Prognostic Value of Separate Extramural Vascular Invasion Reporting in Operative Samples of Rectal Cancer: Single-Institutional Experience
Abstract
Simple Summary
Abstract
1. Introduction
2. Materials and Methods
2.1. Patient Characteristics
2.2. Tumor Characteristics
2.3. Follow-Up
2.4. Pathological Analysis
2.5. Statistical Analysis
3. Results
3.1. Patient Characteristics
3.2. Association of EMVI Status with Clinico-Pathological Parameters
3.3. Relapse of Disease and Death Outcome in RC Patients
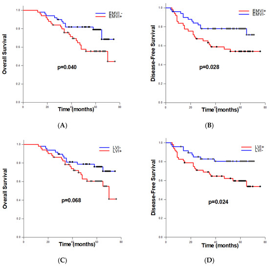
3.4. Overall and Disease-Free Survival of RC Patients
3.5. Comparison of Prognostic Significance of EMVI and LVI Status
3.6. Comparison of Prognostic Significance of EMVI and N Status
4. Discussion
5. Conclusions
Author Contributions
Funding
Institutional Review Board Statement
Informed Consent Statement
Data Availability Statement
Conflicts of Interest
References
- Spanos, C.P. Rectal cancer. In Colorectal Disorders and Diseases; Elsevier: Amsterdam, The Netherlands, 2023; pp. 127–134. ISBN 978-0-443-15648-9. [Google Scholar] [CrossRef]
- Sung, H.; Ferlay, J.; Siegel, R.L.; Laversanne, M.; Soerjomataram, I.; Jemal, A.; Bray, F. Global Cancer Statistics 2020: GLOBOCAN Estimates of Incidence and Mortality Worldwide for 36 Cancers in 185 Countries. CA Cancer J. Clin. 2021, 71, 209–249. [Google Scholar] [CrossRef] [PubMed]
- Ghadimi, M.; Rödel, C.; Hofheinz, R.; Flebbe, H.; Grade, M. Multimodal treatment of rectal cancer. Dtsch. Ärzteblatt Int. 2022, 119, 570. [Google Scholar] [CrossRef] [PubMed]
- Fujita, S.; Mizusawa, J.; Kanemitsu, Y.; Ito, M.; Kinugasa, Y.; Komori, K.; Ohue, M.; Ota, M.; Akazai, Y.; Shiozawa, M.; et al. Mesorectal Excision with or without Lateral Lymph Node Dissection for Clinical Stage II/III Lower Rectal Cancer (JCOG0212): A Multicenter, Randomized Controlled, Noninferiority Trial. Ann. Surg. 2017, 266, 201–207. [Google Scholar] [CrossRef] [PubMed]
- Hagerty, B.L.; Aversa, J.G.; Dominguez, D.A.; Davis, J.L.; Hernandez, J.M.; McCormick, J.T.; Blakely, A.M. Age Determines Adjuvant Chemotherapy Use in Resected Stage II Colon Cancer. Dis. Colon. Rectum 2022, 65, 1206–1214. [Google Scholar] [CrossRef] [PubMed]
- Chun, H.J.; Park, S.J.; Lim, Y.J.; Song, S.Y. Staging and Treatment. II-7. Overview of Treatment of Rectal Cancer. In Gastrointestinal Cancer; Springer Nature: Singapore, 2023; pp. 279–286. ISBN 978-981-9908-14-1. [Google Scholar] [CrossRef]
- Baxter, N.N.; Kennedy, E.B.; Bergsland, E.; Berlin, J.; George, T.J.; Gill, S.; Gold, P.J.; Hantel, A.; Jones, L.; Lieu, C.; et al. Adjuvant Therapy for Stage II Colon Cancer: ASCO Guideline Update. J. Clin. Oncol. 2022, 40, 892–910. [Google Scholar] [CrossRef]
- Bang, H.J.; Shim, H.J.; Hwang, J.E.; Bae, W.K.; Chung, I.J.; Cho, S.H. Benefits of Adjuvant Chemotherapy for Clinical T3-4N0 Rectal Cancer After Preoperative Chemoradiotherapy. Chonnam Med. J. 2023, 59, 76. [Google Scholar] [CrossRef]
- Lord, A.C.; Knijn, N.; Brown, G.; Nagtegaal, I.D. Pathways of spread in rectal cancer: A reappraisal of the true routes to distant metastatic disease. Eur. J. Cancer 2020, 128, 1–6. [Google Scholar] [CrossRef]
