Sequential Use of Sorafenib and Regorafenib in Hepatocellular Cancer Recurrence After Liver Transplantation: Treatment Strategies and Outcomes
Simple Summary
Abstract
1. Introduction
2. Materials and Methods
2.1. Data Collection
2.2. Treatment Protocol
2.3. Ethical Approval
2.4. Outcome Measures
2.5. Statistical Analysis
3. Results
3.1. Patient Demographics and Clinical Characteristics
3.2. Sorafenib Treatment
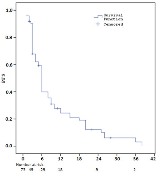
3.3. Progression-Free Survival 1 (PFS1) with Sorafenib
3.4. Regorafenib Treatment
3.5. Progression Free Survival (PFS) with Regorafenib
3.6. Overall Survival (OS)
3.7. Response to Treatment According to Child–Pugh Classification
4. Discussion
5. Conclusions
Author Contributions
Funding
Institutional Review Board Statement
Informed Consent Statement
Data Availability Statement
Conflicts of Interest
References
- Buonaguro, L. Human Hepatocellular Carcinoma (HCC). Cancers 2020, 12, 3739. [Google Scholar] [CrossRef] [PubMed]
- Grandhi, M.S.; Kim, A.K.; Ronnekleiv-Kelly, S.M.; Kamel, I.R.; Ghasebeh, M.A.; Pawlik, T.M. Hepatocellular carcinoma: From diagnosis to treatment. Surg. Oncol. 2016, 25, 74–85. [Google Scholar] [CrossRef] [PubMed]
- Chang, B.; Tian, H.; Huang, A.; Zhai, X.; Wang, L.; Han, L.; Jin, X.; Gao, L.; Liang, Q.; Li, B.; et al. Prevalence and prediction of hepatocellular carcinoma in alcohol-associated liver disease: A retrospective study of 136 571 patients with chronic liver diseases. BMJ Open Gastroenterol. 2024, 2, e100036. [Google Scholar] [CrossRef]
- Nassereldine, H.; Compton, K.; Kendrick, P.; Li, Z.; Baumann, M.M.; Kelly, Y.O.; Schmidt, C.; Sylte, D.O.; Motte-Kerr, W.L.; Daoud, F.; et al. Burden of liver cancer mortality by county, race, and ethnicity in the USA, 2000–2019: A systematic analysis of health disparities. Lancet Public Health 2024, 9, e186–e198. [Google Scholar] [CrossRef]
- Global Hepatitis Report 2024: Action for Access in Low- and Middle-Income Countries. Available online: https://www.who.int/publications/i/item/9789240091672 (accessed on 9 April 2024).
- Ansari, K.K.; Jha, A. Causes of Cancer in the World: Comparative Risk Assessment of Nine Behavioral and Environmental Risk Factors. Cureus 2024, 14, e28875. [Google Scholar] [CrossRef]
- Yang, J.D.; Hainaut, P.; Gores, G.J.; Amadou, A.; Plymoth, A.; Roberts, L.R. A global view of hepatocellular carcinoma: Trends, risk, prevention and management. Nat. Rev. Gastroenterol. Hepatol. 2019, 16, 589–604. [Google Scholar] [CrossRef]
- Ito, T.; Nguyen, M.H. Perspectives on the underlying etiology of HCC and its effects on treatment outcomes. J. Hepatocell. Carcinoma 2023, 10, 413–428. [Google Scholar] [CrossRef]
- Hertl, M.; Cosimi, A.B. Liver Transplantation for Malignancy. The Oncol. 2005, 10, 269–281. [Google Scholar] [CrossRef]
