TMEM97/Sigma 2 Receptor Increases Estrogen Receptor α Activity in Promoting Breast Cancer Cell Growth
Simple Summary
Abstract
1. Introduction
2. Materials and Methods
2.1. Chemicals
2.2. Immunohistochemistry
2.3. Cell Culture and Transfections
2.4. Cloning and Expression of TMEM97
2.5. Knockdown of TMEM97 Expression
2.6. Colony Formation Assay
2.7. Luciferase Assay
2.8. MTS Assay
2.9. RNA Isolation and qRT-PCR Analysis
2.10. Immunoblots and Antibodies
2.11. Statistical Analysis
3. Results
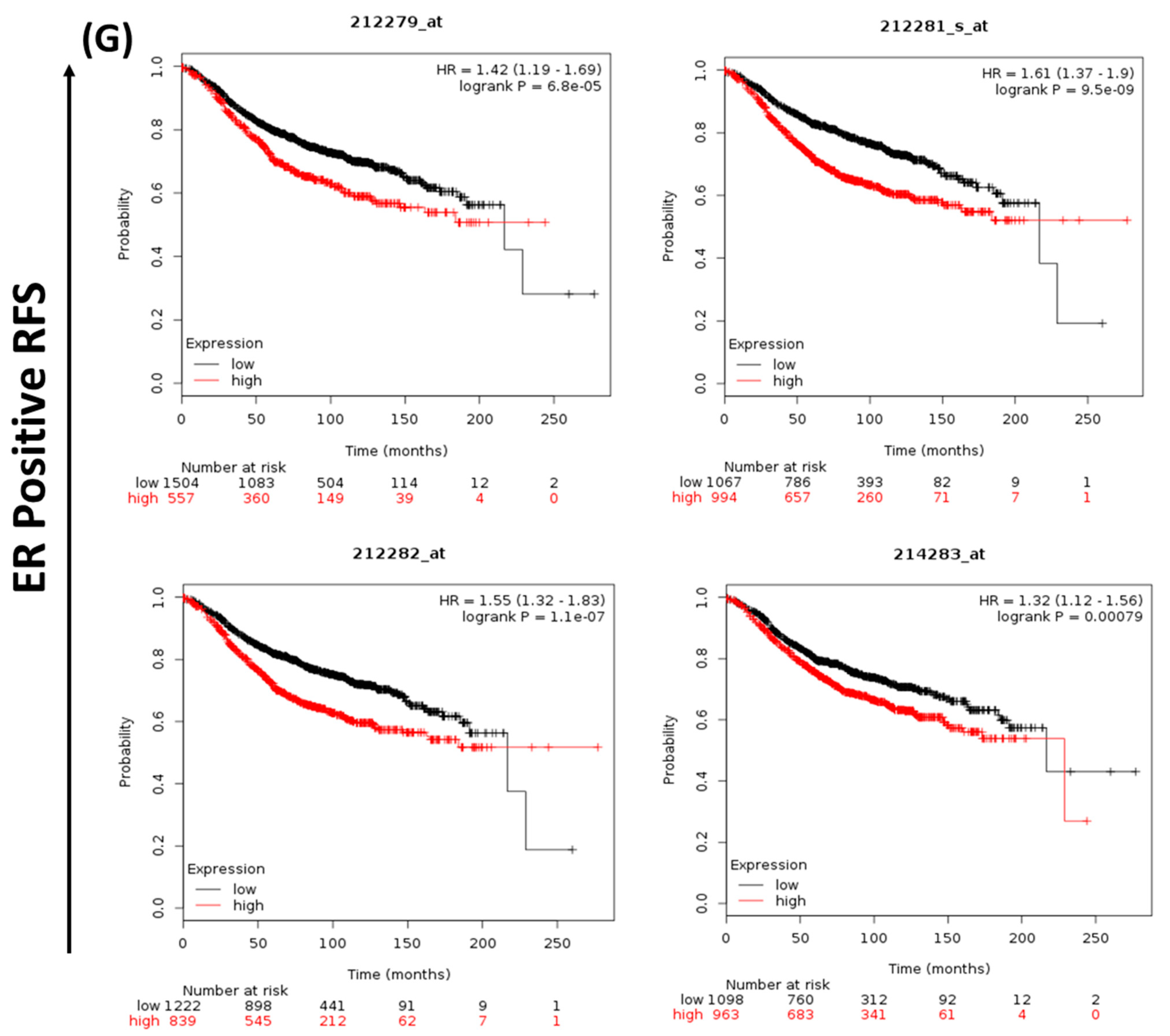
3.1. Increased TMEM97 Protein Expression Is Associated with Estrogen Receptor Status
3.2. Stimulation of ER-Positive Breast Cancer Cell Growth and Survival under Different Culture Conditions by TMEM97 Overexpression
3.3. TMEM97 Supports ER-Positive Breast Tumor Cell Growth and Colony Formation under Hormone Depletion
3.4. Inhibition of ER-Positive Breast Cancer Cell Growth and Survival by TMEM97 Knockdown
3.5. Estrogen Receptor Transcriptional Activity Is Upregulated via the Overexpression of TMEM97/σ2 Receptor
3.6. TMEM97/σ2 Receptor Activates ERα Independent of Estrogen and Contributes to Tamoxifen Resistance
3.7. Activation of ERα by TMEM97 Is through mTOR/p70S6K1 Signaling Pathway and Can Be Blocked by mTOR Inhibitor
3.8. TMEM97 Knockdown Reduces Both ERα and mTOR/S6K1 Signaling Activity and Increases the Tamoxifen Sensitivity
4. Discussion
5. Conclusions
Supplementary Materials
Author Contributions
Funding
Institutional Review Board Statement
Informed Consent Statement
Data Availability Statement
Acknowledgments
Conflicts of Interest
References
- Watson, C.S.; Jeng, Y.J.; Kochukov, M.Y. Nongenomic actions of estradiol compared with estrone and estriol in pituitary tumor cell signaling and proliferation. FASEB J. 2008, 22, 3328–3336. [Google Scholar] [CrossRef]
- Le Dily, F.; Beato, M. Signaling by Steroid Hormones in the 3D Nuclear Space. Int. J. Mol. Sci. 2018, 19, 306. [Google Scholar] [CrossRef]
- de Medina, P.; Payré, B.L.; Bernad, J.; Bosser, I.; Pipy, B.; Silvente-Poirot, S.; Favre, G.; Faye, J.C.; Poirot, M. Tamoxifen is a potent inhibitor of cholesterol esterification and prevents the formation of foam cells. J. Pharmacol. Exp. Ther. 2004, 308, 1165–1173. [Google Scholar] [CrossRef] [PubMed]
- Klinge, C.M. Estrogen receptor interaction with estrogen response elements. Nucleic Acids Res. 2001, 29, 2905–2919. [Google Scholar] [CrossRef] [PubMed]
