The Prognostic Value of Plasma Programmed Death Protein-1 (PD-1) and Programmed Death-Ligand 1 (PD-L1) in Patients with Gastrointestinal Stromal Tumor
Abstract
Simple Summary
Abstract
1. Introduction
2. Materials and Methods
2.1. Patients
2.2. Samples Handling
2.3. Determination of PD-1 and PD-L1
2.4. Data Analysis
3. Results
3.1. Patient Characteristics
3.2. Plasma PD-1 and PD-L1
4. Discussion
5. Conclusions
Author Contributions
Funding
Institutional Review Board Statement
Informed Consent Statement
Data Availability Statement
Acknowledgments
Conflicts of Interest
References
- Miettinen, M.; Lasota, J. Gastrointestinal stromal tumors (GISTs): Definition, occurrence, pathology, differential diagnosis and molecular genetics. Pol. J. Pathol. 2003, 54, 3–24. [Google Scholar] [PubMed]
- Søreide, K.; Sandvik, O.M.; Søreide, J.A.; Giljaca, V.; Jureckova, A.; Bulusu, V.R. Global epidemiology of gastrointestinal stromal tumours (GIST): A systematic review of population-based cohort studies. Cancer Epidemiol. 2016, 40, 39–46. [Google Scholar] [CrossRef] [PubMed]
- Corless, C.L.; Fletcher, J.A.; Heinrich, M.C. Biology of gastrointestinal stromal tumors. J. Clin. Oncol. 2004, 22, 3813–3825. [Google Scholar] [CrossRef] [PubMed]
- Singer, S.; Rubin, B.P.; Lux, M.L.; Chen, C.-J.; Demetri, G.D.; Fletcher, C.D.; Fletcher, J.A. Prognostic Value of KIT Mutation Type, Mitotic Activity, and Histologic Subtype in Gastrointestinal Stromal Tumors. J. Clin. Oncol. 2002, 20, 3898–3905. [Google Scholar] [CrossRef] [PubMed]
- Gastrointestinal Stromal Tumor Meta-Analysis Group. Comparison of two doses of imatinib for the treatment of unresectable or metastatic gastrointestinal stromal tumors: A meta-analysis of 1640 patients. J. Clin Oncol. 2010, 28, 1247–1253. [Google Scholar] [CrossRef]
- Miettinen, M.L.J. Gastrointestinal stromal tumors: Pathology and prognosis at different sites. Semin. Diagn. Pathol. 2006, 23, 70–83. [Google Scholar] [CrossRef]
- Casali, P.G.; Blay, J.Y.; Abecassis, N.; Bajpai, J.; Bauer, S.; Biagini, R.; Bielack, S.; Bonvalot, S.; Boukovinas, I.; Bovee, J.V.M.G.; et al. Gastrointestinal stromal tumours: ESMO-EURACAN-GENTURIS Clinical Practice Guidelines for diagnosis, treatment and follow-up. Ann Oncol. 2021, 33, 20–33. [Google Scholar] [CrossRef]
- National Comprehensive Cancer Network. NCCN Guidelines Version 2022.1 Gastrointestinal Stromal Tumors (GIST). 2022. Available online: https://www.nccn.org/professionals/physician_gls/pdf/gist.pdf (accessed on 10 October 2022).