- Soong, R.; Yu, M.; Chan, K.; Chou, H.; Wu, T.; Lee, C.; Wu, T.; Lee, C. Analysis of the recurrence risk factors for the patients with hepatocellular carcinoma meeting University of California San Francisco criteria after curative hepatectomy. World J. Surg. Oncol. 2011, 9, 9. [Google Scholar] [CrossRef]
- Zimmerman, M.A.; Ghobrial, R.M.; Tong, M.J.; Hiatt, J.R.; Cameron, A.M.; Hong, J.C.; Busuttil, R.W. Recurrence of Hepatocellular Carcinoma Following Liver Transplantation. Arch. Surg. 2008, 143, 182. [Google Scholar] [CrossRef]
- Straś, W.; Wasiak, D.; Ła̧giewska, B.; Tronina, O.; Hreńczuk, M.; Gotlib, J.; Lisik, W.; Małkowski, P. Recurrence of Hepatocellular Carcinoma After Liver Transplantation: Risk Factors and Predictive Models. Ann. Transplant. 2022, 27, e934924-1–e934924-11. [Google Scholar] [CrossRef] [PubMed]
- Sugawara, Y.; Hibi, T. Liver transplantation for patients with hepatocellular carcinoma: Its current status and advances. Biomed. Surg. Today 2022, 16, 207–211. [Google Scholar] [CrossRef] [PubMed]
- Lee, H.; Yang, K.; Choi, B.H.; Park, Y.; Yoon, K.T.; Ryu, J.H.; Chu, C.W. Complete Regression of Recurrent Advanced Hepatocellular Carcinoma After Liver Transplantation in Response to Sorafenib Treatment: A Case Report. Transplant. Proc. 2016, 48, 247–250. [Google Scholar] [CrossRef] [PubMed]
- Almhanna, K.; Philip, P.A. Safety and efficacy of sorafenib in the treatment of hepatocellular carcinoma. OncoTargets Ther. 2009, 2, 261. [Google Scholar] [CrossRef]
- Sotiropoulos, G.; Nowak, K.W.; Fouzas, I.; Vernadakis, S.; Kykalos, S.; Klein, C.; Paul, A. Sorafenib Treatment for Recurrent Hepatocellular Carcinoma After Liver Transplantation. Transplant. Proc. 2012, 44, 2754–2756. [Google Scholar] [CrossRef]
- Ravi, S.; Singal, A.K. Regorafenib: An evidence-based review of its potential in patients with advanced liver cancer. Cancer Manag. Res. 2014, 6, 81–87. [Google Scholar] [CrossRef]
- Sherman, M. Regorafenib for Treatment of Hepatocellular Carcinoma. Hepatology 2018, 67, 1162–1165. [Google Scholar] [CrossRef]
- Waidmann, O. Recent developments with immunotherapy for hepatocellular carcinoma. Expert Opin. Biol. Ther. 2018, 18, 905–910. [Google Scholar] [CrossRef]
- Okusaka, T.; Ikeda, M. Immunotherapy for hepatocellular carcinoma: Current status and future perspectives. ESMO Open 2018, 3, e000455. [Google Scholar] [CrossRef]
- Jarroudi, O.A.; Ulusakarya, A.; Almohamad, W.; Afqir, S.; Morère, J. Anti-Programmed Cell Death Protein 1 (PD-1) Immunotherapy for Metastatic Hepatocellular Carcinoma After Liver Transplantation: A Report of Three Cases. Cureus 2020, 12, e11150. [Google Scholar] [CrossRef]
- Kim, B.H.; Park, J. Systemic Therapy for Advanced Hepatocellular Carcinoma: Targeted Therapy and Immunotherapy. J. Liver Cancer 2018, 18, 17–22. [Google Scholar] [CrossRef]
- Yoon, D.H.; Ryoo, B.; Ryu, M.; Lee, S.; Hwang, S.M.; Suh, D.J.; Lee, H.; Kim, T.W.; Ahn, C.S.; Kim, K.; et al. Sorafenib for Recurrent Hepatocellular Carcinoma After Liver Transplantation. Jpn. J. Clin. Oncol. 2010, 40, 768–773. [Google Scholar] [CrossRef] [PubMed]
