Therapeutic Modifications without Discontinuation of Atezolizumab Plus Bevacizumab Therapy Are Associated with Favorable Overall Survival and Time to Progression in Patients with Unresectable Hepatocellular Carcinoma
Abstract
Simple Summary
Abstract
1. Introduction
2. Patients and Methods
2.1. Patients
2.2. Radiological Diagnosis of HCC
2.3. Practice of Atezo/Bev
2.4. Evaluation of Atezo/Bev
2.5. Relative Dose Intensity (RDI) of Atezo and Bev
2.6. Study Assessment
2.7. Statistical Analysis
3. Results
3.1. Patient Characteristcs
3.2. Outcome of Atezo/Bev
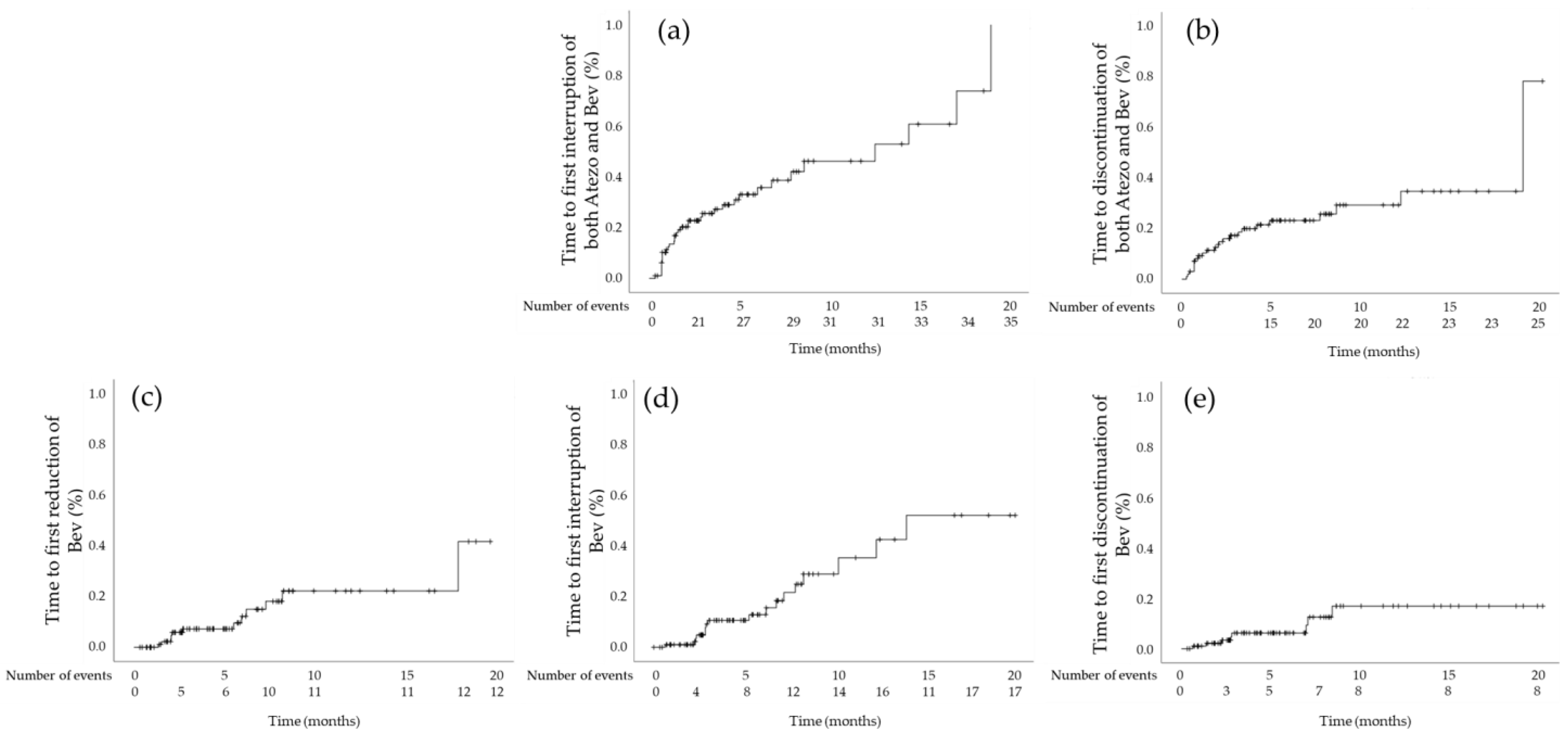
3.3. Therapeutic Modifications, RDI, and AEs of Atezo/Bev
3.4. Factors Associated with OS and Factors Associated with TTP
3.5. Land Mark Analyses of OS and TTP Regarding Best Response and Therapeutic Modifications
3.6. Factors Associated with the Achievement of OR and Discontinuation of Both Atezo and Bev
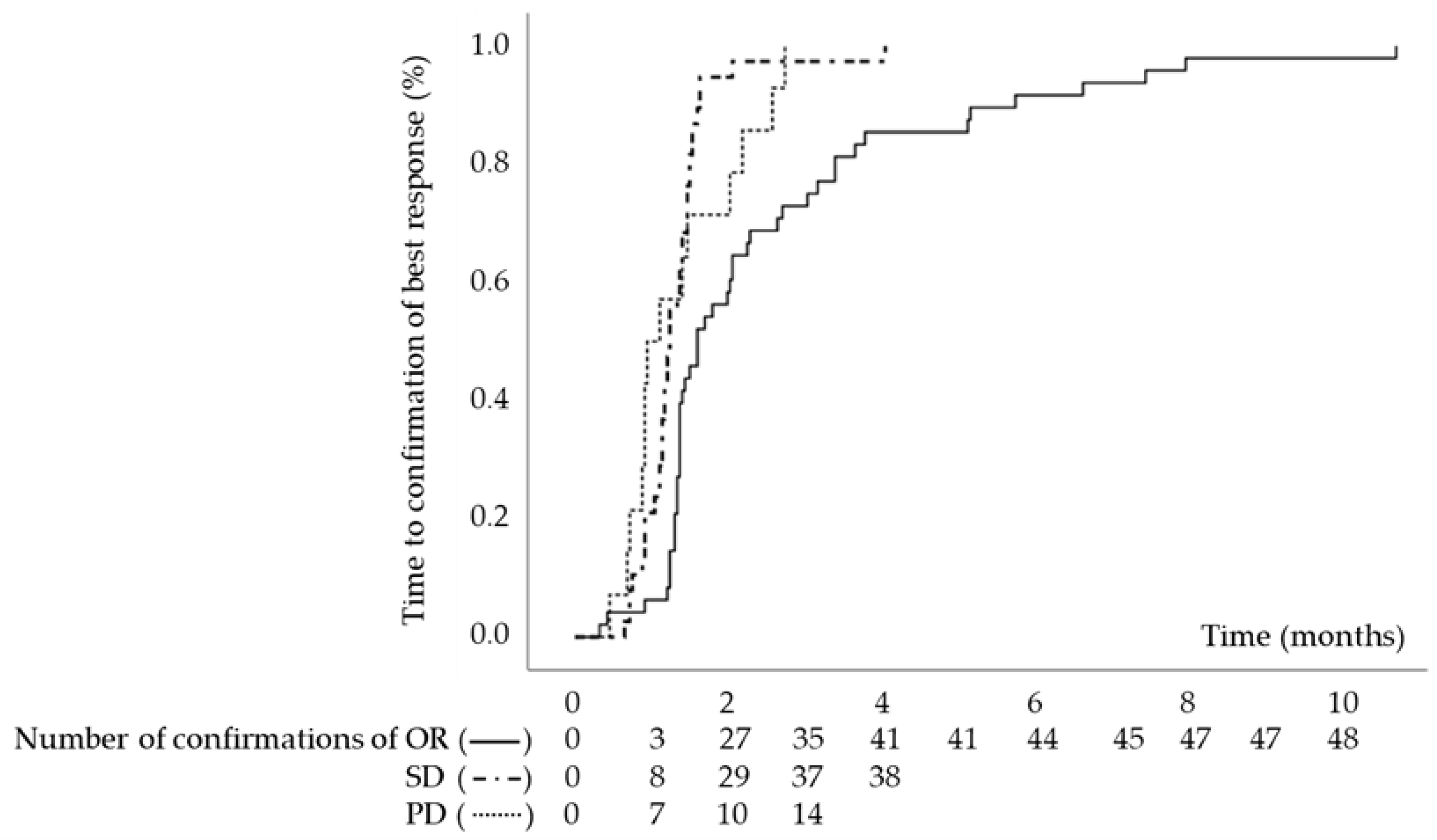
3.7. Relationships between Best Response and RDI, Therapeutic Modification, and AEs during TTP, until TTBR, and after TTBR
4. Discussion
5. Conclusions
Supplementary Materials
Author Contributions
Funding
Institutional Review Board Statement
Informed Consent Statement
Data Availability Statement
Acknowledgments
Conflicts of Interest
Abbreviations
References
- Montironi, C.; Castet, F.; Haber, P.K.; Pinyol, R.; Torres-Martin, M.; Torrens, L.; Mesropian, A.; Wang, H.; Puigvehi, M.; Maeda, M.; et al. Inflamed and non-inflamed classes of HCC: A revised immunogenomic classification. Gut 2022, 72, 129–140. [Google Scholar] [CrossRef]
- Donisi, C.; Puzzoni, M.; Ziranu, P.; Lai, E.; Mariani, S.; Saba, G.; Impera, V.; Dubois, M.; Persano, M.; Migliari, M.; et al. Immune Checkpoint Inhibitors in the Treatment of HCC. Front. Oncol. 2021, 10, 601240. [Google Scholar] [CrossRef] [PubMed]
- Kudo, M. Combination Immunotherapy with Anti-PD-1/PD-L1 Antibody plus Anti-VEGF Antibody May Promote Cytotoxic T Lymphocyte Infiltration in Hepatocellular Carcinoma, Including in the Noninflamed Subclass. Liver Cancer 2022, 11, 185–191. [Google Scholar] [CrossRef] [PubMed]
- Finn, R.S.; Qin, S.; Ikeda, M.; Galle, P.R.; Ducreux, M.; Kim, T.-Y.; Kudo, M.; Breder, V.; Merle, P.; Kaseb, A.O.; et al. Atezolizumab plus Bevacizumab in Unresectable Hepatocellular Carcinoma. N. Engl. J. Med. 2020, 382, 1894–1905. [Google Scholar] [CrossRef] [PubMed]
- Cheng, A.-L.; Qin, S.; Ikeda, M.; Galle, P.R.; Ducreux, M.; Kim, T.-Y.; Lim, H.Y.; Kudo, M.; Breder, V.; Merle, P.; et al. Updated efficacy and safety data from IMbrave150: Atezolizumab plus bevacizumab vs. sorafenib for unresectable hepatocellular carcinoma. J. Hepatol. 2021, 76, 862–873. [Google Scholar] [CrossRef]
- Siegel, A.B.; Cohen, E.I.; Ocean, A.; Lehrer, D.; Goldenberg, A.; Knox, J.J.; Chen, H.; Clark-Garvey, S.; Weinberg, A.; Mandeli, J.; et al. Phase II Trial Evaluating the Clinical and Biologic Effects of Bevacizumab in Unresectable Hepatocellular Carcinoma. J. Clin. Oncol. 2008, 26, 2992–2998. [Google Scholar] [CrossRef]
- D’Alessio, A.; Fulgenzi, C.A.M.; Nishida, N.; Schönlein, M.; von Felden, J.; Schulze, K.; Wege, H.; Gaillard, V.E.; Saeed, A.; Wietharn, B.; et al. Preliminary evidence of safety and tolerability of atezolizumab plus bevacizumab in patients with hepatocellular carcinoma and Child-Pugh A and B cirrhosis: A real-world study. Hepatology 2022, 76, 1000–1012. [Google Scholar] [CrossRef]
