Glucose-to-Lymphocyte Ratio (GLR) as an Independent Prognostic Factor in Patients with Resected Pancreatic Ductal Adenocarcinoma—Cohort Study
Abstract
Simple Summary
Abstract
1. Introduction
2. Methods
2.1. Patient Selection
2.2. Data Collection
2.3. Ethics Approval and Consent to Participate
2.4. Definition of Systemic Inflammatory Markers and Determination of Best Cut-Off Points
2.5. Statistical Analysis
3. Results
3.1. Baseline Characteristics
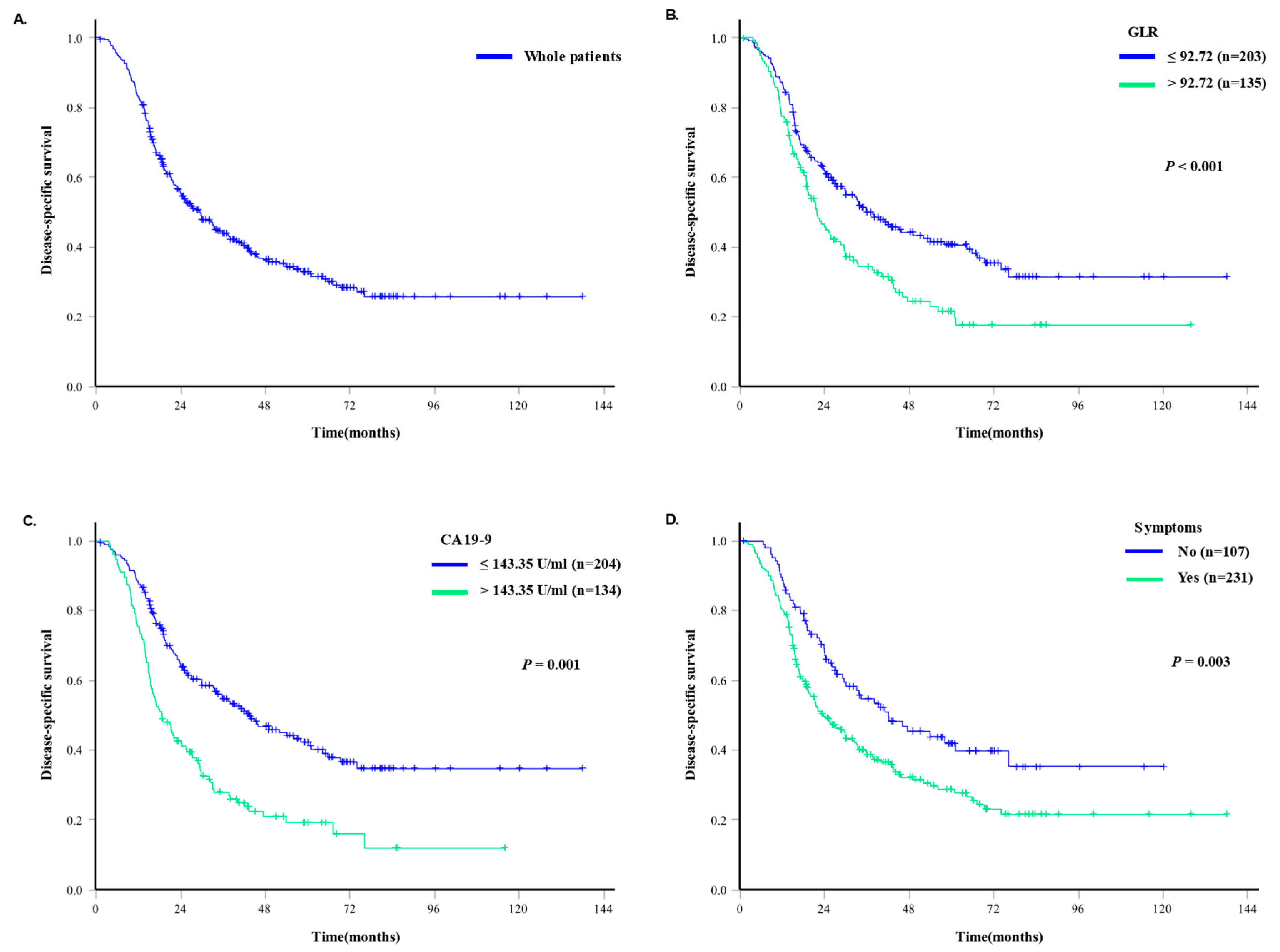
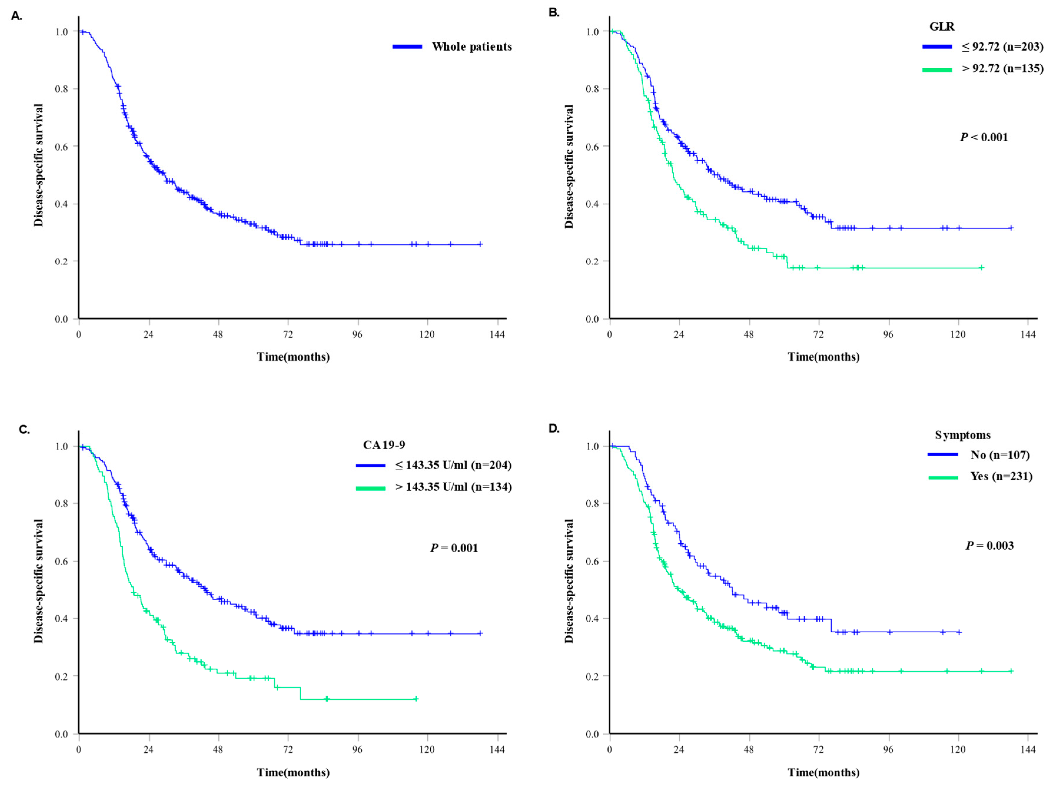
3.2. Preoperative Clinical Parameters Used to Estimate Long-Term Oncologic Outcomes
3.3. Clinicopathologic Characteristics According to Preoperative GLR
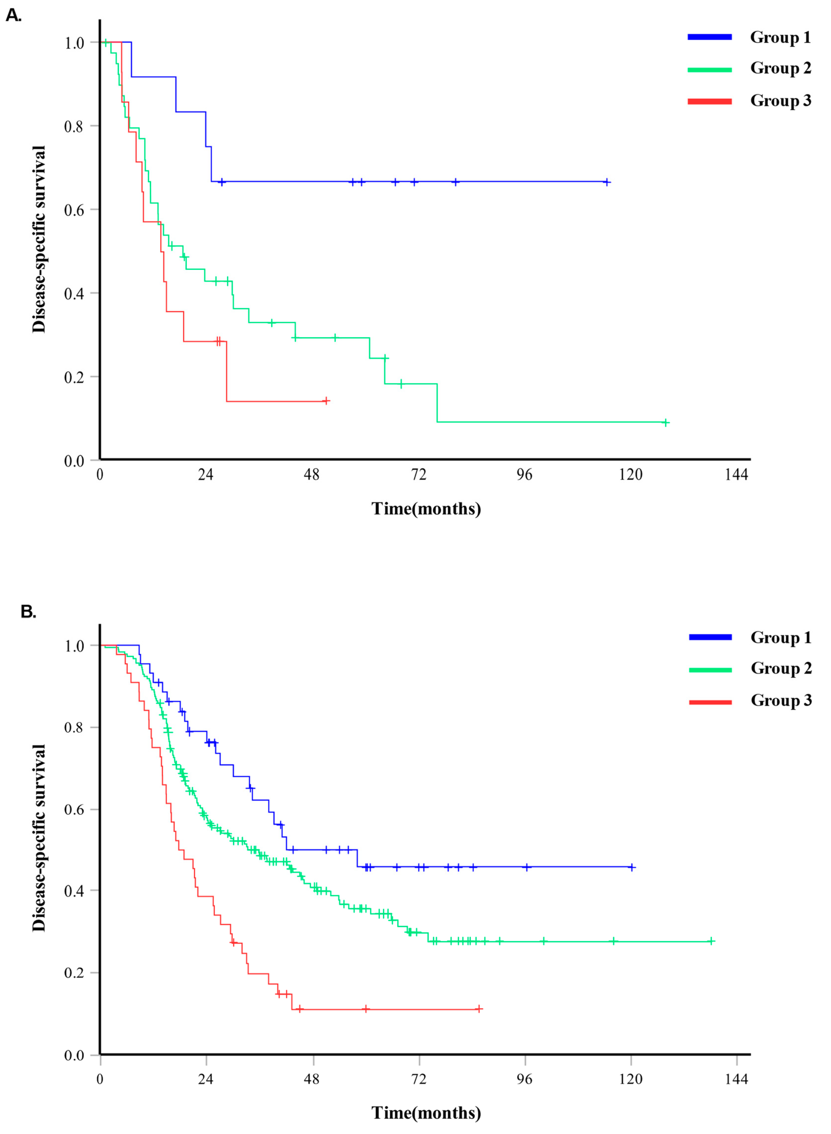
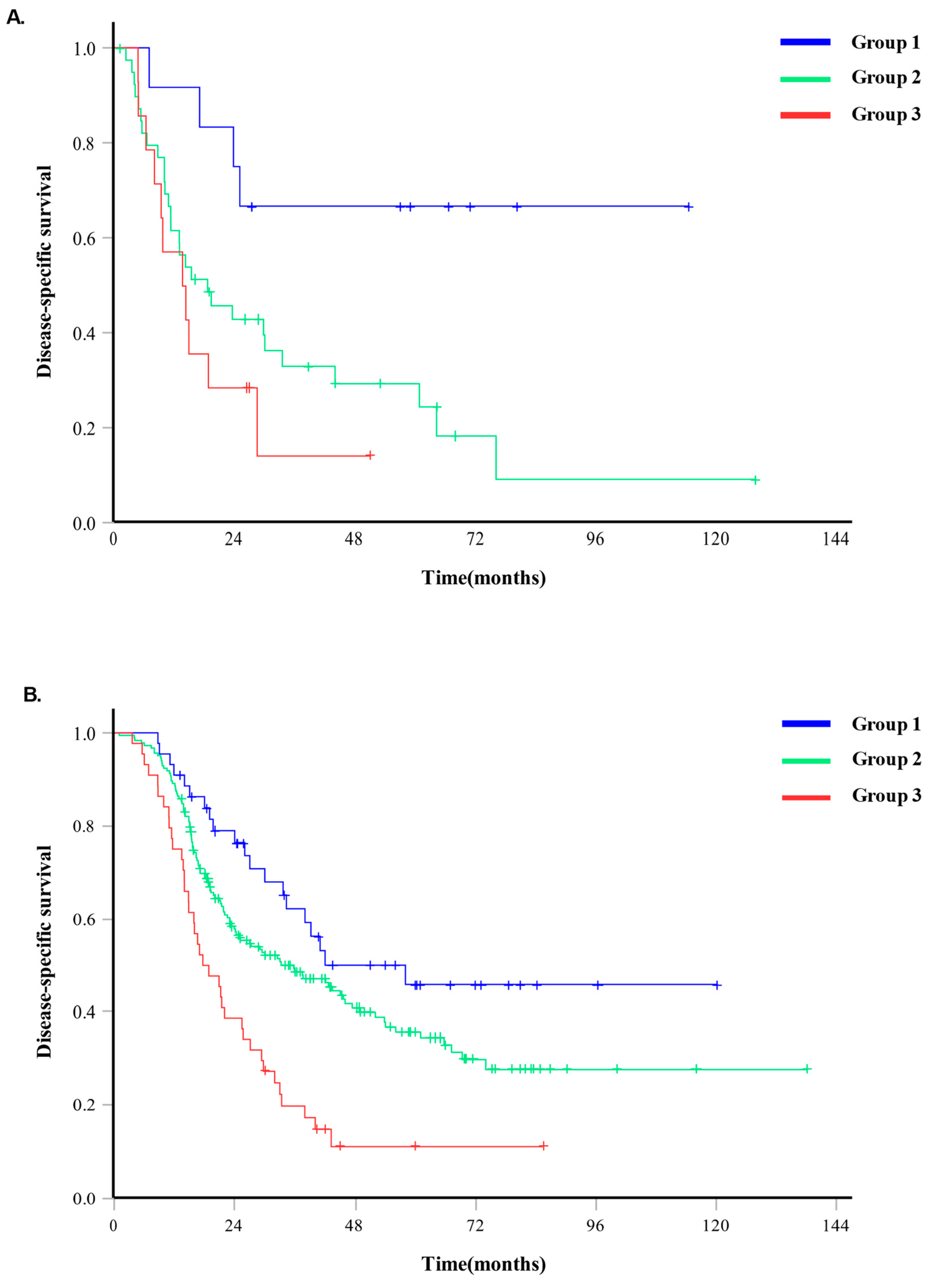
3.4. Survival Stratified by the Number of Prognostic Factors
3.5. Relation between Risk Group and DSS in Adjuvant Chemotherapy
4. Discussion
5. Conclusions
Author Contributions
Funding
Institutional Review Board Statement
Informed Consent Statement
Data Availability Statement
Acknowledgments
Conflicts of Interest
Abbreviations
| AJCC | American Joint Committee on Cancer |
| CA | carbohydrate antigen |
| CI | confidence interval |
| DM | diabetes mellitus |
| DP | distal pancreatectomy |
| FBG | fasting blood glucose |
| GLR | glucose-to-lymphocyte ratio |
| HR | hazard ratio |
| NLR | neutrophil-to-lymphocyte ratio |
| PDAC | pancreatic ductal adenocarcinoma |
| PLR | platelet lymphocyte ratio |
| PD | pancreaticoduodenectomy |
| PPPD | pylorus-preserving pancreaticoduodenectomy |
| TP | total pancreatectomy |
References
- Sharma, C.; Eltawil, K.M.; Renfrew, P.D.; Walsh, M.J.; Molinari, M. Advances in diagnosis, treatment and palliation of pancreatic carcinoma: 1990–2010. World J. Gastroenterol. 2011, 17, 867–897. [Google Scholar] [CrossRef]
- Kedra, B.; Popiela, T.; Sierzega, M.; Precht, A. Prognostic factors of long-term survival after resective procedures for pancreatic cancer. Hepatogastroenterology 2001, 48, 1762–1766. [Google Scholar] [PubMed]
- Dusch, N.; Weiss, C.; Strobel, P.; Kienle, P.; Post, S.; Niedergethmann, M. Factors predicting long-term survival following pancreatic resection for ductal adenocarcinoma of the pancreas: 40 years of experience. J. Gastrointest. Surg. 2014, 18, 674–681. [Google Scholar] [CrossRef] [PubMed]
- Shin, S.H.; Kim, S.C.; Hong, S.M.; Song, K.B.; Lee, J.H.; Park, K.M.; Lee, Y.J. Can statistically determined prognostic factors predict the long-term survival of patients with pancreatic ductal adenocarcinoma following surgical resection?: Clinicopathological analysis of 82 long-term survivors. Pancreas 2014, 43, 571–577. [Google Scholar] [CrossRef] [PubMed]
- Benassai, G.; Quarto, G.; Perrotta, S.; Furino, E.; Benassai, G.L.; Amato, B.; Bianco, T.; De Palma, G.; Forestieri, P. Long-term survival after curative resection for pancreatic ductal adenocarcinoma--Surgical treatment. Int. J. Surg. 2015, 21 (Suppl. S1), S1–S3. [Google Scholar] [CrossRef] [PubMed]
