Upfront Advanced Radiotherapy and New Drugs for NSCLC Patients with Synchronous Brain Metastases: Is the Juice Worth the Squeeze? A Real-World Analysis from Lombardy, Italy
Abstract
Simple Summary
Abstract
1. Introduction
2. Methods
2.1. Data Sources
2.2. Cohort Selection
2.3. Baseline Characteristics
2.4. Outcomes
3. Statistical Analyses
Ethical Issues
4. Results
4.1. Patients
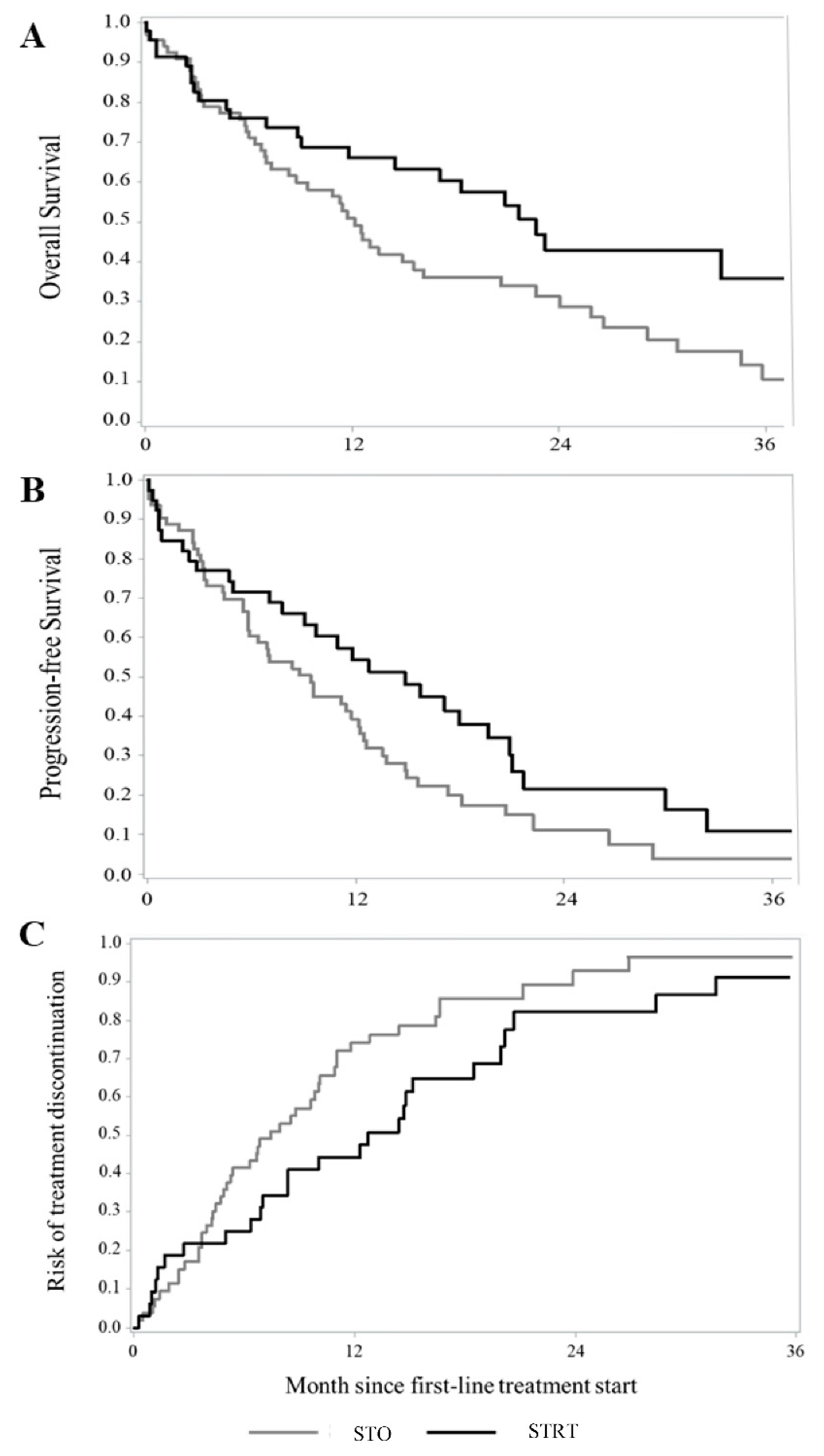
4.2. Survival Analysis
4.3. Healthcare Costs
5. Discussion
6. Conclusions
Supplementary Materials
Author Contributions
Funding
Institutional Review Board Statement
Informed Consent Statement
Data Availability Statement
Conflicts of Interest
Abbreviations
| aNSCLC | Advanced Non-Small-Cell Lung Cancer |
| ASCO | American Society of Clinical Oncology |
| ASTRO | American Society of Radiation Oncology |
| CHC | Cumulative Healtcare Cost |
| CMS | Cancer Multimorbidity Score |
| HCU | Healthcare Utilization |
| HR | Hazard Ratio |
| ICER | Incremental Cost-Effectiveness Ratio |
| NHS | National Health Service |
| NSCLC | Non-small cell lung cancer |
| OS | Overall Survival |
| PFS | Progession Free Survival |
| RCT | Randomized Controlled Trial |
| SNO | Society of Neuro-Oncology |
| STO | Systemic Treatment Only |
| STRT | Systemic Treatment and Radiotherapy |
| TKI | Tyrosine Kinase Inhibitor |
| TTF | Time to Treatment Failure |
References
- Sung, H.; Ferlay, J.; Siegel, R.L.; Laversanne, M.; Soerjomataram, I.; Jemal, A.; Bray, F. Global Cancer Statistics 2020: GLOBOCAN Estimates of Incidence and Mortality Worldwide for 36 Cancers in 185 Countries. CA A Cancer J. Clinicians 2021, 71, 209–249. [Google Scholar] [CrossRef] [PubMed]
- Molina, J.R.; Yang, P.; Cassivi, S.D.; Schild, S.E.; Adjei, A.A. Non-small cell lung cancer: Epidemiology, risk factors, treatment, and survivorship. Mayo Clin. Proc. 2008, 83, 584–594. [Google Scholar] [CrossRef] [PubMed]
- NCCN Guidelines 2022_Non-Small Cell Lung Cancer. Available online: https://jnccn.org/view/journals/jnccn/20/5/article-p497.xml (accessed on 10 December 2022).
- Davis, F.G.; Dolecek, T.A.; McCarthy, B.J.; Villano, J.L. Toward determining the lifetime occurrence of metastatic brain tumors estimated from 2007 United States cancer incidence data. Neuro Oncol. 2012, 14, 1171–1177. [Google Scholar] [CrossRef] [PubMed]
- Waqar, S.N.; Samson, P.P.; Robinson, C.G.; Bradley, J.; Devarakonda, S.; Du, L.; Govindan, R.; Gao, F.; Puri, V.; Morgensztern, D. Non-small-cell Lung Cancer with Brain Metastasis at Presentation. Clin. Lung Cancer 2018, 19, e373–e379. [Google Scholar] [CrossRef]
- Sperduto, P.W.; Mesko, S.; Li, J.; Cagney, D.; Aizer, A.; Lin, N.U.; Nesbit, E.; Kruser, T.J.; Chan, J.; Braunstein, S.; et al. Survival in Patients with Brain Metastases: Summary Report on the Updated Diagnosis-Specific Graded Prognostic Assessment and Definition of the Eligibility Quotient. J. Clin. Oncol. 2020, 38, 3773–3784. [Google Scholar] [CrossRef]