- Reck, M.; Rodríguez-Abreu, D.; Robinson, A.G.; Hui, R.; Csőszi, T.; Fülöp, A.; Gottfried, M.; Peled, N.; Tafreshi, A.; Cuffe, S.; et al. Pembrolizumab versus Chemotherapy for PD-L1–Positive Non–Small-Cell Lung Cancer. N. Engl. J. Med. 2016, 375, 1823–1833. [Google Scholar] [CrossRef]
- Van Dongen, M.; Savage, N.D.; Jordanova, E.S.; Briaire-de Bruijn, I.H.; Walburg, K.V.; Ottenhoff, T.H.; Hogendoorn, P.C.W.; van der Burg, S.H.; Gelderblom, H.; van Hall, T. Anti-inflammatory M2 type macrophages characterize metastasized and tyrosine kinase inhibitor-treated gastrointestinal stromal tumors. Int. J. Cancer 2010, 127, 899–909. [Google Scholar] [CrossRef]
- Ostrand-Rosenberg, S.; Horn, L.A.; Haile, S.T. The Programmed Death-1 Immune-Suppressive Pathway: Barrier to Antitumor Immunity. J. Immunol. 2014, 193, 3835–3841. [Google Scholar] [CrossRef]
- Hu, Y.; Chen, W.; Yan, Z.; Ma, J.; Zhu, F.; Huo, J. Prognostic value of PD-L1 expression in patients with pancreatic cancer: A PRISMA-compliant meta-analysis. Medicine 2019, 98, e14006. [Google Scholar] [CrossRef] [PubMed]
- Gu, L.; Chen, M.; Guo, D.; Zhu, H.; Zhang, W.; Pan, J.; Zhong, X.; Li, X.; Qian, H.; Wang, X. PD-L1 and gastric cancer prognosis: A systematic review and meta-analysis. PLOS ONE 2017, 12, e0182692. [Google Scholar] [CrossRef] [PubMed]
- Gao, X.-S.; Gu, X.; Xiong, W.; Guo, W.; Han, L.; Bai, Y.; Peng, C.; Cui, M.; Xie, M. Increased programmed death ligand-1 expression predicts poor prognosis in hepatocellular carcinoma patients. OncoTargets Ther. 2016, 9, 4805–4813. [Google Scholar] [CrossRef] [PubMed]
- Ohigashi, Y.; Sho, M.; Yamada, Y.; Tsurui, Y.; Hamada, K.; Ikeda, N.; Mizuno, T.; Yoriki, R.; Kashizuka, H.; Yane, K.; et al. Clinical Significance of Programmed Death-1 Ligand-1 and Programmed Death-1 Ligand-2 Expression in Human Esophageal Cancer. Clin. Cancer Res. 2005, 11, 2947–2953. [Google Scholar] [CrossRef]
- Iacovelli, R.; Nolè, F.; Verri, E.; Renne, G.; Paglino, C.; Santoni, M.; Cossu Rocca, M.; Giglione, P.; Aurilio, G.; Cullurà, D.; et al. Prognostic Role of PD-L1 Expression in Renal Cell Carcinoma. A Systematic Review and Meta-Analysis. Target. Oncol. 2016, 11, 143–148. [Google Scholar] [CrossRef] [PubMed]
- Bertucci, F.; Finetti, P.; Mamessier, E.; Pantaleo, M.A.; Astolfi, A.; Ostrowski, J.; Birnbaum, D. PDL1 expression is an independent prognostic factor in localized GIST. OncoImmunology 2015, 4, e1002729. [Google Scholar] [CrossRef] [PubMed]
