Epstein–Barr Virus and Clinico-Endoscopic Characteristics of Gastric Remnant Cancers Compared to Proximal Non-Remnant Cancers: A Population-Based Study
Abstract
Simple Summary
Abstract
1. Introduction
2. Materials and Methods
2.1. Study Design and Data Source
2.2. Histopathology and EBV In Situ Hybridization
2.3. Statistical Analyses
2.4. Ethics Approval
3. Results
3.1. Patients Demographics, Tumour-, and Treatment Variables
3.2. EBV Status
3.3. Symptoms at Time of Diagnosis and Findings at Upper Endoscopy
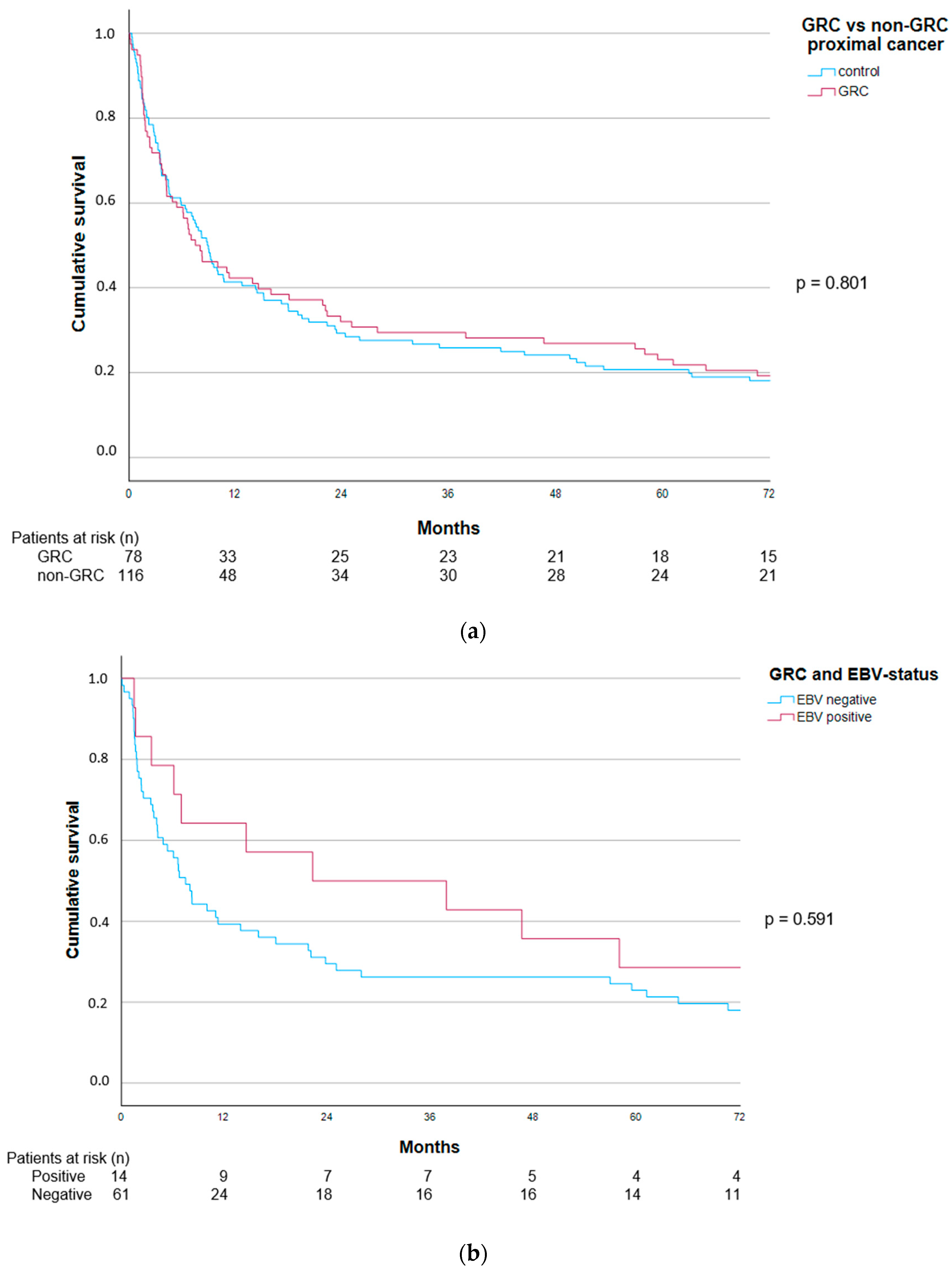
3.4. Long-Term Survival Rates
4. Discussion
4.1. EBV-Positive Cancers
4.2. Demographics
4.3. Symptoms at Diagnosis and Endoscopic Findings
4.4. Long-Term Survival Rates
4.5. Strengths and Limitations
5. Conclusions
Author Contributions
Funding
Institutional Review Board Statement
Informed Consent Statement
Data Availability Statement
Acknowledgments
Conflicts of Interest
References
- Burke, A.P.; Yen, T.S.; Shekitka, K.M.; Sobin, L.H. Lymphoepithelial carcinoma of the stomach with Epstein-Barr virus demonstrated by polymerase chain reaction. Mod. Pathol. 1990, 3, 377–380. [Google Scholar]
- Shibata, D.; Weiss, L.M. Epstein-Barr virus-associated gastric adenocarcinoma. Am. J. Pathol. 1992, 140, 769–774. [Google Scholar] [PubMed]
- Shannon-Lowe, C.; Rickinson, A. The Global Landscape of EBV-Associated tumours. Front. Oncol. 2019, 9, 713. [Google Scholar] [CrossRef] [PubMed]
- Cancer Genome Atlas Network. Comprehensive molecular characterization of gastric adenocarcinoma. Nature 2014, 513, 202–209. [Google Scholar] [CrossRef]
- Tavakoli, A.; Monavari, S.H.; Mohammadi, F.S.; Kiani, S.J.; Armat, S.; Farahmand, M. Association between Epstein-Barr virus infection and gastric cancer: A systematic review and meta-analysis. BMC Cancer 2020, 20, 493–506. [Google Scholar] [CrossRef] [PubMed]
- Sun, K.; Jia, K.; Lv, H.; Wang, S.; Wu, Y.; Lei, H.; Chen, X. EBV-Positive Gastric Cancer: Current Knowledge and Future Perspectives. Front. Oncol. 2020, 10, 583463. [Google Scholar] [CrossRef]
- Balfour, D.C. Factors influencing the life expectancy of patients operated on for gastric ulcer. Ann. Surg. 1922, 76, 405–408. [Google Scholar] [CrossRef]
- Ohira, M.; Toyokawa, T.; Sakurai, K.; Kubo, N.; Tanaka, H.; Muguruma, K.; Yashiro, M.; Onoda, N.; Hirakawa, K. Current status in remnant gastric cancer after distal gastrectomy. World J. Gastroenterol. 2016, 22, 2424–2433. [Google Scholar] [CrossRef]
- Tersmette, A.C.; Offerhaus, G.J.; Tersmette, K.W.; Giardiello, F.M.; Moore, G.W.; Tytgat, G.; Vandenbroucke, J.P. Meta-analysis of the risk of gastric stump cancer: Detection of high risk patient subsets for stomach cancer after remote partial gastrectomy for benign conditions. Cancer Res. 1990, 50, 6486–6489. [Google Scholar]
