Soluble Hemojuvelin and Ferritin: Potential Prognostic Markers in Pediatric Hematopoietic Cell Transplantation
Abstract
Simple Summary
Abstract
1. Introduction
2. Patients and Methods
3. Results
3.1. Comparison of Laboratory Markers of Iron Metabolism between Four Subgroups of Children
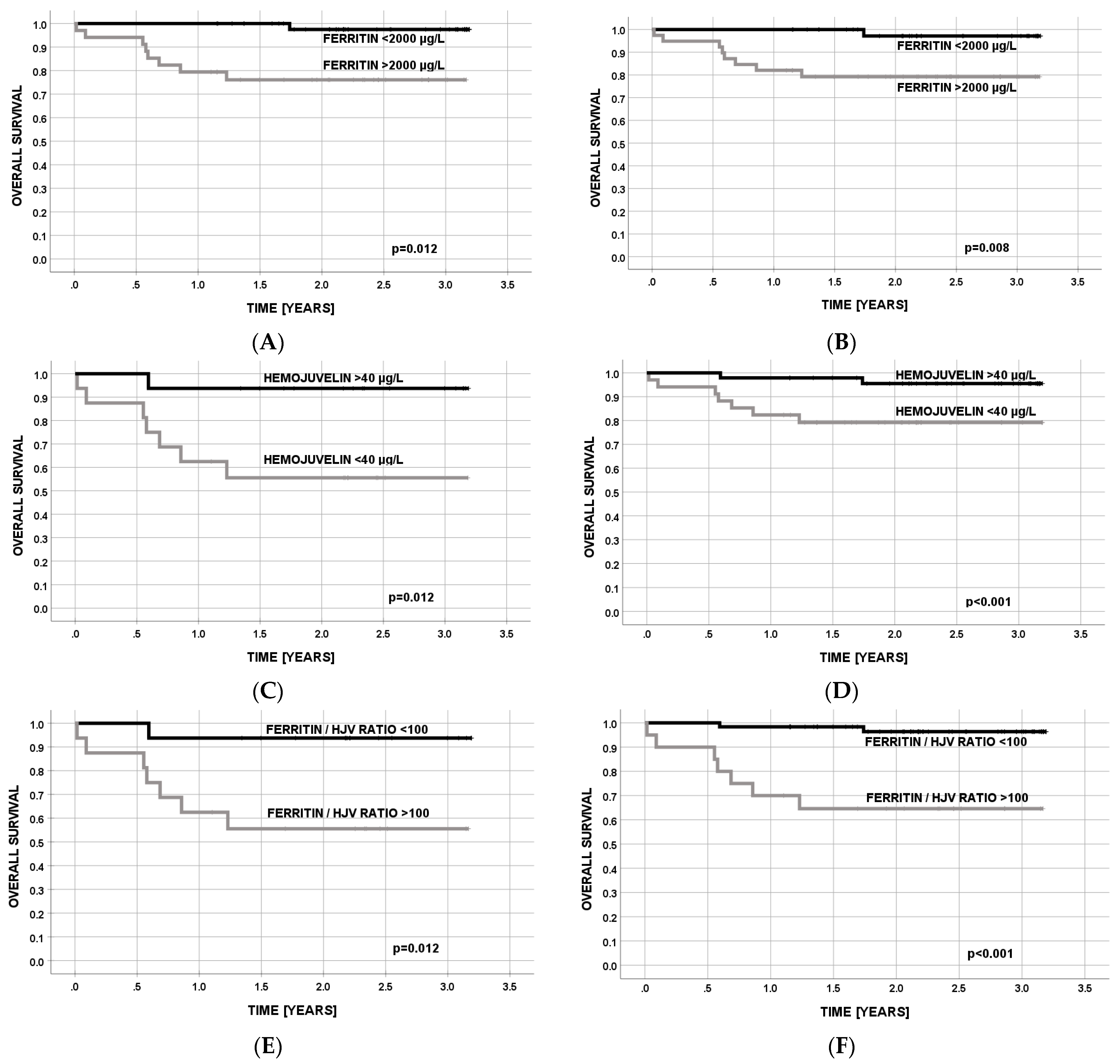
3.2. Impact of Iron Metabolism Parameters on Therapy Outcomes
3.3. Risk Factor Analysis
4. Discussion
5. Conclusions
Supplementary Materials
Author Contributions
Funding
Institutional Review Board Statement
Informed Consent Statement
Data Availability Statement
Acknowledgments
Conflicts of Interest
References
- Ward, E.; DeSantis, C.; Robbins, A.; Kohler, B.; Jemal, A. Childhood and adolescent cancer statistics, 2014. CA Cancer J. Clin. 2014, 64, 83–103. [Google Scholar] [CrossRef]
- Inaba, H.; Pui, C.H. Advances in the Diagnosis and Treatment of Pediatric Acute Lymphoblastic Leukemia. J. Clin. Med. 2021, 10, 1926. [Google Scholar] [CrossRef]
- Butler, E.; Ludwig, K.; Pacenta, H.L.; Klesse, L.J.; Watt, T.C.; Laetsch, T.W. Recent progress in the treatment of cancer in children. CA Cancer J. Clin. 2021, 71, 315–332. [Google Scholar] [CrossRef]
- Reinhardt, D.; Antoniou, E.; Waack, K. Pediatric Acute Myeloid Leukemia-Past, Present, and Future. J. Clin. Med. 2022, 11, 504. [Google Scholar] [CrossRef]
- Duarte, R.F.; Labopin, M.; Bader, P.; Basak, G.W.; Bonini, C.; Chabannon, C.; Corbacioglu, S.; Dreger, P.; Dufour, C.; Gennery, A.R.; et al. Indications for haematopoietic stem cell transplantation for haematological diseases, solid tumours and immune disorders: Current practice in Europe, 2019. Bone Marrow Transplant. 2019, 54, 1525–1552. [Google Scholar] [CrossRef]
- Snowden, J.A.; Sanchez-Ortega, I.; Corbacioglu, S.; Basak, G.W.; Chabannon, C.; de la Camara, R.; Dolstra, H.; Duarte, R.F.; Glass, B.; Greco, R.; et al. Indications for haematopoietic cell transplantation for haematological diseases, solid tumours and immune disorders: Current practice in Europe, 2022. Bone Marrow Transplant. 2022, 57, 1217–1239. [Google Scholar] [CrossRef]
- Coates, T.D. Iron overload in transfusion-dependent patients. Hematol. Am. Soc. Hematol. Educ. Program. 2019, 2019, 337–344. [Google Scholar] [CrossRef]
- Brissot, E.; Bernard, D.G.; Loreal, O.; Brissot, P.; Troadec, M.B. Too much iron: A masked foe for leukemias. Blood Rev. 2020, 39, 100617. [Google Scholar] [CrossRef]
