Survival of Testicular Pure Teratoma vs. Mixed Germ Cell Tumor Patients in Primary Tumor Specimens across All Stages
Abstract
Simple Summary
Abstract
1. Introduction
2. Materials and Methods
2.1. Patients
2.2. Statistical Analyses
3. Results
3.1. Descriptive Characteristics
3.2. Overall Survival in the Overall Cohort of Pure Teratoma and Mixed Germ Cell Tumors
3.3. Overall Survival in Pure Teratoma versus Mixed Germ Cell Tumor Patients According to Stage
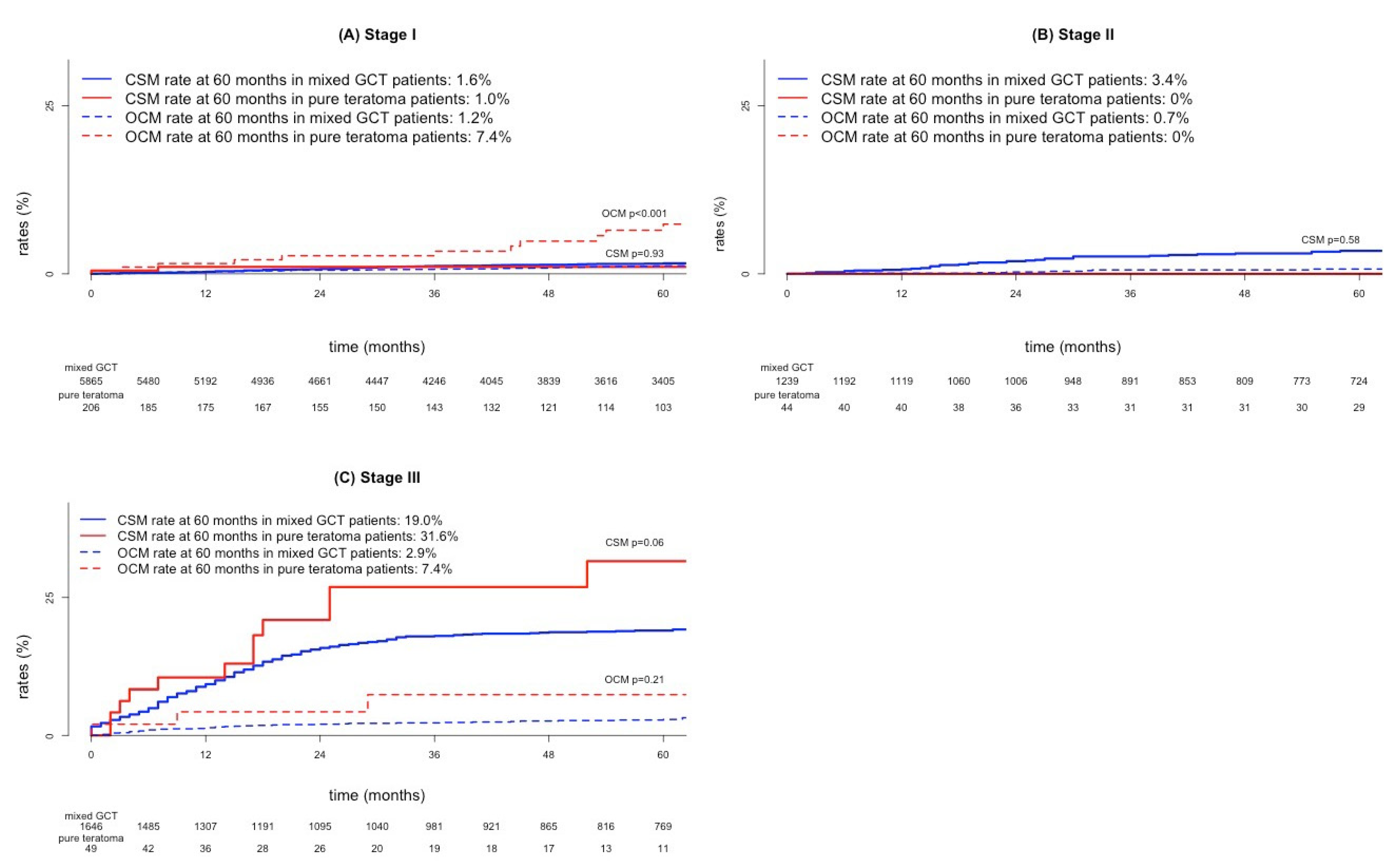
3.4. Cancer-Specific Mortality in Pure Teratoma versus Mixed Germ Cell Tumor Patients According to Stage
3.5. Other-Cause Mortality in Testicular Pure Teratoma Versus Mixed Germ Cell Tumor Patients According to Stage
3.6. Multivariable Competing Risks Regression Models
4. Discussion
5. Conclusions
Author Contributions
Funding
Institutional Review Board Statement
Informed Consent Statement
Data Availability Statement
Acknowledgments
Conflicts of Interest
References
- Stephenson, A.; Eggener, S.E.; Bass, E.B.; Chelnick, D.M.; Daneshmand, S.; Feldman, D.; Gilligan, T.; Karam, J.A.; Leibovich, B.; Liauw, S.L.; et al. Diagnosis and Treatment of Early Stage Testicular Cancer: AUA Guideline. J. Urol. 2019, 202, 272–281. [Google Scholar] [CrossRef]
- Funt, S.A.; Patil, S.; Feldman, D.R.; Motzer, R.J.; Bajorin, D.F.; Sheinfeld, J.; Tickoo, S.K.; Reuter, V.E.; Bosl, G.J. Impact of Teratoma on the Cumulative Incidence of Disease-Related Death in Patients with Advanced Germ Cell Tumors. J. Clin. Oncol. 2019, 37, 2329–2337. [Google Scholar] [CrossRef] [PubMed]
