Association of Androgen Deprivation Therapy with Osteoporotic Fracture in Patients with Prostate Cancer with Low Tumor Burden Using a Retrospective Population-Based Propensity-Score-Matched Cohort
Abstract
Simple Summary
Abstract
1. Introduction
2. Materials and Methods
2.1. Ethical Statement
2.2. Population-Based Cancer Registry Database
2.3. Inclusion and Exclusion Criteria of Patient Selection
2.4. Primary Outcome and Other Clinicopathological Variables
2.5. PSM Analysis
3. Results
3.1. Demographics of Overall Population and Propensity-Score-Matched Patients
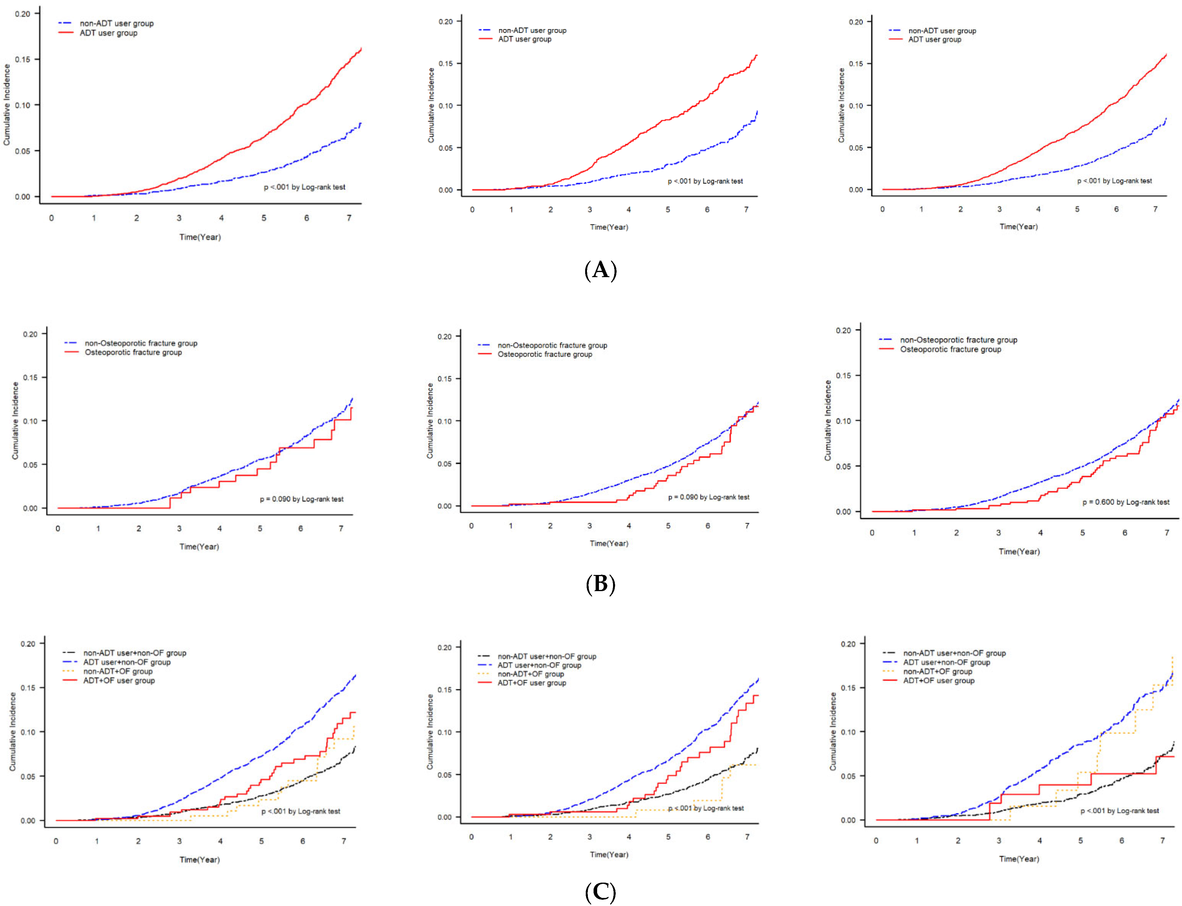
3.2. Incidence of OF between the Two Groups
3.3. Risk Factors of OF
3.4. Association of OF with Overall Survival and Death between the ADT and Non-ADT Groups
4. Discussion
5. Conclusions
Supplementary Materials
Author Contributions
Funding
Institutional Review Board Statement
Informed Consent Statement
Data Availability Statement
Conflicts of Interest
References
- Siegel, R.L.; Miller, K.D.; Fuchs, H.E.; Jemal, A. Cancer Statistics, 2021. CA Cancer J. Clin. 2021, 71, 7–33. [Google Scholar] [CrossRef]
- Ferro, M.; de Cobelli, O.; Vartolomei, M.D.; Lucarelli, G.; Crocetto, F.; Barone, B.; Sciarra, A.; Del Giudice, F.; Muto, M.; Maggi, M.; et al. Prostate Cancer Radiogenomics-From Imaging to Molecular Characterization. Int. J. Mol. Sci. 2021, 22, 9971. [Google Scholar] [CrossRef]
- Mohler, J.L.; Antonarakis, E.S.; Armstrong, A.J.; D’Amico, A.V.; Davis, B.J.; Dorff, T.; Eastham, J.A.; Enke, C.A.; Farrington, T.A.; Higano, C.S.; et al. Prostate Cancer, Version 2.2019, NCCN Clinical Practice Guidelines in Oncology. J. Natl. Compr. Cancer Netw. 2019, 17, 479–505. [Google Scholar] [CrossRef]
- Nguyen, P.L.; Alibhai, S.M.; Basaria, S.; D’Amico, A.V.; Kantoff, P.W.; Keating, N.L.; Penson, D.F.; Rosario, D.J.; Tombal, B.; Smith, M.R. Adverse effects of androgen deprivation therapy and strategies to mitigate them. Eur. Urol. 2015, 67, 825–836. [Google Scholar] [CrossRef]
- Sciarra, A.; Busetto, G.M.; Salciccia, S.; Del Giudice, F.; Maggi, M.; Crocetto, F.; Ferro, M.; De Berardinis, E.; Scarpa, R.M.; Porpiglia, F.; et al. Does Exist a Differential Impact of Degarelix Versus LHRH Agonists on Cardiovascular Safety? Evidences From Randomized and Real-World Studies. Front. Endocrinol. 2021, 12, 695170. [Google Scholar] [CrossRef]
- Khriguian, J.; Tsui, J.M.G.; Vaughan, R.; Kucharczyk, M.J.; Nabid, A.; Bettahar, R.; Vincent, L.; Martin, A.G.; Jolicoeur, M.; Yassa, M.; et al. The clinical significance of bone mineral density changes following long-term androgen deprivation therapy in localized prostate cancer patients. J. Urol. 2021, 205, 1648–1654. [Google Scholar] [CrossRef]
