The Role of an MRI-Based Radiomic Signature in Predicting Malignancy of Parotid Gland Tumors
Abstract
Simple Summary
Abstract
1. Introduction
2. Materials and Methods
2.1. Study Population
2.2. Image Acquisition
2.3. Preprocessing, Segmentation, and Feature Extraction
2.4. Feature Selection and Statistical Analysis
3. Results
3.1. Feature Selection and Radiomic Signature Construction in the Training Set
3.2. The Performance of the Radiomic Signature in the Training Set
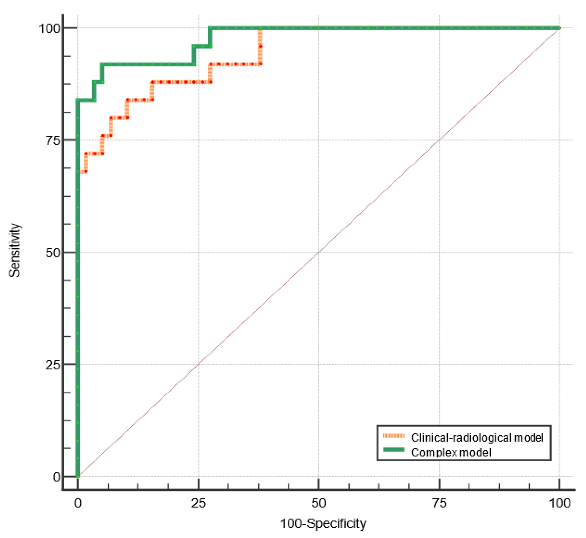
3.3. The Validation of the Radiomic Signature in the Testing Group
4. Discussion
5. Conclusions
Supplementary Materials
Author Contributions
Funding
Institutional Review Board Statement
Informed Consent Statement
Data Availability Statement
Conflicts of Interest
References
- Abdel Razek, A.A.K.; Mukherji, S.K. State-of-the-Art Imaging of Salivary Gland Tumors. Neuroimaging Clin. N. Am. 2018, 28, 303–317. [Google Scholar] [CrossRef]
- Kennedy, R.A. WHO is in and WHO is out of the mouth, salivary glands, and jaws sections of the 4th edition of the WHO classification of head and neck tumours. Br. J. Oral Maxillofac. Surg. 2018, 56, 90–95. [Google Scholar] [CrossRef]
- Lobo, R.; Hawk, J.; Srinivasan, A. A Review of Salivary Gland Malignancies: Common Histologic Types, Anatomic Considerations, and Imaging Strategies. Neuroimaging Clin. N. Am. 2018, 28, 171–182. [Google Scholar] [CrossRef]
- Sood, S.; McGurk, M.; Vaz, F. Management of Salivary Gland Tumours: United Kingdom National Multidisciplinary Guidelines. J. Laryngol. Otol. 2016, 130 (Suppl. S2), S142–S149. [Google Scholar] [CrossRef]
- Stoia, S.; Lenghel, M.; Dinu, C.; Tamaș, T.; Bran, S.; Băciuț, M.; Boțan, E.; Leucuța, D.; Armencea, G.; Onișor, F.; et al. The Value of Multiparametric Magnetic Resonance Imaging in the Preoperative Differential Diagnosis of Parotid Gland Tumors. Cancers 2023, 15, 1325. [Google Scholar] [CrossRef]
- Afzelius, P.; Nielsen, M.Y.; Ewertsen, C.; Bloch, K.P. Imaging of the major salivary glands. Clin. Physiol. Funct. Imaging 2016, 36, 1–10. [Google Scholar] [CrossRef]
- Espinoza, S.; Felter, A.; Malinvaud, D.; Badoual, C.; Chatellier, G.; Siauve, N.; Halimi, P. Warthin’s tumor of parotid gland: Surgery or follow-up? Diagnostic value of a decisional algorithm with functional MRI. Diagn. Interv. Imaging 2016, 97, 37–43. [Google Scholar] [CrossRef]
- Caruso, D.; Polici, M.; Zerunian, M.; Pucciarelli, F.; Guido, G.; Polidori, T.; Landolfi, F.; Nicolai, M.; Lucertini, E.; Tarallo, M.; et al. Radiomics in Oncology, Part 1: Technical Principles and Gastrointestinal Application in CT and MRI. Cancers 2021, 13, 2522. [Google Scholar] [CrossRef]