- Shimada, H.; Fukagawa, T.; Haga, Y.; Oba, K. Does remnant gastric cancer really differ from primary gastric cancer? A systematic review of the literature by the Task Force of Japanese Gastric Cancer Association. Gastric Cancer 2016, 19, 339–349. [Google Scholar] [CrossRef]
- Schaefer, N.; Sinning, C.; Standop, J.; Overhaus, M.; Hirner, A.; Wolff, M. Treatment and prognosis of gastric stump carcinoma in comparison with primary proximal gastric cancer. Am. J. Surg. 2007, 194, 63–67. [Google Scholar] [CrossRef]
- Kondo, K. Duodenogastric reflux and gastric stump carcinoma. Gastric Cancer 2002, 5, 16–22. [Google Scholar] [CrossRef] [PubMed]
- Tatsugami, M.; Ito, M.; Tanaka, S.; Yoshihara, M.; Matsui, H.; Haruma, K.; Chayama, K. Bile acid promotes intestinal metaplasia and gastric carcinogenesis. Cancer Epidemiol. Biomark. Prev. 2012, 21, 2101–2107. [Google Scholar] [CrossRef]
- Viste, A.; Øvrebø, K.; Maartmann-Moe, H.; Waldum, H. Lanzoprazole promotes gastric carcinogenesis in rats with duodenogastric reflux. Gastric Cancer 2004, 7, 31–35. [Google Scholar] [CrossRef] [PubMed]
- Nishikawa, J.; Yanai, H.; Hirano, A.; Okamoto, T.; Nakamura, H.; Matsusaki, K.; Kawano, T.; Miura, O.; Okita, K. High prevalence of Epstein-Barr virus in gastric remnant carcinoma after Billroth-II reconstruction. Scand. J. Gastroenterol. 2002, 37, 825–829. [Google Scholar] [CrossRef]
- Murphy, G.; Pfeiffer, R.; Camargo, M.C.; Rabkin, C.S. Meta-analysis shows that prevalence of Epstein-Barr virus-positive gastric cancer differs based on sex and anatomic location. Gastroenterology 2009, 137, 824–833. [Google Scholar] [CrossRef] [PubMed]
- Lu, C.; Zhang, H.; Zhou, W.; Wan, X.; Li, L.; Yu, C. Epstein-Barr virus infection and genome polymorphisms on gastric remnant carcinoma: A meta-analysis. Cancer Cell Int. 2020, 20, 401. [Google Scholar] [CrossRef]
- Bringeland, E.A.; Wasmuth, H.H.; Mjones, P.; Myklebust, T.A.; Gronbech, J.E. A population-based study on incidence rates, Lauren distribution, stage distribution, treatment, and long-term outcomes for gastric adenocarcinoma in Central Norway 2001–2011. Acta Oncol. 2017, 56, 39–45. [Google Scholar] [CrossRef] [PubMed]
- Beck, M.; Bringeland, E.A.; Qvigstad, G.; Fossmark, R. Gastric Cancers Missed at Upper Endoscopy in Central Norway 2007 to 2016-A Population-Based Study. Cancers 2021, 13, 5628. [Google Scholar] [CrossRef]
- Ubøe, A.A.S.; Våge, C.; Mjønes, P.; Bringeland, E.A.; Fossmark, R. Gastric remnant cancer and long-term survival in Central Norway 2001–2016—A population based study. Surg. Oncol. 2023, 51, 102008. [Google Scholar] [CrossRef]
- Ness-Jensen, E.; Bringeland, E.A.; Mattsson, F.; Mjønes, P.; Lagergren, J.; Grønbech, J.E.; Waldum, H.L.; Fossmrak, R. Hypergastrinemia is associated with an increased risk of gastric adenocarcinoma with proximal location: A prospective population-based nested case-control study. Int. J. Cancer 2021, 148, 1879–1886. [Google Scholar] [CrossRef] [PubMed]
