The Clinical Utility of the NETest in Patients with Small Intestinal Neuroendocrine Neoplasms (Si-NENs): A “Real-Life” Study
Abstract
Simple Summary
Abstract
1. Introduction
2. Materials and Methods
2.1. Patients
2.2. NETest Measurement
2.3. Calculation of TGR
TG = (3 × ln[D2/D1])/time (months)
2.4. Statistics
3. Results
3.1. Group 1
3.1.1. Patient and Tumour Characteristics
3.1.2. NETest Levels and Follow-Up Assessment
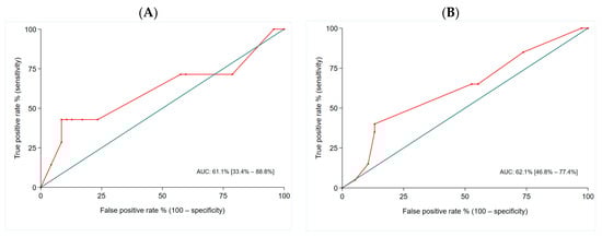
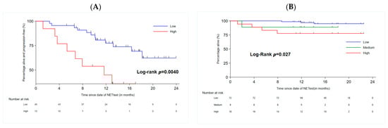
3.1.3. Prognostic Relevance of NETest
3.2. Group 2
3.2.1. Patient and Tumour Characteristics
3.2.2. NETest Levels and Follow-Up Assessment
3.2.3. Prognostic Relevance of NETest
4. Discussion
5. Conclusions
Author Contributions
Funding
Institutional Review Board Statement
Informed Consent Statement
Data Availability Statement
Acknowledgments
Conflicts of Interest
References
- Huguet, I.; Grossman, A.B.; O’Toole, D. Changes in the Epidemiology of Neuroendocrine Tumours. Neuroendocrinology 2017, 104, 105–111. [Google Scholar] [CrossRef] [PubMed]
- Yao, J.C.; Hassan, M.; Phan, A.; Dagohoy, C.; Leary, C.; Mares, J.E.; Abdalla, E.K.; Fleming, J.B.; Vauthey, J.-N.; Rashid, A.; et al. One Hundred Years After “Carcinoid”: Epidemiology of and Prognostic Factors for Neuroendocrine Tumors in 35,825 Cases in the United States. J. Clin. Oncol. 2008, 26, 3063–3072. [Google Scholar] [CrossRef] [PubMed]
- Cheung, V.T.F.; Khan, M.S. A Guide to Midgut Neuroendocrine Tumours (NETs) and Carcinoid Syndrome. Frontline Gastroenterol. 2015, 6, 264–269. [Google Scholar] [CrossRef] [PubMed]
- Niederle, B.; Pape, U.-F.; Costa, F.; Gross, D.; Kelestimur, F.; Knigge, U.; Öberg, K.; Pavel, M.; Perren, A.; Toumpanakis, C.; et al. ENETS Consensus Guidelines Update for Neuroendocrine Neoplasms of the Jejunum and Ileum. Neuroendocrinology 2016, 103, 125–138. [Google Scholar] [CrossRef] [PubMed]
- Pavel, M.; O’Toole, D.; Costa, F.; Capdevila, J.; Gross, D.; Kianmanesh, R.; Krenning, E.; Knigge, U.; Salazar, R.; Pape, U.-F.; et al. ENETS Consensus Guidelines Update for the Management of Distant Metastatic Disease of Intestinal, Pancreatic, Bronchial Neuroendocrine Neoplasms (NEN) and NEN of Unknown Primary Site. Neuroendocrinology 2016, 103, 172–185. [Google Scholar] [CrossRef] [PubMed]
- Calomino, N.; Poto, G.E.; Carbone, L.; Bagnacci, G.; Piccion, S.; Andreucci, E.; Nenci, L.; Marano, L.; Verre, L.; Petrioli, R.; et al. Neuroendocrine tumors’ patients treated with somatostatin analogue could complicate with emergency cholecystectomy. Ann. Ital. Chir. 2023, 94, 518–522. [Google Scholar] [PubMed]
- Toumpanakis, C.; Kim, M.K.; Rinke, A.; Bergestuen, D.S.; Thirlwell, C.; Khan, M.S.; Salazar, R.; Oberg, K. Combination of Cross-Sectional and Molecular Imaging Studies in the Localization of Gastroenteropancreatic Neuroendocrine Tumors. Neuroendocrinology 2014, 99, 63–74. [Google Scholar] [CrossRef] [PubMed]