- Caruso, D.; Polici, M.; Zerunian, M.; Pucciarelli, F.; Guido, G.; Polidori, T.; Landolfi, F.; Nicolai, M.; Lucertini, E.; Tarallo, M.; et al. Radiomics in Oncology, Part 2: Thoracic, Genito-Urinary, Breast, Neurological, Hematologic and Musculoskeletal Applications. Cancers 2021, 13, 2681. [Google Scholar] [CrossRef]
- Liu, Z.; Wang, S.; Dong, D.; Wei, J.; Fang, C.; Zhou, X.; Sun, K.; Li, L.; Li, B.; Wang, M.; et al. The Applications of Radiomics in Precision Diagnosis and Treatment of Oncology: Opportunities and Challenges. Theranostics 2019, 9, 1303–1322. [Google Scholar] [CrossRef]
- Lambin, P.; Leijenaar, R.T.H.; Deist, T.M.; Peerlings, J.; de Jong, E.E.C.; van Timmeren, J.; Sanduleanu, S.; Larue, R.T.H.M.; Even, A.J.G.; Jochems, A.; et al. Radiomics: The bridge between medical imaging and personalized medicine. Nat. Rev. Clin. Oncol. 2017, 14, 749–762. [Google Scholar] [CrossRef]
- Zheng, Y.M.; Li, J.; Liu, S.; Cui, J.F.; Zhan, J.F.; Pang, J.; Zhou, R.Z.; Li, X.L.; Dong, C. MRI-Based radiomics nomogram for differentiation of benign and malignant lesions of the parotid gland. Eur. Radiol. 2021, 31, 4042–4052. [Google Scholar] [CrossRef]
- He, Z.; Mao, Y.; Lu, S.; Tan, L.; Xiao, J.; Tan, P.; Zhang, H.; Li, G.; Yan, H.; Tan, J.; et al. Machine learning-based radiomics for histological classification of parotid tumors using morphological MRI: A comparative study. Eur. Radiol. 2022, 32, 8099–8110. [Google Scholar] [CrossRef]
- Fruehwald-Pallamar, J.; Czerny, C.; Holzer-Fruehwald, L.; Nemec, S.F.; Mueller-Mang, C.; Weber, M.; Mayerhoefer, M.E. Texture-based and diffusion-weighted discrimination of parotid gland lesions on MR images at 3.0 Tesla. NMR Biomed. 2013, 26, 1372–1379. [Google Scholar] [CrossRef]
- Shur, J.D.; Doran, S.J.; Kumar, S.; Ap Dafydd, D.; Downey, K.; O’Connor, J.P.B.; Papanikolaou, N.; Messiou, C.; Koh, D.M.; Orton, M.R. Radiomics in Oncology: A Practical Guide. Radiographics 2021, 41, 1717–1732. [Google Scholar] [CrossRef]
- Zwanenburg, A.; Vallières, M.; Abdalah, M.A.; Aerts, H.J.W.L.; Andrearczyk, V.; Apte, A.; Ashrafinia, S.; Bakas, S.; Beukinga, R.J.; Boellaard, R.; et al. The Image Biomarker Standardization Initiative: Standardized Quantitative Radiomics for High-Throughput Image-based Phenotyping. Radiology 2020, 295, 328–338. [Google Scholar] [CrossRef]
- Collewet, G.; Strzelecki, M.; Mariette, F. Influence of MRI acquisition protocols and image intensity normalization methods on texture classification. Magn. Reson. Imaging 2004, 22, 81–91. [Google Scholar] [CrossRef]
- Petresc, B.; Lebovici, A.; Caraiani, C.; Feier, D.S.; Graur, F.; Buruian, M.M. Pre-Treatment T2-WI Based Radiomics Features for Prediction of Locally Advanced Rectal Cancer Non-Response to Neoadjuvant Chemoradiotherapy: A Preliminary Study. Cancers 2020, 12, 1894. [Google Scholar] [CrossRef]