- Majhail, N.S.; Lazarus, H.M.; Burns, L.J. Iron overload in hematopoietic cell transplantation. Bone Marrow Transplant. 2008, 41, 997–1003. [Google Scholar] [CrossRef]
- Armand, P.; Kim, H.T.; Cutler, C.S.; Ho, V.T.; Koreth, J.; Alyea, E.P.; Soiffer, R.J.; Antin, J.H. Prognostic impact of elevated pretransplantation serum ferritin in patients undergoing myeloablative stem cell transplantation. Blood 2007, 109, 4586–4588. [Google Scholar] [CrossRef]
- Lebon, D.; Vergez, F.; Bertoli, S.; Harrivel, V.; De Botton, S.; Micol, J.B.; Marolleau, J.P.; Recher, C. Hyperferritinemia at diagnosis predicts relapse and overall survival in younger AML patients with intermediate-risk cytogenetics. Leuk. Res. 2015, 39, 818–821. [Google Scholar] [CrossRef]
- Meyer, S.C.; O’Meara, A.; Buser, A.S.; Tichelli, A.; Passweg, J.R.; Stern, M. Prognostic impact of posttransplantation iron overload after allogeneic stem cell transplantation. Biol. Blood Marrow Transplant. 2013, 19, 440–444. [Google Scholar] [CrossRef]
- Pullarkat, V.; Blanchard, S.; Tegtmeier, B.; Dagis, A.; Patane, K.; Ito, J.; Forman, S.J. Iron overload adversely affects outcome of allogeneic hematopoietic cell transplantation. Bone Marrow Transplant. 2008, 42, 799–805. [Google Scholar] [CrossRef]
- Wang, F.; Lv, H.; Zhao, B.; Zhou, L.; Wang, S.; Luo, J.; Liu, J.; Shang, P. Iron and leukemia: New insights for future treatments. J. Exp. Clin. Cancer Res. 2019, 38, 406. [Google Scholar] [CrossRef]
- Weber, S.; Parmon, A.; Kurrle, N.; Schnutgen, F.; Serve, H. The Clinical Significance of Iron Overload and Iron Metabolism in Myelodysplastic Syndrome and Acute Myeloid Leukemia. Front. Immunol. 2020, 11, 627662. [Google Scholar] [CrossRef]
- Yan, Z.; Chen, X.; Wang, H.; Chen, Y.; Chen, L.; Wu, P.; Wang, W. Effect of pre-transplantation serum ferritin on outcomes in patients undergoing allogeneic hematopoietic stem cell transplantation: A meta-analysis. Medicine Baltim. 2018, 97, e10310. [Google Scholar] [CrossRef]
- Penack, O.; Peczynski, C.; van der Werf, S.; Finke, J.; Ganser, A.; Schoemans, H.; Pavlu, J.; Niittyvuopio, R.; Schroyens, W.; Kaynar, L.; et al. Association of Serum Ferritin Levels Before Start of Conditioning with Mortality After alloSCT—A Prospective, Non-interventional Study of the EBMT Transplant Complications Working Party. Front. Immunol. 2020, 11, 586. [Google Scholar] [CrossRef]