- Betge, J.; Pollheimer, M.J.; Lindtner, R.A.; Kornprat, P.; Schlemmer, A.; Rehak, P.; Vieth, M.; Hoefler, G.; Langner, C. Intramural and extramural vascular invasion in colorectal cancer: Prognostic significance and quality of pathology reporting. Cancer 2012, 118, 628–638. [Google Scholar] [CrossRef]
- Van Zijl, F.; Krupitza, G.; Mikulits, W. Initial steps of metastasis: Cell invasion and endothelial transmigration. Mutat. Res./Rev. Mutat. Res. 2011, 728, 23–34. [Google Scholar] [CrossRef]
- McClelland, D.; Murray, G.I. A Comprehensive Study of Extramural Venous Invasion in Colorectal Cancer. PLoS ONE 2015, 10, e0144987. [Google Scholar] [CrossRef]
- Pangarkar, S.Y.; Baheti, A.D.; Mistry, K.A.; Choudhari, A.J.; Patil, V.R.; Ahuja, A.; Katdare, A.N.; Patil, A.B.; Ostwal, V.S.; Ramadwar, M.R.; et al. Prognostic Significance of EMVI in Rectal Cancer in a Tertiary Cancer Hospital in India. Indian J. Radiol. Imaging 2021, 31, 560–565. [Google Scholar] [CrossRef] [PubMed]
- Siddiqui, M.R.S.; Simillis, C.; Hunter, C.; Chand, M.; Bhoday, J.; Garant, A.; Vuong, T.; Artho, G.; Rasheed, S.; Tekkis, P.; et al. A meta-analysis comparing the risk of metastases in patients with rectal cancer and MRI-detected extramural vascular invasion (mrEMVI) vs mrEMVI-negative cases. Br. J. Cancer 2017, 116, 1513–1519. [Google Scholar] [CrossRef] [PubMed]
- Smith, N.J.; Barbachano, Y.; Norman, A.R.; Swift, R.I.; Abulafi, A.M.; Brown, G. Prognostic significance of magnetic resonance imaging-detected extramural vascular invasion in rectal cancer. Br. J. Surg. 2008, 95, 229–236. [Google Scholar] [CrossRef] [PubMed]
- Hu, T.; Gong, J.; Sun, Y.; Li, M.; Cai, C.; Li, X.; Cui, Y.; Zhang, X.; Tong, T. Magnetic resonance imaging-based radiomics analysis for prediction of treatment response to neoadjuvant chemoradiotherapy and clinical outcome in patients with locally advanced rectal cancer: A large multicentric and validated study. MedComm 2024, 5, e609. [Google Scholar] [CrossRef]
- Cai, L.; Lambregts, D.M.J.; Beets, G.L.; Mass, M.; Pooch, E.H.P.; Guérendel, C.; Beets-Tan, R.G.H.; Benson, S. An automated deep learning pipeline for EMVI classification and response prediction of rectal cancer using baseline MRI: A multi-centre study. Npj Precis. Onc. 2024, 8, 17. [Google Scholar] [CrossRef]
- Geffen, E.G.M.V.; Nederend, J.; Sluckin, T.C.; Hazen, S.-M.J.A.; Horsthuis, K.; Beets-Tan, R.G.H.; Marijnen, C.A.M.; Tanis, P.J.; Kusters, M.; Aalbers, A.G.J.; et al. Prognostic significance of MRI-detected extramural venous invasion according to grade and response to neo-adjuvant treatment in locally advanced rectal cancer A national cohort study after radiologic training and reassessment. Eur. J. Surg. Oncol. 2024, 50, 108307. [Google Scholar] [CrossRef]
- Protocol for the Examination of Resection Specimens from Patients with Primary Carcinoma of the Colon and Rectum. 2024. Available online: https://documents.cap.org/protocols/ColoRectal_4.3.0.0.REL_CAPCP.pdf (accessed on 16 October 2024).