- Zhao, R.; Song, Y.; Wang, Y.; Huang, Y.; Li, Z.; Cui, Y.; Yi, M.; Xia, L.; Zhuang, W.; Wu, X. PD-1/PD-L1 blockade rescue exhausted CD8+ T cells in gastrointestinal stromal tumours via the PI3K/Akt/mTOR signalling pathway. Cell Prolif. 2019, 52, e12571. [Google Scholar] [CrossRef] [PubMed]
- Blakely, A.M.; Matoso, A.; Patil, P.A.; Taliano, R.; Machan, J.T.; Miner, T.J.; Lombardo, K.; Resnick, M.B.; Wang, L.-J. Role of immune microenvironment in gastrointestinal stromal tumours. Histopathology 2018, 72, 405–413. [Google Scholar] [CrossRef]
- Sun, X.; Shu, P.; Fang, Y.; Yuan, W.; Zhang, Q.; Sun, J.; Fu, M.; Xue, A.; Gao, X.; Shen, K.; et al. Clinical and Prognostic Significance of Tumor-Infiltrating CD8+ T Cells and PD-L1 Expression in Primary Gastrointestinal Stromal Tumors. Front. Oncol. 2021, 11, 789915. [Google Scholar] [CrossRef]
- Fanale, D.; Incorvaia, L.; Badalamenti, G.; de Luca, I.; Algeri, L.; Bonasera, A.; Corsini, L.R.; Brando, C.; Russo, A.; Iovanna, J.L.; et al. Prognostic Role of Plasma PD-1, PD-L1, pan-BTN3As and BTN3A1 in Patients Affected by Metastatic Gastrointestinal Stromal Tumors: Can Immune Checkpoints Act as a Sentinel for Short-Term Survival? Cancers 2021, 13, 2118. [Google Scholar] [CrossRef]
- Eisenhauer, E.A.; Therasse, P.; Bogaerts, J.; Schwartz, L.H.; Sargent, D.; Ford, R.; Dancey, J.; Arbuck, S.; Gwyther, S.; Mooney, M.; et al. New response evaluation criteria in solid tumours: Revised RECIST guideline (version 1.1). Eur. J. Cancer 2009, 45, 228–247. [Google Scholar] [CrossRef] [PubMed]
- Fletcher, C.D.; Berman, J.J.; Corless, C.; Gorstein, F.; Lasota, J.; Longley, B.; Miettinen, M.; O’Leary, T.J.; Remotti, H.; Rubin, B.P.; et al. Diagnosis of gastrointestinal stromal tumors: A consensus approach. Hum. Pathol. 2002, 33, 459–465. [Google Scholar] [CrossRef] [PubMed]
- Napolitano, A.; Vincenzi, B. Secondary KIT mutations: The GIST of drug resistance and sensitivity. Br. J. Cancer 2019, 120, 577–578. [Google Scholar] [CrossRef] [PubMed]
- D’Angelo, S.P.; Mahoney, M.R.; van Tine, B.A.; Atkins, J.; Milhem, M.M.; Jahagirdar, B.N.; Antonescu, C.R.; Horvath, E.; Tap, W.D.; Schwartz, G.K.; et al. Nivolumab with or without ipilimumab treatment for metastatic sarcoma (Alliance A091401): Two open-label, non-comparative, randomised, phase 2 trials. Lancet Oncol. 2018, 19, 416–426. [Google Scholar] [CrossRef] [PubMed]
- Singh, A.S.; Hecht, J.R.; Rosen, L.; Wainberg, Z.A.; Wang, X.; Douek, M.; Hagopian, A.; Andes, R.; Sauer, L.; Brackert, S.R.; et al. A Randomized Phase II Study of Nivolumab Monotherapy or Nivolumab Combined with Ipilimumab in Patients with Advanced Gastrointestinal Stromal Tumors. Clin. Cancer Res. 2022, 28, 84–94. [Google Scholar] [CrossRef]