- Lecka, M.; Slomka, A.; Albrecht, K.; Zekanowska, E.; Romiszewski, M.; Styczynski, J. Unbalance in Iron Metabolism in Childhood Leukemia Converges with Treatment Intensity: Biochemical and Clinical Analysis. Cancers 2021, 13, 3029. [Google Scholar] [CrossRef]
- Bennett, T.D.; Hayward, K.N.; Farris, R.W.; Ringold, S.; Wallace, C.A.; Brogan, T.V. Very high serum ferritin levels are associated with increased mortality and critical care in pediatric patients. Pediatr. Crit. Care Med. 2011, 12, e233–e236. [Google Scholar] [CrossRef]
- Brierley, C.K.; Revuelta Iniesta, R.; Storrar, N.; Thomas, A.E. Hyperferritinemia in Pediatric Acute Lymphoblastic Leukemia: What Does it Mean? J. Pediatr. Hematol. Oncol. 2017, 39, 238. [Google Scholar] [CrossRef]
- Cacciotti, C.; Athale, U. Transfusion-related Iron Overload in Children with Leukemia. J. Pediatr. Hematol. Oncol. 2021, 43, 18–23. [Google Scholar] [CrossRef]
- Yavuz, G.; Unal, E.; Tacyildiz, N.; Kose, S.; Gokce, H.; Gordu, Z.; Pekpak, E.; Aksoy, B.; Ilarslan, E.; Gunay, F.; et al. Comparative Analysis of Iron Metabolism and Its Adjustment Changes at Cancer Patients in Childhood. Iran J. Pediatr. 2017, 27, e10092. [Google Scholar] [CrossRef]
- Łęcka, M.; Czyżewski, K.; Dębski, R.; Wysocki, M.; Styczyński, J. Impact of ferritin serum concentration on survival in children with acute leukemia: A long-term follow-up. Acta Haematol. Pol. 2021, 52, 54–60. [Google Scholar] [CrossRef]
- Di Grazia, A.; Di Fusco, D.; Franze, E.; Colella, M.; Strimpakos, G.; Salvatori, S.; Formica, V.; Laudisi, F.; Maresca, C.; Colantoni, A.; et al. Hepcidin Upregulation in Colorectal Cancer Associates with Accumulation of Regulatory Macrophages and Epithelial-Mesenchymal Transition and Correlates with Progression of the Disease. Cancers 2022, 14, 5294. [Google Scholar] [CrossRef]
- Enns, C.A.; Jue, S.; Zhang, A.S. The ectodomain of matriptase-2 plays an important nonproteolytic role in suppressing hepcidin expression in mice. Blood 2020, 136, 989–1001. [Google Scholar] [CrossRef]
- Enns, C.A.; Jue, S.; Zhang, A.S. Hepatocyte neogenin is required for hemojuvelin-mediated hepcidin expression and iron homeostasis in mice. Blood 2021, 138, 486–499. [Google Scholar] [CrossRef]
- Zhang, A.S.; Gao, J.; Koeberl, D.D.; Enns, C.A. The role of hepatocyte hemojuvelin in the regulation of bone morphogenic protein-6 and hepcidin expression in vivo. J. Biol. Chem. 2010, 285, 16416–16423. [Google Scholar] [CrossRef]