- Washington, M.K.; Berlin, J.; Branton, P.; Burgart, L.J.; Carter, D.K.; Fitzgibbons, P.L.; Halling, K.; Frankel, W.; Jessup, J.; Kakar, S.; et al. Protocol for the Examination of Specimens from Patients with Primary Carcinoma of the Colon and Rectum. Arch. Pathol. Lab. Med. 2009, 133, 1539–1551. [Google Scholar] [CrossRef]
- Shin, Y.-M.; Pyo, J.-S.; Park, M.J. The Impact of Extramural Venous Invasion in Colorectal Cancer: A Detailed Analysis Based on Tumor Location and Evaluation Methods. Int. J. Surg. Pathol. 2020, 28, 120–127. [Google Scholar] [CrossRef]
- Leijssen, L.G.J.; Dinaux, A.M.; Amri, R.; Taylor, M.S.; Deshpande, V.; Bordeianou, L.G.; Kunitake, H.; Berger, D.L. Impact of intramural and extramural vascular invasion on stage II-III colon cancer outcomes. J. Surg. Oncol. 2019, 119, 749–757. [Google Scholar] [CrossRef]
- Ale Ali, H.; Kirsch, R.; Razaz, S.; Jhaveri, A.; Thipphavong, S.; Kennedy, E.D.; Jhaveri, K.S. Extramural venous invasion in rectal cancer: Overview of imaging, histopathology, and clinical implications. Abdom. Radiol. 2019, 44, 1–10. [Google Scholar] [CrossRef]
- Mc Entee, P.D.; Shokuhi, P.; Rogers, A.C.; Mehigan, B.J.; McCormick, P.H.; Gillham, C.M.; Kennedy, M.J.; Gallagher, D.J.; Ryan, C.E.; Muldoon, C.B.; et al. Extramural venous invasion (EMVI) in colorectal cancer is associated with increased cancer recurrence and cancer-related death. Eur. J. Surg. Oncol. 2022, 48, 1638–1642. [Google Scholar] [CrossRef] [PubMed]
- Piercey, O.; Wong, H.-L.; Leung, C.; To, Y.H.; Heong, V.; Lee, M.; Tie, J.; Steel, M.; Yeung, J.M.; McCormick, J.; et al. Adjuvant Chemotherapy for Older Patients with Stage III Colorectal Cancer: A Real-World Analysis of Treatment Recommendations, Treatment Administered and Impact on Cancer Recurrence. Clin. Color. Cancer 2024, 23, 95–103.e3. [Google Scholar] [CrossRef]
- Shahireen, S.; Eka, V.; Rachamsetty, K.; Duraiswamy, D.; Reddy L., R.C. An expatiate review on adjuvant chemotherapy of colorectal cancer. Fut. J. Pharm. H. Sci. 2024, 4, 80–88. [Google Scholar] [CrossRef]
- Chand, M.; Evans, J.; Swift, R.I.; Tekkis, P.P.; West, N.P.; Stamp, G.; Heald, R.J.; Brown, G. The prognostic significance of postchemoradiotherapy high-resolution MRI and histopathology detected extramural venous invasion in rectal cancer. Ann. Surg. 2015, 261, 473–479. [Google Scholar] [CrossRef] [PubMed]
- Chand, M.; Bhangu, A.; Wotherspoon, A.; Stamp, G.W.H.; Swift, R.I.; Chau, I.; Tekkis, P.P.; Brown, G. EMVI-positive stage II rectal cancer has similar clinical outcomes as stage III disease following pre-operative chemoradiotherapy. Ann. Oncol. 2014, 25, 858–863. [Google Scholar] [CrossRef] [PubMed]
- Van Wyk, H.C.; Roxburgh, C.S.; Horgan, P.G.; Foulis, A.F.; McMillan, D.C. The detection and role of lymphatic and blood vessel invasion in predicting survival in patients with node negative operable primary colorectal cancer. Crit. Rev. Oncol./Hematol. 2014, 90, 77–90. [Google Scholar] [CrossRef]
