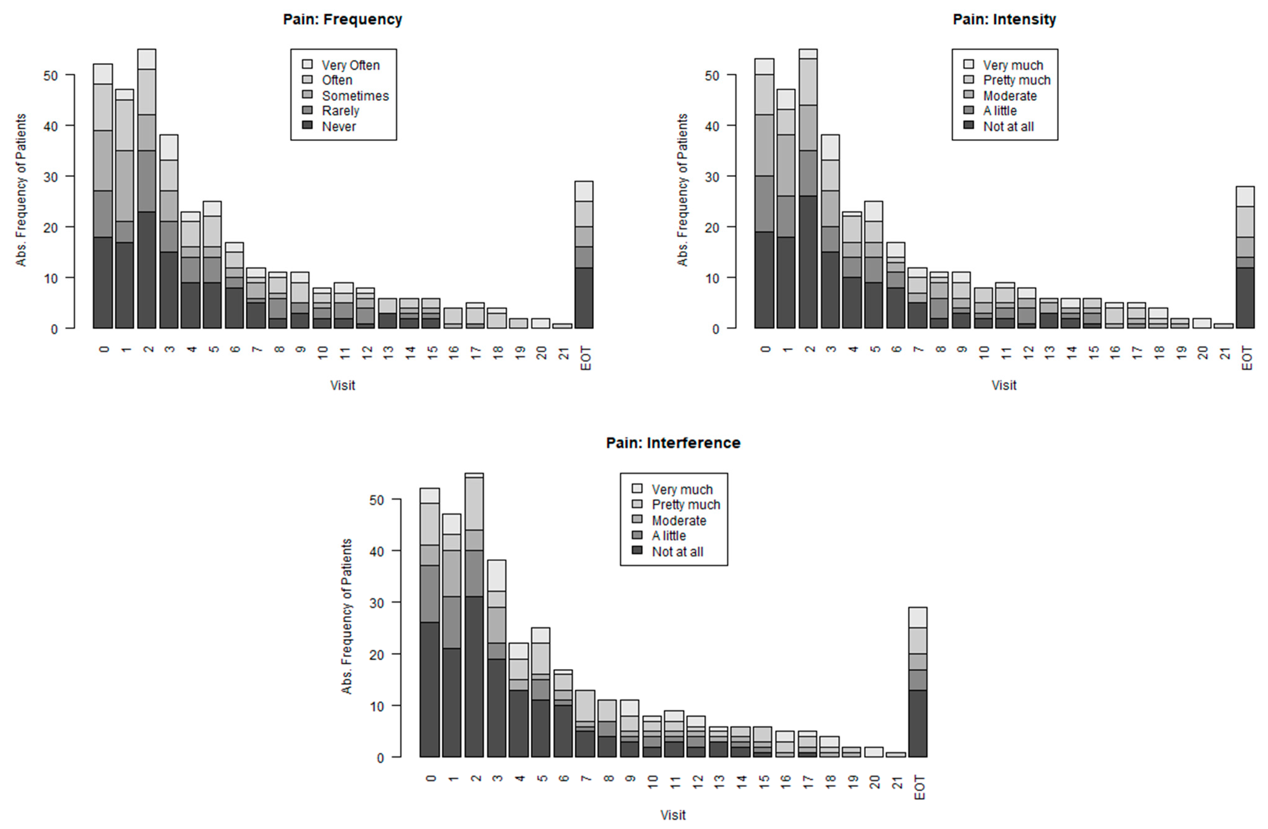
3.3. Primary Endpoints QLQ-C30 and PRO-CTCAE
3.4. Clinical Outcomes
3.5. Predictive Value of G8 and CARG
3.6. Safety
4. Discussion
5. Conclusions
Supplementary Materials
Author Contributions
Funding
Institutional Review Board Statement
Informed Consent Statement
Data Availability Statement
Acknowledgments
Conflicts of Interest
References
- International Agency for Research on Cancer; World Health Organization; International Academy of Pathology. WHO Classification of Tumours of Soft Tissue and Bone Tumours, 5th ed.; IARC: Lyon, France, 2020; Volume 3.