- Waldum, H.L.; Fossmark, R. Types of Gastric Carcinomas. Int. J. Mol. Sci. 2018, 19, 4109. [Google Scholar] [CrossRef] [PubMed]
- Cunningham, D.; Allum, W.H.; Stenning, S.P.; Thompson, J.N.; van de Velde, C.J.H.; Nicolson, M.; Scarffe, J.H.; Lofts, F.J.; Falk, S.J.; Iveson, T.J.; et al. Perioperative chemotherapy versus surgery alone for resectable gastroesophageal cancer. N. Engl. J. Med. 2006, 355, 11–20. [Google Scholar] [CrossRef] [PubMed]
- Laurén, P. The two histological main types of gastric carcinoma: Diffuse and so-called intestinal-type carcinoma. Acta Pathol. Microbiol. Scand. 1965, 6, 31–49. [Google Scholar] [CrossRef] [PubMed]
- Sinning, C.; Schaefer, N.; Standop, J.; Hirner, A.; Wolff, M. Gastric stump carcinoma—Epidemiology and current concepts in pathogenesis and treatment. Eur. J. Surg. Oncol. 2007, 33, 133–139. [Google Scholar] [CrossRef] [PubMed]
- Mezhir, J.J.; Gonen, M.; Ammori, J.B.; Strong, V.E.; Brennan, M.F.; Coit, D.G. Treatment and outcome of patients with gastric remnant cancer after resection for peptic ulcer disease. Ann. Surg. Oncol. 2011, 18, 670–676. [Google Scholar] [CrossRef] [PubMed]
- Viste, A.; Bjørnestad, E.; Opheim, P.; Skarstein, A.; Thunold, J.; Hartveit, F.; Eide, G.E.; Søreide, O. Risk of carcinoma following gastric operations for benign disease. A historical cohort study of 3470 patients. Lancet 1986, 2, 502–505. [Google Scholar] [CrossRef] [PubMed]
- Lagergren, J.; Lindam, A.; Mason, R.M. Gastric stump cancer after distal gastrectomy for benign gastric ulcer in a population-based study. Int. J. Cancer 2012, 131, E1048–E1052. [Google Scholar] [CrossRef]
- Saito, M.; Kono, K. Landscape of EBV-positive gastric cancer. Gastric Cancer 2021, 24, 983–989. [Google Scholar] [CrossRef]
- Di Leo, A.; Pedrazani, C.; Bencivenga, M.; Coniglio, A.; Rosa, F.; Morgani, P.; Marrelli, D.; Marchet, A.; Cozaglio, L.; Giacopuzi, S.; et al. Gastric stump cancer after distal gastrectomy for benign disease: Clinicopathological features and surgical outcomes. Ann. Surg. Oncol. 2014, 21, 2594–2600. [Google Scholar] [CrossRef]
- Costa-Phino, A.; Pinto-de-Sousa, J.; Barbosa, J.; Costa-Maia, J. Gastric stump cancer: More than just another proximal gastric cancer and demanding a more suitable TNM staging system. BioMed. Res. Int. 2013, 2013, 781896. [Google Scholar] [CrossRef] [PubMed]
- Tokunaga, M.; Sano, T.; Ohyama, S.; Hiki, N.; Fukunaga, T.; Yamada, K.; Yamaguchi, T. Clinicopathological characteristics and survival difference between gastric stump carcinoma and primary upper third gastric cancer. J. Gastrointest. Surg. 2013, 17, 313–318. [Google Scholar] [CrossRef] [PubMed]
