Immune Microenvironment Characteristics of Urachal Carcinoma and Its Implications for Prognosis and Immunotherapy
Abstract
Simple Summary
Abstract
1. Introduction
2. Materials and Methods
2.1. Patients and Tissue Specimens
2.2. IHC Staining and Evaluation in UrC
2.3. Statistical Analysis
3. Results
3.1. Clinicopathological Features of Urachal Carcinoma
3.2. Quantity Pattern of Immune Cells in Urachal Carcinoma
3.3. Associations between Immune Characteristics and Clinicopathological Features in Urachal Carcinoma
3.4. Associations between Immune Cell PD-L1 Expression and Clinicopathological Features and Immune Characteristics in Urachal Carcinoma
3.5. Association between CD8+ T Cell Density and PD-L1 or PD1 Expression on Immune Cells in Urachal Carcinoma
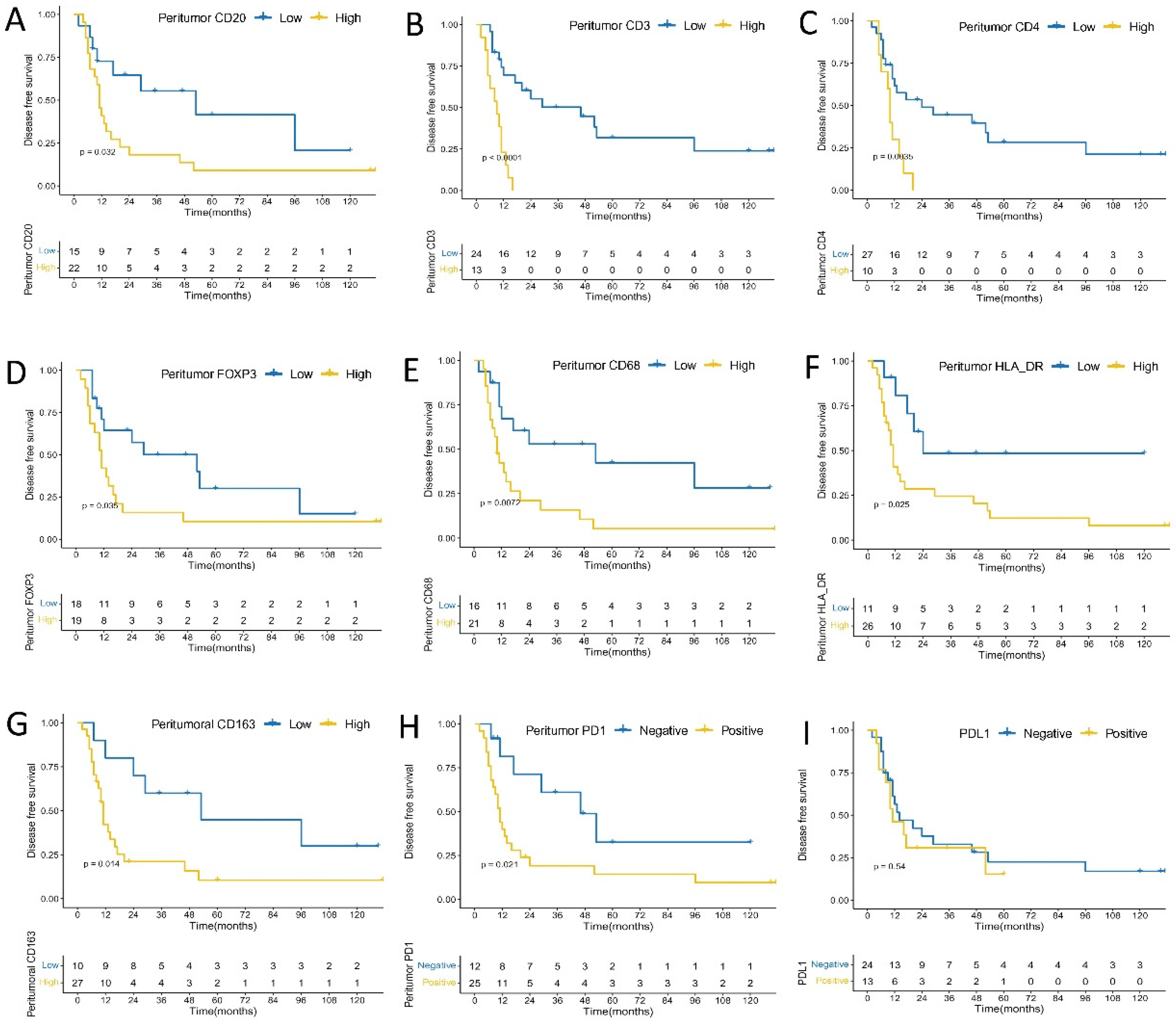
3.6. PD-L1 and PD1 Expression and Immune Cells Densities Can Predict OS and DFS in Urachal Carcinomas
4. Discussion
5. Conclusions
Supplementary Materials
Author Contributions
Funding
Institutional Review Board Statement
Informed Consent Statement
Data Availability Statement
Conflicts of Interest
References
- Szarvas, T.; Modos, O.; Niedworok, C.; Reis, H.; Szendroi, A.; Szasz, M.A.; Nyirady, P. Clinical, prognostic, and therapeutic aspects of urachal carcinoma-A comprehensive review with meta-analysis of 1010 cases. Urol. Oncol. 2016, 34, 388–398. [Google Scholar] [CrossRef] [PubMed]
- Gopalan, A.; Sharp, D.S.; Fine, S.W.; Tickoo, S.K.; Herr, H.W.; Reuter, V.E.; Olgac, S. Urachal carcinoma: A clinicopathologic analysis of 24 cases with outcome correlation. Am. J. Surg. Pathol. 2009, 33, 659–668. [Google Scholar] [CrossRef] [PubMed]
- Herr, H.W.; Bochner, B.H.; Sharp, D.; Dalbagni, G.; Reuter, V.E. Urachal carcinoma: Contemporary surgical outcomes. J. Urol. 2007, 178, 74–78. [Google Scholar] [CrossRef] [PubMed]
- Siefker-Radtke, A.O.; Gee, J.; Shen, Y.; Wen, S.; Daliani, D.; Millikan, R.E.; Pisters, L.L. Multimodality management of urachal carcinoma: The MD Anderson Cancer Center experience. J. Urol. 2003, 169, 1295–1298. [Google Scholar] [CrossRef] [PubMed]
- Behrendt, M.A.; BW, V.R. Urachal cancer: Contemporary review of the pathological, surgical, and prognostic aspects of this rare disease. Minerva Urol. Nefrol. 2016, 68, 172–184. [Google Scholar]
- Kennedy, L.B.; Salama, A.K. A review of cancer immunotherapy toxicity. CA Cancer J. Clin. 2020, 70, 86–104. [Google Scholar] [CrossRef]
- Borghaei, H.; Gettinger, S.; Vokes, E.E.; Chow, L.Q.M.; Burgio, M.A.; de Castro Carpeno, J.; Pluzanski, A.; Arrieta, O.; Frontera, O.A.; Chiari, R.; et al. Five-Year Outcomes from the Randomized, Phase III Trials CheckMate 017 and 057: Nivolumab Versus Docetaxel in Previously Treated Non-Small-Cell Lung Cancer. J. Clin. Oncol. 2021, 39, 723–733. [Google Scholar] [CrossRef]
- Motzer, R.J.; Rini, B.I.; McDermott, D.F.; Redman, B.G.; Kuzel, T.M.; Harrison, M.R.; Vaishampayan, U.N.; Drabkin, H.A.; George, S.; Logan, T.F.; et al. Nivolumab for Metastatic Renal Cell Carcinoma: Results of a Randomized Phase II Trial. J. Clin. Oncol. 2015, 33, 1430–1437. [Google Scholar] [CrossRef]