- Maguire, A. Controversies in the pathological assessment of colorectal cancer. World J. Gastroenterol. WJG 2014, 20, 9850. [Google Scholar] [CrossRef]
- Langner, C.; Schneider, N. Prognostic stratification of colorectal cancer patients: Current perspectives. Cancer Manag. Res. 2014, 6, 291–300. [Google Scholar] [CrossRef]
- Lord, A.; D’Souza, N.; Shaw, A.; Day, N.; Brown, G. The Current Status of Nodal Staging in Rectal Cancer. Curr. Color. Cancer Rep. 2019, 15, 143–148. [Google Scholar] [CrossRef]
- Schirripa, M.; Cohen, S.A.; Battaglin, F.; Lenz, H.-J. Biomarker-driven and molecular targeted therapies for colorectal cancers. Semin. Oncol. 2018, 45, 124–132. [Google Scholar] [CrossRef]
- Missiaglia, E.; Jacobs, B.; D’Ario, G.; Di Narzo, A.F.; Soneson, C.; Budinska, E.; Popovici, V.; Vecchione, L.; Gerster, S.; Yan, P.; et al. Distal and proximal colon cancers differ in terms of molecular, pathological, and clinical features. Ann. Oncol. 2014, 25, 1995–2001. [Google Scholar] [CrossRef] [PubMed]
- Tan, J.J.; Carten, R.V.; Babiker, A.; Abulafi, M.; Lord, A.C.; Brown, G. Prognostic Importance of MRI-Detected Extramural Venous Invasion in Rectal Cancer: A Literature Review and Systematic Meta-Analysis. Int. J. Radiat. Oncol.*Biol.*Phys. 2021, 111, 385–394. [Google Scholar] [CrossRef] [PubMed]
- Inoue, A.; Sheedy, S.P.; Heiken, J.P.; Mohammadinejad, P.; Graham, R.P.; Lee, H.E.; Kelley, S.R.; Hansel, S.L.; Bruining, D.H.; Fidler, J.L.; et al. MRI-detected extramural venous invasion of rectal cancer: Multimodality performance and implications at baseline imaging and after neoadjuvant therapy. Insights Imaging 2021, 12, 110. [Google Scholar] [CrossRef] [PubMed]



| Parameters | EMVI Status | p * | |
|---|---|---|---|
| EMVI+ N (%) | EMVI− N (%) | ||
| Age (years) | 63.24 ± 9.87 | 65.94 ± 9.148 | 0.159 | 
| Gender | |||
| Male | 26/62 (41.9) | 36/62 (58.1) | 0.039 | 
| Female | 24/38 (63.2) | 14/38 (36.8) | |
| Preoperative T-stage | |||
| T1/T2 | 22/52 (42.3) | 30/52 (57.7) | 0.109 | 
| T3 | 28/48 (58.3) | 20/48 (41.7) | |
| Preoperative N-stage | |||
| N0 | 46/94 (48.9) | 48/94 (51.1) | 0.678 | 
| N1 | 4/6 (66.7) | 2/6 (33.3) | |
| Localization | |||
| 0–5 cm | 10/23 (43.5) | 13/23 (56.5) | 0.775 | 
| 5–10 cm | 15/29 (51.7) | 14/29 (48.3) | |
| 10–15 cm | 25/48 (52.1) | 23/48 (47.9) | |
| Sphincter-preserving surgery | |||
| Yes | 46/92 (50) | 46/92 (50) | 1.000 | 
| No | 4/8 (50) | 4/8 (50) | |
| Pathological T-stage | |||
| T1/T2 | 3/24 (12.5) | 21/24 (87.5) | <0.001 | 
| T3/T4 | 47/76 (61.8) | 29/76 (38.2) | |
| Pathological N-stage | |||
| N0 | 14/58 (24.1) | 44/58 (75.9) | <0.001 | 
| N1/N2 | 36/42 (85.7) | 6/42 (14.3) | |
| PLN | |||
| ≤3 | 29/79 (36.7) | 50/79 (63.3) | <0.001 | 
| ˃3 | 21/21 (100) | 0/21 (0) | |
| LNR | |||
| LNR1 (0–0.19) | 30/79 (38.0) | 49/79 (62.0) | <0.001 | 
| LNR2 (0.20–0.39) | 9/10 (90) | 1/10 (10) | |