- Vogelbaum, M.A.; Brown, P.D.; Messersmith, H.; Brastianos, P.K.; Burri, S.; Cahill, D.; Dunn, I.F.; Gaspar, L.E.; Gatson, N.T.N.; Gondi, V.; et al. Treatment for Brain Metastases: ASCO-SNO-ASTRO Guideline. J. Clin. Oncol. 2022, 40, 492–516. [Google Scholar] [CrossRef]
- Eichler, A.F.; Chung, E.; Kodack, D.P.; Loeffler, J.S.; Fukumura, D.; Jain, R.K. The biology of brain metastases-translation to new therapies. Nat. Rev. Clin. Oncol. 2011, 8, 344–356. [Google Scholar] [CrossRef]
- Dong, K.; Liang, W.; Zhao, S.; Guo, M.; He, Q.; Li, C.; Song, H.; He, J.; Xia, X. EGFR-TKI plus brain radiotherapy versus EGFR-TKI alone in the management of EGFR-mutated NSCLC patients with brain metastases. Transl. Lung Cancer Res. 2019, 8, 268–279. [Google Scholar] [CrossRef]
- Lehrer, E.J.; Peterson, J.; Brown, P.D.; Sheehan, J.P.; Quiñones-Hinojosa, A.; Zaorsky, N.G.; Trifiletti, D.M. Treatment of brain metastases with stereotactic radiosurgery and immune checkpoint inhibitors: An international meta-analysis of individual patient data. Radiother. Oncol. 2019, 130, 104–112. [Google Scholar] [CrossRef]
- Lu, V.M.; Goyal, A.; Rovin, R.A.; Lee, A.; McDonald, K.L. Concurrent versus non-concurrent immune checkpoint inhibition with stereotactic radiosurgery for metastatic brain disease: A systematic review and meta-analysis. J. Neurooncol. 2019, 141, 1–12. [Google Scholar] [CrossRef]
- Waqar, S.N.; Waqar, S.H.; Trinkaus, K.; Gadea, C.A.; Robinson, C.G.; Bradley, J.; Watson, M.A.; Puri, V.; Govindan, R.; Morgensztern, D. Brain Metastases at Presentation in Patients With Non-Small Cell Lung Cancer. Am. J. Clin. Oncol. 2018, 41, 36–40. [Google Scholar] [CrossRef]
- Wu, Y.L.; Ahn, M.J.; Garassino, M.C.; Han, J.Y.; Katakami, N.; Kim, H.R.; Hodge, R.; Kaur, P.; Brown, A.P.; Ghiorghiu, D.; et al. CNS Efficacy of Osimertinib in Patients with T790M-Positive Advanced Non-Small-Cell Lung Cancer: Data from a Randomized Phase III Trial (AURA3). J. Clin. Oncol. 2018, 36, 2702–2709. [Google Scholar] [CrossRef]
- Goldberg, S.B.; Schalper, K.A.; Gettinger, S.N.; Mahajan, A.; Herbst, R.S.; Chiang, A.C.; Lilenbaum, R.; Wilson, F.H.; Omay, S.B.; Yu, J.B.; et al. Pembrolizumab for management of patients with NSCLC and brain metastases: Long-term results and biomarker analysis from a non-randomised, open-label, phase 2 trial. Lancet Oncol. 2020, 21, 655–663. [Google Scholar] [CrossRef]
- Franchi, M.; Pellegrini, G.; Corrao, G. Effectiveness and Cost-Effectiveness Profile of Second-Line Treatments with Nivolumab, Pembrolizumab and Atezolizumab in Patients with Advanced Non-Small Cell Lung Cancer. Pharmaceuticals 2022, 15, 489. [Google Scholar] [CrossRef]