- Moldovanu, C.G.; Boca, B.; Lebovici, A.; Tamas-Szora, A.; Feier, D.S.; Crisan, N.; Andras, I.; Buruian, M.M. Preoperative Predicting the WHO/ISUP Nuclear Grade of Clear Cell Renal Cell Carcinoma by Computed Tomography-Based Radiomics Features. J. Pers. Med. 2020, 11, 8. [Google Scholar] [CrossRef]
- Gillies, R.J.; Kinahan, P.E.; Hricak, H. Radiomics: Images Are More than Pictures, They Are Data. Radiology 2016, 278, 563–577. [Google Scholar] [CrossRef]
- Aringhieri, G.; Fanni, S.C.; Febi, M.; Colligiani, L.; Cioni, D.; Neri, E. The Role of Radiomics in Salivary Gland Imaging: A Systematic Review and Radiomics Quality Assessment. Diagnostics 2022, 12, 3002. [Google Scholar] [CrossRef]
- Lubner, M.G.; Smith, A.D.; Sandrasegaran, K.; Sahani, D.V.; Pickhardt, P.J. CT Texture Analysis: Definitions, Applications, Biologic Correlates, and Challenges. Radiographics 2017, 37, 1483–1503. [Google Scholar] [CrossRef]
- Haralick, R.M.; Shanmugam, K. Textural features for image classification. IEEE Trans. Syst. Man Cybern. 1973, 3, 610–621. [Google Scholar] [CrossRef]
- Thibault, G.; Angulo, J.; Meyer, F. Advanced statistical matrices for texture characterization: Application to cell classification. IEEE Trans. Biomed. Eng. 2014, 61, 630–637. [Google Scholar] [CrossRef]
- Ganeshan, B.; Miles, K.A. Quantifying tumour heterogeneity with CT. Cancer Imaging 2013, 13, 140–149. [Google Scholar] [CrossRef]
- Bnou, K.; Raghay, S.; Hakim, A. A wavelet denoising approach based on unsupervised learning model. EURASIP J. Adv. Signal Process. 2020, 1, 1–26. [Google Scholar] [CrossRef]
- Shimamoto, H.; Tsujimoto, T.; Kakimoto, N.; Majima, M.; Iwamoto, Y.; Senda, Y.; Murakami, S. Effectiveness of the periodically rotated overlapping parallel lines with enhanced reconstruction (PROPELLER) technique for reducing motion artifacts caused by mandibular movements on fat-suppressed T2-weighted magnetic resonance (MR) images. Magn. Reson. Imaging 2018, 54, 1–7. [Google Scholar] [CrossRef]
- Zhang, R.; Ai, Q.Y.H.; Wong, L.M.; Green, C.; Qamar, S.; So, T.Y.; Vlantis, A.C.; King, A.D. Radiomics for Discriminating Benign and Malignant Salivary Gland Tumors; Which Radiomic Feature Categories and MRI Sequences Should Be Used? Cancers 2022, 14, 5804. [Google Scholar] [CrossRef]
- Vernuccio, F.; Arnone, F.; Cannella, R.; Verro, B.; Comelli, A.; Agnello, F.; Stefano, A.; Gargano, R.; Rodolico, V.; Salvaggio, G.; et al. Diagnostic performance of qualitative and radiomics approach to parotid gland tumors: Which is the added benefit of texture analysis? Br. J. Radiol. 2021, 94, 20210340. [Google Scholar] [CrossRef]