- Stark, A.P.; Sacks, G.D.; Rochefort, M.M.; Donahue, T.R.; Reber, H.A.; Tomlinson, J.S.; Dawson, D.W.; Eibl, G.; Hines, O.J. Long-term survival in patients with pancreatic ductal adenocarcinoma. Surgery 2016, 159, 1520–1527. [Google Scholar] [CrossRef] [PubMed]
- Jamieson, N.B.; Glen, P.; McMillan, D.C.; McKay, C.J.; Foulis, A.K.; Carter, R.; Imrie, C.W. Systemic inflammatory response predicts outcome in patients undergoing resection for ductal adenocarcinoma head of pancreas. Br. J. Cancer 2005, 92, 21–23. [Google Scholar] [CrossRef]
- Roxburgh, C.S.; McMillan, D.C. Role of systemic inflammatory response in predicting survival in patients with primary operable cancer. Future Oncol. 2010, 6, 149–163. [Google Scholar] [CrossRef] [PubMed]
- Dolan, R.D.; Lim, J.; McSorley, S.T.; Horgan, P.G.; McMillan, D.C. The role of the systemic inflammatory response in predicting outcomes in patients with operable cancer: Systematic review and meta-analysis. Sci. Rep. 2017, 7, 16717. [Google Scholar] [CrossRef]
- van Wijk, L.; de Klein, G.W.; Kanters, M.A.; Patijn, G.A.; Klaase, J.M. The ultimate preoperative C-reactive protein-to-albumin ratio is a prognostic factor for survival after pancreatic cancer resection. Eur. J. Med. Res. 2020, 25, 46. [Google Scholar] [CrossRef]
- Bhatti, I.; Peacock, O.; Lloyd, G.; Larvin, M.; Hall, R.I. Preoperative hematologic markers as independent predictors of prognosis in resected pancreatic ductal adenocarcinoma: Neutrophil-lymphocyte versus platelet-lymphocyte ratio. Am. J. Surg. 2010, 200, 197–203. [Google Scholar] [CrossRef] [PubMed]
- Park, H.S.; Lee, H.S.; Park, J.S.; Park, J.S.; Lee, D.K.; Lee, S.J.; Yoon, D.S.; Lee, M.G.; Jeung, H.C. Prognostic Scoring Index for Patients with Metastatic Pancreatic Adenocarcinoma. Cancer Res. Treat. 2016, 48, 1253–1263. [Google Scholar] [CrossRef] [PubMed]
- Xu, J.; Shi, K.Q.; Chen, B.C.; Huang, Z.P.; Lu, F.Y.; Zhou, M.T. A nomogram based on preoperative inflammatory markers predicting the overall survival of pancreatic ductal adenocarcinoma. J. Gastroenterol. Hepatol. 2017, 32, 1394–1402. [Google Scholar] [CrossRef]
- Bone, G.; Lauder, I. Cellular immunity, peripheral blood lymphocyte count and pathological staging of tumours in the gastrointestinal tract. Br. J. Cancer 1974, 30, 215–221. [Google Scholar] [CrossRef]
- Papatestas, A.E.; Lesnick, G.J.; Genkins, G.; Aufses, A.H., Jr. The prognostic significance of peripheral lymphocyte counts in patients with breast carcinoma. Cancer 1976, 37, 164–168. [Google Scholar] [CrossRef] [PubMed]
- Fogar, P.; Sperti, C.; Basso, D.; Sanzari, M.C.; Greco, E.; Davoli, C.; Navaglia, F.; Zambon, C.F.; Pasquali, C.; Venza, E.; et al. Decreased total lymphocyte counts in pancreatic cancer: An index of adverse outcome. Pancreas 2006, 32, 22–28. [Google Scholar] [CrossRef] [PubMed]