- Taza, F.; Chovanec, M.; Snavely, A.; Hanna, N.H.; Cary, C.; Masterson, T.A.; Foster, R.S.; Einhorn, L.H.; Albany, C.; Adra, N. Prognostic Value of Teratoma in Primary Tumor and Postchemotherapy Retroperitoneal Lymph Node Dissection Specimens in Patients with Metastatic Germ Cell Tumor. J. Clin. Oncol. 2020, 38, 1338–1345. [Google Scholar] [CrossRef]
- Surveillance, Epidemiology, and End Results (SEER) Program (Www.Seer.Cancer.Gov) SEER*Stat Database: Incidence - SEER Research Data, 8 Registries, Nov 2021 Sub (1975–2019) - Linked To County Attributes - Time Dependent (1990–2019) Income/Rurality, 1969–2020 Counties, National Cancer Institute, DCCPS, Surveillance Research Program, Released April 2022, Based on the November 2021 Submission. Available online: www.seer.cancer.gov (accessed on 19 January 2023).
- Gillessen, S.; Sauvé, N.; Collette, L.; Daugaard, G.; de Wit, R.; Albany, C.; Tryakin, A.; Fizazi, K.; Stahl, O.; Gietema, J.A.; et al. Predicting Outcomes in Men with Metastatic Nonseminomatous Germ Cell Tumors (NSGCT): Results from the IGCCCG Update Consortium. J. Clin. Oncol. 2021, 39, 1563–1574. [Google Scholar] [CrossRef] [PubMed]
- R: The R Project for Statistical Computing. Available online: https://www.r-project.org/ (accessed on 12 June 2022).