- Slomka, A.; Lecka, M.; Styczynski, J. Hepcidin in Children and Adults with Acute Leukemia or Undergoing Hematopoietic Cell Transplantation: A Systematic Review. Cancers 2022, 14, 4936. [Google Scholar] [CrossRef]
- Penack, O.; Marchetti, M.; Ruutu, T.; Aljurf, M.; Bacigalupo, A.; Bonifazi, F.; Ciceri, F.; Cornelissen, J.; Malladi, R.; Duarte, R.F.; et al. Prophylaxis and management of graft versus host disease after stem-cell transplantation for haematological malignancies: Updated consensus recommendations of the European Society for Blood and Marrow Transplantation. Lancet Haematol. 2020, 7, e157–e167. [Google Scholar] [CrossRef]
- Kanda, J.; Mizumoto, C.; Kawabata, H.; Ichinohe, T.; Tsuchida, H.; Tomosugi, N.; Matsuo, K.; Yamashita, K.; Kondo, T.; Ishikawa, T.; et al. Clinical significance of serum hepcidin levels on early infectious complications in allogeneic hematopoietic stem cell transplantation. Biol. Blood Marrow Transplant. 2009, 15, 956–962. [Google Scholar] [CrossRef]
- Sakamoto, S.; Kawabata, H.; Kanda, J.; Uchiyama, T.; Mizumoto, C.; Kitano, T.; Kondo, T.; Hishizawa, M.; Tomosugi, N.; Takaori-Kondo, A. High pretransplant hepcidin levels are associated with poor overall survival and delayed platelet engraftment after allogeneic hematopoietic stem cell transplantation. Cancer Med. 2017, 6, 120–128. [Google Scholar] [CrossRef]
- Krijt, J.; Frydlova, J.; Gurieva, I.; Prikryl, P.; Bajecny, M.; Steinbicker, A.U.; Vokurka, M.; Truksa, J. Matriptase-2 and Hemojuvelin in Hepcidin Regulation: In Vivo Immunoblot Studies in Mask Mice. Int. J. Mol. Sci. 2021, 22, 2650. [Google Scholar] [CrossRef]
- Shalev, H.; Perez-Avraham, G.; Kapelushnik, J.; Levi, I.; Rabinovich, A.; Swinkels, D.W.; Brasse-Lagnel, C.; Tamary, H. High levels of soluble serum hemojuvelin in patients with congenital dyserythropoietic anemia type I. Eur. J. Haematol. 2013, 90, 31–36. [Google Scholar] [CrossRef]
- Ferro, E.; Di Pietro, A.; Visalli, G.; Piraino, B.; Salpietro, C.; La Rosa, M.A. Soluble hemojuvelin in transfused and untransfused thalassaemic subjects. Eur. J. Haematol. 2017, 98, 67–74. [Google Scholar] [CrossRef]
- Lin, L.; Goldberg, Y.P.; Ganz, T. Competitive regulation of hepcidin mRNA by soluble and cell-associated hemojuvelin. Blood 2005, 106, 2884–2889. [Google Scholar] [CrossRef]
- Babitt, J.L.; Huang, F.W.; Xia, Y.; Sidis, Y.; Andrews, N.C.; Lin, H.Y. Modulation of bone morphogenetic protein signaling in vivo regulates systemic iron balance. J. Clin. Invest. 2007, 117, 1933–1939. [Google Scholar] [CrossRef]