- Robert, C.; Ribas, A.; Schachter, J.; Arance, A.; Grob, J.J.; Mortier, L.; Daud, A.; Carlino, M.S.; McNeil, C.M.; Lotem, M.; et al. Pembrolizumab versus ipilimumab in advanced melanoma (KEYNOTE-006): Post-hoc 5-year results from an open-label, multicentre, randomised, controlled, phase 3 study. Lancet Oncol. 2019, 20, 1239–1251. [Google Scholar] [CrossRef]
- O′Donnell, J.S.; Teng, M.W.L.; Smyth, M.J. Cancer immunoediting and resistance to T cell-based immunotherapy. Nat. Rev. Clin. Oncol. 2019, 16, 151–167. [Google Scholar] [CrossRef]
- Chen, D.S.; Mellman, I. Elements of cancer immunity and the cancer-immune set point. Nature 2017, 541, 321–330. [Google Scholar] [CrossRef] [PubMed]
- Blank, C.U.; Haanen, J.B.; Ribas, A.; Schumacher, T.N. The “cancer immunogram”. Science 2016, 352, 658–660. [Google Scholar] [CrossRef] [PubMed]
- Topalian, S.L.; Hodi, F.S.; Brahmer, J.R.; Gettinger, S.N.; Smith, D.C.; McDermott, D.F.; Powderly, J.D.; Carvajal, R.D.; Sosman, J.A.; Atkins, M.B.; et al. Safety, activity, and immune correlates of anti-PD-1 antibody in cancer. N. Engl. J. Med. 2012, 366, 2443–2454. [Google Scholar] [CrossRef] [PubMed]
- Neubert, N.J.; Schmittnaegel, M.; Bordry, N.; Nassiri, S.; Wald, N.; Martignier, C.; Tille, L.; Homicsko, K.; Damsky, W.; Maby-El Hajjami, H.; et al. T cell-induced CSF1 promotes melanoma resistance to PD1 blockade. Sci. Transl. Med. 2018, 10, 436. [Google Scholar] [CrossRef] [PubMed]
- Kinoshita, T.; Kudo-Saito, C.; Muramatsu, R.; Fujita, T.; Saito, M.; Nagumo, H.; Sakurai, T.; Noji, S.; Takahata, E.; Yaguchi, T.; et al. Determination of poor prognostic immune features of tumour microenvironment in non-smoking patients with lung adenocarcinoma. Eur. J. Cancer 2017, 86, 15–27. [Google Scholar] [CrossRef]
- Kawakami, Y.; Ohta, S.; Sayem, M.A.; Tsukamoto, N.; Yaguchi, T. Immune-resistant mechanisms in cancer immunotherapy. Int. J. Clin. Oncol. 2020, 25, 810–817. [Google Scholar] [CrossRef]
- Cui, C.; Tian, X.; Wu, J.; Zhang, C.; Tan, Q.; Guan, X.; Dong, B.; Zhao, M.; Lu, Z.; Hao, C. T cell receptor beta-chain repertoire analysis of tumor-infiltrating lymphocytes in pancreatic cancer. Cancer Sci. 2019, 110, 61–71. [Google Scholar] [CrossRef]
- Chen, J.; He, Q.; Wu, P.; Fu, J.; Xiao, Y.; Chen, K.; Xie, D.; Zhang, X. ZMYND8 expression combined with pN and pM classification as a novel prognostic prediction model for colorectal cancer: Based on TCGA and GEO database analysis. Cancer Biomark 2020, 28, 201–211. [Google Scholar] [CrossRef]
- Krabbe, L.M.; Heitplatz, B.; Preuss, S.; Hutchinson, R.C.; Woldu, S.L.; Singla, N.; Boegemann, M.; Wood, C.G.; Karam, J.A.; Weizer, A.Z.; et al. Prognostic Value of PD-1 and PD-L1 Expression in Patients with High Grade Upper Tract Urothelial Carcinoma. J. Urol. 2017, 198, 1253–1262. [Google Scholar] [CrossRef]
- Thompson, E.D.; Zahurak, M.; Murphy, A.; Cornish, T.; Cuka, N.; Abdelfatah, E.; Yang, S.; Duncan, M.; Ahuja, N.; Taube, J.M.; et al. Patterns of PD-L1 expression and CD8 T cell infiltration in gastric adenocarcinomas and associated immune stroma. Gut 2017, 66, 794–801. [Google Scholar] [CrossRef]