- Heimbach, J.K.; Kulik, L.M.; Finn, R.S.; Sirlin, C.B.; Abecassis, M.M.; Roberts, L.R.; Zhu, A.X.; Murad, M.H.; Marrero, J.A. AASLD guidelines for the treatment of hepatocellular carcinoma. Hepatology 2018, 67, 358–380. [Google Scholar] [CrossRef]
- Tokunaga, T.; Tateyama, M.; Tanaka, K.; Narahara, S.; Inada, H.; Kurano, S.; Hayashi, S.; Yoshimaru, Y.; Nagaoka, K.; Watanabe, T.; et al. Optimal management of lenvatinib therapy for patients with unresectable hepatocellular carcinoma by balancing the therapeutic effect with the relative dose intensity. Hepatol. Res. 2021, 52, 105–119. [Google Scholar] [CrossRef]
- Llovet, J.M.; Lencioni, R. mRECIST for HCC: Performance and novel refinements. J. Hepatol. 2020, 72, 288–306. [Google Scholar] [CrossRef]
- European Association for the Study of the Liver. EASL Clinical Practice Guidelines: Management of hepatocellular carcinoma. J. Hepatol. 2018, 69, 182–236. [Google Scholar] [CrossRef]
- Marrero, J.A.; Kulik, L.M.; Sirlin, C.B.; Zhu, A.X.; Finn, R.S.; Abecassis, M.M.; Roberts, L.R.; Heimbach, J.K. Diagnosis, Staging, and Management of Hepatocellular Carcinoma: 2018 Practice Guidance by the American Association for the Study of Liver Diseases. Hepatology 2018, 68, 723–750. [Google Scholar] [CrossRef]
- Renzulli, M.; Brandi, N.; Argalia, G.; Brocchi, S.; Farolfi, A.; Fanti, S.; Golfieri, R. Morphological, dynamic and functional characteristics of liver pseudolesions and benign lesions. La Radiol. Med. 2022, 127, 129–144. [Google Scholar] [CrossRef]
- Kudo, M.; Finn, R.S.; Qin, S.; Han, K.-H.; Ikeda, K.; Piscaglia, F.; Baron, A.; Park, J.-W.; Han, G.; Jassem, J.; et al. Lenvatinib versus sorafenib in first-line treatment of patients with unresectable hepatocellular carcinoma: A randomised phase 3 non-inferiority trial. Lancet 2018, 391, 1163–1173. [Google Scholar] [CrossRef]
- Kudo, M.; Arizumi, T.; Ueshima, K.; Sakurai, T.; Kitano, M.; Nishida, N. Subclassification of BCLC B Stage Hepatocellular Carcinoma and Treatment Strategies: Proposal of Modified Bolondi’s Subclassification (Kinki Criteria). Dig. Dis. 2015, 33, 751–758. [Google Scholar] [CrossRef]
- Hiraoka, A.; Kumada, T.; Atsukawa, M.; Hirooka, M.; Tsuji, K.; Ishikawa, T.; Takaguchi, K.; Kariyama, K.; Itobayashi, E.; Tajiri, K.; et al. Prognostic factor of lenvatinib for unresectable hepatocellular carcinoma in real-world conditions—Multicenter analysis. Cancer Med. 2019, 8, 3719–3728. [Google Scholar] [CrossRef]
- Schneider, B.J.; Naidoo, J.; Santomasso, B.D.; Lacchetti, C.; Adkins, S.; Anadkat, M.; Atkins, M.B.; Brassil, K.J.; Caterino, J.M.; Chau, I.; et al. Management of Immune-Related Adverse Events in Patients Treated With Immune Checkpoint Inhibitor Therapy: ASCO Guideline Update. J. Clin. Oncol. 2021, 39, 4073–4126. [Google Scholar] [CrossRef]
- Shimose, S.; Iwamoto, H.; Tanaka, M.; Niizeki, T.; Kajiwara, M.; Itano, S.; Moriyama, E.; Shirono, T.; Noda, Y.; Kamachi, N.; et al. Association between Adverse Events and Prognosis in Patients with Hepatocellular Carcinoma Treated with Atezolizumab Plus Bevacizumab: A Multicenter Retrospective Study. Cancers 2022, 14, 4284. [Google Scholar] [CrossRef]