- Andriopoulos, B., Jr.; Corradini, E.; Xia, Y.; Faasse, S.A.; Chen, S.; Grgurevic, L.; Knutson, M.D.; Pietrangelo, A.; Vukicevic, S.; Lin, H.Y.; et al. BMP6 is a key endogenous regulator of hepcidin expression and iron metabolism. Nat. Genet. 2009, 41, 482–487. [Google Scholar] [CrossRef]
- Boga, S.; Alkim, H.; Alkim, C.; Koksal, A.R.; Bayram, M.; Yilmaz Ozguven, M.B.; Tekin Neijmann, S. The Relationship of Serum Hemojuvelin and Hepcidin Levels with Iron Overload in Nonalcoholic Fatty Liver Disease. J. Gastrointestin. Liver Dis. 2015, 24, 293–300. [Google Scholar] [CrossRef]
- Zhang, A.S.; Anderson, S.A.; Meyers, K.R.; Hernandez, C.; Eisenstein, R.S.; Enns, C.A. Evidence that inhibition of hemojuvelin shedding in response to iron is mediated through neogenin. J. Biol. Chem. 2007, 282, 12547–12556. [Google Scholar] [CrossRef]
- Silvestri, L.; Pagani, A.; Fazi, C.; Gerardi, G.; Levi, S.; Arosio, P.; Camaschella, C. Defective targeting of hemojuvelin to plasma membrane is a common pathogenetic mechanism in juvenile hemochromatosis. Blood 2007, 109, 4503–4510. [Google Scholar] [CrossRef]


| Total (%) (n = 137) | Group I (n = 19) | Group II (n = 36) | Group III (n = 50) | Group IV (n = 32) | p-Value | |
|---|---|---|---|---|---|---|
| Controls | AL at Diagnosis | AL after Chemotherapy | After HCT | |||
| Median age (range) years | 8.0 (3.0–18) | 10 (4.2–15) | 8.0 (3–18) | 8.7 (4–17.9) | 8.0 (3–17.9) | 0.234 |
| Age < 10 vs. >10 years (%) | 78 (57%): 59 (43%) | 7 (37%): 12 (63%) | 21 (58%): 15 (42%) | 33 (66%): 17 (34%) | 17 (53%): 15 (47%) | 0.173 |
| Sex Male: Female (%) | 69 (50%): 68 (50%) | 8 (42%): 11 (58%) | 17 (47%): 19 (53%) | 27 (54%): 23 (46%) | 17 (53%): 15 (47%) | 0.798 |
| Diagnosis | ||||||
| ALL (%) | 88 | 0 | 33 | 47 | 8 | <0.001 |
| AML (%) | 20 | 0 | 3 | 3 | 14 | <0.001 |
| Other (%) | 29 | 19 | 0 | 0 | 10 | <0.001 |
| HCT | 32 | 0 | 0 | 0 | 32 | <0.001 |
| Patients after PRBC transfusions | 110 | 0 | 28 | 50 | 32 | <0.001 |
| HCT Patients | HCT and AL after Chemotherapy | |||||
|---|---|---|---|---|---|---|
| Parameter | Below Median | Above Median | p | Below Median | Above Median | p |
| Serum iron | 0.69 ± 0.12 | 0.81 ± 0.09 | 0.413 | 0.86 ± 0.05 | 0.91 ± 0.05 | 0.549 |
| Transferrin | 0.80 ± 0.10 | 0.70 ± 0.11 | 0.501 | 0.90 ± 0.05 | 0.87 ± 0.05 | 0.731 |
| TIBC | 0.69 ± 0.12 | 0.81 ± 0.10 | 0.336 | 0.83 ± 0.07 | 0.91 ± 0.04 | 0.187 |