- Wu, C.C.; Chen, P.Y.; Wang, S.W.; Tsai, M.H.; Wang, Y.C.L.; Tai, C.L.; Luo, H.L.; Wang, H.J.; Chen, C.Y. Risk of fracture during androgen deprivation therapy among patients with prostate cancer: A systematic review and meta-analysis of cohort studies. Front. Pharmacol. 2021, 12, 652979. [Google Scholar] [CrossRef]
- Kanis, J.A.; Burlet, N.; Cooper, C.; Delmas, P.D.; Reginster, J.Y.; Borgstrom, F.; Rizzoli, R.; European Society for Clinical and Economic Aspects of Osteoporosis and Osteoarthritis (ESCEO). European guidance for the diagnosis and management of osteoporosis in postmenopausal women. Osteoporos. Int. 2008, 19, 399–428. [Google Scholar] [CrossRef]
- Trabulsi, E.J.; Rumble, R.B.; Jadvar, H.; Hope, T.; Pomper, M.; Turkbey, B.; Rosenkrantz, A.B.; Verma, S.; Margolis, D.J.; Froemming, A.; et al. Optimum imaging strategies for advanced prostate cancer: ASCO Guideline. J. Clin. Oncol. 2020, 38, 1963–1996. [Google Scholar] [CrossRef]
- Gralow, J.R.; Biermann, J.S.; Farooki, A.; Fornier, M.N.; Gagel, R.F.; Kumar, R.; Litsas, G.; McKay, R.; Podoloff, D.A.; Srinivas, S.; et al. NCCN Task Force Report: Bone health in cancer care. J. Natl. Compr. Cancer Netw. 2013, 11 (Suppl. 3), S1–S50. [Google Scholar] [CrossRef]
- Song, S.H.; Byun, S.S. Polygenic risk score for genetic evaluation of prostate cancer risk in Asian populations: A narrative review. Investig. Clin. Urol. 2021, 62, 256–266. [Google Scholar] [CrossRef]
- Kim, D.K.; Lee, J.Y.; Kim, K.J.; Hong, N.; Kim, J.W.; Hah, Y.S.; Koo, K.C.; Kim, J.H.; Cho, K.S. Effect of androgen-deprivation therapy on bone mineral density in patients with prostate cancer: A systematic review and meta-analysis. J. Clin. Med. 2019, 8, 113. [Google Scholar] [CrossRef]
- Wu, C.T.; Yang, Y.H.; Chen, P.C.; Chen, M.F.; Chen, W.C. Androgen deprivation increases the risk of fracture in prostate cancer patients: A population-based study in Chinese patients. Osteoporos. Int. 2015, 26, 2281–2290. [Google Scholar] [CrossRef]
- Briot, K.; Paccou, J.; Beuzeboc, P.; Bonneterre, J.; Bouvard, B.; Confavreux, C.B.; Cormier, C.; Cortet, B.; Hannoun-Lévi, J.M.; Hennequin, C.; et al. French recommendations for osteoporosis prevention and treatment in patients with prostate cancer treated by androgen deprivation. Jt. Bone Spine 2019, 86, 21–28. [Google Scholar] [CrossRef]
- Saylor, P.J.; Rumble, R.B.; Michalski, J.M. Bone health and bone-targeted therapies for prostate cancer: American Society of Clinical Oncology endorsement summary of a cancer care Ontario guideline. JCO Oncol. Pract. 2020, 16, 389–393. [Google Scholar] [CrossRef]