- Shibata, H.; Spencer, T.E.; Oñate, S.A.; Jenster, G.; Tsai, S.Y.; Tsai, M.J.; O’Malley, B.W. Role of co-activators and co-repressors in the mechanism of steroid/thyroid receptor action. Recent Prog. Horm. Res. 1997, 52, 141–164, discussion 164. [Google Scholar] [PubMed]
- Shiau, A.K.; Barstad, D.; Loria, P.M.; Cheng, L.; Kushner, P.J.; Agard, D.A.; Greene, G.L. The structural basis of estrogen receptor/coactivator recognition and the antagonism of this interaction by tamoxifen. Cell 1998, 95, 927–937. [Google Scholar] [CrossRef] [PubMed]
- Hu, R.; Hilakivi-Clarke, L.; Clarke, R. Molecular mechanisms of tamoxifen-associated endometrial cancer (Review). Oncol. Lett. 2015, 9, 1495–1501. [Google Scholar] [CrossRef]
- Hellewell, S.B.; Bowen, W.D. A sigma-like binding site in rat pheochromocytoma (PC12) cells: Decreased affinity for (+)-benzomorphans and lower molecular weight suggest a different sigma receptor form from that of guinea pig brain. Brain Res. 1990, 527, 244–253. [Google Scholar] [CrossRef]
- Hellewell, S.B.; Bruce, A.; Feinstein, G.; Orringer, J.; Williams, W.; Bowen, W.D. Rat liver and kidney contain high densities of sigma 1 and sigma 2 receptors: Characterization by ligand binding and photoaffinity labeling. Eur. J. Pharmacol. 1994, 268, 9–18. [Google Scholar] [CrossRef]
- Alon, A.; Schmidt, H.R.; Wood, M.D.; Sahn, J.J.; Martin, S.F.; Kruse, A.C. Identification of the gene that codes for the sigma(2) receptor. Proc. Natl. Acad. Sci. USA 2017, 114, 7160–7165. [Google Scholar] [CrossRef]
- Wilcox, C.B.; Feddes, G.O.; Willett-Brozick, J.E.; Hsu, L.C.; DeLoia, J.A.; Baysal, B.E. Coordinate up-regulation of TMEM97 and cholesterol biosynthesis genes in normal ovarian surface epithelial cells treated with progesterone: Implications for pathogenesis of ovarian cancer. BMC Cancer 2007, 7, 223. [Google Scholar] [CrossRef]
- Moparthi, S.B.; Arbman, G.; Wallin, A.; Kayed, H.; Kleeff, J.; Zentgraf, H.; Sun, X.F. Expression of MAC30 protein is related to survival and biological variables in primary and metastatic colorectal cancers. Int. J. Oncol. 2007, 30, 91–95. [Google Scholar] [CrossRef] [PubMed]
- Xiao, M.; Li, H.; Yang, S.; Huang, Y.; Jia, S.; Wang, H.; Wang, J.; Li, Z. Expression of MAC30 protein is related to survival and clinicopathological variables in breast cancer. J. Surg. Oncol. 2013, 107, 456–462. [Google Scholar] [CrossRef] [PubMed]