- Eisenhauer, E.A.; Therasse, P.; Bogaerts, J.; Schwartz, L.H.; Sargent, D.; Ford, R.; Dancey, J.; Arbuck, S.; Gwyther, S.; Mooney, M.; et al. New Response Evaluation Criteria in Solid Tumours: Revised RECIST Guideline (Version 1.1). Eur. J. Cancer 2009, 45, 228–247. [Google Scholar] [CrossRef] [PubMed]
- Neperud, J.; Mahvash, A.; Garg, N.; Murthy, R.; Szklaruk, J. Can Imaging Patterns of Neuroendocrine Hepatic Metastases Predict Response Yttruim-90 Radioembolotherapy? World J. Radiol. 2013, 5, 241–247. [Google Scholar] [CrossRef]
- Oberg, K.; Couvelard, A.; Delle Fave, G.; Gross, D.; Grossman, A.; Jensen, R.T.; Pape, U.-F.; Perren, A.; Rindi, G.; Ruszniewski, P.; et al. ENETS Consensus Guidelines for the Standards of Care in Neuroendocrine Tumors: Biochemical Markers. Neuroendocrinology 2017, 105, 201–211. [Google Scholar] [CrossRef]
- Oberg, K.; Modlin, I.M.; De Herder, W.; Pavel, M.; Klimstra, D.; Frilling, A.; Metz, D.C.; Heaney, A.; Kwekkeboom, D.; Strosberg, J.; et al. Consensus on Biomarkers for Neuroendocrine Tumour Disease. Lancet Oncol. 2015, 16, e435–e446. [Google Scholar] [CrossRef]
- Kidd, M.; Drozdov, I.; Modlin, I. Blood and Tissue Neuroendocrine Tumor Gene Cluster Analysis Correlate, Define Hallmarks and Predict Disease Status. Endocr. Relat. Cancer 2015, 22, 561–575. [Google Scholar] [CrossRef]
- Öberg, K.; Califano, A.; Strosberg, J.R.; Ma, S.; Pape, U.; Bodei, L.; Kaltsas, G.; Toumpanakis, C.; Goldenring, J.R.; Frilling, A.; et al. A Meta-Analysis of the Accuracy of a Neuroendocrine Tumor MRNA Genomic Biomarker (NETest) in Blood. Ann. Oncol. 2020, 31, 202–212. [Google Scholar] [CrossRef]
- Modlin, I.M.; Frilling, A.; Salem, R.R.; Alaimo, D.; Drymousis, P.; Wasan, H.S.; Callahan, S.; Faiz, O.; Weng, L.; Teixeira, N.; et al. Blood Measurement of Neuroendocrine Gene Transcripts Defines the Effectiveness of Operative Resection and Ablation Strategies. Surgery 2016, 159, 336–347. [Google Scholar] [CrossRef] [PubMed]
- Laskaratos, F.-M.; Liu, M.; Malczewska, A.; Ogunbiyi, O.; Watkins, J.; Luong, T.V.; Mandair, D.; Caplin, M.; Toumpanakis, C. Evaluation of Circulating Transcript Analysis (NETest) in Small Intestinal Neuroendocrine Neoplasms after Surgical Resection. Endocrine 2020, 69, 430–440. [Google Scholar] [CrossRef]
- Bodei, L.; Kidd, M.S.; Singh, A.; van der Zwan, W.A.; Severi, S.; Drozdov, I.A.; Malczewska, A.; Baum, R.P.; Kwekkeboom, D.J.; Paganelli, G.; et al. PRRT Neuroendocrine Tumor Response Monitored Using Circulating Transcript Analysis: The NETest. Eur. J. Nucl. Med. Mol. Imaging 2020, 47, 895–906. [Google Scholar] [CrossRef]