- Ressing, M.; Wardelmann, E.; Hohenberger, P.; Jakob, J.; Kasper, B.; Emrich, K.; Eberle, A.; Blettner, M.; Zeissig, S.R. Strengthening health data on a rare and heterogeneous disease: Sarcoma incidence and histological subtypes in Germany. BMC Public Health 2018, 18, 235. [Google Scholar] [CrossRef] [PubMed]
- Bourcier, K.; Dinart, D.; Le Cesne, A.; Honore, C.; Meeus, P.; Blay, J.Y.; Michot, A.; Le Loarer, F.; Italiano, A. Outcome of Patients with Soft-Tissue Sarcomas: An Age-Specific Conditional Survival Analysis. Oncologist 2019, 24, e559–e564. [Google Scholar] [CrossRef] [PubMed]
- Lahat, G.; Dhuka, A.R.; Lahat, S.; Lazar, A.J.; Lewis, V.O.; Lin, P.P.; Feig, B.; Cormier, J.N.; Hunt, K.K.; Pisters, P.W.; et al. Complete soft tissue sarcoma resection is a viable treatment option for select elderly patients. Ann. Surg. Oncol. 2009, 16, 2579–2586. [Google Scholar] [CrossRef] [PubMed]
- Karavasilis, V.; Seddon, B.M.; Ashley, S.; Al-Muderis, O.; Fisher, C.; Judson, I. Significant clinical benefit of first-line palliative chemotherapy in advanced soft-tissue sarcoma: Retrospective analysis and identification of prognostic factors in 488 patients. Cancer 2008, 112, 1585–1591. [Google Scholar] [CrossRef] [PubMed]
- Bucklein, V.; Limmroth, C.; Kampmann, E.; Schuebbe, G.; Issels, R.; Roeder, F.; Angele, M.; Durr, H.R.; Knosel, T.; Abdel-Rahman, S.; et al. Ifosfamide, Carboplatin, and Etoposide (ICE) in Combination with Regional Hyperthermia as Salvage Therapy in Patients with Locally Advanced Nonmetastatic and Metastatic Soft-Tissue Sarcoma. Sarcoma 2020, 2020, 6901678. [Google Scholar] [CrossRef] [PubMed]
- Tap, W.D.; Wagner, A.J.; Schoffski, P.; Martin-Broto, J.; Krarup-Hansen, A.; Ganjoo, K.N.; Yen, C.C.; Abdul Razak, A.R.; Spira, A.; Kawai, A.; et al. Effect of Doxorubicin Plus Olaratumab vs Doxorubicin Plus Placebo on Survival in Patients With Advanced Soft Tissue Sarcomas: The ANNOUNCE Randomized Clinical Trial. JAMA 2020, 323, 1266–1276. [Google Scholar] [CrossRef] [PubMed]
- Judson, I.; Verweij, J.; Gelderblom, H.; Hartmann, J.T.; Schoffski, P.; Blay, J.Y.; Kerst, J.M.; Sufliarsky, J.; Whelan, J.; Hohenberger, P.; et al. Doxorubicin alone versus intensified doxorubicin plus ifosfamide for first-line treatment of advanced or metastatic soft-tissue sarcoma: A randomised controlled phase 3 trial. Lancet Oncol. 2014, 15, 415–423. [Google Scholar] [CrossRef]
- Demetri, G.D.; Chawla, S.P.; von Mehren, M.; Ritch, P.; Baker, L.H.; Blay, J.Y.; Hande, K.R.; Keohan, M.L.; Samuels, B.L.; Schuetze, S.; et al. Efficacy and safety of trabectedin in patients with advanced or metastatic liposarcoma or leiomyosarcoma after failure of prior anthracyclines and ifosfamide: Results of a randomized phase II study of two different schedules. J. Clin. Oncol. 2009, 27, 4188–4196. [Google Scholar] [CrossRef]
- van der Graaf, W.T.; Blay, J.Y.; Chawla, S.P.; Kim, D.W.; Bui-Nguyen, B.; Casali, P.G.; Schoffski, P.; Aglietta, M.; Staddon, A.P.; Beppu, Y.; et al. Pazopanib for metastatic soft-tissue sarcoma (PALETTE): A randomised, double-blind, placebo-controlled phase 3 trial. Lancet 2012, 379, 1879–1886. [Google Scholar] [CrossRef]
- Grunwald, V.; Karch, A.; Schuler, M.; Schoffski, P.; Kopp, H.G.; Bauer, S.; Kasper, B.; Lindner, L.H.; Chemnitz, J.M.; Crysandt, M.; et al. Randomized Comparison of Pazopanib and Doxorubicin as First-Line Treatment in Patients with Metastatic Soft Tissue Sarcoma Age 60 Years or Older: Results of a German Intergroup Study. J. Clin. Oncol. 2020, 38, 3555–3564. [Google Scholar] [CrossRef]