- Toulmonde, M.; Penel, N.; Adam, J.; Chevreau, C.; Blay, J.Y.; Le Cesne, A.; Bompas, E.; Piperno-Neumann, S.; Cousin, S.; Grellety, T.; et al. Use of PD-1 Targeting, Macrophage Infiltration, and IDO Pathway Activation in Sarcomas: A Phase 2 Clinical Trial. JAMA Oncol. 2018, 4, 93–97. [Google Scholar] [CrossRef]
- Demetri, G.D.; Reichardt, P.; Kang, Y.-K.; Blay, J.-Y.; Rutkowski, P.; Gelderblom, H.; Hohenberger, P.; Leahy, M.; Von Mehren, M.; Joensuu, H.; et al. Efficacy and safety of regorafenib for advanced gastrointestinal stromal tumours after failure of imatinib and sunitinib (GRID): An international, multicentre, randomised, placebo-controlled, phase 3 trial. Lancet 2013, 381, 295–302. [Google Scholar] [CrossRef]
- Chen, J.L.; Mahoney, M.R.; George, S.; Antonescu, C.R.; Liebner, D.A.; van Tine, B.A.; Milhem, M.M.; Tap, W.D.; Streicher, H.; Schwartz, G.K.; et al. A multicenter phase II study of nivolumab +/- ipilimumab for patients with metastatic sarcoma (Alliance A091401): Results of expansion cohorts [Abstract]. J. Clin. Oncol. 2020, 38, 11511. [Google Scholar] [CrossRef]
- Roulleaux Dugage, M.; Jones, R.L.; Trent, J.; Champiat, S.; Dumont, S. Beyond the Driver Mutation: Immunotherapies in Gastrointestinal Stromal Tumors. Front. Immunol. 2021, 12, 715727. [Google Scholar] [CrossRef]
- Borg, C.; Terme, M.; Taïeb, J.; Ménard, C.; Flament, C.; Robert, C.; Maruyama, K.; Wakasugi, H.; Angevin, E.; Thielemans, K.; et al. Novel mode of action of c-kit tyrosine kinase inhibitors leading to NK cell–dependent antitumor effects. J. Clin. Investig. 2004, 114, 379–388. [Google Scholar] [CrossRef]
- Menard, C.; Blay, J.Y.; Borg, C.; Michiels, S.; Ghiringhelli, F.; Robert, C.; Nonn, C.; Chaput, N.; Taieb, J.; Delahaye, N.F.; et al. Natural killer cell IFN-gamma levels predict long-term survival with imatinib mesylate therapy in gastrointestinal stromal tumor-bearing patients. Cancer Res. 2009, 69, 3563–3569. [Google Scholar] [CrossRef] [PubMed]
- Balachandran, V.P.; Cavnar, M.J.; Zeng, S.; Bamboat, Z.M.; Ocuin, L.M.; Obaid, H.; Sorenson, E.C.; Popow, R.; Ariyan, C.; Rossi, F.; et al. Imatinib potentiates antitumor T cell responses in gastrointestinal stromal tumor through the inhibition of Ido. Nat. Med. 2011, 17, 1094–1100. [Google Scholar] [CrossRef] [PubMed]






| Patient Characteristics | Patients Undergoing Radical Surgery (Group 1) 1, n = 15 N, (%) | Patients with Active GIST (Group 2) 2, n = 122 N, (%) | Patients without Evidence of Disease (Group 3) 3, n = 20 N, (%) | p-Value |