- Hatanaka, T.; Hiraoka, A.; Tada, T.; Hirooka, M.; Kariyama, K.; Tani, J.; Atsukawa, M.; Takaguchi, K.; Itobayashi, E.; Fukunishi, S.; et al. Association of early bevacizumab interruption with efficacy of atezolizumab plus bevacizumab for advanced hepatocellular carcinoma: A landmark analysis. Hepatol. Res. 2022, 52, 462–470. [Google Scholar] [CrossRef]
- Kudo, M.; Montal, R.; Finn, R.S.; Castet, F.; Ueshima, K.; Nishida, N.; Haber, P.K.; Hu, Y.; Chiba, Y.; Schwartz, M.; et al. Objective Response Predicts Survival in Advanced Hepatocellular Carcinoma Treated with Systemic Therapies. Clin. Cancer Res. 2021, 28, 3443–3451. [Google Scholar] [CrossRef]
- Salem, R.; Li, D.; Sommer, N.; Hernandez, S.; Verret, W.; Ding, B.; Lencioni, R. Characterization of response to atezolizumab + bevacizumab versus sorafenib for hepatocellular carcinoma: Results from the IMbrave150 trial. Cancer Med. 2021, 10, 5437–5447. [Google Scholar] [CrossRef]
- Weber, J.S.; Hodi, F.S.; Wolchok, J.D.; Topalian, S.L.; Schadendorf, D.; Larkin, J.; Sznol, M.; Long, G.; Li, H.; Waxman, I.M.; et al. Safety Profile of Nivolumab Monotherapy: A Pooled Analysis of Patients With Advanced Melanoma. J. Clin. Oncol. 2017, 35, 785–792. [Google Scholar] [CrossRef]
- Yamada, T.; Minami, T.; Tateishi, R.; Koike, K. Limited efficacy of atezolizumab and bevacizumab for hepatocellular carcinoma previously treated with tyrosine kinase inhibitor. Liver Int. 2021, 41, 2233–2234. [Google Scholar] [CrossRef]
- Llovet, J.M.; Pinyol, R.; Kelley, R.K.; El-Khoueiry, A.; Reeves, H.L.; Wang, X.W.; Gores, G.J.; Villanueva, A. Molecular pathogenesis and systemic therapies for hepatocellular carcinoma. Nat. Cancer 2022, 3, 386–401. [Google Scholar] [CrossRef]
- Bejjani, A.C.; Finn, R.S. Hepatocellular Carcinoma: Pick the Winner—Tyrosine Kinase Inhibitor Versus Immuno-oncology Agent–Based Combinations. J. Clin. Oncol. 2022, 40, 2763–2773. [Google Scholar] [CrossRef]




| Characteristics | Number of Patients (%) |
|---|---|
| Age (≥70 years) | 59 (59.0) |
| Sex (Male) | 84 (84.0) |
| HBs antigen (Positive) | 20 (20.0) |
| HCV antibody (Positive) | 30 (30.0) |
| Alcoholic liver disease (Present) | 35 (35.0) |
| Esophageal varix (Present) | 39 (39.0) |
| Gastric varix (Present) | 7 (7.0) |
| Autoimmune diseases (Present) | 0 (0.0) |
| History of previous curative therapy (Present) | 54 (54.0) |
| History of previous TACE (Present) | 65 (65.0) |
| Child–Pugh class (A/B) | 84 (84.0)/16 (16.0) |
| Modified ALBI grade (1/2a/2b/3) | 29 (29.0)/27 (27.0)/43 (43.0)/1 (1.0) |
| ECOG-PS (0/1) | 86 (86.0)/14 (14.0) |
| BCLC stage (A/B/C) | 3 (3.0)/44 (44.0)/53 (53.0) |
| Maximum tumor size (>6 cm) | 74 (74.0) |
| Tumor number (>6) | 47 (47.0) |
| Intrahepatic tumor volume (≥50%) | 3 (3.0) |
| Macrovascular invasion (Present) | 15 (15.0) |
| Extrahepatic spread (Present) | 41 (41.0) |
| AFP concentration (≥400 ng/mL) | 28 (28.0) |
| Initial dose of atezolizumab (Standard dose) | 100 (100.0) |
| Initial dose of bevacizumab (Reduced dose) | 5 (5.0) |
| Number of chemotherapy lines | |
| First-line | 58 (58.0) |
| Second- or later-line | 42 (42.0) |
| History of sorafenib therapy (Present) | 14 (14.0) |
| History of regorafenib therapy (Present) | 4 (4.0) |
| History of lenvatinib therapy (Present) | 36 (36.0) |
| History of ramucirumab therapy (Present) | 2 (2.0) |