- Huang, Y.H.; Zhang, C.Z.; Huang, Q.S.; Yeong, J.; Wang, F.; Yang, X.; He, Y.F.; Zhang, X.L.; Zhang, H.; Chen, S.L.; et al. Clinicopathologic features, tumor immune microenvironment and genomic landscape of Epstein-Barr virus-associated intrahepatic cholangiocarcinoma. J. Hepatol. 2021, 74, 838–849. [Google Scholar] [CrossRef] [PubMed]
- Liu, L.L.; Zhang, S.W.; Chao, X.; Wang, C.H.; Yang, X.; Zhang, X.K.; Wen, Y.L.; Yun, J.P.; Luo, R.Z. Coexpression of CMTM6 and PD-L1 as a predictor of poor prognosis in macrotrabecular-massive hepatocellular carcinoma. Cancer Immunol. Immunother. 2021, 70, 417–429. [Google Scholar] [CrossRef] [PubMed]
- Massi, D.; Rulli, E.; Cossa, M.; Valeri, B.; Rodolfo, M.; Merelli, B.; De Logu, F.; Nassini, R.; Del Vecchio, M.; Di Guardo, L.; et al. The density and spatial tissue distribution of CD8(+) and CD163(+) immune cells predict response and outcome in melanoma patients receiving MAPK inhibitors. J. Immunother. Cancer 2019, 7, 308. [Google Scholar] [CrossRef] [PubMed]
- Lorenzen, S.; Lordick, F.; Loosen, S.H.; Tacke, F.; Trautwein, C.; Roderburg, C.; Ettrich, T.J.; Perkhofer, L.; Reinacher-Schick, A.; Stein, A. Current status of immunotherapy in gastrointestinal malignancies. Z. Gastroenterol. 2020, 58, 542–555. [Google Scholar] [CrossRef] [PubMed]
- Reis, H.; van der Vos, K.E.; Niedworok, C.; Herold, T.; Modos, O.; Szendroi, A.; Hager, T.; Ingenwerth, M.; Vis, D.J.; Behrendt, M.A.; et al. Pathogenic and targetable genetic alterations in 70 urachal adenocarcinomas. Int. J. Cancer 2018, 143, 1764–1773. [Google Scholar] [CrossRef] [PubMed]
- Sirintrapun, S.J.; Ward, M.; Woo, J.; Cimic, A. High-stage urachal adenocarcinoma can be associated with microsatellite instability and KRAS mutations. Hum. Pathol. 2014, 45, 327–330. [Google Scholar] [CrossRef]
- Tokunaga, R.; Nakagawa, S.; Sakamoto, Y.; Nakamura, K.; Naseem, M.; Izumi, D.; Kosumi, K.; Taki, K.; Higashi, T.; Miyata, T.; et al. 12-Chemokine signature, a predictor of tumor recurrence in colorectal cancer. Int. J. Cancer 2020, 147, 532–541. [Google Scholar] [CrossRef]
- Di Caro, G.; Bergomas, F.; Grizzi, F.; Doni, A.; Bianchi, P.; Malesci, A.; Laghi, L.; Allavena, P.; Mantovani, A.; Marchesi, F. Occurrence of tertiary lymphoid tissue is associated with T-cell infiltration and predicts better prognosis in early-stage colorectal cancers. Clin. Cancer Res. 2014, 20, 2147–2158. [Google Scholar] [CrossRef]
- Hinshaw, D.C.; Shevde, L.A. The Tumor Microenvironment Innately Modulates Cancer Progression. Cancer Res. 2019, 79, 4557–4566. [Google Scholar] [CrossRef]
- Boon, T.; Coulie, P.G.; Van den Eynde, B.J.; van der Bruggen, P. Human T cell responses against melanoma. Annu. Rev. Immunol. 2006, 24, 175–208. [Google Scholar] [CrossRef]
- Tosolini, M.; Kirilovsky, A.; Mlecnik, B.; Fredriksen, T.; Mauger, S.; Bindea, G.; Berger, A.; Bruneval, P.; Fridman, W.H.; Pages, F.; et al. Clinical impact of different classes of infiltrating T cytotoxic and helper cells (Th1, th2, treg, th17) in patients with colorectal cancer. Cancer Res. 2011, 71, 1263–1271. [Google Scholar] [CrossRef] [PubMed]