- Rho, S.Y.; Hwang, H.K.; Chong, J.U.; Yoon, D.S.; Lee, W.J.; Kang, C.M. Association of preoperative total lymphocyte count with prognosis in resected left-sided pancreatic cancer. ANZ J. Surg. 2019, 89, 503–508. [Google Scholar] [CrossRef]
- Raghavan, S.R.; Ballehaninna, U.K.; Chamberlain, R.S. The impact of perioperative blood glucose levels on pancreatic cancer prognosis and surgical outcomes: An evidence-based review. Pancreas 2013, 42, 1210–1217. [Google Scholar] [CrossRef]
- Lv, X.; Qiao, W.; Leng, Y.; Wu, L.; Zhou, Y. Impact of diabetes mellitus on clinical outcomes of pancreatic cancer after surgical resection: A systematic review and meta-analysis. PLoS ONE 2017, 12, e0171370. [Google Scholar] [CrossRef]
- Walter, U.; Kohlert, T.; Rahbari, N.N.; Weitz, J.; Welsch, T. Impact of preoperative diabetes on long-term survival after curative resection of pancreatic adenocarcinoma: A systematic review and meta-analysis. Ann. Surg. Oncol. 2014, 21, 1082–1089. [Google Scholar] [CrossRef]
- Mao, Y.; Tao, M.; Jia, X.; Xu, H.; Chen, K.; Tang, H.; Li, D. Effect of diabetes mellitus on survival in patients with pancreatic cancer: A systematic review and meta-analysis. Sci. Rep. 2015, 5, 17102. [Google Scholar] [CrossRef] [PubMed]
- Hank, T.; Sandini, M.; Qadan, M.; Weniger, M.; Ciprani, D.; Li, A.; Ferrone, C.R.; Warshaw, A.L.; Lillemoe, K.D.; Fernández-Del Castillo, C. Diabetes mellitus is associated with unfavorable pathologic features, increased postoperative mortality, and worse long-term survival in resected pancreatic cancer. Pancreatology 2020, 20, 125–131. [Google Scholar] [CrossRef] [PubMed]
- Ben, Q.; Xu, M.; Ning, X.; Liu, J.; Hong, S.; Huang, W.; Zhang, H.; Li, Z. Diabetes mellitus and risk of pancreatic cancer: A meta-analysis of cohort studies. Eur. J. Cancer 2011, 47, 1928–1937. [Google Scholar] [CrossRef] [PubMed]
- Batabyal, P.; Vander Hoorn, S.; Christophi, C.; Nikfarjam, M. Association of diabetes mellitus and pancreatic adenocarcinoma: A meta-analysis of 88 studies. Ann. Surg. Oncol. 2014, 21, 2453–2462. [Google Scholar] [CrossRef] [PubMed]
- Chari, S.T.; Leibson, C.L.; Rabe, K.G.; Timmons, L.J.; Ransom, J.; de Andrade, M.; Petersen, G.M. Pancreatic cancer-associated diabetes mellitus: Prevalence and temporal association with diagnosis of cancer. Gastroenterology 2008, 134, 95–101. [Google Scholar] [CrossRef] [PubMed]
- Aggarwal, G.; Kamada, P.; Chari, S.T. Prevalence of diabetes mellitus in pancreatic cancer compared to common cancers. Pancreas 2013, 42, 198–201. [Google Scholar] [CrossRef]
- Pannala, R.; Basu, A.; Petersen, G.M.; Chari, S.T. New-onset diabetes: A potential clue to the early diagnosis of pancreatic cancer. Lancet Oncol. 2009, 10, 88–95. [Google Scholar] [CrossRef] [PubMed]
- Lee, S.; Hwang, H.K.; Kang, C.M.; Lee, W.J. Adverse Oncologic Impact of New-Onset Diabetes Mellitus on Recurrence in Resected Pancreatic Ductal Adenocarcinoma: A Comparison with Long-standing and Non-Diabetes Mellitus Patients. Pancreas 2018, 47, 816–822. [Google Scholar] [CrossRef]