| Therapeutic Modifications and AEs | Best Response, n (%) | p-Value | RDI | Administered Cycles | Number of Events | ||||
|---|---|---|---|---|---|---|---|---|---|
| OR (n = 48) | SD (n = 38) | PD (n = 14) | Atezo | Bev | Atezo | Bev | |||
| Interruption of both Atezo and Bev (n = 35) | 23 (65.7%) | 10 (28.6%) | 2 (5.7%) | 0.024 | 0.75 (0.12–0.92) | 0.67 (0.13–0.90) | 9 (1–20) | 6 (1–18) | 1 (1–10) |
| Until TTBR (n = 17) | 9 (52.9%) | 9 (52.9%) | 2 (11.8%) | 0.90 | 0.75 (0.33–0.88) | 0.62 (0.15–0.86) | 9 (1–20) | 6 (1–18) | 1 (1–10) |
| After TTBR (n = 27) | 21 (77.8%) | 6 (21.2%) | 0 (0.0%) | <0.001 | 0.79 (0.12–0.92) | 0.67 (0.13–0.90) | 9 (2–20) | 8.5 (1–18) | 1 (1–9) |
| Discontinuation of both Atezo and Bev (n = 25) | 11 (44.0%) | 11 (44.0%) | 3 (12.0%) | 0.77 | 0.67 (0.11–1.00) | 0.50 (0.11–1.00) | 2 (1–20) | 2 (1–18) | 1 (1) |
| Until TTBR (n = 12) | 5 (41.7%) | 4 (33.3%) | 3 (25.0%) | 0.40 | 0.43 (0.11–1.00) | 0.41 (0.11–1.00) | 2 (1–12) | 2 (1–12) | 1 (1) |
| After TTBR (n = 13) | 6 (46.2%) | 7 (53.8%) | 0 (0.0%) | 0.69 (0.44–1.00) | 0.69 (0.44–1.00) | 5 (2–20) | 5 (2–18) | 1 (1) | |
| Reduction in Bev dose (n = 12) | 8 (66.7%) | 4 (33.3%) | 0 (0.0%) | 0.23 | 0.87 (0.12–1.00) | 0.47 (0.15–0.91) | 9.5 (3–21) | 6 (3–20) | 1 (1–2) |
| Until TTBR (n = 2) | 2 (100.0%) | 0 (0.0%) | 0 (0.0%) | 0.33 | 0.36 (0.12–0.61) | 0.36 (0.24–0.48) | 8.5 (3–14) | 12 (6–18) | 1 (1) |
| After TTBR (n = 11) | 7 (63.6%) | 4 (36.4%) | 0 (0.0%) | 0.31 | 0.92 (0.12–1.00) | 0.48 (0.15–0.91) | 9 (3–21) | 6 (3–20) | 1 (1–2) |
| Interruption of Bev (n = 17) | 12 (70.6%) | 5 (29.4%) | 0 (0.0%) | 0.066 | 0.89 (0.46–1.00) | 0.67 (0.24–0.85) | 12 (5–21) | 10 (4–20) | 1 (1–6) |
| Until TTBR (n = 4) | 3 (75.0%) | 1 (25.0%) | 0 (0.0%) | 0.50 | 0.80 (0.46–1.00) | 0.39 (0.24–0.70) | 13.5 (5–20) | 9 (4–14) | 1.5 (1–4) |
| After TTBR (n = 14) | 10 (71.4%) | 4 (28.6%) | 0 (0.0%) | 0.10 | 0.88 (0.61–1.00) | 0.71 (0.24–0.85) | 11.5 (7–21) | 9 (4–20) | 1 (1–6) |
| Discontinuation of Bev (n = 8) | 4 (50.0%) | 3 (37.5%) | 1 (12.5%) | 0.99 | 1.00 (0.55–1.00) | 0.41 (0.13–0.83) | 11.5 (4–17) | 4 (1–12) | 1 (1) |
| Until TTBR (n = 3) | 2 (66.7%) | 0 (0.0%) | 1 (33.3%) | 0.47 | 1.00 (0.63–1.00) | 0.33 (0.13–0.50) | 5 (4–12) | 2 (1–4) | 1 (1) |
| After TTBR (n = 5) | 2 (40.0%) | 3 (60.0%) | 0 (0.0%) | 1.00 (0.55–1.00) | 0.48 (0.18–0.83) | 12 (8–17) | 6 (3–12) | 1 (1) | |
| AEs of grade ≥3 (n = 31) | 20 (64.5%) | 10 (32.3%) | 1 (3.2%) | 0.036 | 0.89 (0.12–1.00) | 0.71 (0.13–1.00) | 9 (1–27) | 6 (1–27) | 1 (1–2) |
| Until TTBR (n = 15) | 10 (66.7%) | 4 (26.7%) | 1 (6.7%) | 0.28 | 0.86 (0.12–1.00) | 0.50 (0.13–0.85) | 5 (1–27) | 6 (1–27) | 1 (1) |
| After TTBR (n = 18) | 11 (61.1%) | 7 (38.9%) | 0 (0.0%) | 0.15 | 0.89 (0.33–1.00) | 0.70 (0.13–1.00) | 9.5 (2–17) | 7.0 (1–14) | 1 (1) |
| IrAEs of any grade (n = 31) | 21 (67.7%) | 8 (25.8%) | 2 (6.5%) | 0.027 | 0.75 (0.12–1.00) | 0.69 (0.13–1.00) | 7 (1–20) | 6 (1–18) | 1 (1–2) |
| Until TTBR (n = 17) | 10 (58.8%) | 5 (29.4%) | 2 (11.8%) | 0.62 | 0.71 (0.12–1.00) | 0.75 (0.13–1.00) | 5 (1–13) | 5 (1–18) | 1 (1) |
| After TTBR (n = 15) | 12 (80.0%) | 3 (20.0%) | 0 (0.0%) | 0.021 | 0.75 (0.33–1.00) | 0.75 (0.15–1.00) | 9 (1–20) | 9 (1–18) | 1 (1) |