| LNR3 (˃0.40) | 11/11 (100) | 0/11 (0) | |
| TNM stage | |||
| I/II | 11/55 (20) | 44/55 (80) | <0.001 | 
| III/IV | 39/45 (86.7) | 6/45 (13.3) | |
| Gradus | |||
| G1 | 4/7 (57.1) | 3/7 (42.9) | 0.189 | 
| G2 | 36/79 (45.6) | 43/79 (54.4) | |
| G3 | 10/14 (71.4) | 4/14 (28.6) | |
| Mucosal component of the tumor | |||
| Yes | 45/92 (48.9) | 47/92 (51.1) | 0.715 | 
| No | 5/8 (62.5) | 3/8 (37.5) | |
| TIL | |||
| Scarce | 24/45 (53.3) | 21/45 (46.7) | 0.044 | 
| Moderate | 6/22 (27.3) | 16/22 (72.7) | |
| Abundant | 20/33 (60.6) | 13/33 (39.4) | |
| LVI | |||
| Positive | 45/52 (86.5) | 7/52 (13.5) | <0.001 | 
| Negative | 5/48 (10.4) | 43/48 (89.6) | |
| PNI | |||
| Positive | 15/18 (83.3) | 3/18 (16.7) | 0.002 | 
| Negative | 35/82 (42.7) | 47/82 (57.3) | |
| CRM | |||
| Positive | 9/9 (100) | 0/9 (0) | 0.003 | 
| Negative | 41/91 (45.1) | 50/91 (54.9) | |
| Adjuvant treatment | |||
| Yes | 43/61 (70.5) | 18/61 (29.5) | <0.001 | 
| No | 7/39 (17.9) | 32/39 (82.1) | |
| Parameters | Death Outcome | p * | Relapse of Disease | p * | ||
|---|---|---|---|---|---|---|
| YES n (%) | NO n (%) | YES n (%) | NO n (%) | |||
| Age (years) | 64.00 ± 10.86 | 64.89 ± 8.89 | 0.660 | 61.30 ± 9.30 | 66.0 ± 9.39 | 0.024 | 
| Gender | ||||||
| Male | 22/62 (35.5) | 40/62 (64.5) | 0.689 | 18/62 (29) | 44/62 (71) | 0.787 | 
| Female | 12/38 (31.6) | 26/38 (68.4) | 12/38 (31.6) | 26/38 (68.4) | ||
| Preoperative T-stage | ||||||
| T1/T2 | 16/52 (30.8) | 36/52 (69.2) | 0.478 | 12/52 (23.1) | 40/52 (76.9) | 0.116 | 
| T3 | 18/48 (37.5) | 30/48 (62.5) | 18/48 (37.5) | 30/48 (62.5) | ||
| Preoperative N-stage | ||||||
| N0 | 28/94 (29.8) | 66/94 (70.2) | 0.001 | 24/94 (25.5) | 70/94 (74.5) | <0.001 | 
| N1 | 6/6 (100) | 0/6 (0) | 6/6 (100) | 0/6 (0) | ||
| Localization | ||||||
| 0–5 cm | 10/23 (43.5) | 13/23 (56.5) | 0.491 | 8/23 (34.8) | 15/23 (65.2) | 0.577 | 
| 5–10 cm | 10/29 (34.5) | 19/29 (65.5) | 10/29 (34.5) | 19/29 (65.5) | ||
| 10–15 cm | 14/48 (29.2) | 34/48 (70.8) | 12/48 (25) | 36/48 (75) | ||
| Sphincter-preserving surgery | ||||||
| Yes | 31/92 (33.7) | 61/92 (66.3) | 1.000 | 27/92 (29.3) | 65/92 (70.7) | 0.694 | 
| No | 3/8 (37.5) | 5/8 (62.5) | 3/8 (37.5) | 5/8 (62.5) | ||
| Adjuvant treatment | ||||||
| Yes | 26/61 (42.6) | 35/61 (57.4) | 0.023 | 26/61 (42.6) | 35/61 (57.4) | <0.001 | 
| No | 8/39 (20.5) | 31/39 (79.5) | 4/39 (10.3) | 35/39 (89.7) | ||
| Parameters | Death Outcome | p * | Relapse of Disease | p * | ||
|---|---|---|---|---|---|---|
| YES n (%) | NO n (%) | YES n (%) | NO n (%) | |||
| Pathological T-stage | ||||||
| T1/T2 | 4/24 (16.7) | 20/24 (83.3) | 0.040 | 3/24 (12.5) | 21/24 (87.5) | 0.032 | 
| T3/T4 | 30/76 (39.5) | 46/76 (60.5) | 27/76 (35.5) | 49/76 (64.5) | ||
| Pathological N-stage | ||||||
| N0 | 15/58 (25.9) | 43/58 (74.1) | 0.044 | 13/58 (22.4) | 45/58 (77.6) | 0.052 | 
| N1/N2 | 19/42 (45.2) | 23/42 (54.8) | 17/42 (40.5) | 25/52 (48.1) | ||
| PLN | ||||||