- Salari, N.; Ghasemi, H.; Mohammadi, L.; Behzadi, M.H.; Rabieenia, E.; Shohaimi, S.; Mohammadi, M. The global prevalence of osteoporosis in the world: A comprehensive systematic review and meta-analysis. J. Orthop. Surg. Res. 2021, 16, 609. [Google Scholar] [CrossRef]
- Lee, Y.K.; Yoo, J.I.; Kim, T.Y.; Ha, Y.C.; Koo, K.H.; Choi, H.; Lee, S.M.; Suh, D.C. Validation of operational definition to identify patients with osteoporotic hip fractures in administrative claims data. Healthcare 2022, 10, 1724. [Google Scholar] [CrossRef]
- Bae, G.; Kim, E.; Kwon, H.Y.; An, J.; Park, J.; Yang, H. Disability weights for osteoporosis and osteoporotic fractures in South Korea. J. Bone Metab. 2019, 26, 83–88. [Google Scholar] [CrossRef]
- Pak, S.; Jung, K.W.; Park, E.H.; Ko, Y.H.; Won, Y.J.; Joung, J.Y. Incidence and mortality projections for major cancers among Korean men until 2034, with a focus on prostate cancer. Investig. Clin. Urol. 2022, 63, 175–183. [Google Scholar] [CrossRef]
- Wu, H.; Sun, Z.; Tong, L.; Wang, Y.; Yan, H.; Sun, Z. Bibliometric analysis of global research trends on male osteoporosis: A neglected field deserves more attention. Arch. Osteoporos. 2021, 16, 154. [Google Scholar] [CrossRef]
- Morote, J.; Martinez, E.; Trilla, E.; Esquena, S.; Abascal, J.M.; Encabo, G.; Reventós, J. Osteoporosis during continuous androgen deprivation: Influence of the modality and length of treatment. Eur. Urol. 2003, 44, 661–665. [Google Scholar] [CrossRef]
- Kim, D.K.; Lee, H.S.; Park, J.Y.; Kim, J.W.; Ahn, H.K.; Ha, J.S.; Cho, K.S. Androgen-deprivation therapy and the risk of newly developed fractures in patients with prostate cancer: A nationwide cohort study in Korea. Sci. Rep. 2021, 11, 10057. [Google Scholar] [CrossRef]
- Chen, W.C.; Li, J.R.; Wang, S.S.; Chen, C.S.; Cheng, C.L.; Hung, S.C.; Lin, C.H.; Chiu, K.Y.; Liao, P.C. Conventional androgen deprivation therapy is associated with an increased risk of fracture in advanced prostate cancer, a nationwide population-based study. PLoS ONE 2023, 18, e0279981. [Google Scholar] [CrossRef]
- Coleman, R.; Body, J.J.; Aapro, M.; Hadji, P.; Herrstedt, J.; ESMO Guidelines Working Group. Bone health in cancer patients: ESMO Clinical Practice Guidelines. Ann. Oncol. 2014, 25 (Suppl. 3), iii124–iii137. [Google Scholar] [CrossRef]
- Poulsen, M.H.; Frost, M.; Abrahamsen, B.; Gerke, O.; Walter, S.; Lund, L. Osteoporosis and prostate cancer; a 24-month prospective observational study during androgen deprivation therapy. Scand. J. Urol. 2019, 53, 34–39. [Google Scholar] [CrossRef]