| Ferritin | 0.97 ± 0.03 | 0.59 ± 0.11 | 0.012 | 0.97 ± 0.03 | 0.79 ± 0.07 | 0.008 |
| FTH1 | 0.79 ± 0.11 | 0.72 ± 0.10 | 0.767 | 0.86 ± 0.05 | 0.90 ± 0.04 | 0.571 |
| FTL | 0.75 ± 0.11 | 0.74 ± 0.11 | 0.968 | 0.86 ± 0.06 | 0.90 ± 0.04 | 0.567 |
| Hepcidin | 0.81 ± 0.10 | 0.69 ± 0.11 | 0.349 | 0.92 ± 0.03 | 0.80 ± 0.08 | 0.066 |
| sHJV | 0.56 ± 0.13 | 0.93 ± 0.06 | 0.012 | 0.75 ± 0.07 | 0.97 ± 0.02 | <0.001 |
| Ferritin/sHJV ratio | 0.93 ± 0.06 | 0.56 ± 0.13 | 0.012 | 0.96 ± 0.02 | 0.65 ± 0.11 | <0.001 |
| FNP | 0.81 ± 0.10 | 0.68 ± 0.12 | 0.393 | 0.91 ± 0.04 | 0.85 ± 0.06 | 0.315 |
| Erythroferrone | 0.75 ± 0.11 | 0.74 ± 0.11 | 0.730 | 0.87 ± 0.05 | 0.90 ± 0.04 | 0.707 |
| EPO | 0.75 ± 0.11 | 0.74 ± 0.11 | 0.908 | 0.85 ± 0.06 | 0.93 ± 0.04 | 0.317 |
| sTfR | 0.75 ± 0.11 | 0.74 ± 0.11 | 0.989 | 0.86 ± 0.06 | 0.89 ± 0.04 | 0.570 |
| CRP | 0.86 ± 0.09 | 0.67 ± 0.11 | 0.207 | 0.94 ± 0.04 | 0.83 ± 0.06 | 0.075 |
| PCT | 0.81 ± 0.10 | 0.68 ± 0.12 | 0.353 | 0.95 ± 0.04 | 0.83 ± 0.06 | 0.073 |
| PRBC transfusions | 0.82 ± 0.09 | 0.67 ± 0.12 | 0.316 | 0.95 ± 0.04 | 0.83 ± 0.06 | 0.063 |
| HCT Patients | HCT and AL after Chemotherapy | |||||
|---|---|---|---|---|---|---|
| Parameter | Below Median | Above Median | p | Below Median | Above Median | p |
| Serum iron | 0.69 ± 0.12 | 0.81 ± 0.10 | 0.426 | 0.85 ± 0.05 | 0.88 ± 0.05 | 0.681 |
| Transferrin | 0.80 ± 0.10 | 0.70 ± 0.11 | 0.518 | 0.90 ± 0.05 | 0.84 ± 0.05 | 0.440 |
| TIBC | 0.69 ± 0.12 | 0.81 ± 0.10 | 0.323 | 0.83 ± 0.07 | 0.88 ± 0.04 | 0.460 |
| Ferritin | 1.00 ± 0.00 | 0.59 ± 0.11 | 0.016 | 0.93 ± 0.04 | 0.79 ± 0.06 | 0.046 |
| FTH1 | 0.78 ± 0.11 | 0.72 ± 0.11 | 0.745 | 0.84 ± 0.06 | 0.88 ± 0.05 | 0.535 |
| FTL | 0.75 ± 0.11 | 0.74 ± 0.11 | 0.951 | 0.85 ± 0.07 | 0.88 ± 0.06 | 0.610 |
| Hepcidin | 0.81 ± 0.10 | 0.69 ± 0.12 | 0.337 | 0.89 ± 0.04 | 0.80 ± 0.08 | 0.200 |
| sHJV | 0.56 ± 0.13 | 0.94 ± 0.06 | 0.018 | 0.75 ± 0.07 | 0.94 ± 0.03 | 0.016 |
| Ferritin/sHJV ratio | 0.94 ± 0.06 | 0.56 ± 0.13 | 0.018 | 0.94 ± 0.03 | 0.64 ± 0.10 | <0.001 |
| FNP | 0.81 ± 0.10 | 0.68 ± 0.12 | 0.455 | 0.88 ± 0.05 | 0.85 ± 0.06 | 0.754 |
| Erythroferrone | 0.75 ± 0.11 | 0.74 ± 0.11 | 0.850 | 0.88 ± 0.05 | 0.85 ± 0.06 | 0.797 |
| EPO | 0.74 ± 0.11 | 0.75 ± 0.11 | 0.992 | 0.83 ± 0.05 | 0.95 ± 0.05 | 0.203 |
| sTfR | 0.75 ± 0.11 | 0.74 ± 0.11 | 0.990 | 0.88 ± 0.05 | 0.85 ± 0.06 | 0.781 |
| CRP | 0.86 ± 0.09 | 0.67 ± 0.11 | 0.246 | 0.90 ± 0.05 | 0.83 ± 0.06 | 0.321 |