- Fathi Kazerooni, A.; Nabil, M.; Alviri, M.; Koopaei, S.; Salahshour, F.; Assili, S.; Saligheh Rad, H.; Aghaghazvini, L. Radiomic Analysis of Multi-parametric MR Images (MRI) for Classification of Parotid Tumors. J. Biomed. Phys. Eng. 2022, 12, 599–610. [Google Scholar] [CrossRef]
- Gabelloni, M.; Faggioni, L.; Attanasio, S.; Vani, V.; Goddi, A.; Colantonio, S.; Germanese, D.; Caudai, C.; Bruschini, L.; Scarano, M.; et al. Can Magnetic Resonance Radiomics Analysis Discriminate Parotid Gland Tumors? A Pilot Study. Diagnostics 2020, 10, 900. [Google Scholar] [CrossRef]
- Piludu, F.; Marzi, S.; Ravanelli, M.; Pellini, R.; Covello, R.; Terrenato, I.; Farina, D.; Campora, R.; Ferrazzoli, V.; Vidiri, A. MRI-Based Radiomics to Differentiate between Benign and Malignant Parotid Tumors With External Validation. Front. Oncol. 2021, 11, 656918. [Google Scholar] [CrossRef]
- Qi, J.; Gao, A.; Ma, X.; Song, Y.; Zhao, G.; Bai, J.; Gao, E.; Zhao, K.; Wen, B.; Zhang, Y.; et al. Differentiation of Benign From Malignant Parotid Gland Tumors Using Conventional MRI Based on Radiomics Nomogram. Front. Oncol. 2022, 12, 937050. [Google Scholar] [CrossRef]
- Liu, Y.; Zheng, J.; Zhao, J.; Yu, L.; Lu, X.; Zhu, Z.; Guo, C.; Zhang, T. Magnetic resonance image biomarkers improve differentiation of benign and malignant parotid tumors through diagnostic model analysis. Oral Radiol. 2021, 37, 658–668. [Google Scholar] [CrossRef]
- Zheng, N.; Li, R.; Liu, W.; Shao, S.; Jiang, S. The diagnostic value of combining conventional, diffusion-weighted imaging and dynamic contrast-enhanced MRI for salivary gland tumors. Br. J. Radiol. 2018, 91, 20170707. [Google Scholar] [CrossRef]
- Tao, X.; Yang, G.; Wang, P.; Wu, Y.; Zhu, W.; Shi, H.; Gong, X.; Gao, W.; Yu, Q. The value of combining conventional, diffusion-weighted and dynamic contrast-enhanced MR imaging for the diagnosis of parotid gland tumours. Dento Maxillo Facial Radiol. 2017, 46, 20160434. [Google Scholar] [CrossRef]
- Buch, K.; Kuno, H.; Qureshi, M.M.; Li, B.; Sakai, O. Quantitative variations in texture analysis features dependent on MRI scanning parameters: A phantom model. J. Appl. Clin. Med. Phys. 2018, 19, 253–264. [Google Scholar] [CrossRef]
- Cattell, R.; Chen, S.; Huang, C. Robustness of radiomic features in magnetic resonance imaging: Review and a phantom study. Vis. Comput. Ind. Biomed. Art 2019, 2, 19. [Google Scholar] [CrossRef]
- Van Timmeren, J.E.; Cester, D.; Tanadini-Lang, S.; Alkadhi, H.; Baessler, B. Radiomics in medical imaging-“how-to” guide and critical reflection. Insights Imaging 2020, 11, 91. [Google Scholar] [CrossRef]
- Benjamini, Y.; Hochberg, Y. Controlling the False Discovery Rate: A Practical and Powerful Approach to Multiple Testing. J. R. Stat. Soc. Ser. B 1995, 57, 289–300. [Google Scholar] [CrossRef]