- Shin, H.B.; Park, H.S.; Yoo, J.E.; Han, K.; Park, S.H.; Shin, D.W.; Park, J. Risk of fracture incidence in prostate cancer survivors: A nationwide cohort study in Republic of Korea. Arch Osteoporos. 2020, 15, 110. [Google Scholar] [CrossRef]
- DiNatale, A.; Fatatis, A. The bone microenvironment in prostate cancer metastasis. Adv. Exp. Med. Biol. 2019, 1210, 171–184. [Google Scholar] [CrossRef]
- Kachnic, L.A.; Pugh, S.L.; Tai, P.; Smith, M.; Gore, E.; Shah, A.B.; Martin, A.G.; Kim, H.E.; Nabid, A. Lawton CA.RTOG 0518: Randomized phase III trial to evaluate zoledronic acid for prevention of osteoporosis and associated fractures in prostate cancer patients. Prostate Cancer Prostatic Dis. 2013, 16, 382–386. [Google Scholar] [CrossRef]
- Alibhai, S.M.H.; Zukotynski, K.; Walker-Dilks, C.; Emmenegger, U.; Finelli, A.; Morgan, S.C.; Hotte, S.J.; Tomlinson, G.A.; Winquist, E. Bone health and bone-targeted therapies for nonmetastatic prostate cancer: A systematic review and meta-analysis. Ann. Intern. Med. 2017, 167, 341–350. [Google Scholar] [CrossRef]
- Van Oostwaard, M.M.; van den Bergh, J.P.; van de Wouw, Y.; Janssen-Heijnen, M.; de Jong, M.; Wyers, C.E. High prevalence of vertebral fractures at initiation of androgen deprivation therapy for prostate cancer. J. Bone Oncol. 2022, 38, 100465. [Google Scholar] [CrossRef]




| Total | Non-ADT User | ADT User | p-Value | |||||
|---|---|---|---|---|---|---|---|---|
| (n = 17,766) | (n = 8883) | (n = 8883) | ||||||
| Variables | N | (%) | N | (%) | N | (%) | ||
| Age (years) | ||||||||
| Mean (SD) | 68.64 | (6.79) | 68.56 | (6.59) | 68.71 | (6.99) | 0.154 | |
| Year at diagnosis | ||||||||
| 2008~2010 | 5854 | 32.95% | 2683 | 30.20% | 3171 | 35.70% | <0.001 | |
| 2011~2013 | 5716 | 32.17% | 3056 | 34.40% | 2660 | 29.94% | ||
| 2014~2016 | 6169 | 34.88% | 3144 | 35.39% | 3052 | 34.36% | ||
| Urbanicity | ||||||||
| Urban (Metropolitan areas) | 12,284 | 69.14% | 6231 | 70.15% | 6053 | 68.14% | 0.038 | |
| Rural (Other areas) | 5482 | 30.86% | 2652 | 29.85% | 2830 | 31.86% | ||
| Insurance type | ||||||||
| Self-employed insured | 5359 | 30.16% | 2773 | 31.22% | 2586 | 29.11% | <0.001 | |
| Employee insured | 11,788 | 66.35% | 5913 | 66.57% | 5875 | 66.14% | ||
| Medical aid beneficiary | 619 | 3.48% | 197 | 2.22% | 422 | 4.75% | ||
| Income level (quintile) | ||||||||
| upper > 80% | 2079 | 11.70% | 921 | 10.37% | 1158 | 13.04% | <0.001 | |
| 61–80% | 1711 | 9.63% | 793 | 8.93% | 918 | 10.33% | ||