- Stevens, M.J.; Norman, A.R.; Fisher, C.; Hendry, W.F.; Dearnaley, D.P.; Horwich, A. Prognosis of testicular teratoma differentiated. Br. J. Urol. 1994, 73, 701–706. [Google Scholar] [CrossRef] [PubMed]
- Heidenreich, A.; Moul, J.W.; McLeod, D.G.; Mostofi, F.K.; Engelmann, U.H. The role of retroperitoneal lymphadenectomy in mature teratoma of the testis. J. Urol. 1997, 157, 160–163. [Google Scholar] [CrossRef]
- Simmonds, P.D.; Lee, A.H.; Theaker, J.M.; Tung, K.; Smart, C.J.; Mead, G.M. Primary pure teratoma of the testis. J. Urol. 1996, 155, 939–942. [Google Scholar] [CrossRef]
- Leibovitch, Z.; Foster, R.S.; Ulbrighf, T.; Donohue, J.P. Adult Primary Pure Teratoma of the Testis the Indiana Experience. Cancer 1995, 75, 2244–2250. [Google Scholar] [CrossRef]
- Rabbani, F.; Farivar-Mohseni, H.; Leon, A.; Motzer, R.J.; Bosl, G.J.; Sheinfeld, J. Clinical outcome after retroperitoneal lymphadenectomy of patients with pure testicular teratoma. Urology 2003, 62, 1092–1096. [Google Scholar] [CrossRef]
- Agnarsson, B.A.; Gudbjartsson, T.; Einarsson, G.V.; Magnusson, K.; Thoroddsen, A.; Bergthorsson, J.T.; Amundadottir, L.; Barkardottir, R.B.; Björnsson, J. Testicular germ cell tumours in Iceland. Acta Pathol. Microbiol. Scand. 2006, 114, 779–783. [Google Scholar] [CrossRef]
- Oruc, Z.; Ebinç, S.; Kaplan, M.A. Rare Tumours of the Testis: Twelve Years of Experience. Prague Med. Rep. 2020, 121, 181–193. [Google Scholar] [CrossRef] [PubMed]
- Haugnes, H.S.; Bosl, G.J.; Boer, H.; Gietema, J.A.; Brydøy, M.; Oldenburg, J.; Dahl, A.A.; Bremnes, R.M.; Fosså, S.D. Long-term and late effects of germ cell testicular cancer treatment and implications for follow-up. J. Clin. Oncol. 2012, 30, 3752–3763. [Google Scholar] [CrossRef] [PubMed]
- Van den Belt-Dusebout, A.W.; de Wit, R.; Gietema, J.A.; Horenblas, S.; Louwman, M.W.; Ribot, J.G.; Hoekstra, H.J.; Ouwens, G.M.; Aleman, B.M.; van Leeuwen, F.E. Treatment-specific risks of second malignancies and cardiovascular disease in 5-year survivors of testicular cancer. J. Clin. Oncol. 2007, 25, 4370–4378. [Google Scholar] [CrossRef] [PubMed]
- Abouassaly, R.; Fossa, S.D.; Giwercman, A.; Kollmannsberger, C.; Motzer, R.J.; Schmoll, H.-J.; Sternberg, C.N. Sequelae of treatment in long-term survivors of testis cancer. Eur. Urol. 2011, 60, 516–526. [Google Scholar] [CrossRef]
- Tandstad, T.; Ståhl, O.; Håkansson, U.; Dahl, O.; Haugnes, H.S.; Klepp, O.H.; Langberg, C.W.; Laurell, A.; Oldenburg, J.; Solberg, A.; et al. One course of adjuvant BEP in clinical stage I nonseminoma mature and expanded results from the SWENOTECA group. Ann. Oncol. 2014, 25, 2167–2172. [Google Scholar] [CrossRef]
- Cullen, M.; Huddart, R.; Joffe, J.; Gardiner, D.; Maynard, L.; Hutton, P.; Mazhar, D.; Shamash, J.; Wheater, M.; White, J.; et al. The 111 Study: A Single-arm, Phase 3 Trial Evaluating One Cycle of Bleomycin, Etoposide, and Cisplatin as Adjuvant Chemotherapy in High-risk, Stage 1 Nonseminomatous or Combined Germ Cell Tumours of the Testis. Eur. Urol. 2020, 77, 344–351. [Google Scholar] [CrossRef]