- Helsedirektoratet. Nasjonalt Handlingsprogram for Kreft i Magesekken 2021. Available online: https://www.helsedirektoratet.no/retningslinjer/kreft-i-magesekken-handlingsprogram/oppfolging-og-kontroll-etter-avsluttet-kurativ-behandling (accessed on 30 April 2024).
- Ohashi, M.; Katai, H.; Fukagawa, T.; Gotoda, T.; Sano, T.; Sasako, M. Cancer of the gastric stump following distal gastrectomy for cancer. Br. J. Surg. 2007, 94, 92–95. [Google Scholar] [CrossRef] [PubMed]
- Yanai, H.; Nishikawa, J.; Mizugaki, Y.; Shimizu, N.; Takada, K.; Matsusaki, K.; Toda, T.; Matsumoto, Y.; Tada, M.; Okita, K. Endoscopic and pathologic features of Epstein-Barr virus-associated gastric carcinoma. Gastrointest. Endosc. 1997, 45, 236–242. [Google Scholar] [CrossRef] [PubMed]
- Galata, C.; Ronellenfitsch, U.; Weiß, C.; Blank, S.; Reißfelder, C.; Hardt, J. Surgery for Gastric Remnant Cancer Results in Similar Overall Survival Rates Compared with Primary Gastric Cancer: A Propensity Score-Matched Analysis. Ann. Surg. Oncol. 2020, 27, 4196–4203. [Google Scholar] [CrossRef]
- Bay, Y.; Xie, T.; Wang, Z.; Tong, S.; Zhao, X.; Zhao, F.; Cai, J.; Wei, X.; Peng, Z.; Shen, L. Efficacy and predictive biomarkers of immunotherapy in Eptsein-Barr virus-associated gastric cancer. J. Immunother. Cancer 2022, 10, e004080. [Google Scholar] [CrossRef]
- Zhang, B.; Choi, I. Facts and Hopes in the Relationship of EBV with Cancer Immunity and Immunotherapy. Clin. Cancer Res. 2022, 28, 4363–4369. [Google Scholar] [CrossRef]


| Variable | GRC, n = 78 | Proximal Non-GRC, n = 116 | p-Value |
|---|---|---|---|
| Median age, years (range) | 79 (52–95) | 72 (38–93) | 0.005 |
| Male sex | 65 (83.3) | 81 (69.8) | 0.033 |
| (y)pTNM stage | 0.250 | ||
| St 0 + I | 18 (23.1) | 12 (10.3) | |
| St II | 5 (6.4) | 18 (15.5) | |
| St III | 7 (9.0) | 13 (11.2) | |
| St IV + X | 31 + 17 (61.5) | 57 + 16 (62.9) | |
| Chemotherapy | |||
| Perioperative | 2 (2.6) | 23 (19.8) | <0.001 |
| Palliative | 12/78 (15.4) | 39/116 (33.6) | 0.005 |
| Treatment | |||
| R0/R1 resection | 32 (41.0) | 48 (41.4) | 0.961 |
| R2 resection | 4 (5.1) | - | |
| Local resection | - | 3 (2.6) | |
| Non-resection interv. * | 8 (10.3) | 7 (6.0) | |
| No surgical intervention | 34 (43.6) | 58 (50.0) | |
| Lauren classification | 0.914 | ||
| Intestinal | 44 (56.4) | 61 (52.6) | |
| Diffuse | 18 (23.1) | 31 (26.7) | |
| Mixed | 9 (11.5) | 12 (10.3) | |
| Unspecified | 7 (9.0) | 12 (10.3) |
| Variable | EBV Positive | EBV Negative | p-Value |
|---|---|---|---|
| Tumour location | 0.006 | ||
| GRC | 14 (18.7) | 61 (81.3) | |
| Proximal non-GRC | 7 (6.0) | 109 (94.0) | |
| Sex | 0.244 | ||
| Male | 18 (12.5) | 126 (87.5) | |
| Female | 3 (6.4) | 44 (93.6) | |
| Lauren classification | 0.873 | ||
| Intestinal | 13 (12.5) | 91 (87.5) | |
| Diffuse | 4 (8.2) | 45 (91.8) | |
| Mixed | 2 (9.5) | 19 (90.5) | |
| Unspecified | 2 (11.8) | 15 (88.2) | |
| Age category | 0.478 | ||