- Chari, S.T. Detecting early pancreatic cancer: Problems and prospects. Semin. Oncol. 2007, 34, 284–294. [Google Scholar] [CrossRef]
- Bartosch-Harlid, A.; Andersson, R. Diabetes mellitus in pancreatic cancer and the need for diagnosis of asymptomatic disease. Pancreatology 2010, 10, 423–428. [Google Scholar] [CrossRef]
- Takeda, Y.; Saiura, A.; Takahashi, Y.; Inoue, Y.; Ishizawa, T.; Mise, Y.; Matsumura, M.; Ichida, H.; Matsuki, R.; Tanaka, M.; et al. Asymptomatic Pancreatic Cancer: Does Incidental Detection Impact Long-Term Outcomes? J. Gastrointest. Surg. 2017, 21, 1287–1295. [Google Scholar] [CrossRef]
- Luo, J.; Chen, Y.J.; Chang, L.J. Fasting blood glucose level and prognosis in non-small cell lung cancer (NSCLC) patients. Lung Cancer 2012, 76, 242–247. [Google Scholar] [CrossRef] [PubMed]
- Yang, I.P.; Tsai, H.-L.; Huang, C.-W.; Lu, C.-Y.; Miao, Z.-F.; Chang, S.-F.; Juo, S.-H.H.; Wang, J.-Y. High blood sugar levels significantly impact the prognosis of colorectal cancer patients through down-regulation of microRNA-16 by targeting Myb and VEGFR2. Oncotarget 2016, 7, 18837–18850. [Google Scholar] [CrossRef] [PubMed]
- Zhang, Y.; Xu, Y.; Wang, D.; Kuang, T.; Wu, W.; Xu, X.; Jin, D.; Lou, W. Prognostic value of preoperative glucose to lymphocyte ratio in patients with resected pancreatic cancer. Int. J. Clin. Oncol. 2021, 26, 135–144. [Google Scholar] [CrossRef] [PubMed]
- Zhong, A.; Cheng, C.S.; Kai, J.; Lu, R.; Guo, L. Clinical Significance of Glucose to Lymphocyte Ratio (GLR) as a Prognostic Marker for Patients with Pancreatic Cancer. Front. Oncol. 2020, 10, 520330. [Google Scholar] [CrossRef] [PubMed]
- Chun, Y.S.; Pawlik, T.M.; Vauthey, J.N. 8th Edition of the AJCC Cancer Staging Manual: Pancreas and Hepatobiliary Cancers. Ann. Surg. Oncol. 2018, 25, 845–847. [Google Scholar] [CrossRef] [PubMed]
- Contal, C.; O’Quigley, J. An application of changepoint methods in studying the effect of age on survival in breast cancer. Coumputational Stat. Data Anal. 1999, 30, 253–270. [Google Scholar] [CrossRef]
- Cai, S.; Wang, Q.; Ma, C.; Chen, J.; Wei, Y.; Zhang, L.; Fang, Z.; Zheng, L.; Guo, C. Association between glucose-to-lymphocyte ratio and in-hospital mortality in intensive care patients with sepsis: A retrospective observational study based on Medical Information Mart for Intensive Care IV. Front. Med. 2022, 9, 922280. [Google Scholar] [CrossRef] [PubMed]
- Chen, J.; Tang, R.; Zhan, X.; Deng, J.; Zhang, Y.; Long, H.; Peng, F.; Tian, N.; Wen, Y.; Wang, X. Clinical significance of serum glucose to lymphocyte ratio as a prognostic marker in peritoneal dialysis patients. Ren. Fail. 2023, 45, 2224893. [Google Scholar] [CrossRef]
- Chen, Y.; Tang, S.; Wang, Y. Prognostic value of glucose-to-lymphocyte ratio in critically Ill patients with acute pancreatitis. Int. J. Gen. Med. 2021, 14, 5449–5460. [Google Scholar] [CrossRef]