- Hartmann, J.T.; Kopp, H.G.; Gruenwald, V.; Piperno-Neumann, S.; Kunitz, A.; Hofheinz, R.; Mueller, L.; Geissler, M.; Horger, M.; Fix, P.; et al. Randomised phase II trial of trofosfamide vs. doxorubicin in elderly patients with untreated metastatic soft-tissue sarcoma. Eur. J. Cancer 2020, 124, 152–160. [Google Scholar] [CrossRef] [PubMed]
- Cesne, A.L.; Judson, I.; Maki, R.; Grosso, F.; Schuetze, S.; Mehren, M.V.; Chawla, S.P.; Demetri, G.D.; Nieto, A.; Tanovic, A.; et al. Trabectedin is a feasible treatment for soft tissue sarcoma patients regardless of patient age: A retrospective pooled analysis of five phase II trials. Br. J. Cancer 2013, 109, 1717–1724. [Google Scholar] [CrossRef] [PubMed]
- Jones, R.L. Sarcomas and old age: Few options for such a large patient population. Future Oncol. 2019, 15, 11–15. [Google Scholar] [CrossRef] [PubMed]
- Hentschel, L.; Rentsch, A.; Lenz, F.; Hornemann, B.; Schmitt, J.; Baumann, M.; Ehninger, G.; Schuler, M. A Questionnaire Study to Assess the Value of the Vulnerable Elders Survey, G8, and Predictors of Toxicity as Screening Tools for Frailty and Toxicity in Geriatric Cancer Patients. Oncol. Res. Treat. 2016, 39, 210–216. [Google Scholar] [CrossRef] [PubMed]
- Li, D.; Sun, C.L.; Kim, H.; Soto-Perez-de-Celis, E.; Chung, V.; Koczywas, M.; Fakih, M.; Chao, J.; Cabrera Chien, L.; Charles, K.; et al. Geriatric Assessment-Driven Intervention (GAIN) on Chemotherapy-Related Toxic Effects in Older Adults with Cancer: A Randomized Clinical Trial. JAMA Oncol. 2021, 7, e214158. [Google Scholar] [CrossRef] [PubMed]
- Mohile, S.G.; Mohamed, M.R.; Xu, H.; Culakova, E.; Loh, K.P.; Magnuson, A.; Flannery, M.A.; Obrecht, S.; Gilmore, N.; Ramsdale, E.; et al. Evaluation of geriatric assessment and management on the toxic effects of cancer treatment (GAP70+): A cluster-randomised study. Lancet 2021, 398, 1894–1904. [Google Scholar] [CrossRef] [PubMed]
- Mohile, S.G.; Dale, W.; Somerfield, M.R.; Schonberg, M.A.; Boyd, C.M.; Burhenn, P.S.; Canin, B.; Cohen, H.J.; Holmes, H.M.; Hopkins, J.O.; et al. Practical Assessment and Management of Vulnerabilities in Older Patients Receiving Chemotherapy: ASCO Guideline for Geriatric Oncology. J. Clin. Oncol. 2018, 36, 2326–2347. [Google Scholar] [CrossRef]
- Gajra, A.; Jeune-Smith, Y.; Fortier, S.; Feinberg, B.; Phillips, E., Jr.; Balanean, A.; Klepin, H.D. The Use and Knowledge of Validated Geriatric Assessment Instruments Among US Community Oncologists. JCO Oncol. Pract. 2022, 18, e1081–e1090. [Google Scholar] [CrossRef]
- Dale, W. Why Is Geriatric Assessment so Infrequently Used in Oncology Practices? The Ongoing Issue of Nonadherence to This Standard of Care for Older Adults with Cancer. JCO Oncol. Pract. 2022, 18, 475–477. [Google Scholar] [CrossRef]
- Dueck, A.C.; Mendoza, T.R.; Mitchell, S.A.; Reeve, B.B.; Castro, K.M.; Rogak, L.J.; Atkinson, T.M.; Bennett, A.V.; Denicoff, A.M.; O’Mara, A.M.; et al. Validity and Reliability of the US National Cancer Institute’s Patient-Reported Outcomes Version of the Common Terminology Criteria for Adverse Events (PRO-CTCAE). JAMA Oncol. 2015, 1, 1051–1059. [Google Scholar] [CrossRef]
- Aaronson, N.K.; Ahmedzai, S.; Bergman, B.; Bullinger, M.; Cull, A.; Duez, N.J.; Filiberti, A.; Flechtner, H.; Fleishman, S.B.; de Haes, J.C.; et al. The European Organization for Research and Treatment of Cancer QLQ-C30: A quality-of-life instrument for use in international clinical trials in oncology. J. Natl. Cancer Inst. 1993, 85, 365–376. [Google Scholar] [CrossRef] [PubMed]
- Lawton, M.P.; Brody, E.M. Assessment of older people: Self-maintaining and instrumental activities of daily living. Gerontologist 1969, 9, 179–186. [Google Scholar] [CrossRef] [PubMed]
- Vellas, B.; Guigoz, Y.; Garry, P.J.; Nourhashemi, F.; Bennahum, D.; Lauque, S.; Albarede, J.L. The Mini Nutritional Assessment (MNA) and its use in grading the nutritional state of elderly patients. Nutrition 1999, 15, 116–122. [Google Scholar] [CrossRef] [PubMed]