| ≤50 years | 0 (0.0) | 7 (100.0) | |
| 51–70 years | 8 (14.0) | 49 (86.0) | |
| ≥71 years | 13 (10.2) | 114 (89.8) |
| Variable | GRC | Proximal Non-GRC |
|---|---|---|
| Indication for UE | n = 78 | n = 116 |
| Surveillance UE | 4 (5.1) | 5 (4.3) |
| Referred for symptoms | 67 (85.9) | 107 (92.2) |
| Missing data | 7 (9.0) | 4 (3.4) |
| Symptoms * | n = 71 | n = 112 |
| None | 4 (5.6) | 5 (4.5) |
| Dyspepsia/dysphagia | 23 (32.4) | 48 (42.9) |
| GI-bleeding | 22 (31.0) | 18 (16.1) |
| Vomiting | 12 (16.9) | 20 (17.9) |
| Weight loss/general symptoms | 34 (47.9) | 55 (49.1) |
| Anaemia | 25 (35.2) | 25 (22.3) |
| Abdominal pain | 10 (14.1) | 40 (35.7) |
| Findings at UE ** | n = 69 | n = 110 |
| Normal *** | 4 (5.8) | 0 (0.0) |
| Gastritis | 10 (14.5) | 10 (9.1) |
| Ulcer | 14 (19.7) | 42 (38.2) |
| Tumour/polyp | 29 (40.8) | 73 (66.4) |
| Friable bleeding tissue | 17 (24.6) | 25 (22.7) |
| Other | 13 (18.8) | 8 (7.3) |
Disclaimer/Publisher’s Note: The statements, opinions and data contained in all publications are solely those of the individual author(s) and contributor(s) and not of MDPI and/or the editor(s). MDPI and/or the editor(s) disclaim responsibility for any injury to people or property resulting from any ideas, methods, instructions or products referred to in the content. |
© 2024 by the authors. Licensee MDPI, Basel, Switzerland. This article is an open access article distributed under the terms and conditions of the Creative Commons Attribution (CC BY) license (https://creativecommons.org/licenses/by/4.0/).
Share and Cite
Bringeland, E.A.; Våge, C.; Ubøe, A.A.S.; Sandø, A.D.; Mjønes, P.; Fossmark, R. Epstein–Barr Virus and Clinico-Endoscopic Characteristics of Gastric Remnant Cancers Compared to Proximal Non-Remnant Cancers: A Population-Based Study. Cancers 2024, 16, 2000. https://doi.org/10.3390/cancers16112000
Bringeland EA, Våge C, Ubøe AAS, Sandø AD, Mjønes P, Fossmark R. Epstein–Barr Virus and Clinico-Endoscopic Characteristics of Gastric Remnant Cancers Compared to Proximal Non-Remnant Cancers: A Population-Based Study. Cancers. 2024; 16(11):2000. https://doi.org/10.3390/cancers16112000
Chicago/Turabian StyleBringeland, Erling A., Christina Våge, Ann A. S. Ubøe, Alina D. Sandø, Patricia Mjønes, and Reidar Fossmark. 2024. "Epstein–Barr Virus and Clinico-Endoscopic Characteristics of Gastric Remnant Cancers Compared to Proximal Non-Remnant Cancers: A Population-Based Study" Cancers 16, no. 11: 2000. https://doi.org/10.3390/cancers16112000
APA StyleBringeland, E. A., Våge, C., Ubøe, A. A. S., Sandø, A. D., Mjønes, P., & Fossmark, R. (2024). Epstein–Barr Virus and Clinico-Endoscopic Characteristics of Gastric Remnant Cancers Compared to Proximal Non-Remnant Cancers: A Population-Based Study. Cancers, 16(11), 2000. https://doi.org/10.3390/cancers16112000