- Hwang, S.H.; Kim, H.Y.; Lee, E.J.; Hwang, H.K.; Park, M.S.; Kim, M.J.; Lee, W.J.; Chung, Y.E.; Kang, C.M. Preoperative Clinical and Computed Tomography (CT)-Based Nomogram to Predict Oncologic Outcomes in Patients with Pancreatic Head Cancer Resected with Curative Intent: A Retrospective Study. J. Clin. Med. 2019, 8, 1749. [Google Scholar] [CrossRef] [PubMed]
- Grivennikov, S.I.; Greten, F.R.; Karin, M. Immunity, inflammation, and cancer. Cell 2010, 140, 883–899. [Google Scholar] [CrossRef]
- Zheng, L.; Xue, J.; Jaffee, E.M.; Habtezion, A. Role of immune cells and immune-based therapies in pancreatitis and pancreatic ductal adenocarcinoma. Gastroenterology 2013, 144, 1230–1240. [Google Scholar] [CrossRef] [PubMed]
- Li, W.; Tao, L.; Lu, M.; Xiu, D. Prognostic role of platelet to lymphocyte ratio in pancreatic cancers: A meta-analysis including 3028 patients. Medicine 2018, 97, e9616. [Google Scholar] [CrossRef] [PubMed]
- Navarro, J.; Kang, I.; Hwang, H.K.; Yoon, D.S.; Lee, W.J.; Kang, C.M. Glucose to Lymphocyte Ratio as a Prognostic Marker in Patients with Resected pT2 Gallbladder Cancer. J. Surg. Res. 2019, 240, 17–29. [Google Scholar] [CrossRef] [PubMed]
- Ni, J.; Li, Z.; Song, W.; Zhang, H.; Wang, Y.; Zhang, Y.; Zhang, H.; Yang, G.; Xie, J.; Wang, K. Prognostic value of glucose to lymphocyte ratio for patients with renal cell carcinoma undergoing laparoscopic nephrectomy: A multi-institutional, propensity score matching cohort study. Front. Surg. 2022, 9, 911411. [Google Scholar] [CrossRef]
- Hirakawa, Y.; Ninomiya, T.; Mukai, N.; Doi, Y.; Hata, J.; Fukuhara, M.; Iwase, M.; Kitazono, T.; Kiyohara, Y. Association between glucose tolerance level and cancer death in a general Japanese population: The Hisayama Study. Am. J. Epidemiol. 2012, 176, 856–864. [Google Scholar] [CrossRef]
- Wu, N.; Zhu, Y.; Kadel, D.; Pang, L.; Chen, G.; Chen, Z. The prognostic influence of body mass index, resting energy expenditure and fasting blood glucose on postoperative patients with esophageal cancer. BMC Gastroenterol. 2016, 16, 142. [Google Scholar] [CrossRef] [PubMed]
- Warburg, O. On the origin of cancer cells. Science 1956, 123, 309–314. [Google Scholar] [CrossRef]
- Chong, J.U.; Hwang, H.K.; Lee, J.H.; Yun, M.; Kang, C.M.; Lee, W.J. Clinically determined type of 18F-fluoro-2-deoxyglucose uptake as an alternative prognostic marker in resectable pancreatic cancer. PLoS ONE 2017, 12, e0172606. [Google Scholar] [CrossRef][Green Version]
- Lee, S.H.; Hwang, H.K.; Lee, W.J.; Yun, M.; Kang, C.M. Preoperative Metabolic Tumor Volume2.5 Associated with Early Systemic Metastasis in Resected Pancreatic Cancer: A Transcriptome-Wide Analysis. Gut Liver 2019, 13, 356–365. [Google Scholar] [CrossRef] [PubMed]
- Chang, F.Y.; Shaio, M.F. Decreased cell-mediated immunity in patients with non-insulin-dependent diabetes mellitus. Diabetes Res. Clin. Pract. 1995, 28, 137–146. [Google Scholar] [CrossRef] [PubMed]
- Pearson-Stuttard, J.; Blundell, S.; Harris, T.; Cook, D.G.; Critchley, J. Diabetes and infection: Assessing the association with glycaemic control in population-based studies. Lancet Diabetes Endocrinol. 2016, 4, 148–158. [Google Scholar] [CrossRef] [PubMed]