- Forde, E.; Leech, M.; Robert, C.; Herron, E.; Marignol, L. Influence of inter-observer delineation variability on radiomic features of the parotid gland. Phys. Med. 2021, 82, 240–248. [Google Scholar] [CrossRef]







| MRI Parameter | T2-WI | fsCE-T1-WI |
|---|---|---|
| TE (ms) * | 75 [62–92] | 12 [8.9–15.6] |
| TR (ms) * | 5450 [3540–8290] | 680 [610–750] |
| Matrix (mm) | 384 × 384 | 300 × 300 |
| Flip angle | 160 | 160 |
| Slice thickness (mm) | 3 | 3 |
| Slice gap (mm) | 3 | 3 |
| Feature | Training Set (n = 83) | p | Testing Set (n = 25) | p | |||
|---|---|---|---|---|---|---|---|
| Benign PGT (n = 58) | Malignant PGT (n = 25) | Benign PGT (n = 16) | Malignant PGT (n = 9) | ||||
| Age (years) | 49.6 ± 14.7 | 58.1 ± 13.4 | 0.014 | 54.2 ± 12.12 | 63.22 ± 14.87 | 0.115 | |
| Sex | Male | 25 (43.1) | 10 (40) | 0.794 | 8 (50) | 4 (44.4) | 0.793 |
| Female | 33 (56.9) | 15 (60) | 8 (50) | 5 (55.6) | |||
| Maximum size (mm) | 26 [19, 32] | 35 [25.7, 48.2] | 0.011 | 19.5 [13, 24.5] | 31 [21.5, 39] | 0.046 | |
| Location | Superficial | 35 (60.3) | 10 (40) | 0.14 | 13 (81.2) | 8 (88.9) | 0.513 |
| Deep | 6 (10.3) | 2 (8) | 1 (6.3) | 1 (11.1) | |||
| Both | 17 (29.3) | 13 (52) | 2 (12.5) | 0 (0) | |||
| Side | Left | 30 (51.7) | 13 (52) | 0.8 | 8 (50) | 2 (22.2) | 0.182 |
| Right | 28 (48.3) | 12 (48) | 8 (50) | 7 (77.8) | |||
| Margin | Smooth | 56 (96.6) | 7 (28) | <0.001 | 14 (87.5) | 2 (22.2) | 0.001 |
| Ill-defined | 2 (3.4) | 18 (72) | 2 (12.5) | 7 (77.8) | |||
| Cystic/necrotic areas | Present | 36 (62.1) | 16 (64) | 0.755 | 12 (75) | 5 (55.6) | 0.327 |
| Absent | 22 (37.9) | 9 (36) | 4 (24) | 4 (44.4) | |||
| T1-WI hyperintense spots | Present | 14 (24.1) | 2 (8) | 0.089 | 8 (50) | 7 (77.8) | 0.228 |
| Absent | 44 (75.9) | 23 (92) | 8 (50) | 2 (22.2) | |||
| T2-WI signal (vs. parotid) | Hypointense | 16 (29.6) | 17 (68) | <0.001 | 6 (37.5) | 6 (66.7) | 0.169 |
| Hyperintense | 42 (72.4) | 8 (32) | 10 (62.5) | 3 (33.3) | |||
| T1-WI signal (vs. muscle) | Hypointense | 49 (84.5) | 24 (96) | 0.141 | 14 (87.5) | 9 (100) | 0.278 |
| Hyperintense | 9 (15.5) | 1 (4) | 2 (12.5) | 0 (0) | |||
| CE pattern | Homogenous | 19 (32.7) | 5 (20) | 0.752 | 3 (18.7) | 4 (44.4) | 0.244 |
| Heterogenous | 39 (67.2) | 20 (80) | 13 (81.3) | 5 (55.6) | |||
| T2-WI SI Ratio * | 3.96 [2.46, 6.09] | 2.85 [2.36, 3.66] | 0.039 | 3.82 [2.51, 5.36] | 2.56 [2.13, 2.88] | 0.047 | |
| T1-WI SI Ratio * | 1.14 [1, 1.27] | 1.17 [1.08, 1.30] | 0.605 | 1.23 [1.08, 1.39] | 1.26 [1.10, 1.74] | 0.428 | |
| fsCE-T1-WI SI Ratio * | 1.61 [1.40, 2.18] | 1.50 [1.40, 1.91] | 0.461 | 1.33 [1.16, 1.95] | 1.15 [1.11, 1.39] | 0.212 | |
| ADC (10−3 mm2/s) | 1.205 | 0.855 | 0.001 | 1.176 | 0.875 | 0.019 | |