- Yang, S.; Li, H.; Liu, Y.; Ning, X.; Meng, F.; Xiao, M.; Wang, D.; Lou, G.; Zhang, Y. Elevated expression of MAC30 predicts lymph node metastasis and unfavorable prognosis in patients with epithelial ovarian cancer. Med. Oncol. 2013, 30, 324. [Google Scholar] [CrossRef] [PubMed]
- Gyorffy, B.; Lanczky, A.; Eklund, A.C.; Denkert, C.; Budczies, J.; Li, Q.; Szallasi, Z. An online survival analysis tool to rapidly assess the effect of 22,277 genes on breast cancer prognosis using microarray data of 1809 patients. Breast Cancer Res. Treat. 2010, 123, 725–731. [Google Scholar] [CrossRef] [PubMed]
- Spandidos, A.; Wang, X.; Wang, H.; Seed, B. PrimerBank: A resource of human and mouse PCR primer pairs for gene expression detection and quantification. Nucleic Acids Res. 2010, 38, D792–D799. [Google Scholar] [CrossRef]
- Welshons, W.V.; Wolf, M.F.; Murphy, C.S.; Jordan, V.C. Estrogenic activity of phenol red. Mol. Cell Endocrinol. 1988, 57, 169–178. [Google Scholar] [CrossRef] [PubMed]
- Liu, X.; Chen, B.; Chen, L.; Ren, W.T.; Liu, J.; Wang, G.; Fan, W.; Wang, X.; Wang, Y. U-shape suppressive effect of phenol red on the epileptiform burst activity via activation of estrogen receptors in primary hippocampal culture. PLoS ONE 2013, 8, e60189. [Google Scholar] [CrossRef]
- de Faria, A.N.; Zancanela, D.C.; Ramos, A.P.; Torqueti, M.R.; Ciancaglini, P. Estrogen and phenol red free medium for osteoblast culture: Study of the mineralization ability. Cytotechnology 2016, 68, 1623–1632. [Google Scholar] [CrossRef]
- Rosell, M.; Nevedomskaya, E.; Stelloo, S.; Nautiyal, J.; Poliandri, A.; Steel, J.H.; Wessels, L.F.; Carroll, J.S.; Parker, M.G.; Zwart, W. Complex formation and function of estrogen receptor α in transcription requires RIP140. Cancer Res. 2014, 74, 5469–5479. [Google Scholar] [CrossRef]
- Lin, C.Y.; Ström, A.; Vega, V.B.; Kong, S.L.; Yeo, A.L.; Thomsen, J.S.; Chan, W.C.; Doray, B.; Bangarusamy, D.K.; Ramasamy, A.; et al. Discovery of estrogen receptor alpha target genes and response elements in breast tumor cells. Genome Biol. 2004, 5, R66. [Google Scholar] [CrossRef]
- Mohammed, H.; D’Santos, C.; Serandour, A.A.; Ali, H.R.; Brown, G.D.; Atkins, A.; Rueda, O.M.; Holmes, K.A.; Theodorou, V.; Robinson, J.L.; et al. Endogenous purification reveals GREB1 as a key estrogen receptor regulatory factor. Cell Rep. 2013, 3, 342–349. [Google Scholar] [CrossRef]
- Arnold, S.F.; Obourn, J.D.; Jaffe, H.; Notides, A.C. Serine 167 is the major estradiol-induced phosphorylation site on the human estrogen receptor. Mol. Endocrinol. 1994, 8, 1208–1214. [Google Scholar] [CrossRef] [PubMed][Green Version]