| AEs other than irAEs of grade ≥ 3 (n = 27) | 17 (63.0%) | 9 (33.3%) | 1 (3.7%) | 0.094 | 0.90 (0.46–1.00) | 0.76 (0.13–1.00) | 9 (1–27) | 7 (1–27) | 1 (1–2) |
| Until TTBR (n = 12) | 8 (66.7%) | 3 (25.0%) | 1 (8.3%) | 0.39 | 0.91 (0.50–1.00) | 0.81 (0.13–1.00) | 5.5 (1–27) | 5.5 (1–27) | 1 (1) |
| After TTBR (n = 17) | 10 (58.8%) | 7 (41.2%) | 0 (0.0%) | 0.18 | 0.89 (0.46–1.00) | 0.71 (0.13–1.00) | 9 (1–27) | 8 (1–27) | 1 (1) |
| Grade of AEs | Therapeutic Modification of Both Atezo and Bev | Therapeutic Modification of Bev | |||||
|---|---|---|---|---|---|---|---|
| Any | ≥3 | Interruption | Discontinuation | Reduction | Interruption | Discontinuation | |
| Immune-related AEs | |||||||
| Rash | 12 | 0 | 0 | 1 | 0 | 0 | 0 |
| Hypothyroidism | 6 | 0 | 0 | 0 | 0 | 0 | 0 |
| Hyperthyroidism | 4 | 0 | 0 | 0 | 0 | 0 | 0 |
| Infusion-related reaction | 4 | 0 | 0 | 0 | 0 | 0 | 0 |
| Pneumonitis | 3 | 1 | 1 | 2 | 0 | 0 | 0 |
| Hepatitis | 3 | 2 | 1 | 2 | 0 | 0 | 0 |
| Adrenal insufficiency | 2 | 0 | 0 | 1 | 0 | 0 | 0 |
| Hypopituitarism | 2 | 1 | 0 | 1 | 0 | 0 | 0 |
| Colitis | 1 | 1 | 2 | 0 | 0 | 0 | 0 |
| Myositis | 1 | 0 | 0 | 1 | 0 | 0 | 0 |
| Sjögren syndrome | 1 | 0 | 1 | 0 | 0 | 0 | 0 |
| AEs other than immune-related AEs | |||||||
| Increase in AST | 48 | 2 | 0 | 0 | 0 | 0 | 0 |
| Hypoalbuminemia | 47 | 1 | 2 | 2 | 0 | 0 | 0 |
| Hypertension | 41 | 9 | 0 | 0 | 0 | 0 | 1 |
| Proteinuria | 40 | 7 | 2 | 0 | 4 | 8 | 6 |
| Fatigue | 38 | 1 | 2 | 2 | 0 | 0 | 0 |
| Decrease in platelet count | 34 | 3 | 1 | 1 | 0 | 0 | 0 |
| Increase in ALT | 28 | 1 | 0 | 0 | 0 | 0 | 0 |
| Anemia | 23 | 0 | 0 | 0 | 0 | 0 | 0 |
| Pruritis | 23 | 0 | 0 | 0 | 0 | 0 | 0 |
| Anorexia | 22 | 1 | 1 | 0 | 3 | 1 | 0 |
| Bleeding or hemorrhage | 19 | 4 | 2 | 0 | 1 | 1 | 0 |
| Ascites | 18 | 1 | 3 | 3 | 1 | 0 | 1 |
| Fever | 16 | 0 | 1 | 2 | 1 | 0 | 0 |
| Decrease in white blood cells | 15 | 5 | 0 | 0 | 0 | 0 | 0 |
| Weight loss | 14 | 0 | 0 | 0 | 0 | 0 | 0 |
| Increase in blood bilirubin | 12 | 0 | 0 | 3 | 1 | 0 | 0 |
| Edema limbs | 10 | 0 | 0 | 1 | 1 | 2 | 1 |
| Diarrhea | 9 | 0 | 0 | 0 | 0 | 0 | 0 |
| Increase in creatinine | 8 | 0 | 0 | 0 | 0 | 0 | 0 |
| Decrease in neutrophil count | 7 | 2 | 0 | 0 | 0 | 0 | 0 |
| Nausea | 5 | 1 | 0 | 0 | 0 | 0 | 0 |
| Infection | 5 | 4 | 4 | 0 | 0 | 1 | 0 |
| Palmar-plantar erythrodysesthesia syndrome | 4 | 0 | 0 | 0 | 0 | 0 | 0 |
| Encephalopathy | 3 | 3 | 0 | 2 | 0 | 0 | 0 |
| Congestive heart failure | 2 | 1 | 1 | 1 | 0 | 0 | 0 |
| Thromboembolic event | 2 | 1 | 0 | 2 | 0 | 0 | 0 |
| Wound dehiscence | 1 | 0 | 0 | 0 | 0 | 1 | 0 |
| Invasive therapy associated with risk of wound healing complications during the administration of Bev | |||||||
| Implantation of a CV access port | - | - | 7 | 0 | 0 | 1 | 0 |
| Operation for bone fracture | - | - | 1 | 0 | 0 | 2 | 0 |
| Therapies for the prevention of esophageal varix rupture | - | - | 1 | 0 | 0 | 1 | 0 |
| Experience of Therapeutic Modification and AEs | Discontinuation of Both Atezo and Bev | Therapeutic Modifications without Discontinuation of Both Atezo and Bev (n = 46) | No Therapeutic Modification (n = 29) | |
|---|---|---|---|---|
| Without (n = 20) | With (n = 5) | |||
| Other Therapeutic Modifications | ||||
| Interruption of both Atezo and Bev (n = 35) | 0 (0.0%) | 3 (8.6%) | 32 (91.4%) | 0 (0.0%) |
| Discontinuation of both Atezo and Bev (n = 25) | 20 (80.0%) | 5 (20.0%) | 0 (0.0%) | 0 (0.0%) |