- Zhan, H.X.; Xu, J.W.; Wu, D.; Wu, Z.Y.; Wang, L.; Hu, S.Y.; Zhang, G.Y. Neoadjuvant therapy in pancreatic cancer: A systematic review and meta-analysis of prospective studies. Cancer Med. 2017, 6, 1201–1219. [Google Scholar] [CrossRef] [PubMed]
- Murphy, J.E.; Wo, J.Y.; Ryan, D.P.; Jiang, W.; Yeap, B.Y.; Drapek, L.C.; Blaszkowsky, L.S.; Kwak, E.L.; Allen, J.N.; Clark, J.W.; et al. Total Neoadjuvant Therapy with FOLFIRINOX Followed by Individualized Chemoradiotherapy for Borderline Resectable Pancreatic Adenocarcinoma: A Phase 2 Clinical Trial. JAMA Oncol. 2018, 4, 963–969. [Google Scholar] [CrossRef] [PubMed]
- Nagakawa, Y.; Sahara, Y.; Hosokawa, Y.; Murakami, Y.; Yamaue, H.; Satoi, S.; Unno, M.; Isaji, S.; Endo, I.; Sho, M.; et al. Clinical Impact of Neoadjuvant Chemotherapy and Chemoradiotherapy in Borderline Resectable Pancreatic Cancer: Analysis of 884 Patients at Facilities Specializing in Pancreatic Surgery. Ann. Surg. Oncol. 2019, 26, 1629–1636. [Google Scholar] [CrossRef]
- Oettle, H.; Post, S.; Neuhaus, P.; Gellert, K.; Langrehr, J.; Ridwelski, K.; Schramm, H.; Fahlke, J.; Zuelke, C.; Burkart, C. Adjuvant chemotherapy with gemcitabine vs observation in patients undergoing curative-intent resection of pancreatic cancer: A randomized controlled trial. JAMA 2007, 297, 267–277. [Google Scholar] [CrossRef] [PubMed]
- Oettle, H.; Neuhaus, P.; Hochhaus, A.; Hartmann, J.T.; Gellert, K.; Ridwelski, K.; Niedergethmann, M.; Zülke, C.; Fahlke, J.; Arning, M.B. Adjuvant chemotherapy with gemcitabine and long-term outcomes among patients with resected pancreatic cancer: The CONKO-001 randomized trial. JAMA 2013, 310, 1473–1481. [Google Scholar] [CrossRef]
- Klaiber, U.; Hackert, T.; Neoptolemos, J.P. Adjuvant treatment for pancreatic cancer. Transl. Gastroenterol. Hepatol. 2019, 4, 27. [Google Scholar] [CrossRef]
- van Roessel, S.; van Veldhuisen, E.; Klompmaker, S.; Janssen, Q.P.; Hilal, M.A.; Alseidi, A.; Balduzzi, A.; Balzano, G.; Bassi, C.; Berrevoet, F. Evaluation of adjuvant chemotherapy in patients with resected pancreatic cancer after neoadjuvant FOLFIRINOX treatment. JAMA Oncol. 2020, 6, 1733–1740. [Google Scholar] [CrossRef]
- Liu, L.; Zhang, B.-b.; Li, Y.-z.; Huang, W.-j.; Niu, Y.; Jia, Q.-c.; Wang, W.; Yuan, J.-r.; Miao, S.-d.; Wang, R.-t. Preoperative glucose-to-lymphocyte ratio predicts survival in cancer. Front. Endocrinol. 2024, 15, 1284152. [Google Scholar] [CrossRef] [PubMed]



| Baseline Characteristic | Total (N = 338) |
|---|---|
| Age (years, range) | 63.6 ± 9.65(64, 33–82); mean (median) |
| Sex (M/F) | 201 (59.5%)/137 (40.5%) |
| DM (None/New-onset/Long-standing) | 180 (53.3%)/76 (22.5%)/82 (24.3%) |
| Symptom | 231 (68.3%) |
| Jaundice | 84 (24.9%) |
| Weight loss | 62 (18.3%) |
| Surgery type (PD/PPPD/DP/TP) | 13 (3.8%)/176 (52.1%)/138 (40.8%)/11 (3.3%) |
| CA 19-9, U/mL | 492.33 ± 1671.95(82, 0.1–20,000); mean (median) |