| PCT | 0.81 ± 0.10 | 0.68 ± 0.12 | 0.440 | 0.93 ± 0.04 | 0.80 ± 0.06 | 0.098 |
| PRBC transfusions | 0.82 ± 0.09 | 0.67 ± 0.12 | 0.370 | 0.90 ± 0.05 | 0.83 ± 0.06 | 0.308 |
| HCT Patients | HCT and AL after Chemotherapy | |||||
|---|---|---|---|---|---|---|
| Parameter | Below Median | Above Median | p | Below Median | Above Median | p |
| Ferritin | 0.00 ± 0.00 | 0.15 ± 0.08 | 0.162 | 0.93 ± 0.04 | 0.92 ± 0.04 | 0.881 |
| sHJV | 0.13 ± 0.08 | 0.06 ± 0.06 | 0.686 | 0.90 ± 0.05 | 0.94 ± 0.03 | 0.595 |
| Ferritin/sHJV ratio | 0.06 ± 0.06 | 0.13 ± 0.08 | 0.612 | 0.93 ± 0.03 | 0.90 ± 0.07 | 0.597 |
| Parameter | Characteristics | Overall Survival (OS) | p | Event-Free Survival (EFS) | p |
|---|---|---|---|---|---|
| Sex | Male | 0.65 ± 0.12 | 0.166 | 0.65 ± 0.17 | 0.183 |
| Female | 0.87 ± 0.09 | 0.86 ± 0.09 | |||
| Age | <10 | 0.71 ± 0.11 | 0.544 | 0.71 ± 0.11 | 0.493 |
| >10 | 0.80 ± 0.10 | 0.80. ± 0.10 | |||
| Diagnosis | AL | 0.76 ± 0.09 | 0.764 | 0.76 ± 0.09 | 0.722 |
| Other | 0.80 ± 0.13 | 0.80 ± 0.13 | |||
| Disease status | CR1 | 0.85 ± 0.08 | 0.109 | 0.85 ± 0.087 | 0.093 |
| Other | 0.60 ± 0.16 | 0.60 ± 0.15 | |||
| Transplant | First | 0.80 ± 0.08 | 0.571 | 0.80 ± 0.08 | 0.627 |
| Second | 0.67 ± 0.19 | 0.67 ± 0.19 | |||
| Donor | Sibling | 0.80 ± 0.18 | 0.880 | 0.80 ± 0.18 | 0.824 |
| Unrelated | 0.77 ± 0.08 | 0.77 ± 0.08 | |||
| CMV serostatus | Negative | 0.75 ± 0.22 | 0.961 | 0.75 ± 0.22 | 0.969 |
| Positive | 0.76 ± 0.08 | 0.76 ± 0.08 | |||
| Conditioning intensity | Reduced | 0.50 ± 0.20 | 0.083 | 0.50 ± 0.20 | 0.129 |
| Myeloablative | 0.84 ± 0.07 | 0.84 ± 0.07 | |||
| TBI | TBI | 1.00 ± 0.00 | 0.249 | 1.00 ± 0.00 | 0.249 |
| Chemotherapy | 0.71 ± 0.08 | 0.71 ± 0.08 | |||
| Acute GVHD | <II° | 0.74 ± 0.09 | 0.640 | 0.74 ± 0.09 | 0.583 |
| ≥II° | 0.78 ± 0.14 | 0.78 ± 0.14 | |||
| Chronic GVHD | None/limited | 0.73 ± 0.09 | 0.249 | 0.73 ± 0.09 | 0.249 |
| Extensive | 0.83 ± 0.5 | 0.83 ± 0.5 |
| HCT Patients | HCT and AL after Chemotherapy | |||||
|---|---|---|---|---|---|---|
| Parameter | Characteristics | HR (95% CI) | p-Value | Characteristics | HR (95% CI) | p-Value |
| Ferritin | <2000 µg/L | 1 | 0.035 | <2000 µg/L | 1 | 0.048 |
| >2000 µg/L | 3.5 (1.3–28) | >2000 µg/L | 15.8 (1.1–250) | |||
| sHJV | >40 µg/L | 1 | 0.006 | >40 µg/L | 1 | 0.026 |
| <40 µg/L | 12 (1.8–90) | <40 µg/L | 6.5 (1.2–31) | |||
| HCT Patients | HCT and AL after Chemotherapy | |||||