- Ćwikła, J.B.; Bodei, L.; Kolasinska-Ćwikła, A.; Sankowski, A.; Modlin, I.M.; Kidd, M. Circulating Transcript Analysis (NETest) in GEP-NETs Treated with Somatostatin Analogs Defines Therapy. J. Clin. Endocrinol. Metab. 2015, 100, E1437–E1445. [Google Scholar] [CrossRef] [PubMed]
- Bodei, L.; Kidd, M.; Modlin, I.M.; Severi, S.; Drozdov, I.; Nicolini, S.; Kwekkeboom, D.J.; Krenning, E.P.; Baum, R.P.; Paganelli, G. Measurement of Circulating Transcripts and Gene Cluster Analysis Predicts and Defines Therapeutic Efficacy of Peptide Receptor Radionuclide Therapy (PRRT) in Neuroendocrine Tumors. Eur. J. Nucl. Med. Mol. Imaging 2016, 43, 839–851. [Google Scholar] [CrossRef]
- Modlin, I.M.; Kidd, M.; Malczewska, A.; Drozdov, I.; Bodei, L.; Matar, S.; Chung, K.-M. The NETest: The Clinical Utility of Multigene Blood Analysis in the Diagnosis and Management of Neuroendocrine Tumors. Endocrinol. Metab. Clin. North Am. 2018, 47, 485–504. [Google Scholar] [CrossRef]
- Modlin, I.M.; Kidd, M.; Falconi, M.; Filosso, P.L.; Frilling, A.; Malczewska, A.; Toumpanakis, C.; Valk, G.; Pacak, K.; Bodei, L.; et al. A Multigenomic Liquid Biopsy Biomarker for Neuroendocrine Tumor Disease Outperforms CgA and Has Surgical and Clinical Utility. Ann. Oncol. 2021, 32, 1425–1433. [Google Scholar] [CrossRef]
- Pavel, M.; Jann, H.; Prasad, V.; Drozdov, I.; Modlin, I.M.; Kidd, M. NET Blood Transcript Analysis Defines the Crossing of the Clinical Rubicon: When Stable Disease Becomes Progressive. Neuroendocrinology 2017, 104, 170–182. [Google Scholar] [CrossRef] [PubMed]
- WHO Classification of Tumours Editorial Board. WHO Classification of Tumours of the Digestive System, 5th ed.; International Agency for Research on Cancer: Lyon, France, 2019. [Google Scholar]
- van Treijen, M.J.C.; Korse, C.M.; van Leeuwaarde, R.S.; Saveur, L.J.; Vriens, M.R.; Verbeek, W.H.M.; Tesselaar, M.E.T.; Valk, G.D. Blood Transcript Profiling for the Detection of Neuroendocrine Tumors: Results of a Large Independent Validation Study. Front. Endocrinol. 2018, 9, 740. [Google Scholar] [CrossRef]
- Ferté, C.; Fernandez, M.; Hollebecque, A.; Koscielny, S.; Levy, A.; Massard, C.; Balheda, R.; Bot, B.; Gomez-Roca, C.; Dromain, C.; et al. Tumor Growth Rate Is an Early Indicator of Antitumor Drug Activity in Phase I Clinical Trials. Clin. Cancer Res. 2014, 20, 246–252. [Google Scholar] [CrossRef] [PubMed]
- Brierley, J.; Gospodarowicz, M.; Wittekind, C. TNM Classification of Malignant Tumours, 8th ed.; Wiley Blackwell/John Wiley & Sons, Inc.: Chichester, UK, 2017. [Google Scholar]
- Marotta, V.; Zatelli, M.C.; Sciammarella, C.; Ambrosio, M.R.; Bondanelli, M.; Colao, A.; Faggiano, A. Chromogranin A as Circulating Marker for Diagnosis and Management of Neuroendocrine Neoplasms: More Flaws than Fame. Endocr. Relat. Cancer 2018, 25, R11–R29. [Google Scholar] [CrossRef] [PubMed]