| Serum glucose level, mg/dL | 158.13 ± 87.50 (127, 42–556); mean (median) |
| Hyperglycemia (FBG > 110 mg/dL) | 229 (67.8%) |
| Neutrophilia (>7.0/mL × 106/mL) | 22 (6.5%) |
| Thrombocytosis (>400/mL × 106/mL) | 20 (5.9%) |
| Lymphocytopenia (<1.1/mL × 106/mL) | 47 (13.9%) |
| GLR | 105.42 ± 76.47 (82.47, 9.33–480.95); mean (median) |
| NLR | 2.60 ± 2.25(2.07, 0.41–22.92); mean (median) |
| PLR | 157.18 ± 81.22 (137.20, 1.26–594.44); mean (median) |
| Tumor location (Head/Body + Tail) | 198 (58.6%)/140 (41.4%) |
| Pathologic tumor size, cm (range) | 2.87 ± 1.20 (2.50, 0.90–7.70); mean (median) |
| Tumor differentiation (Well/Moderate/Poor) | 42 (12.4%)/254 (75.1%)/42 (12.4%) |
| R status (R0/R1) | 292 (86.4%)/46 (13.6%) |
| TNM stage (I//IIA/IIB/III/IV, AJCC, 8th edition) | 122 (36.1%)/13 (3.8%)/101 (29.9%)/97 (28.7%)/5 (1.5%) |
| Adjuvant chemotherapy | 272 (80.5%) |
| Follow-up period, months (range) | 32.16 ± 24.42 (24.07, 1.00–138.17); mean (median) |
| Univariate Analysis | Multivariate Analysis | |||
|---|---|---|---|---|
| Factor | HR (95% CI) | p-Value | HR (95% CI) | p-Value |
| Age > 65 years | 1.388 (0.891–2.164) | 0.147 | ||
| Male sex | 0.906 (0.579–1.420) | 0.667 | ||
| DM | ||||
| None | 1 | 0.101 | ||
| New-onset DM | 0.692 (0.436–1.097) | 0.117 | ||
| Long-standing DM | 1.247 (0.851–1.827) | 0.258 | ||
| Weight loss | 1.477 (0.818–2.669) | 0.196 | ||
| Symptom | 1.821 (1.141–2.908) | 0.012 | 1.582 (0.974–2.568) | 0.064 |
| Jaundice | 1.497 (0.884–2.534) | 0.133 | ||
| Neutrophil count (×106/mL) | 0.981 (0.859–1.120) | 0.775 | ||
| Platelet count (×106/mL) | 1.000 (0.997–1.002) | 0.789 | ||
| Lymphocyte count (×106/mL) | 0.705 (0.506–0.981) | 0.038 | ||
| Serum glucose (mg/dL) | 1.004 (1.001–1.007) | 0.007 | ||
| GLR > 92.72 | 2.888 (1.782–4.681) | <0.001 | 2.475 (1.502–4.078) | <0.001 |
| NLR > 1.06 | 1.880 (0.775–4.562) | 0.163 | ||
| PLR > 133.96 | 1.419 (0.913–2.207) | 0.120 | ||
| CA 19-9 > 145.35 U/mL | 1.994 (1.251–3.180) | 0.004 | 1.577 (0.966–2.572) | 0.068 |
| Image size > 2 cm | 1.674 (1.072–2.615) | 0.024 | ||
| Low GLR (n = 203) | High GLR (n = 135) | p-Value | |
|---|---|---|---|
| Age, years | 62.6 ± 9.97 | 64.6 ± 9.53 | 0.094 |
| Sex, M:F | 125:78 | 76:59 | 0.366 |
| Diabetes mellitus (DM) | <0.001 | ||
| None | 134 (66.0%) | 46 (34.1%) | |
| New-onset DM | 35 (17.2%) | 41 (30.4%) | |
| Long standing DM | 34 (16.7%) | 48 (35.6%) | |
| CA 19-9, U/mL | 271.2 ± 1448.6 | 824.9 ± 1918.7 | 0.003 |
| Type of Surgery | 0.011 | ||
| PD/PPPD | 102 (50.2%) | 87 (64.4%) | |
| Distal pancreatectomy | 96 (47.3%) | 42 (31.1%) | |
| Total pancreatectomy | 5 (2.5%) | 6 (4.4%) | |
| Retrieved LNs | 17.8 ± 10.9 | 18.7 ± 12.4 | 0.487 |
| Tumor size, cm | 2.7 ± 1.1 | 3.1 ± 1.3 | 0.011 |
| Lymphovascular invasion | 76 (37.4%) | 60 (44.4%) | 0.214 |
| Perineural invasion | 148 (73.3%) | 102 (75.6%) | 0.704 |
| Tumor differentiation | 0.659 | ||
| Well | 24 (11.8%) | 18 (13.3%) | |