- Franchi, M.; Cortinovis, D.; Corrao, G. Treatment Patterns, Clinical Outcomes and Healthcare Costs of Advanced Non-Small Cell Lung Cancer: A Real-World Evaluation in Italy. Cancers 2021, 13, 3809. [Google Scholar] [CrossRef]
- Yadav, K.; Lewis, R.J. Immortal Time Bias in Observational Studies. JAMA 2021, 325, 686–687. [Google Scholar] [CrossRef]
- Franchi, M.; Rea, F.; Santucci, C.; La Vecchia, C.; Boffetta, P.; Corrao, G. Developing a multimorbidity prognostic score in elderly patients with solid cancer using administrative databases from Italy. Aging Cancer 2021, 2, 98–104. [Google Scholar] [CrossRef]
- Bang, H.; Tsiatis, A.A. Median regression with censored cost data. Biometrics 2002, 58, 643–649. [Google Scholar] [CrossRef]
- Zhao, L.; Claggett, B.; Tian, L.; Uno, H.; Pfeffer, M.A.; Solomon, S.D.; Trippa, L.; Wei, L.J. On the restricted mean survival time curve in survival analysis. Biometrics 2016, 72, 215–221. [Google Scholar] [CrossRef]
- Wang, H.; Zhao, H. A study on confidence intervals for incremental cost-effectiveness ratios. Biom. J. 2008, 50, 505–514. [Google Scholar] [CrossRef]
- Canivet, C.; Costa, N.; Ory-Magne, F.; Arcari, C.; Mohara, C.; Pourcel, L.; Derumeaux, H.; Bérard, E.; Bourrel, R.; Molinier, L.; et al. Clinical Impact and Cost-Effectiveness of an Education Program for PD Patients: A Randomized Controlled Trial. PLoS ONE 2016, 11, e0162646. [Google Scholar] [CrossRef] [PubMed]
- Eichler, H.-G.; Kong, S.X.; Gerth, W.C.; Mavros, P.; Jönsson, B. Use of cost-effectiveness analysis in health-care resource allocation decision-making: How are cost-effectiveness thresholds expected to emerge? Value Health 2004, 7, 518–528. [Google Scholar] [CrossRef] [PubMed]
- Di Tanna, G.L.; Bychenkova, A.; O’Neill, F.; Wirtz, H.S.; Miller, P.; Hartaigh, B.; Globe, G. Evaluating Cost-Effectiveness Models for Pharmacologic Interventions in Adults with Heart Failure: A Systematic Literature Review. Pharmacoeconomics 2019, 37, 359–389. [Google Scholar] [CrossRef] [PubMed]
- Reck, M.; Rodríguez-Abreu, D.; Robinson, A.G.; Hui, R.; Csőszi, T.; Fülöp, A.; Gottfried, M.; Peled, N.; Tafreshi, A.; Cuffe, S.; et al. Pembrolizumab versus Chemotherapy for PD-L1-Positive Non-Small-Cell Lung Cancer. N. Engl. J. Med. 2016, 375, 1823–1833. [Google Scholar] [CrossRef] [PubMed]
- Mok, T.S.K.; Wu, Y.-L.; Kudaba, I.; Kowalski, D.M.; Cho, B.C.; Turna, H.Z.; Castro, G., Jr.; Srimuninnimit, V.; Laktionov, K.K.; Bondarenko, I.; et al. Pembrolizumab versus chemotherapy for previously untreated, PD-L1-expressing, locally advanced or metastatic non-small-cell lung cancer (KEYNOTE-042): A randomised, open-label, controlled, phase 3 trial. Lancet 2019, 393, 1819–1830. [Google Scholar] [CrossRef]