| [0.910, 1.800] | [0.728, 1.185] | [0.865, 1.459] | [0.670, 0.908] | ||||
| Training Set | Testing Set | |||
|---|---|---|---|---|
| Benign (n = 58) | Malignant (n = 25) | Benign (n = 16) | Malignant (n = 9) | |
| Tumor histology | Pleomorphic adenoma 28 | Mucoepidermoid cc 3 | Pleomorphic adenoma 6 | Acinic cell cc 2 |
| Warthin tumor 24 | Salivary duct cc 3 | Warthin tumor 8 | Salivary duct cc 2 | |
| Basal cell adenoma 3 | Adenoid cystic cc 3 | Basal cell adenoma 1 | Metastatic cc 2 | |
| Parotid gland cyst 2 | Acinic cell cc 2 | Oncocytoma 1 | Lymphoma 3 | |
| Reactive lymph node 1 | Lymphoma 7 | |||
| Metastatic cc 3 | ||||
| Basal cell cc 2 | ||||
| Squamous cell cc 1 | ||||
| Undifferentiated sarcoma 1 | ||||
| MRI Sequence | Radiomic Feature | Radiomic Group | Associated Filter | Coefficient |
|---|---|---|---|---|
| fsCE-T1-WI | SizeZoneNonUniformityNormalized | Texture (glszm) | original | −0.865 |
| fsCE-T1-WI | Skewness | First order | LoG filter (5 mm) | 0.09 |
| T2-WI | RootMeanSquared | First order | wavelet-HLL | 0.136 |
| T2-WI | Imc2 | Texture (glcm) | wavelet-LLH | −0.167 |
| T2-WI | Correlation | Texture (glcm) | wavelet-LHL | −0.296 |
| Intercept | −0.865 |
| Radiomic Feature | AUC (95% CI) | Cut-Off | Se (95% CI) | Sp (95% CI) | +LR (95% CI) | −LR (95% CI) | p |
|---|---|---|---|---|---|---|---|
| SizeZoneNonUniformityNormalized | 0.668 | ≤−0.509 | 60 | 73.68 | 2.28 | 0.54 | 0.01 |
| (0.555–0.768) | (38.7–78.9) | (60.3–84.5) | (1.33–3.91) | (0.33–0.90) | |||
| Skewness | 0.695 | >0.135 | 80 | 63.16 | 2.17 | 0.32 | 0.001 |
| (0.584–0.792) | (59.3–93.2) | (49.3–75.6) | (1.47–3.21) | (0.14–0.71) | |||
| RootMeanSquared | 0.678 | >0.329 | 48 | 82.46 | 2.74 | 0.63 | 0.006 |
| (0.566–0.777) | (27.8–68.7) | (70.1–91.3) | (1.37–5.48) | (0.42–0.94) | |||
| Imc2 | 0.74 | ≤−0.361 | 72 | 70.18 | 2.41 | 0.4 | <0.001 |
| (0.631–0.830) | (50.6–87.9) | (56.6–81.6) | (1.51–3.85) | (0.21–0.77) | |||
| Correlation | 0.747 | ≤−0.211 | 76 | 70.18 | 2.55 | 0.34 | <0.001 |
| (0.639–0.836) | (54.9–90.6) | (56.6–81.6) | (1.62–4.02) | (0.17–0.70) |
| Variable | Coefficient | Std. Error | p | Odds Ratio |
|---|---|---|---|---|
| Patient’s age | 0.083 | 0.047 | 0.076 | 1.087 |
| Maximum diameter | −0.016 | 0.047 | 0.736 | 0.984 |
| Margin = “ill-defined” | 5.649 | 1.488 | <0.001 | 28.923 |
| T2-WI = “hypointense” | 2.520 | 1.491 | 0.091 | 12.435 |
| T2-WI Ratio | 0.030 | 0.387 | 0.937 | 1.030 |
| ADC | −0.527 | 1.285 | 0.681 | 0.590 |
| Constant | −7.558 | 4.341 | 0.081 |
| Variable | Coefficient | Std. Error | p | Odds Ratio |
|---|---|---|---|---|
| Patient’s age | 0.087 | 0.046 | 0.059 | 1.09 |
| Maximum diameter | −0.029 | 0.052 | 0.582 | 0.97 |
| Margin = “ill-defined” | 7.277 | 2.332 | 0.001 | 29.21 |