- Mazzola, A.; Costantino, A.; Petta, S.; Bartolotta, T.V.; Raineri, S.M.; Sacco, R.; Brancatelli, G.; Cammà, C.; Cabibbo, G. Recurrence of hepatocellular carcinoma after liver transplantation: An update. Future Oncol. 2015, 11, 2923–2936. [Google Scholar] [CrossRef] [PubMed]
- Llovet, J.M.; Ricci, S.; Mazzaferro, V.; Hilgard, P.; Gane, E.; Blanc, J.-F.; de Oliveira, A.C.; Santoro, A.; Raoul, J.-L.; Forner, A.; et al. Sorafenib in advanced hepatocellular carcinoma. N. Engl. J. Med. 2008, 359, 378–390. [Google Scholar] [CrossRef]
- Sanoff, H.K.; Chang, Y.; Lund, J.L.; O’Neil, B.H.; Dusetzina, S.B. Sorafenib Effectiveness in Advanced Hepatocellular Carcinoma. Oncologist 2016, 21, 1113–1120. [Google Scholar] [CrossRef]
- Terashima, T.; Yamashita, T.; Takata, N.; Nakagawa, H.; Toyama, T.; Arai, K.; Kitamura, K.; Yamashita, T.; Sakai, Y.; Mizukoshi, E.; et al. Post-progression survival and progression-free survival in patients with advanced hepatocellular carcinoma treated by sorafenib. Hepatol. Res. 2015, 46, 650–656. [Google Scholar] [CrossRef]
- Otsuka, T.; Nakashita, S.; Yanagita, K.; Ario, K.; Kawasoe, H.; Kawazoe, S.; Eguchi, Y.; Mizuta, T. Factors Associated with Post-Progression Survival in Patients with Advanced Hepatocellular Carcinoma Treated with Sorafenib. Diseases 2015, 3, 68–77. [Google Scholar] [CrossRef]
- Bruix, J.; Qin, S.; Merle, P.; Granito, A.; Huang, Y.-H.; Bodoky, G.; Pracht, M.; Yokosuka, O.; Rosmorduc, O.; Breder, V.; et al. Regorafenib for patients with hepatocellular carcinoma who progressed on sorafenib treatment (RESORCE): A randomised, double-blind, placebo-controlled, phase 3 trial. Lancet 2017, 389, 56–66. [Google Scholar] [CrossRef]
- Ueshima, K.; Nishida, N.; Kudo, M. Sorafenib-Regorafenib Sequential Therapy in Advanced Hepatocellular Carcinoma: A Single-Institute Experience. Oncology 2017, 35, 611–617. [Google Scholar] [CrossRef]
- Alsina, A.; Makris, A.M.; Nenos, V.; Sucre, E.; Arrobas, J.; Franco, E.; Kemmer, N. Can Sorafenib Increase Survival for Recurrent Hepatocellular Carcinoma after Liver Transplantation? A Pilot Study. Am. Surg. 2014, 80, 680–684. [Google Scholar] [CrossRef]
- Trojan, J.; Waidmann, O. Role of regorafenib as second-line therapy and landscape of investigational treatment options in advanced hepatocellular carcinoma. J. Hepatocell. Carcinoma 2016, 3, 31–36. [Google Scholar] [CrossRef] [PubMed][Green Version]
- Kwon, J.H.; Kim, S.; Lee, H.; Shin, M.; Lee, Y.S.; Jang, J.W.; Kim, D.Y. Outcomes of Sorafenib and Regorafenib Therapy after Liver Transplantation in Patients with Recurrent Hepatocellular Carcinoma. Korean J. Transplant. 2021, 35, 63–70. [Google Scholar] [CrossRef]
- Ren, S.H.; Cui, Z.L.; Lang, M.R.; Li, Q.; Zhang, W.; Fang, F.; Wu, Q.; Cui, Y.L.; Li, H.K.; Chen, P.; et al. Efficacy and Safety of Sequential Therapy with Sorafenib and Regorafenib for Advanced Hepatocellular Carcinoma: A Two-Center Study in China. J. Gastrointest. Oncol. 2022, 13, 1266–1277. [Google Scholar] [CrossRef] [PubMed]