| 41–60% | 2089 | 11.76% | 1001 | 11.27% | 1088 | 12.25% | ||
| 21–40% | 3480 | 19.59% | 1700 | 19.14% | 1780 | 20.04% | ||
| lower < 20% | 7530 | 42.38% | 4152 | 46.74% | 3378 | 38.03% | ||
| Medicaid | 877 | 4.94% | 316 | 3.56% | 561 | 6.32% | ||
| modified CCI | ||||||||
| 0–1 | 1103 | 6.21% | 630 | 7.09% | 473 | 5.32% | <0.001 | |
| 2 | 1658 | 9.33% | 814 | 9.16% | 844 | 9.50% | ||
| 3 | 1720 | 9.68% | 941 | 10.59% | 779 | 8.77% | ||
| 4+ | 13,285 | 74.78% | 6498 | 73.15% | 6787 | 76.40% | ||
| SEER summarized stage | ||||||||
| Localized | 11,560 | 65.07% | 5640 | 63.49% | 5920 | 66.64% | <0.001 | |
| Regional | 2963 | 34.93% | 3243 | 36.51% | 2963 | 33.36% | ||
| Radiotherapy (Yes) | 2717 | 15.29% | 681 | 7.67% | 2036 | 22.92% | <0.001 | |
| Surgery (Yes) | 6140 | 34.56% | 3660 | 41.20% | 2480 | 27.92% | <0.001 | |
| Osteoporotic Fracture (Event) | 685 | 3.86% | 220 | 2.48% | 465 | 5.23% | <0.001 | |
| Follow-up Period (MONTH) | ||||||||
| Mean (SD) | 47.71 | 29.90 | 48.57 | 30.45 | 46.86 | 29.31 | <0.001 | |
| Androgen Deprivation Therapy | Number of Events | Mean FU Period (Years) | Incidence Rate/100,000 Py | (95% CI) | p-Value |
|---|---|---|---|---|---|
| Osteoporotic fracture (Composite) | |||||
| Non-user (n = 8883) | 220 | 4.047 | 611.945 | (533.748–695.409) | <0.001 |
| ADT user (n = 8883) | 465 | 3.905 | 1340.461 | (1221.378–1465.004) | |
| Osteoporotic fracture (Subtype: Hip) | |||||
| Non-user (n = 8883) | 49 | 4.091 | 134.828 | (99.746–175.11) | <0.001 |
| ADT user (n = 8883) | 114 | 4.008 | 320.186 | (264.114–381.575) | |
| Osteoporotic fracture (Subtype: Spine) | |||||
| Non-user (n = 8883) | 99 | 4.078 | 273.261 | (222.093–329.654) | <0.001 |
| ADT user (n = 8883) | 233 | 3.972 | 660.424 | (578.340–747.875) | |
| Osteoporotic fracture (Subtype: Wrist) | |||||
| Non-user (n = 8883) | 80 | 4.082 | 220.642 | (174.956–271.549) | <0.001 |
| ADT user (n = 8883) | 143 | 3.982 | 404.312 | (340.762–473.215) | |
| Osteoporotic fracture (Subtype: Humerus) | |||||
| Non-user (n = 8883) | 7 | 4.100 | 19.218 | (7.727–35.857) | 0.328 |
| ADT user (n = 8883) | 11 | 4.028 | 30.744 | (15.348–51.400) |
| Variables | Univariate Model | Multivariate Model | ||||
|---|---|---|---|---|---|---|
| HR | (95% CI) | p-Value | HR | (95% CI) | p-Value | |
| Androgen deprivation therapy | ||||||
| Non-user | 1.000 | ref | <0.001 | 1.000 | ref | <0.001 |
| ADT user | 2.214 | 1.885–2.599 | 2.055 | 1.747–2.417 | ||
| Age at index date | 1.076 | 1.063–1.090 | <0.001 | 1.068 | 1.054–1.082 | <0.001 |
| Year at diagnosis | ||||||
| 2008~2010 | 1.000 | ref | - | 1.000 | ref | - |
