Mismatch between Bioluminescence Imaging (BLI) and MRI When Evaluating Glioblastoma Growth: Lessons from a Study Where BLI Suggested “Regression” while MRI Showed “Progression”
Abstract
Simple Summary
Abstract
1. Introduction
2. Materials and Methods
2.1. Glioma Cell Lines and Culture
2.2. GL261 Models and U87MG Model
2.3. Tumor Imaging
2.3.1. Bioluminescence Imaging
2.3.2. Magnetic Resonance Imaging
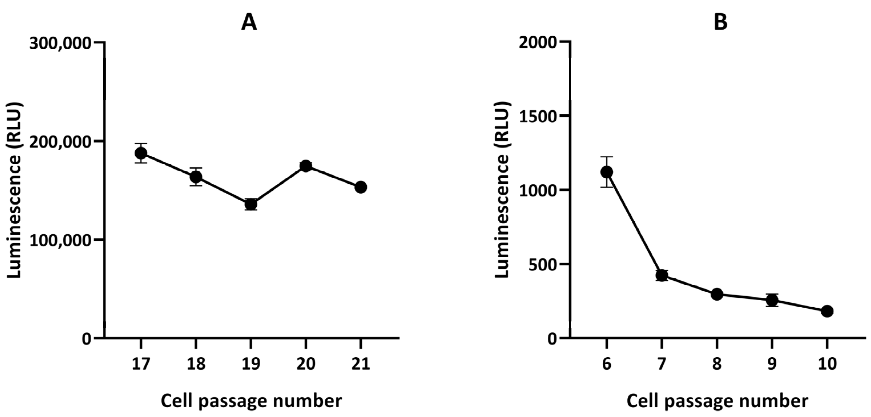
2.4. In vitro Assessment of Luciferase Activity
2.5. Statistical Analyses
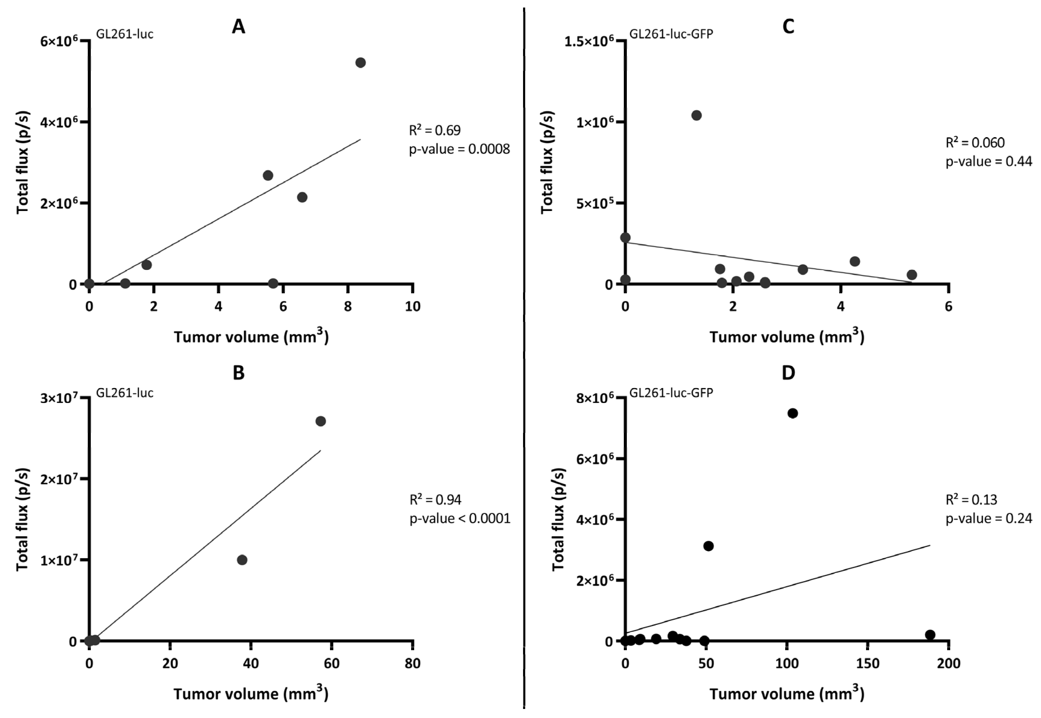
3. Results
4. Discussion
5. Conclusions
Supplementary Materials
Author Contributions
Funding
Institutional Review Board Statement
Informed Consent Statement
Data Availability Statement
Conflicts of Interest
References
- Stupp, R.; Hegi, M.E.; Mason, W.P.; van den Bent, M.J.; Taphoorn, M.J.; Janzer, R.C.; Ludwin, S.K.; Allgeier, A.; Fisher, B.; Belanger, K.; et al. Effects of Radiotherapy with Concomitant and Adjuvant Temozolomide versus Radiotherapy Alone on Survival in Glioblastoma in a Randomised Phase III Study: 5-Year Analysis of the EORTC-NCIC Trial. Lancet Oncol. 2009, 10, 459–466. [Google Scholar] [CrossRef] [PubMed]
- Sharma, A.; Graber, J.J. Overview of Prognostic Factors in Adult Gliomas. Ann. Palliat. Med. 2021, 10, 863–874. [Google Scholar] [CrossRef]
- Bozzato, E.; Bastiancich, C.; Préat, V. Nanomedicine: A Useful Tool against Glioma Stem Cells. Cancers 2020, 13, 9. [Google Scholar] [CrossRef] [PubMed]
- Kijima, N.; Kanemura, Y. Mouse Models of Glioblastoma. In Glioblastoma; De Vleeschouwer, S., Ed.; Codon Publications: Singapore, 2017; pp. 131–139. ISBN 978-0-9944381-2-6. [Google Scholar]
- Mowday, A.M.; Lieuwes, N.G.; Biemans, R.; Marcus, D.; Rezaeifar, B.; Reniers, B.; Verhaegen, F.; Theys, J.; Dubois, L.J. Use of a Luciferase-Expressing Orthotopic Rat Brain Tumor Model to Optimize a Targeted Irradiation Strategy for Efficacy Testing with Temozolomide. Cancers 2020, 12, 1585. [Google Scholar] [CrossRef] [PubMed]
- Puaux, A.-L.; Ong, L.C.; Jin, Y.; Teh, I.; Hong, M.; Chow, P.K.H.; Golay, X.; Abastado, J.-P. A Comparison of Imaging Techniques to Monitor Tumor Growth and Cancer Progression in Living Animals. Int. J. Mol. Imaging 2011, 2011, 321538. [Google Scholar] [CrossRef] [PubMed]
- Koutcher, J.A.; Hux, X.; Xu, S.; Gade, T.P.F.; Leeds, N.; Zhou, X.J.; Zagzag, D.; Holland, E.C. MRI of Mouse Models for Gliomas Shows Similarities to Humans and Can Be Used to Identify Mice for Preclinical Trials. Neoplasia 2002, 4, 480–485. [Google Scholar] [CrossRef]