- van der Leun, A.M.; Thommen, D.S.; Schumacher, T.N. CD8(+) T cell states in human cancer: Insights from single-cell analysis. Nat. Rev. Cancer 2020, 20, 218–232. [Google Scholar] [CrossRef] [PubMed]
- Savas, P.; Virassamy, B.; Ye, C.; Salim, A.; Mintoff, C.P.; Caramia, F.; Salgado, R.; Byrne, D.J.; Teo, Z.L.; Dushyanthen, S.; et al. Single-cell profiling of breast cancer T cells reveals a tissue-resident memory subset associated with improved prognosis. Nat. Med. 2018, 24, 986–993. [Google Scholar] [CrossRef] [PubMed]
- Yang, Z.Q.; Yang, Z.Y.; Zhang, L.D.; Ping, B.; Wang, S.G.; Ma, K.S.; Li, X.W.; Dong, J.H. Increased liver-infiltrating CD8+FoxP3+ regulatory T cells are associated with tumor stage in hepatocellular carcinoma patients. Hum. Immunol. 2010, 71, 1180–1186. [Google Scholar] [CrossRef]
- Lebosse, F.; Gudd, C.; Tunc, E.; Singanayagam, A.; Nathwani, R.; Triantafyllou, E.; Pop, O.; Kumar, N.; Mukherjee, S.; Hou, T.Z.; et al. CD8(+)T cells from patients with cirrhosis display a phenotype that may contribute to cirrhosis-associated immune dysfunction. EBioMedicine 2019, 49, 258–268. [Google Scholar] [CrossRef]
- Starska, K.; Glowacka, E.; Kulig, A.; Lewy-Trenda, I.; Brys, M.; Lewkowicz, P. Prognostic value of the immunological phenomena and relationship with clinicopathological characteristics of the tumor—The expression of the early CD69+, CD71+ and the late CD25+, CD26+, HLA/DR+ activation markers on T CD4+ and CD8+ lymphocytes in squamous cell laryngeal carcinoma. Part II. Folia Histochem. Cytobiol. 2011, 49, 593–603. [Google Scholar]
- Gartrell, R.D.; Marks, D.K.; Hart, T.D.; Li, G.; Davari, D.R.; Wu, A.; Blake, Z.; Lu, Y.; Askin, K.N.; Monod, A.; et al. Quantitative Analysis of Immune Infiltrates in Primary Melanoma. Cancer Immunol. Res. 2018, 6, 481–493. [Google Scholar]
- Pinzon-Charry, A.; Maxwell, T.; Prato, S.; Furnival, C.; Schmidt, C.; Lopez, J.A. HLA-DR+ immature cells exhibit reduced antigen-presenting cell function but respond to CD40 stimulation. Neoplasia 2005, 7, 1123–1132. [Google Scholar] [CrossRef][Green Version]
- Elston, L.; Fegan, C.; Hills, R.; Hashimdeen, S.S.; Walsby, E.; Henley, P.; Pepper, C.; Man, S. Increased frequency of CD4(+) PD-1(+) HLA-DR(+) T cells is associated with disease progression in CLL. Br. J. Haematol. 2020, 188, 872–880. [Google Scholar] [CrossRef]
- Llosa, N.J.; Cruise, M.; Tam, A.; Wicks, E.C.; Hechenbleikner, E.M.; Taube, J.M.; Blosser, R.L.; Fan, H.; Wang, H.; Luber, B.S.; et al. The vigorous immune microenvironment of microsatellite instable colon cancer is balanced by multiple counter-inhibitory checkpoints. Cancer Discov. 2015, 5, 43–51. [Google Scholar] [CrossRef]
- Bas, Y.; Koc, N.; Helvaci, K.; Kocak, C.; Akdeniz, R.; Sahin, H.H.K. Clinical and pathological significance of programmed cell death 1 (PD-1)/programmed cell death ligand 1 (PD-L1) expression in high grade serous ovarian cancer. Transl. Oncol. 2021, 14, 100994. [Google Scholar] [CrossRef] [PubMed]