| Reduction in Bev dose (n = 12) | 0 (0.0%) | 0 (0.0%) | 12 (100.0%) | 0 (0.0%) |
| Interruption of Bev (n = 17) | 0 (0.0%) | 2 (11.8%) | 15 (88.2%) | 0 (0.0%) |
| Discontinuation of Bev (n = 8) | 0 (0.0%) | 1 (12.5%) | 7 (87.5%) | 0 (0.0%) |
| AEs of grade ≥3 (n = 31) | 4 (12.9%) | 4 (12.9%) | 21 (67.7%) | 2 (6.5%) |
| irAEs of any grade (n = 31) | 11 (35.5%) | 3 (9.7%) | 11 (35.5%) | 6 (19.4%) |
| AEs other than irAEs of grade ≥3 (n = 31) | 3 (11.1%) | 4 (14.8%) | 18 (66.7%) | 2 (7.4%) |
| (a) OS | (b) TTP | (c) Achievement of OR | (d) Discontinuation of Both Atezo and Bev Alone | |||||||||||||
|---|---|---|---|---|---|---|---|---|---|---|---|---|---|---|---|---|
| Factors | Median OS (Months) | Uni | Multivariate | Median TTP (Months) | Uni | Multivariate | ORR (%) | Uni | Multivariate | DR (%) | Uni | Multivariate | ||||
| p-Value | Hazard Ratio (95% CI) | p-Value | p-Value | Hazard Ratio (95% CI) | p-Value | p-Value | Odds Ratio (95% CI) | p-Value | p-Value | Odds Ratio (95% CI) | p-Value | |||||
| Age | ||||||||||||||||
| <70 years | 21.90 | 0.18 | 4.83 | 0.070 | 36.6 | 0.057 | 9.8 | 0.040 | 3.57 (1.00–11.21) | 0.051 | ||||||
| ≥70 years | n.r. | 8.19 | 55.9 | 27.1 | ||||||||||||
| Sex | ||||||||||||||||
| Male | 21.90 | 0.30 | 5.79 | 0.37 | 27.4 | 0.35 | 21.4 | 0.41 | ||||||||
| Female | n.r. | 5.00 | 18.8 | 12.5 | ||||||||||||
| HBs antigen | ||||||||||||||||
| Positive | 19. 2 | 0.12 | n.r. | 0.010 | 0.35 | 65.0 | 0.089 | 10.0 | 0.21 | |||||||
| Negative | 21.90 | 5.46 | 43.8 | 22.5 | ||||||||||||
| HCV antibody | ||||||||||||||||
| Positive | n.r. | 0.52 | 5.16 | 0.44 | 50.0 | 0.90 | 26.7 | 0.28 | ||||||||
| Negative | 21.90 | 6.87 | 47.1 | 17.1 | ||||||||||||
| Alcoholic liver disease | ||||||||||||||||
| Present | 21.90 | 0.17 | 5.75 | 0.32 | 42.9 | 0.45 | 12.9 | 0.054 | ||||||||
| Absent | 19.20 | 5.89 | 50.8 | 31.3 | ||||||||||||
| Esophageal varix | ||||||||||||||||
| Present | 19.20 | 0.38 | 4.83 | 0.092 | 46.2 | 0.77 | 20.5 | 0.92 | ||||||||
| Absent | n.r. | 8.06 | 49.2 | 19.7 | ||||||||||||
| Gastric varix | ||||||||||||||||
| Present | 19.20 | 0.88 | 4.41 | 0.38 | 28.6 | 0.29 | 0.0 | 0.17 | ||||||||
| Absent | 21.90 | 5.89 | 49.5 | 20.5 | ||||||||||||
| History of curative therapy | ||||||||||||||||
| Present | n.r. | 0.43 | 6.87 | 0.80 | 44.4 | 0.44 | 18.5 | 0.69 | ||||||||
| Absent | 21.90 | 5.52 | 52.2 | 21.7 | ||||||||||||
| History of TACE | ||||||||||||||||
| Present | 21.90 | 0.76 | 5.75 | 0.35 | 44.6 | 0.36 | 20.0 | 1.00 | ||||||||
| Absent | n.r. | 7.73 | 54.3 | 20.0 | ||||||||||||
| Child–Pugh class | ||||||||||||||||
| A | 21.90 | <0.001 | reference | 0.0030 | 7.33 | 0.0090 | 0.20 | 52.4 | 0.053 | 16.7 | 0.056 | |||||
| B | 7.30 | 4.24 (1.64–10.97) | 2.30 | 25.0. | 37.5 | |||||||||||
| mALBI grade | ||||||||||||||||
| 1 | n.r. | 12.56 | 58.6 | 10.3 | reference | |||||||||||
| 2a | 21.90 | 0.71 | 5.75 | 0.25 | 0.38 | 51.9 | 0.64 | 14.8 | 0.43 | n.a. | 0.18 | |||||
| 2b | n.r. | 0.051 | 4.96 | 0.0020 | . | 0.99 | 37.2 | 0.061 | 30.2 | 0.026 | n.a. | 0.025 | ||||
| 3 | 7.30 | 0.050 | 4.24 | 0.20 | 0.05 | 100.0 | 0.30 | 0.0 | 0.62 | n.a. | 0.79 | |||||
| ECOG-PS | ||||||||||||||||
| 0 | 21.90 | 0.39 | 5.89 | 0.95 | 47.7 | 0.87 | 17.4 | 0.11 | ||||||||