- Charlson, M.E.; Pompei, P.; Ales, K.L.; MacKenzie, C.R. A new method of classifying prognostic comorbidity in longitudinal studies: Development and validation. J. Chronic Dis. 1987, 40, 373–383. [Google Scholar] [CrossRef] [PubMed]
- Yesavage, J.A.; Brink, T.L.; Rose, T.L.; Lum, O.; Huang, V.; Adey, M.; Leirer, V.O. Development and validation of a geriatric depression screening scale: A preliminary report. J. Psychiatr. Res. 1982, 17, 37–49. [Google Scholar] [CrossRef] [PubMed]
- Podsiadlo, D.; Richardson, S. The timed “Up & Go”: A test of basic functional mobility for frail elderly persons. J. Am. Geriatr. Soc. 1991, 39, 142–148. [Google Scholar] [CrossRef] [PubMed]
- Bellera, C.A.; Rainfray, M.; Mathoulin-Pelissier, S.; Mertens, C.; Delva, F.; Fonck, M.; Soubeyran, P.L. Screening older cancer patients: First evaluation of the G-8 geriatric screening tool. Ann. Oncol. 2012, 23, 2166–2172. [Google Scholar] [CrossRef]
- Hurria, A.; Togawa, K.; Mohile, S.G.; Owusu, C.; Klepin, H.D.; Gross, C.P.; Lichtman, S.M.; Gajra, A.; Bhatia, S.; Katheria, V.; et al. Predicting chemotherapy toxicity in older adults with cancer: A prospective multicenter study. J. Clin. Oncol. 2011, 29, 3457–3465. [Google Scholar] [CrossRef]
- Eisenhauer, E.A.; Therasse, P.; Bogaerts, J.; Schwartz, L.H.; Sargent, D.; Ford, R.; Dancey, J.; Arbuck, S.; Gwyther, S.; Mooney, M.; et al. New response evaluation criteria in solid tumours: Revised RECIST guideline (version 1.1). Eur. J. Cancer 2009, 45, 228–247. [Google Scholar] [CrossRef]
- Mir, O.; Domont, J.; Cioffi, A.; Bonvalot, S.; Boulet, B.; Le Pechoux, C.; Terrier, P.; Spielmann, M.; Le Cesne, A. Feasibility of metronomic oral cyclophosphamide plus prednisolone in elderly patients with inoperable or metastatic soft tissue sarcoma. Eur. J. Cancer 2011, 47, 515–519. [Google Scholar] [CrossRef]
- Grosso, F.; D’Ambrosio, L.; Zucchetti, M.; Ibrahim, T.; Tamberi, S.; Matteo, C.; Rulli, E.; Comandini, D.; Palmerini, E.; Baldi, G.G.; et al. Pharmacokinetics, safety, and activity of trabectedin as first-line treatment in elderly patients who are affected by advanced sarcoma and are unfit to receive standard chemotherapy: A phase 2 study (TR1US study) from the Italian Sarcoma Group. Cancer 2020, 126, 4726–4734. [Google Scholar] [CrossRef]
- Younger, E.; Litiere, S.; Le Cesne, A.; Mir, O.; Gelderblom, H.; Italiano, A.; Marreaud, S.; Jones, R.L.; Gronchi, A.; van der Graaf, W.T.A. Outcomes of Elderly Patients with Advanced Soft Tissue Sarcoma Treated with First-Line Chemotherapy: A Pooled Analysis of 12 EORTC Soft Tissue and Bone Sarcoma Group Trials. Oncologist 2018, 23, 1250–1259. [Google Scholar] [CrossRef] [PubMed]
- Yousaf, N.; Harris, S.; Martin-Liberal, J.; Stanway, S.; Linch, M.; Ifijen, M.; Al Muderis, O.; Khabra, K.; Fisher, C.; Noujaim, J.; et al. First line palliative chemotherapy in elderly patients with advanced soft tissue sarcoma. Clin. Sarcoma Res. 2015, 5, 10. [Google Scholar] [CrossRef]
- Jones, R.L.; Demetri, G.D.; Schuetze, S.M.; Milhem, M.; Elias, A.; Van Tine, B.A.; Hamm, J.; McCarthy, S.; Wang, G.; Parekh, T.; et al. Efficacy and tolerability of trabectedin in elderly patients with sarcoma: Subgroup analysis from a phase III, randomized controlled study of trabectedin or dacarbazine in patients with advanced liposarcoma or leiomyosarcoma. Ann. Oncol. 2018, 29, 1995–2002. [Google Scholar] [CrossRef]
- Soo, W.K.; King, M.T.; Pope, A.; Parente, P.; Darzins, P.; Davis, I.D. Integrated Geriatric Assessment and Treatment Effectiveness (INTEGERATE) in older people with cancer starting systemic anticancer treatment in Australia: A multicentre, open-label, randomised controlled trial. Lancet Healthy Longev. 2022, 3, e617–e627. [Google Scholar] [CrossRef] [PubMed]