- Thompson, R.H.; Kuntz, S.M.; Leibovich, B.C.; Dong, H.; Lohse, C.M.; Webster, W.S.; Sengupta, S.; Frank, I.; Parker, A.S.; Zincke, H.; et al. Tumor B7-H1 is associated with poor prognosis in renal cell carcinoma patients with long-term follow-up. Cancer Res. 2006, 66, 3381–3385. [Google Scholar] [CrossRef] [PubMed]
- Wu, Y.; Chen, W.; Xu, Z.P.; Gu, W. PD-L1 Distribution and Perspective for Cancer Immunotherapy-Blockade, Knockdown, or Inhibition. Front. Immunol. 2019, 10, 2022. [Google Scholar] [CrossRef] [PubMed]
- Deng, M.; Li, S.H.; Fu, X.; Yan, X.P.; Chen, J.; Qiu, Y.D.; Guo, R.P. Relationship between PD-L1 expression, CD8+ T-cell infiltration and prognosis in intrahepatic cholangiocarcinoma patients. Cancer Cell Int. 2021, 21, 371. [Google Scholar] [CrossRef] [PubMed]
- Ma, J.; Zheng, B.; Goswami, S.; Meng, L.; Zhang, D.; Cao, C.; Li, T.; Zhu, F.; Ma, L.; Zhang, Z.; et al. PD1(Hi) CD8(+) T cells correlate with exhausted signature and poor clinical outcome in hepatocellular carcinoma. J. Immunother. Cancer 2019, 7, 331. [Google Scholar] [CrossRef] [PubMed]
- Taguchi, K.; Onoe, T.; Yoshida, T.; Yamashita, Y.; Tanaka, Y.; Ohdan, H. Tumor Endothelial Cell-Mediated Antigen-Specific T-cell Suppression via the PD-1/PD-L1 Pathway. Mol. Cancer Res. 2020, 18, 1427–1440. [Google Scholar] [CrossRef] [PubMed]
- Huang, C.Y.; Wang, Y.; Luo, G.Y.; Han, F.; Li, Y.Q.; Zhou, Z.G.; Xu, G.L. Relationship Between PD-L1 Expression and CD8+ T-cell Immune Responses in Hepatocellular Carcinoma. J. Immunother. 2017, 40, 323–333. [Google Scholar] [CrossRef]
- O′Malley, G.; Treacy, O.; Lynch, K.; Naicker, S.D.; Leonard, N.A.; Lohan, P.; Dunne, P.D.; Ritter, T.; Egan, L.J.; Ryan, A.E. Stromal Cell PD-L1 Inhibits CD8(+) T-cell Antitumor Immune Responses and Promotes Colon Cancer. Cancer Immunol. Res. 2018, 6, 1426–1441. [Google Scholar] [CrossRef]
- Zou, Y.X.; Zhu, H.Y.; Li, X.T.; Xia, Y.; Miao, K.R.; Zhao, S.S.; Wu, Y.J.; Wang, L.; Xu, W.; Li, J.Y. The impacts of zanubrutinib on immune cells in patients with chronic lymphocytic leukemia/small lymphocytic lymphoma. Hematol. Oncol. 2019, 37, 392–400. [Google Scholar] [CrossRef]







| Variables | Intratumoral Immune Characteristics (Cells/mm2) | ||||||||||||||||
|---|---|---|---|---|---|---|---|---|---|---|---|---|---|---|---|---|---|
| N | CD20 | p Value | CD3 | p Value | CD 4 | p Value | CD 8 | p Value | FOXP3 | p Value | CD 68 | p Value | HLA-DR | p Value | CD163 | p Value | |
| Gender | 0.3615 | 0.3525 | 0.3325 | 0.3275 | 0.4658 | 0.9666 | 0.2176 | 0.5293 | |||||||||
| Female | 9 | 19.69 | 73.31 | 37.24 | 35.58 | 29.60 | 19.82 | 36.22 | 16.24 | ||||||||
| Male | 28 | 27.74 | 97.68 | 28.38 | 51.53 | 39.01 | 20.17 | 56.53 | 19.96 | ||||||||
| Age (a) | 0.5668 | 0.6604 | 0.2749 | 0.7518 | 0.8497 | 0.1799 | 0.9187 | 0.6375 | |||||||||
| ≤51 | 20 | 23.87 | 85.76 | 27.46 | 47.58 | 36.70 | 24.27 | 52.95 | 18.82 | ||||||||
| >51 | 17 | 28.29 | 95.27 | 36.06 | 43.32 | 34.68 | 15.39 | 51.55 | 21.20 | ||||||||
| Tumor size (b) | 0.9702 | 0.4933 | 0.9194 | 0.4649 | 0.5982 | 0.1971 | 0.1251 | 0.0722 | |||||||||