| 1 | n.r. | 5.00 | 50.0 | 35.7 | ||||||||||||
| Maximum tumor size | ||||||||||||||||
| ≤6 cm | 11.47 | 0.013 | 0.36 | 2.66 | 0.21 | 55.4 | 0.015 | reference | 0.033 | 23.1 | 0.65 | |||||
| >6 cm | 21.90 | 6.87 | 26.9 | 0.32 (0.11–0.91) | 18.9 | |||||||||||
| Tumor number | ||||||||||||||||
| ≤6 | n.r. | 0.19 | 8.61 | 0.11 | 56.6 | 0.067 | 14.9 | 0.23 | ||||||||
| >6 | 21.90 | 5.46 | 38.3 | 24.5 | ||||||||||||
| Intrahepatic tumor volume | ||||||||||||||||
| <50% | 21.90 | <0.001 | 9.72 (2.14–44.16) | 0.0030 | 5.89 | 0.0010 | 0.26 | 49.5 | 0.091 | 19.6 | 0.56 | |||||
| ≥50% | 5.39 | reference | 0.92 | 0.0 | 33.3 | |||||||||||
| Macrovascular invasion | ||||||||||||||||
| Present | 19.20 | 0.14 | 4.41 | 0.34 | 20.0 | 0.027 | 0.24 (0.058–0.99) | 0.048 | 26.7 | 0.48 | ||||||
| Absent | n.r. | 6.87 | 52.9 | reference | 18.8 | |||||||||||
| Extrahepatic spread | ||||||||||||||||
| Present | n.r. | 0.10 | 5.00 | 0.94 | 43.9 | 0.49 | 17.1 | 0.54 | ||||||||
| Absent | 21.90 | 6.81 | 50.8 | 22.0 | ||||||||||||
| AFP concentration | ||||||||||||||||
| ≥400 ng/mL | 14.70 | 0.0090 | 0.19 | 3.78 | 0.022 | 0.092 | 28.6 | 0.018 | 0.20 | 19.4 | 0.82 | |||||
| <400 ng/mL | 21.90 | 7.33 | 55.6 | 21.4 | ||||||||||||
| Number of chemotherapy lines | ||||||||||||||||
| First-line | 21.90 | 0.31 | 6.81 | 0.18 | 60.3 | 0.0040 | 3.89 (1.59–9.53) | 0.0020 | 22.4 | 0.48 | ||||||
| Second- or later-line | 19.20 | 4.37 | 31.0 | reference | 16.7 | |||||||||||
| Best response | ||||||||||||||||
| Objective response | n.r. | <0.001 | 0.070 (0.015–0.32) | <0.001 | 10.00 | <0.001 | 0.013 (0.0050–0.037) | <0.001 | 16.7 | |||||||
| Stable disease | 15.35 | 0.0010 | 0.39 (0.14–1.09) | 0.073 | 4.37 | <0.001 | 0.050 (0.021–0.12) | <0.001 | 23.7 | |||||||
| Progressive disease | 5.39 | reference | 0.92 | reference | 21.4 | |||||||||||
| Initial Bev dose | ||||||||||||||||
| Standard dose | 11.24 | 0.31 | 5.89 | 0.30 | 48.4 | 0.71 | 24.2 | 0.43 | ||||||||
| Reduced dose | 21.90 | 3.49 | 40.0 | 40.0 | ||||||||||||
| Experience of therapeutic modifications | During TTP | During TTP | Until TTBR | |||||||||||||
| Discontinuation of both Atezo and Bev alone | 9.63 | 0.21 | 2.72 (1.05–7.07) | 0.040 | 2.53 | 0.17 | 2.78 (1.40–5.51) | 0.0040 | 36.4 | 0.61 | ||||||
| Discontinuation of both Atezo and Bev with other therapeutic modifications† | n.r. | 0.15 | 0.41 (0.050–3.39) | 0.41 | n.r. | 0.016 | 0.27 (0.057–1.28) | 0.098 | 100.0 | 0.14 | ||||||
| Therapeutic modifications other than discontinuation of both Atezo and Bev‡ | n.r. | <0.001 | 0.23 (0.075–0.68) | 0.0080 | 10.0 | 0.0020 | 0.45 (0.24–0.87) | 0.016 | 51.6 | 0.11 | ||||||
| No therapeutic modification | 14.70 | reference | 4.24 | reference | 47.8 | |||||||||||
| IrAEs of any grade | ||||||||||||||||
| Experienced | 21.90 | 0.60 | 8.61 | 0.093 | 58.8 | 0.37 | 35.5 | 0.012 | 3.57 (1.26–10.13) | 0.017 | ||||||
| Not experienced | n.r. | 5.16 | 45.8 | 13.0 | reference | |||||||||||
| AEs other than irAEs | ||||||||||||||||
| Grade ≥ 3 | n.r. | 0.070 | 6.87 | 0.58 | 66.7 | 0.19 | 23.3 | 0.18 | ||||||||
| Grade < 2 | 21.90 | 5.79 | 46.6 | 11.1 | ||||||||||||
| RDI and Cycle | Timing | Best Response | p-Value | ||
|---|---|---|---|---|---|
| OR (n = 48) | SD (n = 38) | PD (n = 14) | |||
| RDI of Atezo | During TTP | 0.88 (0.11–1.00) | 0.96 (0.25–1.00) | 1.00 (0.50–1.00) | 0.069 |