- Leten, C.; Struys, T.; Dresselaers, T.; Himmelreich, U. In Vivo and Ex Vivo Assessment of the Blood Brain Barrier Integrity in Different Glioblastoma Animal Models. J. Neurooncol. 2014, 119, 297–306. [Google Scholar] [CrossRef] [PubMed]
- Rice, B.W.; Cable, M.D.; Nelson, M.B. In Vivo Imaging of Light-Emitting Probes. J. Biomed. Opt. 2001, 6, 432. [Google Scholar] [CrossRef] [PubMed]
- Sadikot, R.T.; Blackwell, T.S. Bioluminescence Imaging. Proc. Am. Thorac. Soc. 2005, 2, 537–540. [Google Scholar] [CrossRef] [PubMed]
- Badr, C.E. Bioluminescence Imaging: Basics and Practical Limitations. In Bioluminescent Imaging; Badr, C.E., Ed.; Humana Press: Totowa, NJ, USA, 2014; Volume 1098, pp. 1–18. ISBN 978-1-62703-717-4. [Google Scholar]
- Frenster, J.D.; Placantonakis, D.G. Bioluminescent In Vivo Imaging of Orthotopic Glioblastoma Xenografts in Mice. In Glioblastoma; Placantonakis, D.G., Ed.; Springer: New York, NY, USA, 2018; Volume 1741, pp. 191–198. ISBN 978-1-4939-7658-4. [Google Scholar]
- Paroo, Z.; Bollinger, R.A.; Braasch, D.A.; Richer, E.; Corey, D.R.; Antich, P.P.; Mason, R.P. Validating Bioluminescence Imaging as a High-Throughput, Quantitative Modality for Assessing Tumor Burden. Mol. Imaging 2004, 3, 117–124. [Google Scholar] [CrossRef]
- Rehemtulla, A.; Stegman, L.D.; Cardozo, S.J.; Gupta, S.; Hall, D.E.; Contag, C.H.; Ross, B.D. Rapid and Quantitative Assessment of Cancer Treatment Response Using in Vivo Bioluminescence Imaging. Neoplasia 2000, 2, 491–495. [Google Scholar] [CrossRef] [PubMed]
- Souza, T.K.F.; Nucci, M.P.; Mamani, J.B.; da Silva, H.R.; Fantacini, D.M.C.; de Souza, L.E.B.; Picanço-Castro, V.; Covas, D.T.; Vidoto, E.L.; Tannús, A.; et al. Image and Motor Behavior for Monitoring Tumor Growth in C6 Glioma Model. PLoS ONE 2018, 13, e0201453. [Google Scholar] [CrossRef]
- Oh, T.; Fakurnejad, S.; Sayegh, E.T.; Clark, A.J.; Ivan, M.E.; Sun, M.Z.; Safaee, M.; Bloch, O.; James, C.D.; Parsa, A.T. Immunocompetent Murine Models for the Study of Glioblastoma Immunotherapy. J. Transl. Med. 2014, 12, 107. [Google Scholar] [CrossRef] [PubMed]
- Abdelwahab, M.G.; Sankar, T.; Preul, M.C.; Scheck, A.C. Intracranial Implantation with Subsequent 3D in Vivo Bioluminescent Imaging of Murine Gliomas. J. Vis. Exp. 2011, 57, 3403. [Google Scholar] [CrossRef]
- Maes, W.; Deroose, C.; Reumers, V.; Krylyshkina, O.; Gijsbers, R.; Baekelandt, V.; Ceuppens, J.; Debyser, Z.; Van Gool, S.W. In Vivo Bioluminescence Imaging in an Experimental Mouse Model for Dendritic Cell Based Immunotherapy against Malignant Glioma. J. Neurooncol. 2009, 91, 127–139. [Google Scholar] [CrossRef]