| ≤4 cm | 20 | 25.77 | 83.33 | 31.78 | 41.11 | 33.20 | 16.26 | 42.82 | 15.83 | ||||||||
| >4 cm | 17 | 26.06 | 98.13 | 30.98 | 50.93 | 38.80 | 24.81 | 63.47 | 24.72 | ||||||||
| Vascular invasion | 0.9589 | 0.5833 | 0.8441 | 0.2302 | 0.3313 | 0.0611 | 0.2367 | 0.6254 | |||||||||
| No | 30 | 25.81 | 82.87 | 31.79 | 41.77 | 33.30 | 17.24 | 48.45 | 19.32 | ||||||||
| Yes | 7 | 26.31 | 102.4 | 29.80 | 62.14 | 46.37 | 32.83 | 68.86 | 22.46 | ||||||||
| Perineural invasion | 0.3691 | 0.2339 | 0.1316 | 0.4042 | 0.0532 | 0.2422 | 0.1397 | 0.5096 | |||||||||
| No | 21 | 22.90 | 79.02 | 26.29 | 40.75 | 27.06 | 16.81 | 43.65 | 18.47 | ||||||||
| Yes | 16 | 29.85 | 104.7 | 38.14 | 52.01 | 47.21 | 24.63 | 63.68 | 21.18 | ||||||||
| Mayo stage | 0.2493 | 0.4169 | 0.6842 | 0.1949 | 0.5363 | 0.1201 | 0.0027 | 0.0779 | |||||||||
| II | 6 | 21.90 | 63.37 | 27.27 | 29.57 | 23.07 | 15.77 | 42.07 | 21.08 | ||||||||
| III | 23 | 22.57 | 90.18 | 30.32 | 42.51 | 36.99 | 18.15 | 40.61 | 16.03 | ||||||||
| IV | 8 | 37.90 | 110.1 | 37.65 | 6.60 | 41.80 | 29.38 | 93.63 | 29.68 | ||||||||
| Histological type | 0.8698 | 0.9488 | 0.0826 | 0.2879 | 0.1256 | 0.5743 | 0.3572 | ||||||||||
| Enteric | 14 | 25.76 | 98.96 | 33.77 | 55.41 | 39.97 | 23.86 | 50.46 | 21.50 | ||||||||
| Mucinous | 7 | 21.97 | 52.00 | 13.89 | 23.97 | 18.63 | 6.429 | 39.94 | 12.49 | ||||||||
| Mixed | 16 | 27.83 | 99.09 | 37.01 | 46.53 | 39.60 | 23.00 | 59.34 | 21.78 | ||||||||
| Relapse | 0.4716 | 0.1308 | 0.8501 | 0.1904 | 0.1134 | 0.4015 | 0.1016 | 0.9248 | |||||||||
| No | 9 | 21.02 | 62.31 | 29.69 | 30.29 | 21.22 | 15.27 | 32.98 | 20.33 | ||||||||
| Yes | 28 | 27.47 | 99.01 | 31.96 | 50.55 | 40.145 | 21.77 | 58.52 | 19.78 | ||||||||
| MMR status (c) | 0.5048 | 0.4016 | 0.8173 | 0.4978 | 0.1047 | 0.8180 | 0.9800 | 0.7490 | |||||||||
| pMMR | 34 | 26.66 | 92.78 | 31.68 | 46.97 | 38.28 | 20.42 | 52.36 | 20.15 | ||||||||
| dMMR | 3 | 17.27 | 60.07 | 28.33 | 30.33 | 7.333 | 17.60 | 51.73 | 17.20 | ||||||||
| Variables | Peritumoral Immune Characteristics (Cells/mm2) | ||||||||||||||||
|---|---|---|---|---|---|---|---|---|---|---|---|---|---|---|---|---|---|
| N | CD20 | p Value | CD3 | p Value | CD 4 | p Value | CD 8 | p Value | FOXP3 | p Value | CD 68 | p Value | HLA-DR | p Value | CD163 | p Value | |
| Gender | 0.4772 | 0.6944 | 0.8820 | 0.8028 | 0.5933 | 0.5357 | 0.3430 | 0.7074 | |||||||||
| Female | 9 | 53.29 | 92.38 | 45.00 | 54.64 | 23.36 | 14.87 | 68.71 | 15.84 | ||||||||
| Male | 28 | 69.80 | 100.8 | 46.99 | 58.13 | 28.35 | 12.27 | 88.32 | 18.32 | ||||||||
| Age (a) | 0.7648 | 0.4899 | 0.2456 | 0.7843 | 0.1532 | 0.4394 | 0.3557 | 0.1000 | |||||||||
| ≤51 | 20 | 67.49 | 105.5 | 21.91 | 55.24 | 31.53 | 13.20 | 91.52 | 15.27 | ||||||||
| >51 | 17 | 61.71 | 93.39 | 39.53 | 58.46 | 20.47 | 17.47 | 75.75 | 27.60 | ||||||||
| Tumor size (b) | 0.3094 | 0.6421 | 0.5250 | 0.5004 | 0.8135 | 0.3181 | 0.8818 | 0.5086 | |||||||||
| ≤4cm | 20 | 73.80 | 103.7 | 47.25 | 60.35 | 27.30 | 12.63 | 83.10 | 18.62 | ||||||||
| >4cm | 17 | 54.28 | 95.44 | 44.84 | 52.45 | 25.45 | 18.14 | 85.65 | 23.66 | ||||||||