| T2-WI = “hypointense” | 1.501 | 1.544 | 0.330 | 4.48 |
| T2-WI Ratio | −0.146 | 0.468 | 0.753 | 0.86 |
| ADC | −1.159 | 1.822 | 0.524 | 0.31 |
| Radiomic Signature | 5.307 | 2.467 | 0.031 | 22.43 |
| Constant | −2.410 | 4.318 | 0.576 |
| Radiomic Signature | Median | Q1 | Q3 | p |
|---|---|---|---|---|
| Training set | ||||
| Benign | −1.11 | −1.31 | −0.71 | <0.001 |
| Malignant | −0.34 | −0.7 | −0.15 | |
| Testing set | ||||
| Benign | −0.859 | −1.435 | −0.785 | 0.023 |
| Malignant | −0.527 | −0.787 | −0.36 |
| Radiomic Signature | AUC (95% CI) | Cut-Off | Se (95% CI) | Sp (95% CI) | +LR (95% CI) | −LR (95% CI) | p |
|---|---|---|---|---|---|---|---|
| Training set | 0.852 | >−0.614 | 72 | 87.72 | 5.86 | 0.32 | <0.0001 |
| 0.756–0.921 | 50.6–87.9 | 76.3–94.9 | 2.81–12.23 | 0.17–0.60 | |||
| Testing set | 0.786 | >−0.774 | 77.78 | 85.71 | 5.44 | 0.26 | 0.017 |
| 0.566–0.927 | 40.0–97.2 | 57.2–98.2 | 1.44–20.58 | 0.075–0.90 |
Disclaimer/Publisher’s Note: The statements, opinions and data contained in all publications are solely those of the individual author(s) and contributor(s) and not of MDPI and/or the editor(s). MDPI and/or the editor(s) disclaim responsibility for any injury to people or property resulting from any ideas, methods, instructions or products referred to in the content. |
© 2023 by the authors. Licensee MDPI, Basel, Switzerland. This article is an open access article distributed under the terms and conditions of the Creative Commons Attribution (CC BY) license (https://creativecommons.org/licenses/by/4.0/).
Share and Cite
Muntean, D.D.; Dudea, S.M.; Băciuț, M.; Dinu, C.; Stoia, S.; Solomon, C.; Csaba, C.; Rusu, G.M.; Lenghel, L.M. The Role of an MRI-Based Radiomic Signature in Predicting Malignancy of Parotid Gland Tumors. Cancers 2023, 15, 3319. https://doi.org/10.3390/cancers15133319
Muntean DD, Dudea SM, Băciuț M, Dinu C, Stoia S, Solomon C, Csaba C, Rusu GM, Lenghel LM. The Role of an MRI-Based Radiomic Signature in Predicting Malignancy of Parotid Gland Tumors. Cancers. 2023; 15(13):3319. https://doi.org/10.3390/cancers15133319
Chicago/Turabian StyleMuntean, Delia Doris, Sorin Marian Dudea, Mihaela Băciuț, Cristian Dinu, Sebastian Stoia, Carolina Solomon, Csutak Csaba, Georgeta Mihaela Rusu, and Lavinia Manuela Lenghel. 2023. "The Role of an MRI-Based Radiomic Signature in Predicting Malignancy of Parotid Gland Tumors" Cancers 15, no. 13: 3319. https://doi.org/10.3390/cancers15133319
APA StyleMuntean, D. D., Dudea, S. M., Băciuț, M., Dinu, C., Stoia, S., Solomon, C., Csaba, C., Rusu, G. M., & Lenghel, L. M. (2023). The Role of an MRI-Based Radiomic Signature in Predicting Malignancy of Parotid Gland Tumors. Cancers, 15(13), 3319. https://doi.org/10.3390/cancers15133319