- Demetri, G.D.; von Mehren, M.; Jones, R.L.; Hensley, M.L.; Schuetze, S.M.; Staddon, A.; Milhem, M.; Elias, A.; Ganjoo, K.; Tawbi, H.; et al. Efficacy and Safety of Trabectedin or Dacarbazine for Metastatic Liposarcoma or Leiomyosarcoma After Failure of Conventional Chemotherapy: Results of a Phase III Randomized Multicenter Clinical Trial. J. Clin. Oncol. 2016, 34, 786–793. [Google Scholar] [CrossRef] [PubMed]
- Patel, S.; von Mehren, M.; Reed, D.R.; Kaiser, P.; Charlson, J.; Ryan, C.W.; Rushing, D.; Livingston, M.; Singh, A.; Seth, R.; et al. Overall survival and histology-specific subgroup analyses from a phase 3, randomized controlled study of trabectedin or dacarbazine in patients with advanced liposarcoma or leiomyosarcoma. Cancer 2019, 125, 2610–2620. [Google Scholar] [CrossRef]
- Grunwald, V.; Pink, D.; Egerer, G.; Schalk, E.; Augustin, M.; Deinzer, C.K.W.; Kob, V.; Reichert, D.; Kebenko, M.; Brandl, S.; et al. Trabectedin for Patients with Advanced Soft Tissue Sarcoma: A Non-Interventional, Prospective, Multicenter, Phase IV Trial. Cancers 2022, 14, 5234. [Google Scholar] [CrossRef]
- Hamacher, R.; Liu, X.; Schuler, M.K.; Hentschel, L.; Schoffski, P.; Kopp, H.G.; Bauer, S.; Kasper, B.; Lindner, L.; Chemnitz, J.M.; et al. A post hoc analysis of the EPAZ trial: The role of geriatric variables in elderly soft tissue sarcoma patients on toxicity and outcome. Eur. J. Cancer 2023, 181, 145–154. [Google Scholar] [CrossRef]
- Soubeyran, P.; Fonck, M.; Blanc-Bisson, C.; Blanc, J.F.; Ceccaldi, J.; Mertens, C.; Imbert, Y.; Cany, L.; Vogt, L.; Dauba, J.; et al. Predictors of early death risk in older patients treated with first-line chemotherapy for cancer. J. Clin. Oncol. 2012, 30, 1829–1834. [Google Scholar] [CrossRef]
- Ortland, I.; Mendel Ott, M.; Kowar, M.; Sippel, C.; Jaehde, U.; Jacobs, A.H.; Ko, Y.D. Comparing the performance of the CARG and the CRASH score for predicting toxicity in older patients with cancer. J. Geriatr. Oncol. 2020, 11, 997–1005. [Google Scholar] [CrossRef]
- Nishijima, T.F.; Deal, A.M.; Williams, G.R.; Sanoff, H.K.; Nyrop, K.A.; Muss, H.B. Impact of the Cancer and Aging Research Group score and treatment intensity on survival and toxicity outcomes in older adults with advanced noncolorectal gastrointestinal cancers. Cancer 2022, 128, 1929–1936. [Google Scholar] [CrossRef] [PubMed]
- Lodewijckx, E.; Kenis, C.; Flamaing, J.; Debruyne, P.; De Groof, I.; Focan, C.; Cornelis, F.; Verschaeve, V.; Bachmann, C.; Bron, D.; et al. Unplanned hospitalizations in older patients with cancer: Occurrence and predictive factors. J. Geriatr. Oncol. 2021, 12, 368–374. [Google Scholar] [CrossRef] [PubMed]
- Chiusole, B.; Tortorelli, I.; Galiano, A.; Murtas, F.; Ahcene-Djaballah, S.; Tierno, G.; Bergo, E.; Banzato, A.; Gatti, M.; Di Maggio, A.; et al. Management and Outcomes of Older Patients (Age ≥ 70 Years) with Advanced Soft Tissue Sarcoma and Role of Geriatric Assessment and Oncological Multidimensional Prognostic Index (Onco-MPI) in a Real-World Setting. Cancers 2023, 15, 1043. [Google Scholar] [CrossRef] [PubMed]






| Parameter | ITT (n = 69) | |
|---|---|---|
| Age at study entry (years) | Median (range) | 78 (55–88) | 
| <60 years | n (%) | 2 (2.9%) | 
| ≥60 years | n (%) | 67 (97.1%) | 
| Gender | ||
| Female | n (%) | 30 (43.5%) | 
| Male | n (%) | 39 (56.5%) | 
| ECOG PS | ||
| Grade 0 | n (%) | 22 (31.9%) | 
| Grade 1 | n (%) | 38 (55.1%) | 
| Grade 2 | n (%) | 9 (13.0%) | 
| QLQ-C30 score 1 | ||
| Summary score | Median (range) | 72.2 (22.3–99.5) (n = 67) | 
| Global health status | Median (range) | 58.3 (8.33–100) (n = 66) | 