- Thompson, J.F.; Hayes, L.S.; Lloyd, D.B. Modulation of firefly luciferase stability and impact on studies of gene regulation. Gene 1991, 103, 171–177. [Google Scholar] [CrossRef] [PubMed]
- Bausart, M.; Vanvarenberg, K.; Ucakar, B.; Lopes, A.; Vandermeulen, G.; Malfanti, A.; Préat, V. Combination of DNA Vaccine and Immune Checkpoint Blockades Improves the Immune Response in an Orthotopic Unresectable Glioblastoma Model. Pharmaceutics 2022, 14, 1025. [Google Scholar] [CrossRef] [PubMed]
- Jacobs, V.L.; Valdes, P.A.; Hickey, W.F.; De Leo, J.A. Current Review of in Vivo GBM Rodent Models: Emphasis on the CNS-1 Tumour Model. ASN Neuro 2011, 3, AN20110014. [Google Scholar] [CrossRef]
- DeAngelis, L.M. Brain Tumors. N. Engl. J. Med. 2001, 344, 114–123. [Google Scholar] [CrossRef] [PubMed]
- Neira, J.A.; Ung, T.H.; Sims, J.S.; Malone, H.R.; Chow, D.S.; Samanamud, J.L.; Zanazzi, G.J.; Guo, X.; Bowden, S.G.; Zhao, B.; et al. Aggressive Resection at the Infiltrative Margins of Glioblastoma Facilitated by Intraoperative Fluorescein Guidance. J. Neurosurg. 2017, 127, 111–122. [Google Scholar] [CrossRef]
- McKelvey, K.J.; Hudson, A.L.; Prasanna Kumar, R.; Wilmott, J.S.; Attrill, G.H.; Long, G.V.; Scolyer, R.A.; Clarke, S.J.; Wheeler, H.R.; Diakos, C.I.; et al. Temporal and Spatial Modulation of the Tumor and Systemic Immune Response in the Murine Gl261 Glioma Model. PLoS ONE 2020, 15, e0226444. [Google Scholar] [CrossRef]
- Fruytier, A.-C.; Magat, J.; Neveu, M.-A.; Karroum, O.; Bouzin, C.; Feron, O.; Jordan, B.; Cron, G.O.; Gallez, B. Dynamic Contrast-Enhanced MRI in Mouse Tumors at 11.7 T: Comparison of Three Contrast Agents with Different Molecular Weights to Assess the Early Effects of Combretastatin A4. NMR Biomed. 2014, 27, 1403–1412. [Google Scholar] [CrossRef] [PubMed]
- Lee, J.; Baird, A.; Eliceiri, B.P. In Vivo Measurement of Glioma-Induced Vascular Permeability. In Permeability Barrier; Turksen, K., Ed.; Humana Press: Totowa, NJ, USA, 2011; Volume 763, pp. 417–422. ISBN 978-1-61779-190-1. [Google Scholar]
- Thorsen, F.; Fite, B.; Mahakian, L.M.; Seo, J.W.; Qin, S.; Harrison, V.; Johnson, S.; Ingham, E.; Caskey, C.; Sundstrøm, T.; et al. Multimodal Imaging Enables Early Detection and Characterization of Changes in Tumor Permeability of Brain Metastases. J. Control. Release 2013, 172, 812–822. [Google Scholar] [CrossRef] [PubMed]
- Bakhsheshian, J.; Wei, B.-R.; Chang, K.-E.; Shukla, S.; Ambudkar, S.V.; Simpson, R.M.; Gottesman, M.M.; Hall, M.D. Bioluminescent Imaging of Drug Efflux at the Blood–Brain Barrier Mediated by the Transporter ABCG2. Proc. Natl. Acad. Sci. USA 2013, 110, 20801–20806. [Google Scholar] [CrossRef] [PubMed]