| Vascular invasion | 0.5180 | 0.9274 | 0.3129 | 0.3571 | 0.8195 | 0.2606 | 0.2503 | 0..2391 | |||||||||
| No | 30 | 67.83 | 99.53 | 43.51 | 54.13 | 26.88 | 16.65 | 88.98 | 23.07 | ||||||||
| Yes | 7 | 51.97 | 101.6 | 57.43 | 67.83 | 24.60 | 8.771 | 64.10 | 11.74 | ||||||||
| Perineural invasion | 0.5953 | 0.1594 | 0.0447 | 0.0752 | 0.1600 | 0.7878 | 0.3843 | 0.9357 | |||||||||
| No | 21 | 60.37 | 89.13 | 36.88 | 47.82 | 21.71 | 14.51 | 77.81 | 20.67 | ||||||||
| Yes | 16 | 70.69 | 114.1 | 58.30 | 68.40 | 32.66 | 16.01 | 92.76 | 21.29 | ||||||||
| Mayo stage | 0.7321 | 0.4896 | 0.4054 | 0.2331 | 0.7579 | 0.5021 | 0.6917 | 0.1014 | |||||||||
| II | 6 | 48.71 | 76.47 | 34.07 | 41.83 | 22.27 | 22.50 | 69.70 | 33.67 | ||||||||
| III | 23 | 66.69 | 102.9 | 45.28 | 54.84 | 28.71 | 13.57 | 89.43 | 17.26 | ||||||||
| IV | 8 | 72.00 | 109.1 | 57.68 | 73.28 | 23.08 | 14.32 | 80.39 | 20.93 | ||||||||
| Histological type | 0.1502 | 0.6711 | 0.1870 | 0.1086 | 0.2672 | 0.0458 | 0.5277 | 0.1014 | |||||||||
| Enteric | 14 | 86.00 | 109.9 | 44.64 | 71.86 | 34.33 | 23.36 | 96.40 | 31.10 | ||||||||
| Mucinous | 7 | 67.49 | 90.43 | 28.40 | 42.91 | 24.71 | 6.871 | 80.60 | 15.60 | ||||||||
| Mixed | 16 | 45.15 | 95.36 | 55.21 | 49.51 | 20.55 | 11.61 | 75.27 | 14.38 | ||||||||
| Relapse | 0.2220 | 0.0303 | 0.2639 | 0.0407 | 0.2287 | 0.1748 | 0.3044 | 0.6097 | |||||||||
| No | 9 | 44.29 | 67.00 | 35.51 | 36.18 | 18.22 | 8.622 | 68.89 | 17.51 | ||||||||
| Yes | 28 | 71.44 | 110.5 | 49.56 | 63.32 | 29.09 | 17.62 | 89.22 | 22.04 | ||||||||
| MMR status (c) | 0.7228 | 0.5314 | 0.6937 | 0.8005 | 0.1324 | 0.9010 | 0.9762 | 0.9256 | |||||||||
| pMMR | 34 | 63.82 | 101.6 | 46.78 | 57.16 | 28.17 | 15.26 | 84.20 | 20.83 | ||||||||
| dMMR | 3 | 76.33 | 81.20 | 38.99 | 51.73 | 6.933 | 14.00 | 85.13 | 22.13 | ||||||||
| Variables (Mean) | PD-L1 Expression in Immune Cells | |||
|---|---|---|---|---|
| Negative | Positive | t-Test | p Value | |
| CD20 density (cells/mm2) | ||||
| Intratumor | 21.66 | 33.74 | 1.557 | 0.1286 |
| Peritumor | 69.55 | 56.12 | 0.6740 | 0.5048 |
| CD3 density (cells/mm2) | ||||
| Intratumor | 67.04 | 132.8 | 3.365 | 0.0019 |
| Peritumor | 85.88 | 125.8 | 2.315 | 0.0266 |
| Intraepithelial | 3.525 | 4.615 | 0.3888 | 0.6998 |
| CD4 density (cells/mm2) | ||||
| Intratumor | 23.91 | 45.26 | 2.885 | 0.0067 |
| Peritumor | 35.83 | 65.18 | 2.886 | 0.0066 |
| Intraepithelial | 0.1583 | 0.3538 | 0.5814 | 0.5646 |
| CD8 density (cells/mm2) | ||||
| Intratumor | 33.63 | 67.77 | 2.682 | 0.0111 |
| Peritumor | 50.53 | 68.14 | 1.489 | 0.1485 |
| Intraepithelial | 2.825 | 3.692 | 0.3728 | 0.7115 |
| FOXP3 density (cells/mm2) | ||||
| Intratumor | 24.30 | 56.95 | 3.417 | 0.0016 |
| Peritumor | 23.77 | 31.40 | 0.9493 | 0.3490 |
| CD68 density (cells/mm2) | ||||
| Intratumor | 16.13 | 27.69 | 1.733 | 0.0919 |
| Peritumor | 13.72 | 17.82 | 0.7164 | 0.4785 |
| HLA-DR (a) density (cells/mm2) | ||||
| Intratumor | 45.29 | 65.26 | 1.448 | 0.1564 |
| Peritumor | 86.43 | 80.29 | 0.3454 | 0.7319 |
| CD163 density (cells/mm2) | ||||