- Hendriks, L.E.L.; Henon, C.; Auclin, E.; Mezquita, L.; Ferrara, R.; Audigier-Valette, C.; Mazieres, J.; Lefebvre, C.; Rabeau, A.; Le Moulec, S.; et al. Outcome of Patients with Non-Small Cell Lung Cancer and Brain Metastases Treated with Checkpoint Inhibitors. J. Thorac. Oncol. 2019, 14, 1244–1254. [Google Scholar] [CrossRef]
- Hallberg, B.; Palmer, R.H. The role of the ALK receptor in cancer biology. Ann. Oncol. 2016, 27 (Suppl. 3), iii4–iii15. [Google Scholar] [CrossRef]
- Ge, M.; Zhuang, Y.; Zhou, X.; Huang, R.; Liang, X.; Zhan, Q. High probability and frequency of EGFR mutations in non-small cell lung cancer with brain metastases. J. Neurooncol. 2017, 135, 413–418. [Google Scholar] [CrossRef]
- Guérin, A.; Sasane, M.; Zhang, J.; Culver, K.W.; Dea, K.; Nitulescu, R.; Wu, E.Q. Brain metastases in patients with ALK+ non-small cell lung cancer: Clinical symptoms, treatment patterns and economic burden. J. Med. Econ. 2015, 18, 312–322. [Google Scholar] [CrossRef]
- El Shafie, R.; Seidensaal, K.; Bozorgmehr, F.; Kazdal, D.; Eichkorn, T.; Elshiaty, M.; Weber, D.; Allgäuer, M.; König, L.; Lang, K.; et al. Effect of timing, technique and molecular features on brain control with local therapies in oncogene-driven lung cancer. ESMO Open 2021, 6, 100161. [Google Scholar] [CrossRef]
- Badrigilan, S.; Meola, A.; Chang, S.D.; Rezaeian, S.; Nemati, H.; Almasi, T.; Rostampour, N. Stereotactic radiosurgery with immune checkpoint inhibitors for brain metastases: A meta-analysis study. Br. J. Neurosurg. 2022, 1–11. [Google Scholar] [CrossRef]
- Park, S.; Kim, H.; Lee, D.; Kim, K.; Kim, S.-W.; Suh, C.; Lee, J. Efficacy of epidermal growth factor receptor tyrosine kinase inhibitors for brain metastasis in non-small cell lung cancer patients harboring either exon 19 or 21 mutation. Lung Cancer 2012, 77, 556–560. [Google Scholar] [CrossRef]
- Yang, J.J.; Zhou, C.; Huang, Y.; Feng, J.; Lu, S.; Song, Y.; Huang, C.; Wu, G.; Zhang, L.; Cheng, Y.; et al. Icotinib versus whole-brain irradiation in patients with EGFR-mutant non-small-cell lung cancer and multiple brain metastases (BRAIN): A multicentre, phase 3, open-label, parallel, randomised controlled trial. Lancet Respir. Med. 2017, 5, 707–716. [Google Scholar] [CrossRef]
- Soon, Y.Y.; Leong, C.N.; Koh, W.Y.; Tham IW, K. EGFR tyrosine kinase inhibitors versus cranial radiation therapy for EGFR mutant non-small cell lung cancer with brain metastases: A systematic review and meta-analysis. Radiother. Oncol. 2015, 114, 167–172. [Google Scholar] [CrossRef]
- Magnuson, W.J.; Lester-Coll, N.H.; Wu, A.J.; Yang, T.J.; Lockney, N.A.; Gerber, N.K.; Beal, K.; Amini, A.; Patil, T.; Kavanagh, B.D.; et al. Management of Brain Metastases in Tyrosine Kinase Inhibitor-Naïve Epidermal Growth Factor Receptor-Mutant Non-Small-Cell Lung Cancer: A Retrospective Multi-Institutional Analysis. J. Clin. Oncol. 2017, 35, 1070–1077. [Google Scholar] [CrossRef]