- Iavarone, M.; Invernizzi, F.; Ivanics, T.; Mazza, S.; Zavaglia, C.; Sanduzzi-Zamparelli, M.; Fraile-López, M.; Czauderna, C.; Di Costanzo, G.; Bhoori, S.; et al. Regorafenib efficacy after sorafenib in patients with recurrent hepatocellular carcinoma after liver transplantation: A retrospective study. Liver Transplant. 2021, 27, 1767–1778. [Google Scholar] [CrossRef]
- Mazzaferro, V.; Citterio, D.; Bhoori, S.; Bongini, M.; Langer, M.; Miceli, R.; Incarbone, M.; Infante, G.; Sposito, C.; Morenghi, E.; et al. Liver Transplantation after Downstaging Hepatocellular Carcinoma Tumor Stage (XXL): A Randomized, Controlled, Phase 2b/3 Trial. Lancet Oncol. 2020, 21, 947–956. [Google Scholar] [CrossRef]
- Chok, K.; Chan, S.C.; Cheung, T.T.; Chan, A.C.Y.; Fan, S.T.; Lo, C.M. Late Recurrence of Hepatocellular Carcinoma after Liver Transplantation. World J. Surg. 2011, 35, 2058–2062. [Google Scholar] [CrossRef]
- Roayaie, S.; Schwartz, J.D.; Sung, M.W.; Emre, S.; Miller, C.M.; Gondolesi, G.; Krieger, N.; Schwartz, M. Recurrence of hepatocellular carcinoma after liver transplant: Patterns and prognosis. Liver Transplant. 2004, 10, 534–540. [Google Scholar] [CrossRef]
- Rayya, F.; Harms, J.; Bartels, M.; Uhlmann, D.; Hauss, J.; Fangmann, J. Results of Resection and Transplantation for Hepatocellular Carcinoma in Cirrhosis and Noncirrhosis. Transplant. Proc. 2008, 40, 933–935. [Google Scholar] [CrossRef]
- Kudo, M. Regorafenib as Second-Line Systemic Therapy May Change the Treatment Strategy and Management Paradigm for Hepatocellular Carcinoma. Liver Cancer 2016, 5, 235–244. [Google Scholar] [CrossRef]
- Uchikawa, S.; Kawaoka, T.; Aikata, H.; Kodama, K.; Inagaki, Y.; Hatooka, M.; Morio, K.; Nakahara, T.; Murakami, E.; Hiramatsu, A.; et al. Early experience of seven hepatocellular carcinoma cases treated with regorafenib. Clin. Case Rep. 2018, 6, 2217–2223. [Google Scholar] [CrossRef]



| Parameter | Value |
|---|---|
| Gender n (%) | Female: 11 (15.1%), Male: 62 (84.9%) |
| Age (Mean ± SD) Min–Max (Median) | 56.5 ± 11.4 (22–74) (59) |
| Age at Diagnosis (Mean ± SD) Min–Max (Median) | 52.3 ± 11.0 (19–68) (54) |
| AFP at Diagnosis (Mean ± SD) Min–Max (Median) | 1790.1 ± 8974 (1–73,593) (566) |
| ECOG at Diagnosis n (%) | 0: 29 (39.2%), 1: 44 (59.5%), 2: 1 (1.4%) |
| Cirrhosis at Diagnosis n (%) | No: 18 (24.7%), Yes: 55 (75.3%) |
| Etiology of Cirrhosis n (%) | HBV: 53 (72.6%), HCV: 7 (9.6%), Alcohol: 2 (2.7%), Other: 11 (15.1%) |
| Single Lesion n (%) | Less than 5 cm: 42 (59.2%), Greater than 5 cm: 29 (40.8%) |
| Parameter | Value |
|---|---|
| AFP Before Sorafenib (Mean ± SD) Min–Max (Median) | 2151 ± 8632 (0.77–54,000) (100) |
| Child Score Before Sorafenib n (%) | A: 69 (94.5%), B: 4 (5.5%) |
| ECOG Before Sorafenib n (%) | 0: 24 (32.9%), 1: 45 (61.6%), 2: 4 (5.5%) |