| Functional scales | ||
| Physical functioning | Median (range) | 66.7 (6.67–100) (n = 67) | 
| Role functioning | Median (range) | 66.7 (0–100) (n = 67) | 
| Emotional functioning | Median (range) | 66.7 (0–100) (n = 67) | 
| Cognitive functioning | Median (range) | 100 (16.7–100) (n = 67) | 
| Social functioning | Median (range) | 66.7 (0–100) (n = 67) | 
| Symptom scales/items | ||
| Fatigue | Median (range) | 44.4 (0–100) (n = 67) | 
| Nausea and vomiting | Median (range) | 0 (0–100) (n = 67) | 
| Pain | Median (range) | 33.3 (0–100) (n = 67) | 
| Dyspnea | Median (range) | 33.3 (0–100) (n = 67) | 
| Insomnia | Median (range) | 33.3 (0–100) (n = 67) | 
| Appetite loss | Median (range) | 33.3 (0–100) (n = 67) | 
| Constipation | Median (range) | 33.3 (0–100) (n = 67) | 
| Diarrhea | Median (range) | 0 (0–100) (n = 67) | 
| Financial difficulties | Median (range) | 0 (0–100) (n = 67) | 
| IADL total score | Median (range) | 8 (2–8) (n = 68) | 
| Patients with restrictions (<8) | n (%) | 32 (46.4%) | 
| Patients without restrictions (8) | n (%) | 36 (52.2%) | 
| MNA total score | Median (range) | 27 (11–33) (n = 68) | 
| Normal (≥24) | n (%) | 55 (79.7%) | 
| Risk of malnutrition (17–23.5) | n (%) | 10 (14.5) | 
| Malnutrition (<17) | n (%) | 3 (4.3%) | 
| CCI total score | Median (range) | 8 (0–14) (n = 59) | 
| Low mortality risk (≤2) | n (%) | 12 (17.4%) | 
| High mortality risk (>2) | n (%) | 47 (68.1%) | 
| GDS total score | Median (range) | 3 (0–10) (n = 65) | 
| Normal (0–5) | n (%) | 59 (85.5%) | 
| Light-to-moderate depression (6–10) | n (%) | 6 (8.7%) | 
| Severe depression (11–15) | n (%) | 0 | 
| G8 total score | Median (range) | 13 (5–16) (n = 68) | 
| Geriatric care needed (≤14) | n (%) | 50 (72.5%) | 
| No geriatric care needed (>14) | n (%) | 18 (26.1%) | 
| TUG (Time in s) | Median (range) | 8.0 (1–17) (n = 54) | 
| Severe mobility restriction (≥30 s) | n (%) | 0 | 
| Significant mobility restriction (20–29 s) | n (%) | 0 | 
| Moderate mobility restriction (11–19 s) | n (%) | 15 (21.7%) | 
| No mobility restriction (<10 s) | n (%) | 39 (56.5%) | 
| CARG total score | Median (range) | 7.0 (0–18) (n = 62) | 
| Low risk for side effects (0–5) | n (%) | 26 (37.7%) | 
| Intermediate risk for side effects (6–9) | n (%) | 20 (29.0%) | 
| High risk for side effects (>9) | n (%) | 16 (23.2%) | 
| Scale | Number of Events | Median Time to Deterioration (Weeks) [95% CI] | 
|---|---|---|
| QLQ-C30 sum score | 36 | 7.14 [5.000; 12.994] | 
| Global health status/QoL | 35 | 7.14 [6.000; 12.857] | 
| Physical functioning | 38 | 5.86 [3.714; 9.000] | 
| Role functioning | 39 | 4.00 [3.143; 6.292] | 
| Emotional functioning | 29 | 9.00 [6.292; 22.000] | 
| Cognitive functioning | 33 | 6.86 [6.000; 9.143] | 
| Social functioning | 32 | 6.29 [3.149; 18.006] | 
| Fatigue | 46 | 3.15 [3.006; 5.000] | 
| Nausea and vomiting | 31 | 7.14 [4.286; 16.994] | 
| Pain | 28 | 13.00 [9.994; 20.137] | 
| Dyspnea | 23 | 14.29 [9.000; n.a.] | 
| Insomnia | 29 | 7.14 [6.994; 18.006] | 
| Appetite loss | 31 | 9.00 [6.006; 16.994] | 
| Constipation | 24 | 9.57 [6.994; n.a.] | 
| Diarrhea | 22 | 18.01 [10.006; n.a.] | 
| Financial difficulties | 15 | n.a. [18.006; n.a.] | 
| OS | Time to Onset of Response | Duration of Response | |
|---|---|---|---|
| Factor | HR [95% CI], p-Value | HR [95% CI], p-Value | HR [95% CI], p-Value | 
| Age ≥ 78 | 1.130 [0.610; 2.095], 0.697 | 2.251 [0.788; 6.430], 0.130 | 0.700 [0.182; 2.691], 0.604 | 
| Sex (male) | 1.169 [0.634; 2.155], 0.617 | 0.942 [0.339; 2.617], 0.909 | 1.068 [0.259; 4.401], 0.928 | 
| ECOG PS Grade 1 | 1.270 [0.634; 2.544], 0.501 | 0.951 [0.299; 3.028], 0.933 | 1.081 [0.205; 5.700], 0.927 | 