- Hiester, A.; Fingerhut, A.; Niegisch, G.; Siener, R.; Krege, S.; Schmelz, H.-U.; Dieckmann, K.-P.; Heidenreich, A.; Kwasny, P.; Pechoel, M.; et al. Late toxicities and recurrences in patients with clinical stage I non-seminomatous germ cell tumours after 1 cycle of adjuvant bleomycin, etoposide and cisplatin versus primary retroperitoneal lymph node dissection—A 13-year follow-up analysis of a phase III trial cohort. Eur. J. Cancer 2021, 155, 64–72. [Google Scholar] [CrossRef]
- Vidal, A.D.; Thalmann, G.N.; Karamitopoulou-Diamantis, E.; Fey, M.F.; Studer, U.E. Long-term outcome of patients with clinical stage I high-risk nonseminomatous germ-cell tumors 15 years after one adjuvant cycle of bleomycin, etoposide, and cisplatin chemotherapy. Ann. Oncol. 2015, 26, 374–377. [Google Scholar] [CrossRef]
- Pierorazio, P.M.; Cheaib, J.G.; Patel, H.D.; Gupta, M.; Sharma, R.; Zhang, A.; Tema, G.; Bass, E.B. Comparative Effectiveness of Surveillance, Primary Chemotherapy, Radiotherapy and Retroperitoneal Lymph Node Dissection for the Management of Early Stage Testicular Germ Cell Tumors: A Systematic Review. J. Urol. 2021, 205, 370–382. [Google Scholar] [CrossRef]
- Westermann, D.H.; Schefer, H.; Thalmann, G.N.; Karamitopoulou-Diamantis, E.; Fey, M.F.; Studer, U.E. Long-Term Followup Results of 1 Cycle of Adjuvant Bleomycin, Etoposide and Cisplatin Chemotherapy for High Risk Clinical Stage I Nonseminomatous Germ Cell Tumors of the Testis. J. Urol. 2008, 179, 163–166. [Google Scholar] [CrossRef]
- Dieckmann, K.-P.; Pokrivcak, T.; Geczi, L.; Niehaus, D.; Dralle-Filiz, I.; Matthies, C.; Dienes, T.; Zschäbitz, S.; Paffenholz, P.; Gschliesser, T.; et al. Single-course bleomycin, etoposide, and cisplatin (1xBEP) as adjuvant treatment in testicular nonseminoma clinical stage 1: Outcome, safety, and risk factors for relapse in a population-based study. Ther. Adv. Med. Oncol. 2022, 14, 17588359221086813. [Google Scholar] [CrossRef] [PubMed]
- Fischer, S.; Tandstad, T.; Cohn-Cedermark, G.; Thibault, C.; Vincenzi, B.; Klingbiel, D.; Albany, C.; Necchi, A.; Terbuch, A.; Lorch, A.; et al. Outcome of Men with Relapses After Adjuvant Bleomycin, Etoposide, and Cisplatin for Clinical Stage I Nonseminoma. J. Clin. Oncol. 2019, 38, 1322–1331. [Google Scholar] [CrossRef] [PubMed]
- Cary, C.; Kern, S.Q.; Jacob, J.M.; Calaway, A.C.; Foster, R.S.; Einhorn, L.H. Management of Metastatic Pure Teratoma in Chemotherapy Naive Patients with Testicular Primaries. Am. J. Clin. Oncol. Cancer Clin. Trials 2020, 43, 690–693. [Google Scholar] [CrossRef] [PubMed]
- Woldu, S.L.; Matulay, J.T.; Clinton, T.N.; Singla, N.; Krabbe, L.-M.; Hutchinson, R.C.; Sagalowsky, A.; Lotan, Y.; Margulis, V.; Bagrodia, A. Impact of hospital case volume on testicular cancer outcomes and practice patterns. Urol. Oncol. Semin. Orig. Investig. 2018, 36, 14.e7–14.e15. [Google Scholar] [CrossRef]



| Characteristic | Pure Teratoma 1 n = 299 (3%) | Mixed GCT 1 n = 8750 (97%) | p-Value 2 |
|---|---|---|---|
| Age at diagnosis | 29 (23, 36) | 28 (24, 35) | 0.8 |
| Year of diagnosis | 0.07 | ||
| 2004–2011 | 113 (38%) | 3775 (43%) | |
| 2012–2019 | 186 (62%) | 4975 (57%) | |
| Stage | 0.6 | ||
| I | 206 (69%) | 5865 (67%) | |