- Joel, P.B.; Smith, J.; Sturgill, T.W.; Fisher, T.L.; Blenis, J.; Lannigan, D.A. pp90rsk1 regulates estrogen receptor-mediated transcription through phosphorylation of Ser-167. Mol. Cell Biol. 1998, 18, 1978–1984. [Google Scholar] [CrossRef] [PubMed]
- Zheng, X.Q.; Guo, J.P.; Yang, H.; Kanai, M.; He, L.L.; Li, Y.Y.; Koomen, J.M.; Minton, S.; Gao, M.; Ren, X.B.; et al. Aurora-A is a determinant of tamoxifen sensitivity through phosphorylation of ERα in breast cancer. Oncogene 2014, 33, 4985–4996. [Google Scholar] [CrossRef] [PubMed]
- Wang, Y.; Niu, X.L.; Guo, X.Q.; Yang, J.; Li, L.; Qu, Y.; Xiu Hu, C.; Mao, L.Q.; Wang, D. IL6 induces TAM resistance via kinase-specific phosphorylation of ERα in OVCA cells. J. Mol. Endocrinol. 2015, 54, 351–361. [Google Scholar] [CrossRef] [PubMed]
- López-Calderero, I.; Carnero, A.; Astudillo, A.; Palacios, J.; Chaves, M.; Benavent, M.; Limón, M.L.; Garcia-Carbonero, R. Prognostic relevance of estrogen receptor-α Ser167 phosphorylation in stage II-III colon cancer patients. Hum. Pathol. 2014, 45, 2437–2446. [Google Scholar] [CrossRef]
- Kato, E.; Orisaka, M.; Kurokawa, T.; Chino, Y.; Fujita, Y.; Shinagawa, A.; Yoshida, Y. Relation between outcomes and expression of estrogen receptor-α phosphorylated at Ser(167) in endometrioid endometrial cancer. Cancer Sci. 2014, 105, 1307–1312. [Google Scholar] [CrossRef] [PubMed]
- Jordan, V.C. Fourteenth Gaddum Memorial Lecture. A current view of tamoxifen for the treatment and prevention of breast cancer. Br. J. Pharmacol. 1993, 110, 507–517. [Google Scholar] [CrossRef]
- Riggins, R.B.; Schrecengost, R.S.; Guerrero, M.S.; Bouton, A.H. Pathways to tamoxifen resistance. Cancer Lett. 2007, 256, 1–24. [Google Scholar] [CrossRef]
- Yamashita, H.; Nishio, M.; Kobayashi, S.; Ando, Y.; Sugiura, H.; Zhang, Z.; Hamaguchi, M.; Mita, K.; Fujii, Y.; Iwase, H. Phosphorylation of estrogen receptor alpha serine 167 is predictive of response to endocrine therapy and increases postrelapse survival in metastatic breast cancer. Breast Cancer Res. 2005, 7, R753–R764. [Google Scholar] [CrossRef]
- Martin, M.B.; Franke, T.F.; Stoica, G.E.; Chambon, P.; Katzenellenbogen, B.S.; Stoica, B.A.; McLemore, M.S.; Olivo, S.E.; Stoica, A. A role for Akt in mediating the estrogenic functions of epidermal growth factor and insulin-like growth factor I. Endocrinology 2000, 141, 4503–4511. [Google Scholar] [CrossRef] [PubMed]