| 2011~2013 | 0.769 | 0.642–0.922 | 0.004 | 0.882 | 0.725–1.058 | 0.177 |
| 2014~2016 | 0.958 | 0.729–1.259 | 0.761 | 0.961 | 0.731–1.263 | 0.774 |
| Urbanicity | ||||||
| Urban (Metropolitan areas) | 0.963 | 0.820–1.130 | 0.642 | 1.033 | 0.879–1.214 | 0.693 |
| Rural (Other areas) | 1.000 | ref | - | 1.000 | ref | - |
| Income level (quintile) | ||||||
| upper > 80% | 1.000 | ref | - | 1.000 | ref | - |
| 61–80% | 0.922 | 0.650–1.309 | 0.650 | 0.985 | 0.695–1.397 | 0.934 |
| 41–60% | 1.238 | 0.911–1.682 | 0.172 | 1.286 | 0.946–1.746 | 0.108 |
| 21–40% | 0.961 | 0.719–1.283 | 0.786 | 0.964 | 0.722–1.288 | 0.804 |
| lower < 20% | 0.945 | 0.730–1.222 | 0.665 | 0.917 | 0.708–1.187 | 0.510 |
| Unknown or Medical aid | 1.721 | 1.219–2.429 | 0.002 | 1.263 | 0.892–1.789 | 0.188 |
| SEER stage | ||||||
| Localized | 1.000 | ref | - | 1.000 | ref | - |
| Regional | 0.769 | 0.651–0.908 | 0.002 | 1.021 | 0.858–1.215 | 0.8112 |
| modified CCI | ||||||
| 0–1 | 1.000 | ref | - | 1.000 | ref | - |
| 2 | 1.035 | 0.538–1.992 | 0.9169 | 0.826 | 0.432–1.577 | 0.5621 |
| 3 | 1.754 | 0.963–3.196 | 0.066 | 1.497 | 0.827–2.707 | 0.183 |
| 4+ | 2.899 | 1.707–4.925 | <0.001 | 2.038 | 1.206–3.444 | 0.008 |
| Androgen Deprivation Therapy | Age-Adjusted Model | Fully Adjusted Model | |||||
|---|---|---|---|---|---|---|---|
| HR | (95% CI) | p-Value | HR | (95% CI) | p-Value | ||
| Osteoporotic fracture (Composite) | |||||||
| SEER stage: Localized | Non-user | 1.000 | ref | - | 1.000 | ref | - |
| ADT user | 2.239 | 1.844–2.719 | <0.001 | 2.159 | 1.776–2.624 | <0.001 | |
| SEER stage: Regional | Non-user | 1.000 | ref | - | 1.000 | ref | - |
| ADT user | 1.920 | 1.435–2.568 | <0.001 | 1.816 | 1.347–2.448 | <0.001 | |
| Osteoporotic fracture (Subtype: Hip) | |||||||
| SEER stage: Localized | Non-user | 1.000 | ref | - | 1.000 | ref | - |
| ADT user | 2.483 | 1.744–3.534 | <0.001 | 2.286 | 1.6–3.268 | <0.001 | |
| SEER stage: Regional | Non-user | 1.000 | ref | - | 1.000 | ref | |
| ADT user | 2.267 | 1.12–4.59 | 0.0229 | 2.284 | 1.115–4.675 | 0.0239 | |
| Osteoporotic fracture (Subtype: Spine) | |||||||
| SEER stage: Localized | Non-user | 1.000 | ref | - | 1.000 | ref | - |
| ADT user | 2.738 | 2.113–3.548 | <0.001 | 2.534 | 1.949–3.295 | <0.001 | |
| SEER stage: Regional | Non-user | 1.000 | ref | - | 1.000 | ref | - |
| ADT user | 1.657 | 1.132–2.425 | 0.0094 | 1.588 | 1.078–2.341 | 0.0193 | |
| Osteoporotic fracture (Subtype: Wrist) | |||||||
| SEER stage: Localized | Non-user | 1.000 | ref | - | 1.000 | ref | - |
| ADT user | 2.072 | 1.553–2.765 | <0.001 | 2.008 | 1.494–2.698 | <0.001 | |