| ≤3 | 20/79 (25.3) | 59/79 (74.7) | 0.004 | 18/79 (22.8) | 61/79 (77.2) | 0.020 | 
| ˃3 | 14/21 (66.7) | 7/21 (33.3) | 12/21 (57.1) | 9/21 (42.9) | ||
| LNR | ||||||
| LNR1 (0–0.19) | 20/79 (25.3) | 59/79 (74.7) | <0.001 | 18/79 (22.8) | 61/79 (77.2) | 0.002 | 
| LNR2 (0.20–0.39) | 5/10 (50) | 5/10 (50) | 4/10 (40) | 6/10 (60) | ||
| LNR3 (˃0.40) | 9/11 (81.8) | 2/11 (18.2) | 8/11 (72.7) | 3/11 (27.3) | ||
| TNM stage | ||||||
| I/II | 13/55 (23.6) | 42/55 (76.4) | 0.016 | 11/55 (20) | 44/55 (80) | 0.016 | 
| III/IV | 21/45 (46.7) | 24/45 (53.3) | 19/45 (42.2) | 26/45 (57.8) | ||
| Grade | ||||||
| G1 | 2/7 (28.6) | 5/7 (71.4) | 0.143 | 2/7 (28.6) | 5/7 (71.4) | 0.057 | 
| G2 | 24/79 (30.4) | 55/79 (69.6) | 20/79 (25.3) | 59/79 (74.7) | ||
| G3 | 8/14 (57.1) | 6/14 (42.9) | 8/14 (57.1) | 6/14 (42.9) | ||
| Mucosal component of the tumor | ||||||
| Yes | 4/8 (50) | 4/8 (50) | 0.439 | 3/8 (37.5) | 5/8 (62.5) | 0.694 | 
| No | 30/92 (32.6) | 62/92 (67.4) | 27/92 (29.3) | 65/92 (70.7) | ||
| TIL | ||||||
| Scarce | 18/45 (40) | 27/45 (60) | 0.373 | 15/45 (33.3) | 30/45 (66.7) | 0.391 | 
| Moderate | 5/22 (22.7) | 17/22 (77.3) | 4/22 (18.2) | 18/22 (81.8) | ||
| Abundant | 11/33 (33.3) | 22/33 (66.7) | 11/33 (33.3) | 22/33 (66.7) | ||
| LVI | ||||||
| Positive | 22/52 (42.3) | 30/52 (57.7) | 0.068 | 21/52 (40.4) | 31/52 (59.6) | 0.018 | 
| Negative | 12/48 (25) | 36/48 (75) | 9/48 (18.7) | 39/48 (81.3) | ||
| EMVI | ||||||
| Positive | 22/50 (44) | 28/50 (56) | 0.035 | 20/50 (40) | 30/50 (60) | 0.029 | 
| Negative | 12/50 (24) | 38/50 (76) | 10/50 (20) | 40/50 (80) | ||
| PNI | ||||||
| Positive | 10/18 (55.6) | 8/18 (44.4) | 0.033 | 7/18 (38.9) | 11/18 (61.1) | 0.363 | 
| Negative | 24/82 (29.3) | 58/82 (70.7) | 23/82 (28) | 59/82 (72) | ||
| CRM | ||||||
| Positive | 6/9 (66.7) | 3/9 (33.3) | 0.059 | 5/9 (55.6) | 4/9 (44.4) | 0.123 | 
| Negative | 28/91 (30.8) | 63/91 (69.2) | 25/91 (27.5) | 66/91 (72.5) | ||
| Parameters | Univariate | p | Multivariate | p | ||
|---|---|---|---|---|---|---|
| HR | 95% CI | HR | 95% CI | |||
| N1 preoperative stage | 3.880 | 1.592–9.455 | 0.003 | 2.854 | 0.800–10.180 | 0.106 | 
| T0 pathological stage | 0.389 | 0.137–1.108 | 0.077 | / | / | / | 
| N1 pathological stage | 1.898 | 0.963–3.737 | 0.064 | / | / | / | 
| PLN (n ˃ 3) | 3.756 | 1.875–7.526 | <0.001 | 1.327 | 0.290–6.063 | 0.715 | 
| LNR2 | 2.845 | 1.062–7.626 | 0.038 | 2.442 | 0.576–10.350 | 0.226 | 
| LNR3 | 4.691 | 2.096–10.500 | <0.001 | 2.190 | 0.426–11.270 | 0.348 | 
| TNM III/IV | 2.230 | 1.116–4.455 | 0.023 | 0.622 | 0.169–2.279 | 0.474 | 
| LVI positive | 1.914 | 0.946–3.871 | 0.071 | / | / | / | 
| EMVI positive | 2.053 | 1.015–4.152 | 0.045 | 1.127 | 0.410–3.095 | 0.817 | 
| PNI positive | 1.988 | 0.948–4.160 | 0.068 | / | / | / | 
| CRM positive | 2.654 | 1.096–6.427 | 0.030 | 2.271 | 0.748–6.899 | 0.148 | 
| Adjuvant treatment | 2.212 | 1.001–4.888 | 0.050 | 1.416 | 0.460–4.395 | 0.544 | 