- Modlin, I.M.; Kidd, M.; Frilling, A.; Falconi, M.; Filosso, P.L.; Malczewska, A.; Kitz, A. Molecular Genomic Assessment Using a Blood-Based MRNA Signature (NETest) Is Cost-Effective and Predicts Neuroendocrine Tumor Recurrence with 94% Accuracy. Ann. Surg. 2021, 274, 481–490. [Google Scholar] [CrossRef]
- Genç, C.G.; Jilesen, A.P.J.; Nieveen van Dijkum, E.J.M.; Klümpen, H.; van Eijck, C.H.J.; Drozdov, I.; Malczewska, A.; Kidd, M.; Modlin, I. Measurement of Circulating Transcript Levels (NETest) to Detect Disease Recurrence and Improve Follow-up after Curative Surgical Resection of Well-differentiated Pancreatic Neuroendocrine Tumors. J. Surg. Oncol. 2018, 118, 37–48. [Google Scholar] [CrossRef]



| Characteristics | Group 1 | Group 2 |
|---|---|---|
| Number (n = 102) | Number (n = 16) | |
| Age | 65.3 ± 10.2 | 59.3 ± 12.3 |
| Gender | ||
| Female | 50 (49%) | 7 (44%) |
| Male | 52 (51%) | 9 (56%) |
| Grade | ||
| G1 | 59 (58%) | 11 (69%) |
| G2 | 36 (35%) | 5 (31%) |
| G3 | 0 (0%) | 0 (0%) |
| Not available | 7 (7%) | 0 (0%) |
| Metastatic burden | N/A | |
| Liver metastases | 83 (81%) | |
| Lung metastases | 13 (13%) | |
| Bone metastases | 37 (36%) | |
| Other metastases | 75 (74%) | |
| Treatments previously received | N/A | |
| SSTA | 90 (88%) | |
| PRRT | 30 (29%) | |
| Everolimus/sunitinib | 0 (0%) | |
| Liver embolization | 7 (7%) | |
| Liver resection | 9 (9%) | |
| Other surgery | 16 (16%) | |
| Serum CgA | ||
| <5 × ULN | 55 (54%) | 10 (62%) |
| 5–10 × ULN | 10 (10%) | 1 (6%) |
| >10 × ULN | 22 (22%) | 2 (13%) |
| Not available | 15 (15%) | 3 (19%) |
| Urinary 5-HIAA | ||
| <5 × ULN | 11 (11%) | 1 (6%) |
| 5–10 × ULN | 5 (5%) | 0 (0%) |
| >10 × ULN | 4 (4%) | 0 (0%) |
| Not available | 82 (80%) | 15 (94%) |
| TNM stage | N/A | |
| T1N1Mx | 2 (13%) | |
| T2N1Mx | 4 (25%) | |
| T3N1Mx | 4 (25%) | |
| T4N1Mx | 3 (19%) | |
| T3N1M1 | 1 (6%) | |
| T1N0Mx | 1 (6%) | |
| Unknown | 1 (6%) |
| NETest and Imaging Assessment | Group 1 | Group 2 |
|---|---|---|
| Number (n = 102) | Number (n = 16) | |
| NETest value (%) | 40% (33.3–46.7%) | 26.7% (26.7–40%) |
| NETest category | ||
| Normal | 3 (3%) | 2 (13%) |
| Low | 72 (71%) | 11 (69%) |
| Medium | 9 (9%) | 1 (6%) |
| High | 18 (18%) | 2 (13%) |
| Progression at time of NETtest (CT/MRI) | N/A | |
| Stable disease | 47 (46%) | |
| Progression | 7 (7%) | |
| Not available | 48 (47%) | |
| Progression during follow-up (CT/MRI) | ||
| Stable disease | 47 (46%) | 10 (63%) |
| Progression (group 1)/Recurrence (group 2) | 15 (15%) | 2 (13%) |
| Not available | 40 (39%) | 4 (25%) |
| Progression during follow-up (Ga-DOTATATE) | ||
| Stable disease | 17 (16.7%) | 12 (75%) |