|---|---|---|---|---|
| Sex Male Female | 6 (40.0) 9 (60.0) | 65 (53.3) 57 (46.7) | 7 (35.0) 13 (65.0) | 0.23 |
| Age in years Median (min-max) | 73 (44–92) | 69 (20–87) | 66 (32–81) | 0.22 |
| Disease status at inclusion No evidence of disease Local disease Locally advanced disease Microscopic disease 4 Metastatic disease | 0 (0.0) 14 (93.3) 1 (6.7) 0 (0.0) 0 (0.0) | 0 (0.0) 10 (8.2) 28 (23.0) 28 (23.0) 56 (45.9) | 20 (100.0) 0 (0.0) 0 (0.0) 0 (0.0) 0 (0.0) | |
| Treatment at inclusion No treatment Adjuvant Neoadjuvant Lifelong | 15 (100.0) 0 (0.0) 0 (0.0) 0 (0.0) | ≤3 (≤2.5) 0 (0.0) 18 (14.8) 102 (83.6) | 8 (40.0) 12 (60.0) 0 (0.0) 0 (0.0) |
| Disease Status | PD-1, pg/mL | PD-L1, pg/mL | ||
|---|---|---|---|---|
| Median (P5–P95) | p-Value | Median (P5–P95) | p-Value | |
| Group 2 | 202.0 (110.0–540.0) | 0.0023 * | 179.0 (107.0–294.0) | 0.012 * |
| No evidence of disease 1, n = 15 | 131.0 (92.5–863.0) | 0.033 | 144.0 (111.0–228.0) | 0.098 |
| Local disease 2, n = 10 | 207.0 (93.2–396.0) | 190.0 (120.0–380.0) | ||
| Locally advanced disease 2, n = 28 | 208.5 (107.0–555.0) | 173.5 (98.4–249.0) | ||
| Microscopic disease 2, n = 28 | 208.5 (142.0–726.0) | 177.0 (102.0–265.0) | ||
| Metastatic disease 2, n = 56 | 189.5 (102.0–540.0) | 183.5 (115.0–332.0) |
| Univariate Analysis | Multivariate Analysis ** | |||||
|---|---|---|---|---|---|---|
| HR | 95% CI | p-Value | HR | 95% CI | p-Value | |
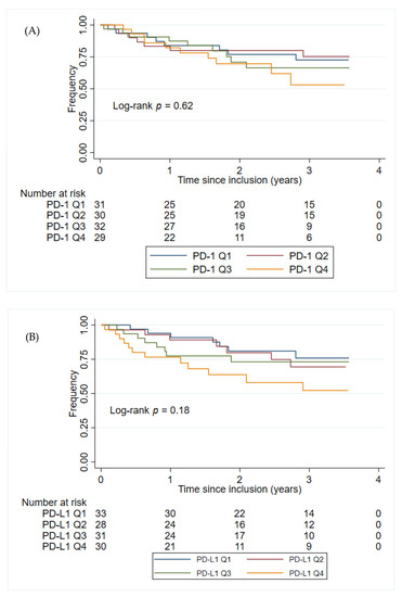
| PD-1 | 1.48 | 0.75–2.93 | 0.26 | 1.55 | 0.78–3.10 | 0.21 |
| PD-L1 | 1.70 | 0.86–3.38 | 0.13 | 1.80 | 0.90–3.60 | 0.095 |
| Blood Sample at the Time of Inclusion (n = 21) | Blood Sample at the Time of Progression (n = 21) | ||
|---|---|---|---|
| Median (P5–P95) | Median (P5–P95) | p-Value | |
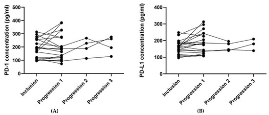
| PD-1, pg/mL | 190.0 (95.0–314.0) | 188.0 (93.4–384.0) | 0.56 |
| PD-L1, pg/mL | 163.0 (103.0–234.0) | 186.0 (108.0–313.0) | 0.062 |
| Preoperative (Group 1A), n = 15 | Postoperative (Group 1B), n = 15 | ||
|---|---|---|---|
| Median (P5–P95) | Median (P5–P95) | p-Value | |
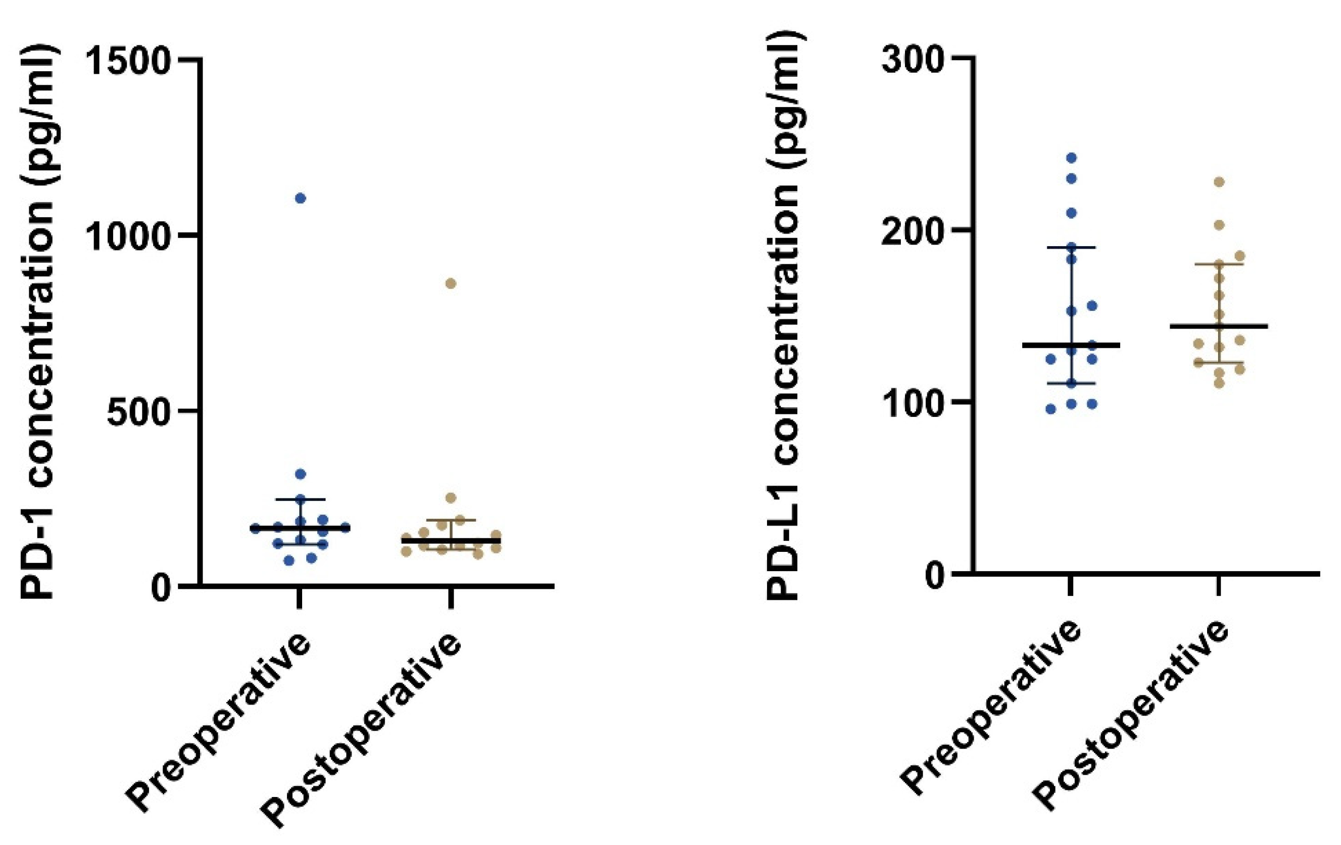
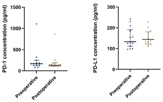
| PD-1, pg/mL | 166.5 (73.5–1105.0) | 131.0 (92.5–863.0) | 0.024 |
| PD-L1, pg/mL | 133.0 (96.4–242.0) | 144.0 (111.0–228.0) | 0.79 |
| Study Characteristics | Study | |||
|---|---|---|---|---|
| By Bertucci F. et al. [17] | By Blakely A.M. et al. [19] | By Zhao R. et al. [18] | By Sun X. et al. [20] | |