|---|---|---|---|---|---|---|
| Parameter | Characteristics | HR (95% CI) | p-Value | Characteristics | HR (95% CI) | p-Value |
| Ferritin | <2000 µg/L | 1 | 0.049 | <2000 µg/L | 1 | 0.041 |
| >2000 µg/L | 24 (1.1–120) | >2000 µg/L | 4.2 (1.1–16) | |||
| sHJV | >40 µg/L | 1 | 0.043 | >40 µg/L | 1 | 0.026 |
| <40 µg/L | 8.0 (1.2–82) | <40 µg/L | 2.5 (1.2–9.2) | |||
Disclaimer/Publisher’s Note: The statements, opinions and data contained in all publications are solely those of the individual author(s) and contributor(s) and not of MDPI and/or the editor(s). MDPI and/or the editor(s) disclaim responsibility for any injury to people or property resulting from any ideas, methods, instructions or products referred to in the content. |
© 2023 by the authors. Licensee MDPI, Basel, Switzerland. This article is an open access article distributed under the terms and conditions of the Creative Commons Attribution (CC BY) license (https://creativecommons.org/licenses/by/4.0/).
Share and Cite
Styczyński, J.; Słomka, A.; Łęcka, M.; Albrecht, K.; Romiszewski, M.; Pogorzała, M.; Kubicka, M.; Kuryło-Rafińska, B.; Tejza, B.; Gadomska, G.; et al. Soluble Hemojuvelin and Ferritin: Potential Prognostic Markers in Pediatric Hematopoietic Cell Transplantation. Cancers 2023, 15, 1041. https://doi.org/10.3390/cancers15041041
Styczyński J, Słomka A, Łęcka M, Albrecht K, Romiszewski M, Pogorzała M, Kubicka M, Kuryło-Rafińska B, Tejza B, Gadomska G, et al. Soluble Hemojuvelin and Ferritin: Potential Prognostic Markers in Pediatric Hematopoietic Cell Transplantation. Cancers. 2023; 15(4):1041. https://doi.org/10.3390/cancers15041041
Chicago/Turabian StyleStyczyński, Jan, Artur Słomka, Monika Łęcka, Katarzyna Albrecht, Michał Romiszewski, Monika Pogorzała, Małgorzata Kubicka, Beata Kuryło-Rafińska, Barbara Tejza, Grażyna Gadomska, and et al. 2023. "Soluble Hemojuvelin and Ferritin: Potential Prognostic Markers in Pediatric Hematopoietic Cell Transplantation" Cancers 15, no. 4: 1041. https://doi.org/10.3390/cancers15041041
APA StyleStyczyński, J., Słomka, A., Łęcka, M., Albrecht, K., Romiszewski, M., Pogorzała, M., Kubicka, M., Kuryło-Rafińska, B., Tejza, B., Gadomska, G., Kolańska-Dams, E., Michalska, M., & Żekanowska, E. (2023). Soluble Hemojuvelin and Ferritin: Potential Prognostic Markers in Pediatric Hematopoietic Cell Transplantation. Cancers, 15(4), 1041. https://doi.org/10.3390/cancers15041041