| Progression (group 1)/Recurrence (group 2) | 14 913.7%) | 4 (25%) |
| Not available | 71 (69.6%) | 0 (0%) |
| Variables | Univariate | Multivariate | ||
|---|---|---|---|---|
| HR (95% CI) | p Value | HR (95% CI) | p Value | |
| Age in decades | 1.14 [0.76–1.71] | 0.529 | ||
| Gender | Violates proportional hazards | Violates proportional hazards | ||
| Male | ||||
| Female | ||||
| NETest value in % | 1.018 [1.003–1.034] | 0.020 | 1.032 [1.003–1.062] | 0.033 |
| NETest category | ||||
| Low | 1 | 1 | ||
| High | 3.57 [1.42–8.97] | 0.007 | 10.5 [1.35–81.7] | 0.025 |
| Grade | ||||
| G1 | 1 | |||
| G2 | 2.41 [1.00–5.81] | 0.051 | ||
| Liver metastasis *,** | ||||
| Absent | 1 | |||
| Present | 1.96 [0.40–125] | 0.182 | ||
| Lung metastasis | ||||
| Absent | 1 | 1 | ||
| Present | 2.73 [1.06–7.02] | 0.038 | 5.21 [1.12–24.3] | 0.035 |
| Bone metastasis | ||||
| Absent | 1 | |||
| Present | 1.38 [0.59–3.23] | 0.462 | ||
| Serum CgA × ULN | 1 | 1 | ||
| 5–10 × ULN | 1.96 [0.49–7.85] | 0.343 | 0.32 [0.04–2.32] | 0.260 |
| >10 × ULN | 4.45 [1.56–12.7] | 0.005 | 17.4 [3.21–93.7] | 0.001 |
| Urinary 5HIAA * | ||||
| <5 × ULN | 1 | |||
| 5–10 × ULN | 6.93 [0.19–255] | 0.293 | ||
| >10 × ULN | 10.6 [0.36–314] | 0.171 | ||
| Progression at NETest | ||||
| Stable disease | 1 | |||
| Progressive disease | 2.25 [0.72–7.00] | 0.161 | ||
| Tumour growth rate at NETest (%/month) | 1.29 [1.10–1.50] | 0.001 | 2.469 [1.186–5.139] | 0.016 |
| Liver burden | ||||
| No liver mets | 1 | |||
| <25% | 1.14 [0.30–4.32] | 0.846 | ||
| 25%–50% | 2.36 [0.53–10.6] | 0.262 | ||
| >50% | 3.23 [0.80–13.0] | 0.100 | ||
| Variables | Univariate | Multivariate | ||
|---|---|---|---|---|
| HR (95% CI) | p Value | HR (95% CI) | p Value | |
| Age in decades | 1.45 [0.71–2.97] | 0.305 | ||
| Gender | ||||
| Male | 1 | |||
| Female | 3.12 [0.63–15.5] | 0.164 | ||
| NETest value in % | 1.027 [1.003–1.051] | 0.026 | 1.035 [1.005–1.066] | 0.024 |
| NETest category | ||||
| Low | 1 | 1 | ||
| Medium | 3.25 [0.34–31.5] | 0.309 | 11.3 [0.63–203] | p = 0.099 |
| High | 6.15 [1.37–27.5] | 0.018 | 15.2 [1.52–151] | p = 0.020 |
| Grade | ||||
| G1 | 1 | |||
| G2 | 1.25 [0.28–5.58] | 0.772 | ||
| Liver metastasis * | ||||
| Absent | 1 | |||
| Present | 4.18 [0.20–86.1] | 0.355 | ||
| Liver burden | ||||
| No liver mets | 1 | |||
| <25% | 0.63 [0.04–10.2] | 0.748 | ||
| 25%–50% | 6.02 [0.54–66.6] | 0.143 | ||
| >50% | 5.75 [0.60–55.6] | 0.130 | ||
| Lung metastasis | ||||
| Absent | 1 | 1 | ||
| Present | 7.94 [1.98–31.8] | 0.003 | 13.7 [2.08–90.6] | p = 0.007 |
| Bone metastasis | ||||
| Absent | 1 | |||
| Present | 1.86 [0.47–7.45] | 0.379 | ||
| Serum CgA * | ||||
| <5 × ULN | 1 | 1 | ||
| 5–10 × ULN | 1.85 [0.05–66.3] | 0.736 | 2.49 [0.05–117] | p = 0.641 |