| Parameters | Univariate | p | Multivariate | p | ||
|---|---|---|---|---|---|---|
| HR | 95% CI | HR | 95% CI | |||
| N1 preoperative stage | 6.009 | 2.402–15.030 | <0.001 | 4.632 | 1.255–17.100 | 0.021 | 
| T0 pathological stage | 0.372 | 0.131–1.057 | 0.064 | / | / | / | 
| N1 pathological stage | 2.026 | 1.028–3.993 | 0.041 | 0.275 | 0.045–1.680 | 0.163 | 
| PLN (n ˃ 3) | 3.673 | 1.848–7.301 | <0.001 | 1.568 | 0.330–6.760 | 0.572 | 
| LNR2 | 2.509 | 0.941–6.694 | 0.066 | / | / | / | 
| LNR3 | 4.910 | 2.207–10.920 | <0.001 | 1.915 | 0.369–9.926 | 0.575 | 
| TNM III/IV | 2.325 | 1.162–4.649 | 0.017 | 2.047 | 0.259–16.170 | 0.497 | 
| LVI positive | 1.881 | 0.930–3.802 | 0.079 | / | / | / | 
| EMVI positive | 2.106 | 1.042–4.257 | 0.038 | 0.995 | 0.329–3.003 | 0.993 | 
| PNI positive | 2.012 | 0.962–4.207 | 0.063 | / | / | / | 
| CRM positive | 3.069 | 1.267–7.434 | 0.013 | 3.331 | 1.059–10.480 | 0.040 | 
| Adjuvant treatment | 2.294 | 1.038–5.070 | 0.040 | 1.483 | 0.483–1.687 | 0.491 | 
| Disclaimer/Publisher’s Note: The statements, opinions and data contained in all publications are solely those of the individual author(s) and contributor(s) and not of MDPI and/or the editor(s). MDPI and/or the editor(s) disclaim responsibility for any injury to people or property resulting from any ideas, methods, instructions or products referred to in the content. | 
© 2024 by the authors. Licensee MDPI, Basel, Switzerland. This article is an open access article distributed under the terms and conditions of the Creative Commons Attribution (CC BY) license (https://creativecommons.org/licenses/by/4.0/).
Share and Cite
Djuric, M.; Kožik, B.; Vasiljevic, T.; Djermanovic, A.; Stanulovic, N.; Djuric, M. Prognostic Value of Separate Extramural Vascular Invasion Reporting in Operative Samples of Rectal Cancer: Single-Institutional Experience. Cancers 2024, 16, 3579. https://doi.org/10.3390/cancers16213579
Djuric M, Kožik B, Vasiljevic T, Djermanovic A, Stanulovic N, Djuric M. Prognostic Value of Separate Extramural Vascular Invasion Reporting in Operative Samples of Rectal Cancer: Single-Institutional Experience. Cancers. 2024; 16(21):3579. https://doi.org/10.3390/cancers16213579
Chicago/Turabian StyleDjuric, Mladen, Bojana Kožik, Tijana Vasiljevic, Aleksandar Djermanovic, Nevena Stanulovic, and Marina Djuric. 2024. "Prognostic Value of Separate Extramural Vascular Invasion Reporting in Operative Samples of Rectal Cancer: Single-Institutional Experience" Cancers 16, no. 21: 3579. https://doi.org/10.3390/cancers16213579
APA StyleDjuric, M., Kožik, B., Vasiljevic, T., Djermanovic, A., Stanulovic, N., & Djuric, M. (2024). Prognostic Value of Separate Extramural Vascular Invasion Reporting in Operative Samples of Rectal Cancer: Single-Institutional Experience. Cancers, 16(21), 3579. https://doi.org/10.3390/cancers16213579
 
         
                                                

 
       