| Number of Sorafenib Cycles (Mean ± SD) Min–Max (Median) | 8.6 ± 8.3 (1–38) (6) |
| Discontinuation of Sorafenib n (%) | Progression: 64 (86.5%), Toxicity: 5 (6.8%), Continuing: 5 (6.8%) |
| Best Response to Sorafenib n (%) | CR: 2 (2.8%), SD: 24 (33.8%), PR: 14 (19.7%), PD: 31 (43.7%) |
| Adverse Reactions n (%) | No: 16 (21.6%), Yes: 58 (78.4%) |
| Hand and Foot Syndrome n (%) | 31 (41.9%) |
| Hand and Foot Syndrome Grade n (%) | Grade 1: 15 (20.3%), Grade 2: 12 (16.2%), Grade 3: 2 (2.7%), Grade 4: 1 (1.4%) |
| Fatigue n (%) | 46 (62.2%) |
| Fatigue Grade n (%) | Grade 1: 16 (21.6%), Grade 2: 20 (24.0%), Grade 3: 10 (13.5%) |
| Hypertension n (%) | 18 (24.3%) |
| Hypertension Grade n (%) | Grade 1: 6 (8.1%), Grade 2: 12 (16.2%) |
| Diarrhea n (%) | 27 (36.5%) |
| Diarrhea Grade n (%) | Grade 1: 10 (13.5%), Grade 2: 11 (14.9%), Grade 3: 5 (6.8%) |
| Rash n (%) | 8 (10.8%) |
| Rash Grade n (%) | Grade 1: 3 (4.1%), Grade 2: 3 (4.1%), Grade 4: 2 (2.7%) |
| Parameter | Value |
|---|---|
| PFS Duration (Months) Median (SE)/95% CI | 5.6 (SE: 0.3)/5.4–6.6 |
| PFS (%) at 3 months | 67.8% (SE: 5.5%) |
| PFS (%) at 6 months | 39.9% (SE: 5.9%) |
| PFS (%) at 1 year | 24.3% (SE: 5.3%) |
| PFS (%) at 2 years | 12.2% (SE: 4.2%) |
| PFS (%) at 3 years | 3.0% (SE: 2.7%) |
| Parameter | Value |
|---|---|
| ECOG Before Regorafenib n (%) | 0: 7 (21.2%), 1: 20 (60.6%), 2: 6 (18.2%) |
| Child Score Before Regorafenib n (%) | A: 31 (93.9%), B: 2 (6.1%) |
| Number of Regorafenib Cycles (Mean ± SD) Min–Max (Median) | 7.6 ± 8.2 (2–36) (4) |
| Previous Treatment Lines Before Regorafenib n (%) | 1: 23 (71.9%), 2: 7 (21.9%), 3: 2 (6.3%) |
| Previous Treatments Before Regorafenib n (%) | Sorafenib: 27 (81.8%), TACE: 1 (3.0%) *, Sorafenib + TACE: 3 (9.1%) **, Sorafenib + TARE: 1 ** (3.0%), Sorafenib + TACE + TARE: 1 (3.0%) ** |
| Initial Dose n (%) | 80 mg: 10 (30.3%), 120 mg: 15 (45.5%), 160 mg: 8 (24.2%) |
| Dose Increase During Follow-up n (%) | No: 10 (30.3%), Yes: 23 (69.7%) |
| Maintenance Dose n (%) | 120 mg: 12 (36.4%), 160 mg: 21 (63.6%) |
| Dose Reduction n (%) | No: 24 (72.7%), Yes: 9 (27.3%) |
| Treatment Discontinued n (%) | No: 11 (33.3%), Yes: 22 (66.7%) |
| Reason for Discontinuation n (%) | Progression: 29 (87.9%), Toxicity: 2 (6.1%), Continuing: 2 (6.1%) |
| Progression Location n (%) | Liver: 10 (30.3%), Lung: 10 (30.3%), Bone: 9 (27.3%), Brain: 0 (0.0%), Abdomen: 12 (36.4%) |
| Best Response n (%) | PR: 17 (51.5%), PD: 16 (48.5%) |
| Marker Response n (%) | No: 18 (56.3%), Yes: 14 (43.8%) |
| Adverse Reactions n (%) | No: 6 (18.2%), Yes: 27 (81.8%) |
| Fatigue n (%) | 26 (78.8%) |
| Fatigue Grade n (%) | Grade 1: 8 (24.2%), Grade 2: 15 (45.5%), Grade 3: 3 (9.1%) |
| Hypertension n (%) | 11 (33.3%) |
| Hypertension Grade n (%) | Grade 1: 5 (15.2%), Grade 2: 5 (15.2%), Grade 3: 1 (3.0%) |
| Diarrhea n (%) | 10 (34.5%) |