| Intratumor | 18.84 | 21.89 | 0.5846 | 0.5626 |
| Peritumor | 18.78 | 24.91 | 0.7796 | 0.4409 |
| The proportion of PD1 expression (%) | ||||
| Intratumor | 1.208 | 6.462 | 2.646 | 0.0121 |
| Peritumor | 5.000 | 7.692 | 1.453 | 0.1550 |
| TLS (b) | ||||
| The number of per slide | 1.453 | 0.4856 | 2.907 | 0.0063 |
| Variables | PD-L1 Expression in Immune Cells | |||
|---|---|---|---|---|
| N | Negative | Positive | p Value | |
| Gender | 0.8964 | |||
| Female | 9 | 6(66.67%) | 3(33.33%) | |
| Male | 28 | 18(64.29%) | 10(35.71%) | |
| Age (a) | 0.4779 | |||
| ≤51 | 20 | 14(70.00%) | 6(30.00%) | |
| >51 | 17 | 10(58.82%) | 7(41.18%) | |
| Tumor size (b) | 0.9851 | |||
| ≤4 cm | 20 | 13(65.00%) | 7(35.00%) | |
| >4 cm | 17 | 11(64.71%) | 6(35.29%) | |
| Vascular invasion | 0.1756 | |||
| No | 30 | 21(70.00%) | 9(30.00%) | |
| Yes | 7 | 3(42.86%) | 4(57.14%) | |
| Perineural invasion | 0.6657 | |||
| No | 21 | 13(61.90%) | 8(38.10%) | |
| Yes | 16 | 11(68.75%) | 5(31.25%) | |
| Histological type | 0.2420 | |||
| Enteric | 14 | 11(53.6%) | 3(46.4%) | |
| Mucinous | 7 | 5(71.43%) | 2(28.57%) | |
| Mixed | 16 | 8(50.00%) | 8(50.00%) | |
| Mayo stage | 0.6044 | |||
| II | 6 | 4(66.67%) | 2(33.33%) | |
| III | 23 | 16(69.57%) | 7(30.43%) | |
| IV | 8 | 4(50.00%) | 4(50.00%) | |
| Relapse | 0.8964 | |||
| No | 9 | 6(66.67%) | 3(33.33%) | |
| Yes | 28 | 18(64.29%) | 10(35.71%) | |
| MMR status (c) | 0.9456 | |||
| pMMR | 34 | 22(64.71%) | 12(35.29%) | |
| dMMR | 3 | 2(66.67%) | 1(33.33%) | |
| Therapeutic efficacy | 0.7829 | |||
| SD | 7 | 4(57.14%) | 3(42.86%) | |
| PD | 11 | 7(63.64%) | 4(36.36%) | |
Publisher’s Note: MDPI stays neutral with regard to jurisdictional claims in published maps and institutional affiliations. |
© 2022 by the authors. Licensee MDPI, Basel, Switzerland. This article is an open access article distributed under the terms and conditions of the Creative Commons Attribution (CC BY) license (https://creativecommons.org/licenses/by/4.0/).
Share and Cite
Zhang, X.; Wang, S.; Nie, R.-C.; Qu, C.; Chen, J.; Yang, Y.; Cai, M. Immune Microenvironment Characteristics of Urachal Carcinoma and Its Implications for Prognosis and Immunotherapy. Cancers 2022, 14, 615. https://doi.org/10.3390/cancers14030615
Zhang X, Wang S, Nie R-C, Qu C, Chen J, Yang Y, Cai M. Immune Microenvironment Characteristics of Urachal Carcinoma and Its Implications for Prognosis and Immunotherapy. Cancers. 2022; 14(3):615. https://doi.org/10.3390/cancers14030615
Chicago/Turabian StyleZhang, Xinke, Suijing Wang, Run-Cong Nie, Chunhua Qu, Jierong Chen, Yuanzhong Yang, and Muyan Cai. 2022. "Immune Microenvironment Characteristics of Urachal Carcinoma and Its Implications for Prognosis and Immunotherapy" Cancers 14, no. 3: 615. https://doi.org/10.3390/cancers14030615
APA StyleZhang, X., Wang, S., Nie, R.-C., Qu, C., Chen, J., Yang, Y., & Cai, M. (2022). Immune Microenvironment Characteristics of Urachal Carcinoma and Its Implications for Prognosis and Immunotherapy. Cancers, 14(3), 615. https://doi.org/10.3390/cancers14030615