| Year | 2015 | 2018 | 2019 | 2021 |
| Study type | Retrospective study | Retrospective study | Retrospective study | Retrospective study |
| Patients | Tumor specimens from 159 patients resected for localized GIST without receiving adjuvant imatinib | Tumor specimens from 127 patients’ GISTs | Tumor specimens from 238 patients undergoing resection of GIST | Tumor specimens from 507 patients undergoing radical surgery |
| Type of Material used for the PD-L1 analysis | Tissue | Tissue microarrays | Tissue | Tissue microarrays |
| Method for PD-L1 analysis | Whole-genome DNA microarrays (Affymetrix U133 Plus 2.0 and Agilent 44K) | IHC | Real-time RT-PCR | IHC |
| GIST PD-L1 expression rate | - | 69% | - | 46% |
| PD-L1 expression was associated with a poor prognosis | No | Yes | Yes | No |
| PD-L1 expression associated with | A high mRNA PD-L1 expression was associated with low-risk GIST according to AFIP criteria [6]. A high mRNA PD-L1 expression was also related to patients without metastatic relapse. | A high PD-L1 expression was associated with a higher mitotic count and increasing tumor size. | A high PD-L1 expression was associated with a higher relapse rate of GIST. A significantly lower PD-L1 expression was found in patients with very low-, low-, or intermediate-risk GIST compared to high-risk according to NIH consensus criteria [23]. | A high PD-L1 expression was associated with a lower mitotic count and smaller tumor size. |
| Relation between CD8+ T-cells and PD-L1 expression | Patients with a high PD-L1 expression had a significantly higher CD8+ T-cell metagenes. | The percentage of CD8+ T-cells was inversely related to the PD-L1 expression. | The percentage of CD8+ T-cells was inversely related to the PD-L1 expression. | PD-L1 expression was associated with a high number of CD8+ T-cells |
| Study Characteristics | Study | ||
|---|---|---|---|
| By Toulmonde M. et al. [27] | By D’Angelo SP et al. [25] and an Expansion Cohort by Chen J.L. et al. [29] | By Singh A.S. et al. [26] | |
| Year | 2017 | 2018 | 2022 |
| Study type | Open-label phase II study | Randomized phase II study | Open-label, randomized, phase II study |
| Patients investigated | Patients with sarcoma, including GIST (n = 10) | Patients with sarcoma, including GIST (n = 18) | Patients with advanced or metastatic GIST previously progressed on imatinib (n = 36) |
| Treatment investigated | Pembrolizumab + cyclophosphamide | Nivolumab vs. Nivolumab + Ipilimumab | Nivolumab vs. Nivolumab + Ipilimumab |