| Diarrhea Grade n (%) | Grade 1: 6 (18.2%), Grade 2: 4 (12.1%) |
| Rash n (%) | 8 (24.2%) |
| Rash Grade n (%) | Grade 1: 4 (12.1%), Grade 2: 3 (9.1%), Grade 3: 1 (3.0%) |
| Parameter | Value |
|---|---|
| PFS Duration (Months) Median (SE)/95% CI | 5.9 (SE: 1.0)/4–8 |
| PFS (%) at 3 months | 62.6% (SE: 8.6%) |
| PFS (%) at 6 months | 38.2% (SE: 8.9%) |
| PFS (%) at 1 year | 27.8% (SE: 8.3%) |
| PFS (%) at 2 years | 17.4% (SE: 7.0%) |
| PFS (%) at 3 years | 3.5% (SE: 3.4%) |
| Parameter | Value |
|---|---|
| OS Duration (Months) Median (SE)/95% CI | 35.9 (SE: 6.8)/25.7–52.3 |
| OS (%) at 1 year | 93.2% (SE: 2.9%) |
| OS (%) at 3 years | 55.0% (SE: 5.8%) |
| OS (%) at 5 years | 36.0% (SE: 5.7%) |
| OS (%) at 10 years | 12.1% (SE: 4.4%) |
Disclaimer/Publisher’s Note: The statements, opinions and data contained in all publications are solely those of the individual author(s) and contributor(s) and not of MDPI and/or the editor(s). MDPI and/or the editor(s) disclaim responsibility for any injury to people or property resulting from any ideas, methods, instructions or products referred to in the content. |
© 2024 by the authors. Licensee MDPI, Basel, Switzerland. This article is an open access article distributed under the terms and conditions of the Creative Commons Attribution (CC BY) license (https://creativecommons.org/licenses/by/4.0/).
Share and Cite
Ozbay, M.F.; Harputluoglu, H.; Karaca, M.; Tekin, O.; Şendur, M.A.N.; Kaplan, M.A.; Sahin, B.; Geredeli, C.; Teker, F.; Tural, D.; et al. Sequential Use of Sorafenib and Regorafenib in Hepatocellular Cancer Recurrence After Liver Transplantation: Treatment Strategies and Outcomes. Cancers 2024, 16, 3880. https://doi.org/10.3390/cancers16223880
Ozbay MF, Harputluoglu H, Karaca M, Tekin O, Şendur MAN, Kaplan MA, Sahin B, Geredeli C, Teker F, Tural D, et al. Sequential Use of Sorafenib and Regorafenib in Hepatocellular Cancer Recurrence After Liver Transplantation: Treatment Strategies and Outcomes. Cancers. 2024; 16(22):3880. https://doi.org/10.3390/cancers16223880
Chicago/Turabian StyleOzbay, Mehmet Fatih, Hakan Harputluoglu, Mustafa Karaca, Omer Tekin, Mehmet Ali Nahit Şendur, Muhammed Ali Kaplan, Berksoy Sahin, Caglayan Geredeli, Fatih Teker, Deniz Tural, and et al. 2024. "Sequential Use of Sorafenib and Regorafenib in Hepatocellular Cancer Recurrence After Liver Transplantation: Treatment Strategies and Outcomes" Cancers 16, no. 22: 3880. https://doi.org/10.3390/cancers16223880
APA StyleOzbay, M. F., Harputluoglu, H., Karaca, M., Tekin, O., Şendur, M. A. N., Kaplan, M. A., Sahin, B., Geredeli, C., Teker, F., Tural, D., Saglam, S., Çil, T., Bilici, A., Erol, C., Kalkan, Z., Bayram, E., Selvi, O., Gültürk, İ., Göksu, S. S., & Tatlı, A. M. (2024). Sequential Use of Sorafenib and Regorafenib in Hepatocellular Cancer Recurrence After Liver Transplantation: Treatment Strategies and Outcomes. Cancers, 16(22), 3880. https://doi.org/10.3390/cancers16223880