- Miyawaki, E.; Kenmotsu, H.; Mori, K.; Harada, H.; Mitsuya, K.; Mamesaya, N.; Kawamura, T.; Kobayashi, H.; Nakashima, K.; Omori, S.; et al. Optimal Sequence of Local and EGFR-TKI Therapy for EGFR-Mutant Non-Small Cell Lung Cancer with Brain Metastases Stratified by Number of Brain Metastases. Int. J. Radiat. Oncol. Biol. Phys. 2019, 104, 604–613. [Google Scholar] [CrossRef]
- Chang, C.-Y.; Chen, C.-Y.; Chang, S.-C.; Lai, Y.-C.; Wei, Y.-F. Efficacy and Prognosis of First-Line EGFR-Tyrosine Kinase Inhibitor Treatment in Older Adults Including Poor Performance Status Patients with EGFR-Mutated Non-Small-Cell Lung Cancer. Cancer Manag. Res. 2021, 13, 7187–7201. [Google Scholar] [CrossRef]
- Sun, Y.; Nowak, K.A.; Zaorsky, N.G.; Winchester, C.-L.; Dalal, K.; Giacalone, N.J.; Liu, N.; Werner-Wasik, M.; Wasik, M.A.; Dicker, A.P.; et al. ALK inhibitor PF02341066 (crizotinib) increases sensitivity to radiation in non-small cell lung cancer expressing EML4-ALK. Mol. Cancer Ther. 2013, 12, 696–704. [Google Scholar] [CrossRef]
- Dai, Y.; Wei, Q.; Schwager, C.; Moustafa, M.; Zhou, C.; Lipson, K.E.; Weichert, W.; Debus, J.; Abdollahi, A. Synergistic effects of crizotinib and radiotherapy in experimental EML4-ALK fusion positive lung cancer. Radiother. Oncol. 2015, 114, 173–181. [Google Scholar] [CrossRef]
- Bonnaud, S.; Niaudet, C.; Pottier, G.; Gaugler, M.-H.; Millour, J.; Barbet, J.; Sabatier, L.; Paris, F. Sphingosine-1-phosphate protects proliferating endothelial cells from ceramide-induced apoptosis but not from DNA damage-induced mitotic death. Cancer Res. 2007, 67, 1803–1811. [Google Scholar] [CrossRef]
- Soffietti, R.; Kocher, M.; Abacioglu, U.M.; Villà, S.; Fauchon, F.; Baumert, B.G.; Fariselli, L.; Tzuk-Shina, T.; Kortmann, R.-D.; Carrie, C.; et al. A European Organisation for Research and Treatment of Cancer phase III trial of adjuvant whole-brain radiotherapy versus observation in patients with one to three brain metastases from solid tumors after surgical resection or radiosurgery: Quality-of-life results. J. Clin. Oncol. 2013, 31, 65–72. [Google Scholar] [PubMed]
- Chiu, C.-H.; Tsai, C.-M.; Chen, Y.-M.; Chiang, S.-C.; Liou, J.-L.; Perng, R.-P. Gefitinib is active in patients with brain metastases from non-small cell lung cancer and response is related to skin toxicity. Lung Cancer 2005, 47, 129–138. [Google Scholar] [CrossRef] [PubMed]
- Zhao, J.; Chen, M.; Zhong, W.; Zhang, L.; Li, L.; Xiao, Y.; Nie, L.; Hu, P.; Wang, M. Cerebrospinal fluid concentrations of gefitinib in patients with lung adenocarcinoma. Clin. Lung Cancer 2013, 14, 188–193. [Google Scholar] [CrossRef] [PubMed]
- Fang, L.; Sun, X.; Song, Y.; Zhang, Y.; Li, F.; Xu, Y.; Ma, S.; Lin, N. Whole-brain radiation fails to boost intracerebral gefitinib concentration in patients with brain metastatic non-small cell lung cancer: A self-controlled, pilot study. Cancer Chemother. Pharmacol. 2015, 76, 873–877. [Google Scholar] [CrossRef]