| II | 44 (15%) | 1239 (14%) | |
| III | 49 (16%) | 1646 (19%) | |
| RPLND performed | 73 (24%) | 1619 (19%) | 0.01 |
| IGCCCG risk group for stage III (n = 1695) | n = 49 | n = 1646 | |
| Good prognosis | 10 (20%) | 271 (16%) | 0.6 |
| Intermediate prognosis | 1 (2%) | 369 (22%) | 0.002 |
| Poor prognosis | 20 (41%) | 639 (39%) | 0.9 |
| Unknown | 18 (37%) | 367 (22%) | 0.003 |
| Lung metastases | 12 (24%) | 713 (43%) | 0.01 |
| CSM | OCM | ||||
|---|---|---|---|---|---|
| HR (95% CI) | p-Value | HR (95% CI) | p-Value | ||
| Stage I | |||||
| Histology | mixed GCT | Reference | - | Reference | - |
| pure teratoma | 0.98 (0.31–3.13) | 0.98 | 4.83 (2.83–8.24) | <0.001 | |
| Stage II | |||||
| Histology | mixed GCT | Reference | - | Reference | - |
| pure teratoma | 2.01 (0.50–8.15) | 0.33 | - | - | |
| Stage III | |||||
| Histology | mixed GCT | Reference | - | Reference | - |
| pure teratoma | 1.92 (1.05–3.52) | 0.04 | 2.08 (0.67–6.48) | 0.21 | |
Disclaimer/Publisher’s Note: The statements, opinions and data contained in all publications are solely those of the individual author(s) and contributor(s) and not of MDPI and/or the editor(s). MDPI and/or the editor(s) disclaim responsibility for any injury to people or property resulting from any ideas, methods, instructions or products referred to in the content. |
© 2023 by the authors. Licensee MDPI, Basel, Switzerland. This article is an open access article distributed under the terms and conditions of the Creative Commons Attribution (CC BY) license (https://creativecommons.org/licenses/by/4.0/).
Share and Cite
Cano Garcia, C.; Barletta, F.; Incesu, R.-B.; Piccinelli, M.L.; Tappero, S.; Panunzio, A.; Tian, Z.; Saad, F.; Shariat, S.F.; Antonelli, A.; et al. Survival of Testicular Pure Teratoma vs. Mixed Germ Cell Tumor Patients in Primary Tumor Specimens across All Stages. Cancers 2023, 15, 694. https://doi.org/10.3390/cancers15030694
Cano Garcia C, Barletta F, Incesu R-B, Piccinelli ML, Tappero S, Panunzio A, Tian Z, Saad F, Shariat SF, Antonelli A, et al. Survival of Testicular Pure Teratoma vs. Mixed Germ Cell Tumor Patients in Primary Tumor Specimens across All Stages. Cancers. 2023; 15(3):694. https://doi.org/10.3390/cancers15030694
Chicago/Turabian StyleCano Garcia, Cristina, Francesco Barletta, Reha-Baris Incesu, Mattia Luca Piccinelli, Stefano Tappero, Andrea Panunzio, Zhe Tian, Fred Saad, Shahrokh F. Shariat, Alessandro Antonelli, and et al. 2023. "Survival of Testicular Pure Teratoma vs. Mixed Germ Cell Tumor Patients in Primary Tumor Specimens across All Stages" Cancers 15, no. 3: 694. https://doi.org/10.3390/cancers15030694
APA StyleCano Garcia, C., Barletta, F., Incesu, R.-B., Piccinelli, M. L., Tappero, S., Panunzio, A., Tian, Z., Saad, F., Shariat, S. F., Antonelli, A., Terrone, C., De Cobelli, O., Graefen, M., Tilki, D., Briganti, A., Wenzel, M., Banek, S., Kluth, L. A., Chun, F. K. H., & Karakiewicz, P. I. (2023). Survival of Testicular Pure Teratoma vs. Mixed Germ Cell Tumor Patients in Primary Tumor Specimens across All Stages. Cancers, 15(3), 694. https://doi.org/10.3390/cancers15030694