| ECOG PS Grade 2 | 1.664 [0.643; 4.309], 0.294 | 2.263 [0.409; 12.530], 0.350 | 0.230 [0.017; 3.114], 0.269 | 
| QLQ-C30 summary score > 72.2 | 0.698 [0.377; 1.292], 0.252 | 5.462 [1.325; 22.51], 0.019 | 2.192 [0.505; 9.517], 0.295 | 
| IADL at least one restriction | 1.516 [0.831; 2.763], 0.175 | 1.241 [0.446; 3.452], 0.680 | 0.858 [0.244; 3.014], 0.811 | 
| MNA malnutrition | 2.663 [0.627; 11.310], 0.185 | 1.226 [0.149; 10.097], 0.850 | 0.873 [0.099; 7.693], 0.902 | 
| MNA risk of malnutrition | 2.288 [0.917; 5.714], 0.076 | 0.787 [0.215; 2.880], 0.717 | 6.232 [1.022; 37.996], 0.047 | 
| CCI > 2 (high mortality risk) | 0.966 [0.403; 2.316], 0.937 | 1.113 [0.298; 4.152], 0.874 | 0.311 [0.056; 1.740], 0.184 | 
| GDS moderate | 1.764 [0.688; 4.522], 0.237 | 2.966 [0.331; 26.61], 0.331 | 3.534 [0.366; 34.100], 0.275 | 
| G8 ≤ 14 | 1.025 [0.524; 2.005], 0.943 | 0.717 [0.252; 2.037], 0.532 | 1.907 [0.489; 7.446], 0.353 | 
| CARG intermediate (6–9) | 1.298 [0.633; 2.661], 0.476 | 1.100 [0.328; 3.688], 0.878 | 0.217 [0.024; 1.992], 0.177 | 
| CARG high (>9) | 0.752 [0.318; 1.778], 0.516 | 0.483 [0.119; 1.965], 0.310 | 10.12 [1.042; 98.337], 0.046 | 
| TUG moderate restriction | 1.987 [0.971; 4.063], 0.060 | 0.602 [0.126; 2.865], 0.524 | 1.691 [0.188; 15.250], 0.639 | 
| Unplanned Hospitalizations | Occurrence of Toxicities Grade ≥ 3 | Early Death | |
|---|---|---|---|
| Factor | OR [95% CI], p-Value | OR [95% CI], p-Value | OR [95% CI], p-Value | 
| G8 > 14 | 1.105 [0.373; 3.273], 0.857 | 0.709 [0.173; 2.900], 0.632 | 0.867 [0.294; 2.559], 0.796 | 
| CARG intermediate (6–9) | 0.955 [0.296; 3.078], 0.938 | 2.118 [0.543; 8.262], 0.280 | 1.048 [0.325; 3.378], 0.938 | 
| CARG high (>9) | 5.056 [1.159; 22.060], 0.031 | 7.941 [0.898; 70.216], 0.062 | 0.857 [0.246; 2.983], 0.809 | 
| ECOG PS 1 | 0.714 [0.591; 4.970], 0.321 | 3.771 [1.048; 13.569], 0.042 | 1.533 [0.532; 4.422], 0.429 | 
| ECOG PS 2 | 0.800 0.168; 3.799], 0.779 | 2.000 [0.332; 12.046], 0.449 | 0.500 [0.099; 2.522], 0.401 | 
| IADL at least one restriction | 1.491 [0.565; 3.933], 0.419 | 2.692 [0.751; 9.649], 0.128 | 2.083 [0.788; 5.506], 0.139 | 
| MNA risk of malnutrition | 0.387 [0.033; 4.526], 0.449 | 2.512 [0.289; 21.8], 0.404 | 4.462 [0.868; 22.941], 0.073 | 
| MNA malnutrition | 1.806 [0.422; 7.730], 0.425 | 0.558 [0.047; 6.693], 0.645 | 2.231 [0.191; 26.062], 0.522 | 
| TUG moderate restriction | 2.783 [0.675; 11.48], 0.157 | not estimable | 5.750 [1.394; 23.716], 0.016 | 
| Treatment-Related ADR as Per NCI-CTC, Worst Case Per Patient (≥3% of Patients) | Grade 1 n = 28 | Grade 2 n = 23 | Grade 3 n = 31 | Grade 4 n = 7 | Grade 5 n = 2 | Total n = 55 | ||||||
|---|---|---|---|---|---|---|---|---|---|---|---|---|
| n | % | n | % | n | % | n | % | n | % | n | % | |
| Nausea | 14 | 20.3 | 5 | 7.2 | 5 | 7.2 | - | - | - | - | 24 | 34.8 | 
| Fatigue | 13 | 18.8 | 5 | 7.2 | - | - | - | - | - | - | 18 | 26.1 | 
| Anemia | 6 | 8.7 | 3 | 4.3 | 5 | 7.2 | - | - | - | - | 14 | 20.3 | 
| WBC decreased | 5 | 7.2 | 4 | 5.8 | 2 | 2.9 | 3 | 4.3 | - | - | 14 | 20.3 | 
| ALAT increased | 4 | 5.8 | 4 | 5.8 | 3 | 4.3 | 1 | 1.4 | - | - | 12 | 17.4 | 
| AST increased | 9 | 13.0 | - | - | 2 | 2.9 | - | - | - | - | 11 | 15.9 | 
| Neutrophil count decreased | - | - | 2 | 2.9 | 5 | 7.2 | 3 | 4.3 | - | - | 10 | 14.5 | 
| Vomiting | 7 | 10.1 | 2 | 2.9 | - | - | - | - | - | - | 10 2 | 14.5 | 
| Constipation | 3 | 4.3 | - | - | 6 | 8.7 | - | - | - | - | 9 | 13.0 | 
| GGT increased | 5 | 7.2 | 2 | 2.9 | 2 | 2.9 | - | - | - | - | 9 | 13.0 | 
| Platelet count decreased | 5 | 7.2 | 1 | 1.4 | - | - | 2 | 2.9 | - | - | 8 | 11.6 | 
| Decreased appetite | 6 | 8.7 | 1 | 1.4 | - | - | - | - | - | - | 7 | 10.1 | 