| Moderate | 156 (76.8%) | 98 (72.6%) | |
| Poor | 23 (11.3%) | 19 (14.1%) | |
| Lymph node metastasis | 0.038 | ||
| No | 100 (49.3%) | 51 (37.8%) | |
| Yes | 103 (50.7%) | 84 (62.2%) | |
| pT stage, AJCC 8th | 0.058 | ||
| T1/2 | 162 (79.8%) | 97 (71.8%) | |
| T3 | 11 (5.4%) | 18 (13.3%) | |
| T4 | 30 (14.8%) | 20 (14.8%) | |
| pN stage, AJCC 8th | 0.083 | ||
| N0 | 100 (49.2%) | 51 (37.8%) | |
| N1 | 73 (36.0%) | 55 (40.7%) | |
| N2 | 30 (14.8%) | 29 (21.5%) | |
| R status | 0.839 | ||
| R0 | 176 (86.7%) | 116 (85.9%) | |
| R1 | 27 (13.3%) | 19 (14.1%) | |
| Adjuvant chemotherapy | 169 (83.3%) | 103 (76.3%) | 0.114 |
| Recurrence | 0.639 | ||
| Local | 33 (29.5%) | 20 (24.7%) | |
| Systemic | 56 (50.0%) | 46 (56.8%) | |
| Both | 23 (20.5%) | 15 (18.5%) | |
| Complication | 123 (60.6%) | 83 (61.5%) | 0.910 |
| Risk Group | N | 1-Year Survival Rate | 3-Year Survival Rate | 5-Year Survival Rate | p-Value | p-Value |
|---|---|---|---|---|---|---|
| Group 1 (Low-risk) | 56 | 0.91 | 0.63 | 0.50 | Ref | |
| Group 2 (Intermediate-risk) | 224 | 0.84 | 0.46 | 0.35 | 0.006 | Ref |
| Group 3 (High-risk) | 58 | 0.71 | 0.19 | 0.12 | <0.001 | <0.001 |
Disclaimer/Publisher’s Note: The statements, opinions and data contained in all publications are solely those of the individual author(s) and contributor(s) and not of MDPI and/or the editor(s). MDPI and/or the editor(s) disclaim responsibility for any injury to people or property resulting from any ideas, methods, instructions or products referred to in the content. |
© 2024 by the authors. Licensee MDPI, Basel, Switzerland. This article is an open access article distributed under the terms and conditions of the Creative Commons Attribution (CC BY) license (https://creativecommons.org/licenses/by/4.0/).
Share and Cite
Park, S.-H.; Kang, I.-C.; Hong, S.-S.; Kim, H.-Y.; Hwang, H.-K.; Kang, C.-M. Glucose-to-Lymphocyte Ratio (GLR) as an Independent Prognostic Factor in Patients with Resected Pancreatic Ductal Adenocarcinoma—Cohort Study. Cancers 2024, 16, 1844. https://doi.org/10.3390/cancers16101844
Park S-H, Kang I-C, Hong S-S, Kim H-Y, Hwang H-K, Kang C-M. Glucose-to-Lymphocyte Ratio (GLR) as an Independent Prognostic Factor in Patients with Resected Pancreatic Ductal Adenocarcinoma—Cohort Study. Cancers. 2024; 16(10):1844. https://doi.org/10.3390/cancers16101844
Chicago/Turabian StylePark, Su-Hyeong, In-Cheon Kang, Seung-Soo Hong, Ha-Yan Kim, Ho-Kyoung Hwang, and Chang-Moo Kang. 2024. "Glucose-to-Lymphocyte Ratio (GLR) as an Independent Prognostic Factor in Patients with Resected Pancreatic Ductal Adenocarcinoma—Cohort Study" Cancers 16, no. 10: 1844. https://doi.org/10.3390/cancers16101844
APA StylePark, S.-H., Kang, I.-C., Hong, S.-S., Kim, H.-Y., Hwang, H.-K., & Kang, C.-M. (2024). Glucose-to-Lymphocyte Ratio (GLR) as an Independent Prognostic Factor in Patients with Resected Pancreatic Ductal Adenocarcinoma—Cohort Study. Cancers, 16(10), 1844. https://doi.org/10.3390/cancers16101844