| >10 × ULN | 10.0 [1.33–75.5] | 0.025 | 12.5 [1.33–117] | p = 0.027 |
| Progression at NETest | ||||
| Stable disease | 1 | |||
| Progressive disease | 1.80 [0.20–16.1] | 0.600 | ||
| Variables (Progression Rate in Brackets) | HR (95% CI) | p Value |
|---|---|---|
| Age in decades | 0.74 [0.30–1.81] | 0.503 |
| Gender | ||
| Male (2/9) | 1 | |
| Female (3/7) | 2.63 [0.30–23.0] | 0.383 |
| NETest category * | ||
| Low (3/11) | 1 | |
| High (1/2) | 2.67 [0.12–57.6] | 0.532 |
| Grade | ||
| G1 (3/11) | 1 | |
| G2 (2/5) | 1.78 [0.19–16.5] | 0.613 |
| Serum CgA | ||
| Normal (3/7) | 1 | |
| Raised (1/6) | 0.27 [0.02–3.65] | 0.322 |
| TNM stage ** | ||
| T1-2N1Mx (0/6) | 1 | |
| T3-4N1Mx (4/7) | 16.7 [0.68–409] | 0.084 |
Disclaimer/Publisher’s Note: The statements, opinions and data contained in all publications are solely those of the individual author(s) and contributor(s) and not of MDPI and/or the editor(s). MDPI and/or the editor(s) disclaim responsibility for any injury to people or property resulting from any ideas, methods, instructions or products referred to in the content. |
© 2024 by the authors. Licensee MDPI, Basel, Switzerland. This article is an open access article distributed under the terms and conditions of the Creative Commons Attribution (CC BY) license (https://creativecommons.org/licenses/by/4.0/).
Share and Cite
Gertner, J.; Tsoli, M.; Hayes, A.R.; O’Mahony, L.F.; Laskaratos, F.-M.; Glover, T.; Karia, P.; Butt, M.F.; Eastwood, O.; Mandair, D.; et al. The Clinical Utility of the NETest in Patients with Small Intestinal Neuroendocrine Neoplasms (Si-NENs): A “Real-Life” Study. Cancers 2024, 16, 2506. https://doi.org/10.3390/cancers16142506
Gertner J, Tsoli M, Hayes AR, O’Mahony LF, Laskaratos F-M, Glover T, Karia P, Butt MF, Eastwood O, Mandair D, et al. The Clinical Utility of the NETest in Patients with Small Intestinal Neuroendocrine Neoplasms (Si-NENs): A “Real-Life” Study. Cancers. 2024; 16(14):2506. https://doi.org/10.3390/cancers16142506
Chicago/Turabian StyleGertner, Julian, Marina Tsoli, Aimee R. Hayes, Luke Furtado O’Mahony, Faidon-Marios Laskaratos, Thomas Glover, Priyesh Karia, Mohsin F. Butt, Oliver Eastwood, Dalvinder Mandair, and et al. 2024. "The Clinical Utility of the NETest in Patients with Small Intestinal Neuroendocrine Neoplasms (Si-NENs): A “Real-Life” Study" Cancers 16, no. 14: 2506. https://doi.org/10.3390/cancers16142506
APA StyleGertner, J., Tsoli, M., Hayes, A. R., O’Mahony, L. F., Laskaratos, F.-M., Glover, T., Karia, P., Butt, M. F., Eastwood, O., Mandair, D., Caplin, M., & Toumpanakis, C. (2024). The Clinical Utility of the NETest in Patients with Small Intestinal Neuroendocrine Neoplasms (Si-NENs): A “Real-Life” Study. Cancers, 16(14), 2506. https://doi.org/10.3390/cancers16142506