| Acute kidney injury | 1 | 1.4 | 1 | 1.4 | 3 | 4.3 | 1 | 1.4 | - | - | 6 | 8.7 | 
| AP increased | 3 | 4.3 | - | - | 3 | 4.3 | - | - | - | - | 6 | 8.7 | 
| Abdominal pain | 3 | 4.3 | 1 | 1.4 | 1 | 1.4 | - | - | - | - | 5 | 7.2 | 
| Edema peripheral | 4 | 5.8 | 1 | 1.4 | - | - | - | - | - | - | 5 | 7.2 | 
| Hypoalbuminemia | 3 | 4.3 | 1 | 1.4 | - | - | - | - | - | - | 4 | 5.8 | 
| Hepatotoxicity | - | - | 1 | 1.4 | 2 | 2.9 | - | - | - | - | 3 | 4.3 | 
| Liver disorder | - | - | 1 | 1.4 | 2 | 2.9 | - | - | - | - | 3 | 4.3 | 
| Liver injury | - | - | - | - | - | - | - | - | 1 | 1.4 | 1 | 1.4 | 
| Sepsis | - | - | - | - | - | - | - | - | 1 | 1.4 | 1 | 1.4 | 
| Reference | Treatment | n | Age [Years] | ORR [%] | Median PFS [Months] | Median OS [Months] | 
|---|---|---|---|---|---|---|
| E-TRAB study | Trabectedin | 69 | Median: 78 | 23.2 (DCR) | 2.5 | 11.2 | 
| Younger et al. [33] | Doxorubicin-based chemotherapies | 348 | >65 | 14.9 | 3.5 | 10.8 | 
| Yousaf et al. [34] | Doxorubicin or others | 120 | >65 | 20 | n.e. | 6.5 | 
| Mir et al. [31] | Cyclophosphamide | 27 | ≥65 | 27 | 6.8 | n.e. | 
| Grosso et al. [32] | Trabectedin | 24 | ≥80 | 62 (DCR) | 4 | 9 | 
| Hartmann et al. [12] | Trofosfamide | 80 | ≥60 | 6.6 | 2.8 | 12.3 | 
| Grünwald et al. [11] | Pazopanib | 81 | ≥60 | n.e. | 4.4 | 12.3 | 
| Jones et al. [35,36] | Trabectedin | 94 | >65 | 9 | 4.9 | 15.1 | 
| Disclaimer/Publisher’s Note: The statements, opinions and data contained in all publications are solely those of the individual author(s) and contributor(s) and not of MDPI and/or the editor(s). MDPI and/or the editor(s) disclaim responsibility for any injury to people or property resulting from any ideas, methods, instructions or products referred to in the content. | 
© 2024 by the authors. Licensee MDPI, Basel, Switzerland. This article is an open access article distributed under the terms and conditions of the Creative Commons Attribution (CC BY) license (https://creativecommons.org/licenses/by/4.0/).
Share and Cite
Kasper, B.; Pink, D.; Rothermundt, C.; Richter, S.; Augustin, M.; Kollar, A.; Kunitz, A.; Eisterer, W.; Gaidzik, V.; Brodowicz, T.; et al. Geriatric Assessment of Older Patients Receiving Trabectedin in First-Line Treatment for Advanced Soft Tissue Sarcomas: The E-TRAB Study from The German Interdisciplinary Sarcoma Group (GISG-13). Cancers 2024, 16, 558. https://doi.org/10.3390/cancers16030558
Kasper B, Pink D, Rothermundt C, Richter S, Augustin M, Kollar A, Kunitz A, Eisterer W, Gaidzik V, Brodowicz T, et al. Geriatric Assessment of Older Patients Receiving Trabectedin in First-Line Treatment for Advanced Soft Tissue Sarcomas: The E-TRAB Study from The German Interdisciplinary Sarcoma Group (GISG-13). Cancers. 2024; 16(3):558. https://doi.org/10.3390/cancers16030558
Chicago/Turabian StyleKasper, Bernd, Daniel Pink, Christian Rothermundt, Stephan Richter, Marinela Augustin, Attila Kollar, Annegret Kunitz, Wolfgang Eisterer, Verena Gaidzik, Thomas Brodowicz, and et al. 2024. "Geriatric Assessment of Older Patients Receiving Trabectedin in First-Line Treatment for Advanced Soft Tissue Sarcomas: The E-TRAB Study from The German Interdisciplinary Sarcoma Group (GISG-13)" Cancers 16, no. 3: 558. https://doi.org/10.3390/cancers16030558
APA StyleKasper, B., Pink, D., Rothermundt, C., Richter, S., Augustin, M., Kollar, A., Kunitz, A., Eisterer, W., Gaidzik, V., Brodowicz, T., Egerer, G., Reichardt, P., Hohenberger, P., & Schuler, M. K. (2024). Geriatric Assessment of Older Patients Receiving Trabectedin in First-Line Treatment for Advanced Soft Tissue Sarcomas: The E-TRAB Study from The German Interdisciplinary Sarcoma Group (GISG-13). Cancers, 16(3), 558. https://doi.org/10.3390/cancers16030558
 
        




 
       