- Mofford, D.M.; Miller, S.C. Luciferins Behave like Drugs. ACS Chem. Neurosci. 2015, 6, 1273–1275. [Google Scholar] [CrossRef] [PubMed]
- Kim, M.; Gupta, S.K.; Zhang, W.; Talele, S.; Mohammad, A.S.; Laramy, J.; Mladek, A.C.; Zhang, S.; Sarkaria, J.N.; Elmquist, W.F. Factors Influencing Luciferase-Based Bioluminescent Imaging in Preclinical Models of Brain Tumor. Drug Metab. Dispos. 2022, 50, 277–286. [Google Scholar] [CrossRef]
- Park, J.; Kim, C.G.; Shim, J.-K.; Kim, J.H.; Lee, H.; Lee, J.E.; Kim, M.H.; Haam, K.; Jung, I.; Park, S.-H.; et al. Effect of Combined Anti-PD-1 and Temozolomide Therapy in Glioblastoma. OncoImmunology 2019, 8, e1525243. [Google Scholar] [CrossRef]
- Mathios, D.; Kim, J.E.; Mangraviti, A.; Phallen, J.; Park, C.-K.; Jackson, C.M.; Garzon-Muvdi, T.; Kim, E.; Theodros, D.; Polanczyk, M.; et al. Anti-PD-1 Antitumor Immunity Is Enhanced by Local and Abrogated by Systemic Chemotherapy in GBM. Sci. Transl. Med. 2016, 8, 370ra180. [Google Scholar] [CrossRef]
- Kinoh, H.; Quader, S.; Shibasaki, H.; Liu, X.; Maity, A.; Yamasoba, T.; Cabral, H.; Kataoka, K. Translational Nanomedicine Boosts Anti-PD1 Therapy to Eradicate Orthotopic Pten-Negative Glioblastoma. ACS Nano 2020, 14, 10127–10140. [Google Scholar] [CrossRef] [PubMed]
- Harris-Bookman, S.; Mathios, D.; Martin, A.M.; Xia, Y.; Kim, E.; Xu, H.; Belcaid, Z.; Polanczyk, M.; Barberi, T.; Theodros, D.; et al. Expression of LAG-3 and Efficacy of Combination Treatment with Anti-LAG-3 and Anti-PD-1 Monoclonal Antibodies in Glioblastoma: LAG-3 Expression and Therapeutic Effect in Glioblastoma. Int. J. Cancer 2018, 143, 3201–3208. [Google Scholar] [CrossRef]
- Hung, A.L.; Maxwell, R.; Theodros, D.; Belcaid, Z.; Mathios, D.; Luksik, A.S.; Kim, E.; Wu, A.; Xia, Y.; Garzon-Muvdi, T.; et al. TIGIT and PD-1 Dual Checkpoint Blockade Enhances Antitumor Immunity and Survival in GBM. OncoImmunology 2018, 7, e1466769. [Google Scholar] [CrossRef]
- Patel, M.A.; Kim, J.E.; Theodros, D.; Tam, A.; Velarde, E.; Kochel, C.M.; Francica, B.; Nirschl, T.R.; Ghasemzadeh, A.; Mathios, D.; et al. Agonist Anti-GITR Monoclonal Antibody and Stereotactic Radiation Induce Immune-Mediated Survival Advantage in Murine Intracranial Glioma. J. Immunother. Cancer 2016, 4, 28. [Google Scholar] [CrossRef]
- Sanchez, V.E.; Lynes, J.P.; Walbridge, S.; Wang, X.; Edwards, N.A.; Nwankwo, A.K.; Sur, H.P.; Dominah, G.A.; Obungu, A.; Adamstein, N.; et al. GL261 Luciferase-Expressing Cells Elicit an Anti-Tumor Immune Response: An Evaluation of Murine Glioma Models. Sci. Rep. 2020, 10, 11003. [Google Scholar] [CrossRef]