- Yamnik, R.L.; Digilova, A.; Davis, D.C.; Brodt, Z.N.; Murphy, C.J.; Holz, M.K. S6 kinase 1 regulates estrogen receptor alpha in control of breast cancer cell proliferation. J. Biol. Chem. 2009, 284, 6361–6369. [Google Scholar] [CrossRef] [PubMed]
- Yamnik, R.L.; Holz, M.K. mTOR/S6K1 and MAPK/RSK signaling pathways coordinately regulate estrogen receptor alpha serine 167 phosphorylation. FEBS Lett. 2010, 584, 124–128. [Google Scholar] [CrossRef] [PubMed]
- Jenö, P.; Ballou, L.M.; Novak-Hofer, I.; Thomas, G. Identification and characterization of a mitogen-activated S6 kinase. Proc. Natl. Acad. Sci. USA 1988, 85, 406–410. [Google Scholar] [CrossRef] [PubMed]
- Yoo, Y.J.; Kim, H.; Park, S.R.; Yoon, Y.J. An overview of rapamycin: From discovery to future perspectives. J. Ind. Microbiol. Biotechnol. 2017, 44, 537–553. [Google Scholar] [CrossRef] [PubMed]
- Magnuson, B.; Ekim, B.; Fingar, D.C. Regulation and function of ribosomal protein S6 kinase (S6K) within mTOR signalling networks. Biochem. J. 2012, 441, 1–21. [Google Scholar] [CrossRef]
- Saitoh, M.; Pullen, N.; Brennan, P.; Cantrell, D.; Dennis, P.B.; Thomas, G. Regulation of an activated S6 kinase 1 variant reveals a novel mammalian target of rapamycin phosphorylation site. J. Biol. Chem. 2002, 277, 20104–20112. [Google Scholar] [CrossRef]
- Pullen, N.; Thomas, G. The modular phosphorylation and activation of p70s6k. FEBS Lett. 1997, 410, 78–82. [Google Scholar] [CrossRef]
- Peterson, R.T.; Schreiber, S.L. Translation control: Connecting mitogens and the ribosome. Curr. Biol. 1998, 8, R248–R250. [Google Scholar] [CrossRef]
- Ghayad, S.E.; Bieche, I.; Vendrell, J.A.; Keime, C.; Lidereau, R.; Dumontet, C.; Cohen, P.A. mTOR inhibition reverses acquired endocrine therapy resistance of breast cancer cells at the cell proliferation and gene-expression levels. Cancer Sci. 2008, 99, 1992–2003. [Google Scholar] [CrossRef]
- Beeram, M.; Tan, Q.T.; Tekmal, R.R.; Russell, D.; Middleton, A.; DeGraffenried, L.A. Akt-induced endocrine therapy resistance is reversed by inhibition of mTOR signaling. Ann. Oncol. 2007, 18, 1323–1328. [Google Scholar] [CrossRef]
- Boulay, A.; Rudloff, J.; Ye, J.; Zumstein-Mecker, S.; O’Reilly, T.; Evans, D.B.; Chen, S.; Lane, H.A. Dual inhibition of mTOR and estrogen receptor signaling in vitro induces cell death in models of breast cancer. Clin. Cancer Res. 2005, 11, 5319–5328. [Google Scholar] [CrossRef]