- Hoffknecht, P.; Tufman, A.; Wehler, T.; Pelzer, T.; Wiewrodt, R.; Schütz, M.; Serke, M.; Stöhlmacher-Williams, J.; Märten, A.; Huber, R.M.; et al. Efficacy of the irreversible ErbB family blocker afatinib in epidermal growth factor receptor (EGFR) tyrosine kinase inhibitor (TKI)-pretreated non-small-cell lung cancer patients with brain metastases or leptomeningeal disease. J. Thorac. Oncol. 2015, 10, 156–163. [Google Scholar] [CrossRef]
- Payen, T.; Trédaniel, J.; Moreau, L.; Larivé, S.; Le Treut, J.; Nocent, C.; Hominal, S.; Grangeon, V.; Bizec, J.-L.; Molinier, O.; et al. Real world data of efficacy and safety of erlotinib as first-line TKI treatment in EGFR mutation-positive advanced non-small cell lung cancer: Results from the EGFR-2013-CPHG study. Respir. Med. Res. 2021, 80, 100795. [Google Scholar] [CrossRef]
- Hochmair, M.J.; Morabito, A.; Hao, D.; Yang, C.-T.; A Soo, R.; Yang, J.C.-H.; Gucalp, R.; Halmos, B.; Märten, A.; Cufer, T. Sequential afatinib and osimertinib in patients with EGFR mutation-positive non-small-cell lung cancer: Final analysis of the GioTag study. Future Oncol. 2020, 16, 2799–2808. [Google Scholar] [CrossRef]
- Gadgeel, S.M.; Gandhi, L.; Riely, G.J.; Chiappori, A.A.; West, H.L.; Azada, M.C.; Morcos, P.N.; Lee, R.M.; Garcia, L.; Yu, L.; et al. Safety and activity of alectinib against systemic disease and brain metastases in patients with crizotinib-resistant ALK-rearranged non-small-cell lung cancer (AF-002JG): Results from the dose-finding portion of a phase 1/2 study. Lancet Oncol. 2014, 15, 1119–1128. [Google Scholar] [CrossRef]
- Costa, D.B.; Shaw, A.T.; Ou, S.-H.I.; Solomon, B.J.; Riely, G.J.; Ahn, M.-J.; Zhou, C.; Shreeve, S.M.; Selaru, P.; Polli, A.; et al. Clinical Experience with Crizotinib in Patients with Advanced ALK-Rearranged Non-Small-Cell Lung Cancer and Brain Metastases. J. Clin. Oncol. 2015, 33, 1881–1888. [Google Scholar] [CrossRef]




| STRT N = 58 | STO N = 119 | p-Value | |
|---|---|---|---|
| Sex | |||
| Male | 31 (53.5) | 48 (40.3) | 0.010 |
| Female | 27 (46.5) | 71 (59.7) | |
| Age categories (years) | |||
| <60 | 20 (34.5) | 30 (25.2) | 0.415 |
| 60–69 | 19 (32.8) | 35 (29.4) | |
| 70–79 | 13 (22.4) | 36 (30.3) | |
| ≥80 | 6 (10.3) | 18 (15.1) | |
| First-line systemic treatment | |||
| Pembrolizumab | 30 (51.7) | 29 (24.4) | <0.001 |
| Tyrosine kinase inhibitors | 28 (48.3) | 90 (75.6) | |
| Surgery | |||
| Yes | 7 (12.1) | 9 (7.6) | 0.327 |
| No | 51 (87.9) | 110 (92.4) | |
| Cancer multimorbidity score | |||
| 0–4 | 22 (37.9) | 34 (28.6) | 0.465 |
| 5–9 | 25 (43.1) | 66 (55.5) | |
| 10–14 | 9 (15.5) | 15 (12.6) | |
| ≥15 | 2 (3.5) | 4 (3.3) | |
| Comorbidities | |||