| Until TTBR | 1.00 (0.11–1.00) | 1.00 (0.33–1.00) | 1.00 (0.50–1.00) | 0.66 | |
| After TTBR | 0.84 (0.00–1.00) | 0.80 (0.00–1.00) | n.a. | 0.062 | |
| RDI of Bev | During TTP | 0.70 (0.11–1.00) | 0.76 (0.18–1.00) | 1.00 (0.50–1.00) | 0.016 |
| Until TTBR | 1.00 (0.11–1.00) | 1.00 (0.30–1.00) | 1.00 (0.50–1.00) | 0.94 | |
| After TTBR | 0.69 (0.00–1.00) | 0.80 (0.00–1.00) | n.a. | 0.27 | |
| Number of administered cycles of Atezo | During TTP | 9.0 (1–27) | 5.0 (1–17) | 1.5 (1–4) | <0.001 |
| Until TTBR | 2.5 (1–13) | 2.0 (1–3) | 2.0 (1–4) | <0.001 | |
| After TTBR | 7.0 (0–26) | 3.0 (0–16) | n.a. | <0.001 | |
| Number of administered cycles of Bev | During TTP | 8.0 (1–27) | 4.0 (1–17) | 1.5 (1–3) | <0.001 |
| Until TTBR | 2.0 (1–12) | 2.0 (1–3) | 2.0 (1–4) | 0.001 | |
| After TTBR | 4.0 (0–18) | 3.0 (0–14) | n.a. | <0.001 | |
Disclaimer/Publisher’s Note: The statements, opinions and data contained in all publications are solely those of the individual author(s) and contributor(s) and not of MDPI and/or the editor(s). MDPI and/or the editor(s) disclaim responsibility for any injury to people or property resulting from any ideas, methods, instructions or products referred to in the content. |
© 2023 by the authors. Licensee MDPI, Basel, Switzerland. This article is an open access article distributed under the terms and conditions of the Creative Commons Attribution (CC BY) license (https://creativecommons.org/licenses/by/4.0/).
Share and Cite
Tokunaga, T.; Tateyama, M.; Kondo, Y.; Miuma, S.; Miyase, S.; Tanaka, K.; Narahara, S.; Inada, H.; Kurano, S.; Yoshimaru, Y.; et al. Therapeutic Modifications without Discontinuation of Atezolizumab Plus Bevacizumab Therapy Are Associated with Favorable Overall Survival and Time to Progression in Patients with Unresectable Hepatocellular Carcinoma. Cancers 2023, 15, 1568. https://doi.org/10.3390/cancers15051568
Tokunaga T, Tateyama M, Kondo Y, Miuma S, Miyase S, Tanaka K, Narahara S, Inada H, Kurano S, Yoshimaru Y, et al. Therapeutic Modifications without Discontinuation of Atezolizumab Plus Bevacizumab Therapy Are Associated with Favorable Overall Survival and Time to Progression in Patients with Unresectable Hepatocellular Carcinoma. Cancers. 2023; 15(5):1568. https://doi.org/10.3390/cancers15051568
Chicago/Turabian StyleTokunaga, Takayuki, Masakuni Tateyama, Yasuteru Kondo, Satoshi Miuma, Shiho Miyase, Kentaro Tanaka, Satoshi Narahara, Hiroki Inada, Sotaro Kurano, Yoko Yoshimaru, and et al. 2023. "Therapeutic Modifications without Discontinuation of Atezolizumab Plus Bevacizumab Therapy Are Associated with Favorable Overall Survival and Time to Progression in Patients with Unresectable Hepatocellular Carcinoma" Cancers 15, no. 5: 1568. https://doi.org/10.3390/cancers15051568
APA StyleTokunaga, T., Tateyama, M., Kondo, Y., Miuma, S., Miyase, S., Tanaka, K., Narahara, S., Inada, H., Kurano, S., Yoshimaru, Y., Nagaoka, K., Watanabe, T., Setoyama, H., Fukubayashi, K., Tanaka, M., & Tanaka, Y. (2023). Therapeutic Modifications without Discontinuation of Atezolizumab Plus Bevacizumab Therapy Are Associated with Favorable Overall Survival and Time to Progression in Patients with Unresectable Hepatocellular Carcinoma. Cancers, 15(5), 1568. https://doi.org/10.3390/cancers15051568