- Tiffen, J.C.; Bailey, C.G.; Ng, C.; Rasko, J.E.; Holst, J. Luciferase Expression and Bioluminescence Does Not Affect Tumor Cell Growth in Vitro or in Vivo. Mol. Cancer 2010, 9, 299. [Google Scholar] [CrossRef] [PubMed]
- Sarraf-Yazdi, S.; Mi, J.; Dewhirst, M.W.; Clary, B.M. Use of in Vivo Bioluminescence Imaging to Predict Hepatic Tumor Burden in Mice. J. Surg. Res. 2004, 120, 249–255. [Google Scholar] [CrossRef] [PubMed]
- Brennan, T.; Lin, L.; Huang, X.; Yang, Y. Generation of Luciferase-Expressing Tumor Cell Lines. BIO-Protocol 2018, 8, 2817. [Google Scholar] [CrossRef] [PubMed]










Disclaimer/Publisher’s Note: The statements, opinions and data contained in all publications are solely those of the individual author(s) and contributor(s) and not of MDPI and/or the editor(s). MDPI and/or the editor(s) disclaim responsibility for any injury to people or property resulting from any ideas, methods, instructions or products referred to in the content. |
© 2023 by the authors. Licensee MDPI, Basel, Switzerland. This article is an open access article distributed under the terms and conditions of the Creative Commons Attribution (CC BY) license (https://creativecommons.org/licenses/by/4.0/).
Share and Cite
Bausart, M.; Bozzato, E.; Joudiou, N.; Koutsoumpou, X.; Manshian, B.; Préat, V.; Gallez, B. Mismatch between Bioluminescence Imaging (BLI) and MRI When Evaluating Glioblastoma Growth: Lessons from a Study Where BLI Suggested “Regression” while MRI Showed “Progression”. Cancers 2023, 15, 1919. https://doi.org/10.3390/cancers15061919
Bausart M, Bozzato E, Joudiou N, Koutsoumpou X, Manshian B, Préat V, Gallez B. Mismatch between Bioluminescence Imaging (BLI) and MRI When Evaluating Glioblastoma Growth: Lessons from a Study Where BLI Suggested “Regression” while MRI Showed “Progression”. Cancers. 2023; 15(6):1919. https://doi.org/10.3390/cancers15061919
Chicago/Turabian StyleBausart, Mathilde, Elia Bozzato, Nicolas Joudiou, Xanthippi Koutsoumpou, Bella Manshian, Véronique Préat, and Bernard Gallez. 2023. "Mismatch between Bioluminescence Imaging (BLI) and MRI When Evaluating Glioblastoma Growth: Lessons from a Study Where BLI Suggested “Regression” while MRI Showed “Progression”" Cancers 15, no. 6: 1919. https://doi.org/10.3390/cancers15061919
APA StyleBausart, M., Bozzato, E., Joudiou, N., Koutsoumpou, X., Manshian, B., Préat, V., & Gallez, B. (2023). Mismatch between Bioluminescence Imaging (BLI) and MRI When Evaluating Glioblastoma Growth: Lessons from a Study Where BLI Suggested “Regression” while MRI Showed “Progression”. Cancers, 15(6), 1919. https://doi.org/10.3390/cancers15061919