- Maruani, D.M.; Spiegel, T.N.; Harris, E.N.; Shachter, A.S.; Unger, H.A.; Herrero-González, S.; Holz, M.K. Estrogenic regulation of S6K1 expression creates a positive regulatory loop in control of breast cancer cell proliferation. Oncogene 2012, 31, 5073–5080. [Google Scholar] [CrossRef] [PubMed]
- Chan, S.; Scheulen, M.E.; Johnston, S.; Mross, K.; Cardoso, F.; Dittrich, C.; Eiermann, W.; Hess, D.; Morant, R.; Semiglazov, V.; et al. Phase II study of temsirolimus (CCI-779), a novel inhibitor of mTOR, in heavily pretreated patients with locally advanced or metastatic breast cancer. J. Clin. Oncol. 2005, 23, 5314–5322. [Google Scholar] [CrossRef] [PubMed]
- Dancey, J.E.; Curiel, R.; Purvis, J. Evaluating temsirolimus activity in multiple tumors: A review of clinical trials. Semin. Oncol. 2009, 36 (Suppl. S3), S46–S58. [Google Scholar] [CrossRef]
- Buckner, J.C.; Forouzesh, B.; Erlichman, C.; Hidalgo, M.; Boni, J.P.; Dukart, G.; Berkenblit, A.; Rowinsky, E.K. Phase I, pharmacokinetic study of temsirolimus administered orally to patients with advanced cancer. Investig. New Drugs 2010, 28, 334–342. [Google Scholar] [CrossRef] [PubMed]
- Arena, F. Clinical implications of recent studies using mTOR inhibitors to treat advanced hormone receptor-positive breast cancer. Cancer Manag. Res. 2014, 6, 389–395. [Google Scholar] [CrossRef][Green Version]
- Fleming, G.F.; Ma, C.X.; Huo, D.; Sattar, H.; Tretiakova, M.; Lin, L.; Hahn, O.M.; Olopade, F.O.; Nanda, R.; Hoffman, P.C.; et al. Phase II trial of temsirolimus in patients with metastatic breast cancer. Breast Cancer Res. Treat. 2012, 136, 355–363. [Google Scholar] [CrossRef]
- Royce, M.E.; Osman, D. Everolimus in the Treatment of Metastatic Breast Cancer. Breast Cancer 2015, 9, 73–79. [Google Scholar] [CrossRef]
- Lumachi, F.; Santeufemia, D.A.; Basso, S.M. Current medical treatment of estrogen receptor-positive breast cancer. World J. Biol. Chem. 2015, 6, 231–239. [Google Scholar] [CrossRef] [PubMed]









| Primers | Forward | Reverse |
|---|---|---|
| TMEM97 Primer 1 | TACCCAGTCGAGTTTAGAAACCT | TGTCATGGTGTGAACAGAGTAGA |
| TMEM97 Primer 2 | ACACCATGACAACCTTAATTCCG | GGGCTCCGCAACATGAAAA |
| TMEM97 Primer 3 | CCCAGCCTGGTTTAAGTCCT | GAAACCACTGGCTTTGGAGA |
| NRIP1 | GCCTGGGGAAGTGTTTGGAT | TGTGCATCTTCTGGCTGTGT |
| ABCA3 | TCTTCGAGCACCCCTTCAAC | GTAGTGTGCCAGCCTTCTGT |
| GREB1 | GGATCTTGTGAGTAGCACTGT | AATCGGTCCACCAATCCCAC |
| ALOX12B | GAGGAGCATAGAGGCGTTCC | TTCTCAATCAGCACCGGGTC |
| ESR1 | GGGAAGTATGGCTATGGAATCTG | TGGCTGGACACATATAGTCGTT |