| Primary endpoint | The 6-month non-progression rate | The 6-month response rate | The objective response rate > 15% |
| Results | Limited activity in patients with GIST with a 6-month non-progression of 11.1% | The median PFS was 1.5 (Nivolumab) and 2.9 months (Nivolumab + Ipilimumab). Patients with GIST responded poorly to Nivolumab (1 of 9 patients). The 6-month response rate was 0% in both treatment arms. | The median PFS was 2.7 months (Nivolumab) and 1.9 months (Nivolumab + Ipilimumab). The primary endpoint was not met in either treatment group. |
Publisher’s Note: MDPI stays neutral with regard to jurisdictional claims in published maps and institutional affiliations. |
© 2022 by the authors. Licensee MDPI, Basel, Switzerland. This article is an open access article distributed under the terms and conditions of the Creative Commons Attribution (CC BY) license (https://creativecommons.org/licenses/by/4.0/).
Share and Cite
Brinch, C.M.; Hogdall, E.; Junker, N.; Moeller, H.J.; Sandfeld-Paulsen, B.; de Heer, P.; Penninga, L.; Rossen, P.B.; Krarup-Hansen, A.; Aggerholm-Pedersen, N. The Prognostic Value of Plasma Programmed Death Protein-1 (PD-1) and Programmed Death-Ligand 1 (PD-L1) in Patients with Gastrointestinal Stromal Tumor. Cancers 2022, 14, 5753. https://doi.org/10.3390/cancers14235753
Brinch CM, Hogdall E, Junker N, Moeller HJ, Sandfeld-Paulsen B, de Heer P, Penninga L, Rossen PB, Krarup-Hansen A, Aggerholm-Pedersen N. The Prognostic Value of Plasma Programmed Death Protein-1 (PD-1) and Programmed Death-Ligand 1 (PD-L1) in Patients with Gastrointestinal Stromal Tumor. Cancers. 2022; 14(23):5753. https://doi.org/10.3390/cancers14235753
Chicago/Turabian StyleBrinch, Charlotte Margareta, Estrid Hogdall, Niels Junker, Holger Jon Moeller, Birgitte Sandfeld-Paulsen, Pieter de Heer, Luit Penninga, Philip Blach Rossen, Anders Krarup-Hansen, and Ninna Aggerholm-Pedersen. 2022. "The Prognostic Value of Plasma Programmed Death Protein-1 (PD-1) and Programmed Death-Ligand 1 (PD-L1) in Patients with Gastrointestinal Stromal Tumor" Cancers 14, no. 23: 5753. https://doi.org/10.3390/cancers14235753
APA StyleBrinch, C. M., Hogdall, E., Junker, N., Moeller, H. J., Sandfeld-Paulsen, B., de Heer, P., Penninga, L., Rossen, P. B., Krarup-Hansen, A., & Aggerholm-Pedersen, N. (2022). The Prognostic Value of Plasma Programmed Death Protein-1 (PD-1) and Programmed Death-Ligand 1 (PD-L1) in Patients with Gastrointestinal Stromal Tumor. Cancers, 14(23), 5753. https://doi.org/10.3390/cancers14235753