| SEER stage: Regional | Non-user | 1.000 | ref | - | 1.000 | ref | - |
| ADT user | 2.004 | 1.289–3.116 | 0.002 | 1.970 | 1.25–3.106 | 0.0014 | |
| Osteoporotic fracture (Subtype: Humerus) | |||||||
| SEER stage: Localized | Non-user | 1.000 | ref | - | 1.000 | ref | - |
| ADT user | 1.519 | 0.517–4.459 | 0.4471 | 1.321 | 0.437–3.994 | 0.622 | |
| SEER stage: Regional | Non-user | 1.000 | ref | - | 1.000 | ref | - |
| ADT user | 1.762 | 0.451–6.887 | 0.6627 | 1.844 | 0.427–7.97 | 0.3756 | |
Disclaimer/Publisher’s Note: The statements, opinions and data contained in all publications are solely those of the individual author(s) and contributor(s) and not of MDPI and/or the editor(s). MDPI and/or the editor(s) disclaim responsibility for any injury to people or property resulting from any ideas, methods, instructions or products referred to in the content. |
© 2023 by the authors. Licensee MDPI, Basel, Switzerland. This article is an open access article distributed under the terms and conditions of the Creative Commons Attribution (CC BY) license (https://creativecommons.org/licenses/by/4.0/).
Share and Cite
Kim, S.H.; Jeon, Y.J.; Bak, J.K.; Yoo, B.-N.; Park, J.-W.; Ha, Y.-C.; Lee, Y.-K. Association of Androgen Deprivation Therapy with Osteoporotic Fracture in Patients with Prostate Cancer with Low Tumor Burden Using a Retrospective Population-Based Propensity-Score-Matched Cohort. Cancers 2023, 15, 2822. https://doi.org/10.3390/cancers15102822
Kim SH, Jeon YJ, Bak JK, Yoo B-N, Park J-W, Ha Y-C, Lee Y-K. Association of Androgen Deprivation Therapy with Osteoporotic Fracture in Patients with Prostate Cancer with Low Tumor Burden Using a Retrospective Population-Based Propensity-Score-Matched Cohort. Cancers. 2023; 15(10):2822. https://doi.org/10.3390/cancers15102822
Chicago/Turabian StyleKim, Sung Han, Ye Jhin Jeon, Jean Kyung Bak, Bit-Na Yoo, Jung-Wee Park, Yong-Chan Ha, and Young-Kyun Lee. 2023. "Association of Androgen Deprivation Therapy with Osteoporotic Fracture in Patients with Prostate Cancer with Low Tumor Burden Using a Retrospective Population-Based Propensity-Score-Matched Cohort" Cancers 15, no. 10: 2822. https://doi.org/10.3390/cancers15102822
APA StyleKim, S. H., Jeon, Y. J., Bak, J. K., Yoo, B.-N., Park, J.-W., Ha, Y.-C., & Lee, Y.-K. (2023). Association of Androgen Deprivation Therapy with Osteoporotic Fracture in Patients with Prostate Cancer with Low Tumor Burden Using a Retrospective Population-Based Propensity-Score-Matched Cohort. Cancers, 15(10), 2822. https://doi.org/10.3390/cancers15102822