| β-actin | CATGTACGTTGCTATCCAGGC | CTCCTTAATGTCACGCACGAT |
| +++/3+ | ++/2+ | +/1+ | −/0 | |||
|---|---|---|---|---|---|---|
| ER Status | H-score (mean ± se) | 123.16 ± 8.70 | 77.93 ± 14.97 | 52.50 ± 10.06 | 61.21 ± 6.56 | |
| Number of cases (%) | 42 (41.2%) | 16 (15.7%) | 15 (14.7%) | 29 (28.4%) | ||
| p value | +++ | 0.014 | 0.000 | 0.000 | ||
| ++ | 0.265 | 0.476 | ||||
| + | 0.475 | |||||
| PR Status | H-score (mean ± se) | 121.20 ± 8.81 | 80.42 ± 16.02 | 72.35 ± 12.41 | 74.04 ± 7.41 | |
| Number of cases (%) | 23 (22.5%) | 12 (11.8%) | 18 (17.6%) | 49 (48.0%) | ||
| p value | +++ | 0.039 | 0.003 | 0.000 | ||
| ++ | 0.557 | 0.661 | ||||
| + | 0.776 | |||||
| HER2 Status | H-score (mean ± se) | 85.40 ± 10.04 | 68.33 ± 34.80 | 55 ± 12.60 | 81.34 ± 7.17 | |
| Number of cases (%) | 31 (30.7%) | 3 (3.0%) | 8 (7.9%) | 59 (58.4%) | ||
| p value | 3+ | 0.678 | 0.054 | 0.735 | ||
| 2+ | 0.744 | 0.746 | ||||
| 1+ | 0.059 | |||||
Disclaimer/Publisher’s Note: The statements, opinions and data contained in all publications are solely those of the individual author(s) and contributor(s) and not of MDPI and/or the editor(s). MDPI and/or the editor(s) disclaim responsibility for any injury to people or property resulting from any ideas, methods, instructions or products referred to in the content. |
© 2023 by the authors. Licensee MDPI, Basel, Switzerland. This article is an open access article distributed under the terms and conditions of the Creative Commons Attribution (CC BY) license (https://creativecommons.org/licenses/by/4.0/).
Share and Cite
Zhang, Y.; Fang, X.; Wang, J.; Nie, D. TMEM97/Sigma 2 Receptor Increases Estrogen Receptor α Activity in Promoting Breast Cancer Cell Growth. Cancers 2023, 15, 5691. https://doi.org/10.3390/cancers15235691
Zhang Y, Fang X, Wang J, Nie D. TMEM97/Sigma 2 Receptor Increases Estrogen Receptor α Activity in Promoting Breast Cancer Cell Growth. Cancers. 2023; 15(23):5691. https://doi.org/10.3390/cancers15235691
Chicago/Turabian StyleZhang, Yuanqin, Xiangwei Fang, Jiuhui Wang, and Daotai Nie. 2023. "TMEM97/Sigma 2 Receptor Increases Estrogen Receptor α Activity in Promoting Breast Cancer Cell Growth" Cancers 15, no. 23: 5691. https://doi.org/10.3390/cancers15235691
APA StyleZhang, Y., Fang, X., Wang, J., & Nie, D. (2023). TMEM97/Sigma 2 Receptor Increases Estrogen Receptor α Activity in Promoting Breast Cancer Cell Growth. Cancers, 15(23), 5691. https://doi.org/10.3390/cancers15235691