| Hypertension | 13 (22.4) | 37 (31.1) | 0.229 |
| Diabetes | 5 (8.6) | 13 (10.9) | 0.634 |
| Hyperlipidaemia | 15 (25.9) | 33 (27.7) | 0.793 |
| Renal diseases | 0 (0) | 3 (2.5) | 0.552 |
| Overall Survival | Progression-Free Survival | Time-to-Treatment Failure | ||||
|---|---|---|---|---|---|---|
| N (%) of events | HR * (95% CI) | N (%) of events | HR * (95% CI) | N (%) of events | HR * (95% CI) | |
| First-line treatment | ||||||
| STO | 103 (86.6) | Reference | 109 (91.6) | Reference | 113 (95.0) | Reference |
| STRT | 36 (62.1) | 0.53 (0.35–0.79) | 44 (75.9) | 0.59 (0.40–0.86) | 53 (91.4) | 0.59 (0.41–0.86) |
Disclaimer/Publisher’s Note: The statements, opinions and data contained in all publications are solely those of the individual author(s) and contributor(s) and not of MDPI and/or the editor(s). MDPI and/or the editor(s) disclaim responsibility for any injury to people or property resulting from any ideas, methods, instructions or products referred to in the content. |
© 2023 by the authors. Licensee MDPI, Basel, Switzerland. This article is an open access article distributed under the terms and conditions of the Creative Commons Attribution (CC BY) license (https://creativecommons.org/licenses/by/4.0/).
Share and Cite
Corrao, G.; Franchi, M.; Zaffaroni, M.; Vincini, M.G.; de Marinis, F.; Spaggiari, L.; Orecchia, R.; Marvaso, G.; Jereczek-Fossa, B.A. Upfront Advanced Radiotherapy and New Drugs for NSCLC Patients with Synchronous Brain Metastases: Is the Juice Worth the Squeeze? A Real-World Analysis from Lombardy, Italy. Cancers 2023, 15, 1103. https://doi.org/10.3390/cancers15041103
Corrao G, Franchi M, Zaffaroni M, Vincini MG, de Marinis F, Spaggiari L, Orecchia R, Marvaso G, Jereczek-Fossa BA. Upfront Advanced Radiotherapy and New Drugs for NSCLC Patients with Synchronous Brain Metastases: Is the Juice Worth the Squeeze? A Real-World Analysis from Lombardy, Italy. Cancers. 2023; 15(4):1103. https://doi.org/10.3390/cancers15041103
Chicago/Turabian StyleCorrao, Giulia, Matteo Franchi, Mattia Zaffaroni, Maria Giulia Vincini, Filippo de Marinis, Lorenzo Spaggiari, Roberto Orecchia, Giulia Marvaso, and Barbara Alicja Jereczek-Fossa. 2023. "Upfront Advanced Radiotherapy and New Drugs for NSCLC Patients with Synchronous Brain Metastases: Is the Juice Worth the Squeeze? A Real-World Analysis from Lombardy, Italy" Cancers 15, no. 4: 1103. https://doi.org/10.3390/cancers15041103
APA StyleCorrao, G., Franchi, M., Zaffaroni, M., Vincini, M. G., de Marinis, F., Spaggiari, L., Orecchia, R., Marvaso, G., & Jereczek-Fossa, B. A. (2023). Upfront Advanced Radiotherapy and New Drugs for NSCLC Patients with Synchronous Brain Metastases: Is the Juice Worth the Squeeze? A Real-World Analysis from Lombardy, Italy. Cancers, 15(4), 1103. https://doi.org/10.3390/cancers15041103

